Sign in to use this feature.

Years

Between: -

Subjects

remove_circle_outline
remove_circle_outline
remove_circle_outline
remove_circle_outline
remove_circle_outline
remove_circle_outline
remove_circle_outline
remove_circle_outline
remove_circle_outline

Journals

remove_circle_outline
remove_circle_outline
remove_circle_outline
remove_circle_outline

Article Types

Countries / Regions

remove_circle_outline
remove_circle_outline
remove_circle_outline

Search Results (287)

Search Parameters:
Keywords = HRE

Order results
Result details
Results per page
Select all
Export citation of selected articles as:
18 pages, 795 KB  
Article
Techno-Economic Assessment of a Hybrid Renewable Energy System for Energy–Water Autonomy on Samothrace Island with Pumped Hydro, Green Hydrogen, and Battery Storage
by Athanasios-Foivos Papathanasiou, Georgios Moscholios Syrigos and Evangelos Baltas
Appl. Sci. 2026, 16(6), 3052; https://doi.org/10.3390/app16063052 (registering DOI) - 21 Mar 2026
Abstract
Samothrace is a Greek island in the northern Aegean Sea. Though connected to the mainland grid and demonstrating strong wind potential, it is challenged by seasonal shortages in both electricity and potable water. This study assesses a Hybrid Renewable Energy System designed to [...] Read more.
Samothrace is a Greek island in the northern Aegean Sea. Though connected to the mainland grid and demonstrating strong wind potential, it is challenged by seasonal shortages in both electricity and potable water. This study assesses a Hybrid Renewable Energy System designed to meet local energy and water demands while maintaining economic viability. The system consists of 10 wind turbines (23.5 MW), a reverse osmosis desalination plant yielding 876,000 m3/year, and four alternative storage configurations: green hydrogen, pumped hydro, lithium-ion batteries, and a combined green hydrogen–pumped hydro option. Using identical climatic and demand data, system performance was simulated for the years 2011–2020. Wind generation reached 113,000 MWh annually, of which 81–84% was exported to the mainland. Potable water demand was met at a rate of 99% in all scenarios, with monthly production ranging from 17,500 m3 in February to almost 50,000 m3 in August, thus requiring 1.80% of wind output. Investment costs ranged from 34.4 M € to 39.8 M €; net present values remained around 75 M € for all scenarios. Results demonstrate that complete autonomy can be achieved; however, economic sustainability is maximized by leveraging the interconnection and sizing storage below full-autonomy levels. Full article
(This article belongs to the Special Issue Innovative, Hybrid Energy Solutions and Technologies)
Show Figures

Figure 1

24 pages, 1730 KB  
Article
Effective Planning and Management of Hybrid Renewable Energy Systems Through Graph Theory
by Aikaterini Kolioukou, Athanasios Zisos and Andreas Efstratiadis
Energies 2026, 19(5), 1381; https://doi.org/10.3390/en19051381 - 9 Mar 2026
Viewed by 338
Abstract
Hybrid renewable energy systems (HRESs), mixing conventional and renewable power sources and occasionally storage units, have become the norm regarding electricity generation. Robust long-term planning of such systems requires stakeholders to test different layouts and system configurations, while their operational management relies on [...] Read more.
Hybrid renewable energy systems (HRESs), mixing conventional and renewable power sources and occasionally storage units, have become the norm regarding electricity generation. Robust long-term planning of such systems requires stakeholders to test different layouts and system configurations, while their operational management relies on forecasting surpluses and deficits to achieve optimal decision making. However, both tasks, which in fact constitute a flow allocation problem across power networks, are subject to multiple peculiarities, arising from the nonlinear dynamics of the underlying processes, subject to numerous technical and operational constraints. Interestingly, a mutual problem emerges in water resource systems, also comprising network-type storage, abstraction and conveyance components. In this vein, triggered from well-established simulation approaches from the water domain, we introduce a generic (i.e., topology-free) and time-agnostic framework, the key methodological elements of which are: (a) the graph-based representation of the power fluxes; (b) the effective handling of energy uses and constraints through virtual nodes and edges; (c) the implementation of priorities via proper assignment of virtual costs across all graph components; and (d) the configuration of the overall problem as a network linear programming context, which allows the use of exceptionally fast solvers. Specific adjustments are required to address highly complex issues within HRESs, particularly the representation of conventional thermal and pumped-storage hydropower units, as well as the power losses across transmission lines. The modeling approach is stress-tested by means of configuring a hypothetical HRES in a non-interconnected Aegean island, i.e., Sifnos, Greece. Full article
Show Figures

Figure 1

18 pages, 4504 KB  
Article
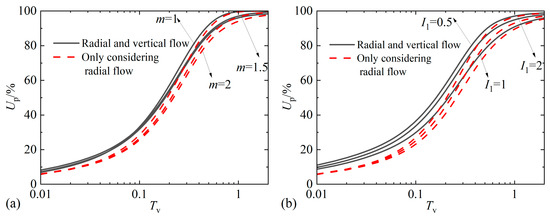
Nonlinear Large-Strain Consolidation of Vertical Drains with Coupled Radial–Vertical Flow Considering Hansbo’s Flow and Smearing Effects
by Guanglei Chen, Haiyang Xie, Yihu Ma, Yizhao Li, Zan Xu, Linlu Song, Penglu Cui and Kejie Zhai
Water 2026, 18(5), 645; https://doi.org/10.3390/w18050645 - 9 Mar 2026
Viewed by 186
Abstract
While early ideal consolidation theories for vertical drains focused primarily on radial flow, numerous coupled radial–vertical seepage models have since been developed to better capture complex flow behavior in practice. To overcome this limitation, a nonlinear large-strain consolidation model for vertical drains with [...] Read more.
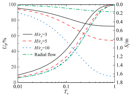
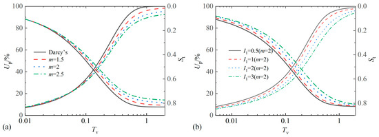
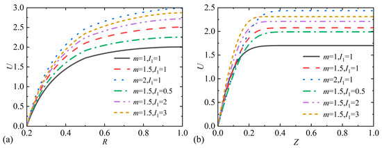
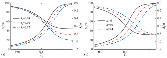
While early ideal consolidation theories for vertical drains focused primarily on radial flow, numerous coupled radial–vertical seepage models have since been developed to better capture complex flow behavior in practice. To overcome this limitation, a nonlinear large-strain consolidation model for vertical drains with coupled radial-vertical flow is proposed, explicitly incorporating Hansbo’s non-Darcy flow, smear effects, and soil nonlinearity. The finite difference method is then employed to obtain numerical solutions, and the reliability of the proposed numerical scheme is verified by degenerating the model to the radial consolidation case and comparing the results with the corresponding analytical solution. The results indicate that consolidation develops fastest when the permeability coefficient within the smear zone follows a parabolic distribution. Increasing the Hansbo’s flow parameter m and threshold hydraulic gradient parameter I1 markedly slows down the consolidation process, while the contribution of vertical flow is primarily confined to the early stage. In addition, larger soil nonlinearity parameters Ic and α amplify the influence of radial–vertical coupled flow. Parametric analysis further shows that when the ratio of soil layer thickness to the radius of the influence zone (H/re) exceeds 10, the effect of vertical flow becomes negligible, and the consolidation behavior can be reasonably approximated using a radial-flow-only model. Full article
(This article belongs to the Section Hydrogeology)
Show Figures

Figure 1

33 pages, 2933 KB  
Article
Optimal Scheduling Strategies for Smart Homes Integrated with Grid-Connected Hybrid Renewable Energy Systems
by Temitope Adefarati, Gulshan Sharma, Pitshou N. Bokoro and Rajesh Kumar
Energies 2026, 19(5), 1174; https://doi.org/10.3390/en19051174 - 26 Feb 2026
Viewed by 336
Abstract
The increasing demand for sustainable energy in residential buildings and public concerns on greenhouse gas (GHG) emissions has driven the integration of smart homes with hybrid renewable energy systems (HRESs). This research proposes an optimal scheduling strategy for home energy consumption in a [...] Read more.
The increasing demand for sustainable energy in residential buildings and public concerns on greenhouse gas (GHG) emissions has driven the integration of smart homes with hybrid renewable energy systems (HRESs). This research proposes an optimal scheduling strategy for home energy consumption in a grid-connected HRES that comprises a grid, wind turbines, photovoltaics and battery storage systems. The objective of the study is to reduce the net energy cost, scheduling inconvenience cost (SIC), GHG cost and battery degradation cost. An ant colony optimization algorithm is utilized in the MATLAB environment, with load profiles and meteorological data of Upington, South Africa, obtained from NASA and a residential consumption dataset to accomplish the objectives of the study. The outcomes of the study show that case study 3 is the most feasible configuration based on a net energy revenue cost of $9.8382, GHG cost of $0.0627, battery degradation cost of $0.461 and SIC of $0.66. Simulation results demonstrate that energy purchased from the grid has been reduced by 98% and 48% relative to case studies 1 and 2. The results of the study can assist households to improve the sustainability and resilience of the power system in residential environments where the grid supply is unstable and electricity costs are high. Full article
Show Figures

Figure 1

34 pages, 6385 KB  
Article
Antisense Dipeptide Repeat Proteins Drive Widescale Purine Metabolism Aberration in C9orf72 Amyotrophic Lateral Sclerosis via ADA
by Benjamin Hall, Lydia Castelli, Adrian Higginbottom, Jingxuan He, Ling-Nan Zou, Heather Walker, Miriam Yagüe-Capilla, Kari E. Wong, David J. Burrows, Jonathan George, Keaton Hamer, Jenny M. Tanner, Ergita Kyrgiou-Balli, Rees Ross, Herbie Garland, Erin Tonkiss, Rachel George, Christopher P. Webster, Emma F. Smith, Hannah O. Timmons, Jess Allsop, Nikolas Stefanidis, Billie D. Ward, Ya-Hui Lin, J. Robin Highley, Mimoun Azzouz, Ryan J. H. West, Sean G. Rudd, Kurt J. De Vos, Pamela J. Shaw, Guillaume M. Hautbergue and Scott P. Allenadd Show full author list remove Hide full author list
Int. J. Mol. Sci. 2026, 27(4), 1953; https://doi.org/10.3390/ijms27041953 - 18 Feb 2026
Viewed by 693
Abstract
Amyotrophic lateral sclerosis (ALS) is a neurodegenerative disease characterised by the death of motor neurons leading to paralysis and death, generally 3–5 years post-symptom onset. The most frequent genetic cause of ALS is a hexanucleotide repeat expansion (HRE) in the chromosome 9 open [...] Read more.
Amyotrophic lateral sclerosis (ALS) is a neurodegenerative disease characterised by the death of motor neurons leading to paralysis and death, generally 3–5 years post-symptom onset. The most frequent genetic cause of ALS is a hexanucleotide repeat expansion (HRE) in the chromosome 9 open reading frame 72 (C9orf72) gene, that has three major hypothesised pathological mechanisms including the production of dipeptide repeat proteins (DPRs). Our laboratory has previously identified purine metabolism dysfunction in induced neural progenitor cell-derived astrocytes (iAstrocytes) from C9orf72 ALS (C9-ALS) cases (C9-iAstrocytes), driven by loss of the enzyme adenosine deaminase (ADA). Here, we have demonstrated that loss of ADA along with changes to ecto-5′-nucleotidase and hypoxanthine-guanine phosphoribosyl transferase led to disruption in purine metabolite levels including purine dNTP output. These changes were recapitulated in patient CSF, whilst loss of ADA was recapitulated in patient white matter. Immunofluorescence also demonstrated purinosome formation dysfunction in C9-iAstrocytes. These changes are likely driven by DPRs as ADA loss was recapitulated in in vitro and in vivo DPR models. Finally, ADA levels could be recovered by reducing DPR levels either by inhibiting serine/arginine-rich splicing factor 1 or overexpressing RuvB-like 2. Our data demonstrate that DPR production negatively affects purine function in C9-ALS suggesting a potentially pivotal role for purine metabolism dysfunction in C9-ALS pathology. Full article
(This article belongs to the Special Issue Purine Signaling as a Therapeutic Target in Human Diseases)
Show Figures

Figure 1

18 pages, 2945 KB  
Article
Hybrid Renewable Biomass Energy Systems for Decarbonization and Energy Security—A Case Study of Grenada County
by Shaik Nasrullah Shareef, Veera Gnaneswar Gude and Mohammad Marufuzzaman
Biomass 2026, 6(1), 17; https://doi.org/10.3390/biomass6010017 - 10 Feb 2026
Viewed by 780
Abstract
Renewable energy systems are increasingly critical for achieving decarbonization and long-term energy security, particularly in rural regions with abundant local resources. While solar and wind technologies have become cost-competitive, their intermittency limits reliability when deployed independently. Biomass, by contrast, offers dispatchable renewable power [...] Read more.
Renewable energy systems are increasingly critical for achieving decarbonization and long-term energy security, particularly in rural regions with abundant local resources. While solar and wind technologies have become cost-competitive, their intermittency limits reliability when deployed independently. Biomass, by contrast, offers dispatchable renewable power but faces economic challenges related to feedstock logistics. This study evaluates a biomass-led hybrid renewable energy system (HRES) for Grenada County, Mississippi, integrating biomass, solar photovoltaic (PV), and wind resources to enhance system reliability and reduce environmental impacts. System performance and optimization were assessed using the System Advisor Model (SAM) and the Hybrid Optimization of Multiple Energy Resources (HOMER). The proposed configuration comprises approximately 80% biomass, 10% solar PV, and the remaining share from wind, producing a total annual electricity output of about 423 GWh, sufficient to meet regional demand. The subsystem-level levelized cost of energy (LCOE) was estimated at 12.10 cents/kWh for biomass, 4.07 cents/kWh for solar PV, and 8.62 cents/kWh for wind, with the overall hybrid cost influenced primarily by biomass feedstock transportation and storage. Environmental impact assessment based on U.S. EPA eGRID and IPCC factors indicates that the hybrid system achieves a weighted emission intensity of approximately 28.4 kg CO2-eq/MWh, representing a reduction of over 94% compared to the regional grid. When scaled to annual generation, this corresponds to roughly 197,000 metric tons of avoided CO2-equivalent emissions per year, alongside 80–95% reductions in acidification and eutrophication impacts. The results demonstrate that biomass-anchored hybrid systems can provide a reliable, low-carbon pathway for rural energy development, with further cost reductions achievable through targeted policy incentives and financing support. Full article
Show Figures

Figure 1

32 pages, 7629 KB  
Article
Resilient Control Strategies for Urban Energy Transitions: A Robust HRES Sizing Typology for Nearly Zero Energy Ports
by Nikolaos Sifakis
Processes 2026, 14(3), 549; https://doi.org/10.3390/pr14030549 - 4 Feb 2026
Viewed by 338
Abstract
Ports located within dense urban environments face a major challenge in achieving deep decarbonization without compromising the reliability and safety of critical maritime operations. This study develops and validates a resilience-oriented control and sizing typology for Hybrid Renewable Energy Systems (HRESs), supporting the [...] Read more.
Ports located within dense urban environments face a major challenge in achieving deep decarbonization without compromising the reliability and safety of critical maritime operations. This study develops and validates a resilience-oriented control and sizing typology for Hybrid Renewable Energy Systems (HRESs), supporting the transition of a medium-sized Mediterranean port toward a Nearly Zero Energy Port (nZEP). The framework integrates five years of measured electrical demand at 15 min resolution to capture stochastic load variability, seasonal effects, and safety-critical peak events. Thirty-five HRES configurations are simulated using HOMER Pro, assessing photovoltaic and wind generation combined with alternative Energy Storage System (ESS) technologies under two grid-interface control strategies: Net Metering (NM) and non-NM curtailment-based operation. Conventional Lead–Acid batteries are compared with inherently safer Vanadium Redox Flow Batteries (VRFBs), while autonomy constraints of 24 h and 48 h are imposed to represent operational resilience. System performance is evaluated through a multi-criteria framework encompassing economic viability (Levelized Cost of Energy), environmental impact (Lifecycle Assessment-based carbon footprint), and operational reliability. Results indicate that NM-enabled HRES architectures significantly outperform non-NM configurations by exploiting the external grid as an active balancing layer. The optimal NM configuration achieves a Levelized Cost of Energy of 0.063 €/kWh under a 24 h autonomy constraint, while reducing operational carbon intensity to approximately 70 gCO2,eq/kWh, corresponding to a reduction exceeding 90% relative to baseline grid-dependent operation. In contrast, non-NM systems require substantial storage and generation oversizing to maintain resilience, resulting in higher curtailment losses and Levelized Cost of Energy values of 0.12–0.15 €/kWh. Across both control regimes, VRFB-based systems consistently exhibit superior robustness and safety performance compared to Lead–Acid alternatives. The proposed typology provides a transferable framework for resilient and low-carbon port microgrid design under real-world operational constraints. Full article
(This article belongs to the Special Issue Process Safety and Control Strategies for Urban Clean Energy Systems)
Show Figures

Figure 1

43 pages, 29554 KB  
Article
Post-Collisional Cu-Au Porphyry and Associated Epithermal Mineralisation in the Eastern Mount Isa Block: A New Exploration Paradigm for NW Queensland
by Kenneth D. Collerson and David Wilson
Geosciences 2026, 16(1), 46; https://doi.org/10.3390/geosciences16010046 - 20 Jan 2026
Viewed by 448
Abstract
Post-collisional Cu-Au-Ni-Co-Pt-Pd-Sc porphyry [Duck Creek porphyry system (DCPS)] with overlying Au-Te-Bi-W-HRE epithermal mineralisation [Highway epithermal system (HES)] has been discovered in the core of the Mitakoodi anticline, southwest of Cloncurry. Xenotime and monazite geochronology indicate mineralisation occurred between ~1490 and 1530 Ma. Host [...] Read more.
Post-collisional Cu-Au-Ni-Co-Pt-Pd-Sc porphyry [Duck Creek porphyry system (DCPS)] with overlying Au-Te-Bi-W-HRE epithermal mineralisation [Highway epithermal system (HES)] has been discovered in the core of the Mitakoodi anticline, southwest of Cloncurry. Xenotime and monazite geochronology indicate mineralisation occurred between ~1490 and 1530 Ma. Host rock lithologies show widespread potassic and/or propylitic to phyllic alteration. Paragenesis of porphyry sulphides indicates early crystallisation of pyrite, followed by chalcopyrite, with bornite forming by hydrothermal alteration of chalcopyrite. Cu sulphides also show the effect of supergene oxidation alteration with rims of covellite, digenite and chalcocite. Redox conditions deduced from the V/Sc systematics indicate that the DCPS contains both highly oxidised (typical of porphyries) and reduced lithologies, typical of plume-generated tholeiitic and alkaline suites. Ni/Te and Cu/Te systematics plot within the fields defined by epithermal and porphyry deposits. Duck Creek chalcophile and highly siderophile element (Cu, MgO and Pd) systematics resemble data from porphyry mineral systems, at Cadia, Bingham Canyon, Grasberg, Skouries, Kalmakyr, Elaisite, Assarel and Medet. SAM geophysical inversion models suggest the presence of an extensive porphyry system below the HES. A progressive increase in molar Cu/Au ratios with depth from the HES to the DCPS supports this conclusion. Three metal sources contributed to the linked DCPS-HES viz., tholeiitic ferrogabbro, potassic ultramafic to mafic system and an Fe and Ca-rich alkaline system. The latter two imparted non-crustal superchondritic Nb/Ta ratios that are characteristic of many deposits in the eastern Mount Isa Block. The associated tholeiite and alkaline magmatism reflect mantle plume upwelling through a palaeo-slab window that had accreted below the eastern flank of the North Australian craton following west-verging collision by the Numil Terrane. Discovery of this linked mineral system provides a new paradigm for mineral exploration in the region. Full article
(This article belongs to the Section Structural Geology and Tectonics)
Show Figures

Figure 1

20 pages, 13784 KB  
Article
Modeling Water–Energy Autonomy on Remote Islands Through Hybrid RES, Pumped Hydro, and Hydrogen Storage Considering Low-Wind Conditions
by Athanasios-Foivos Papathanasiou and Evangelos Baltas
Hydropower 2026, 1(1), 2; https://doi.org/10.3390/hydropower1010002 - 15 Dec 2025
Viewed by 831
Abstract
The aim of this study is to evaluate the technical performance and resilience of a Hybrid Renewable Energy System (HRES), designed to achieve water and energy autonomy on a Skyros Island, Greece. The system integrates renewable energy sources with multiple storage technologies. A [...] Read more.
The aim of this study is to evaluate the technical performance and resilience of a Hybrid Renewable Energy System (HRES), designed to achieve water and energy autonomy on a Skyros Island, Greece. The system integrates renewable energy sources with multiple storage technologies. A high-resolution, 30-min simulation was developed, incorporating 10 years of historical weather data to model the operation of an HRES, which consists of wind turbines, photovoltaics, pumped hydro storage, and green hydrogen production. Reverse osmosis was used for desalination, and extended low-wind conditions were simulated to assess system resilience. Results indicate that the proposed system is, in fact, capable of meeting 89% of the annual energy demand and 99.99% of freshwater requirements by means of desalination. Wind power accounted for 53% of the total energy production, photovoltaics 2%, while pumped hydro and hydrogen storage contributed 17% and 6%, respectively. During artificially imposed windless periods, short-term deficits were addressed by the use of pumped hydro, while hydrogen ensured supply continuity in the final days, thereby demonstrating their complementary function. In this resilience stress-test, the system remained operational for 10 days during an artificial windless period, demonstrating the critical role of hybrid storage. The findings indicate that a combination of renewable energy with diversified storage and water management strategies can provide a reliable and self-sufficient water–energy nexus for remote islands. Finally, the novelty of this research work lies in the statistical analysis of calm-wind events and the development of the corresponding power-law relationship, conducted under the framework of the 30-min simulation. Full article
Show Figures

Graphical abstract

25 pages, 1471 KB  
Article
Future Directions of Hybrid Off-Grid Renewable Energy Systems for Remote Islands
by Evangelos Tsiaras and Frank A. Coutelieris
Energies 2025, 18(24), 6524; https://doi.org/10.3390/en18246524 - 12 Dec 2025
Viewed by 895
Abstract
Remote islands face persistent challenges in achieving secure, sustainable and affordable energy supply due to their geographic isolation, fragile ecosystems and dependence on imported fossil fuels. Hybrid renewable energy systems (HRES)—typically combining photovoltaics (PV), wind turbines and battery energy storage systems (BESS)—have emerged [...] Read more.
Remote islands face persistent challenges in achieving secure, sustainable and affordable energy supply due to their geographic isolation, fragile ecosystems and dependence on imported fossil fuels. Hybrid renewable energy systems (HRES)—typically combining photovoltaics (PV), wind turbines and battery energy storage systems (BESS)—have emerged as the dominant off-grid solution, demonstrating their potential to reduce fossil fuel dependence and greenhouse gas emissions. Yet, empirical case studies from Zanzibar, Thailand, Malaysia, the Galápagos, the Azores and Greece confirm that current systems remain transitional, relying on oversized storage and fossil backup during low-resource periods. Comparative analysis highlights both technical advances and persistent limitations, including seasonal variability, socio-economic barriers and governance gaps. Future directions for PV—wind-based (non-dispatchable) island microgrids point toward long-term hydrogen storage, artificial intelligence (AI)-driven predictive energy management and sector coupling—alongside participatory planning frameworks that enhance social acceptance and community ownership. By synthesizing technical, economic and social perspectives, this study provides a roadmap for advancing resilient, autonomous and socially embedded hybrid off-grid systems for remote islands. Full article
(This article belongs to the Section A1: Smart Grids and Microgrids)
Show Figures

Graphical abstract

33 pages, 8481 KB  
Article
Assessment of Hybrid Renewable Energy System: A Particle Swarm Optimization Approach to Power Demand Profile and Generation Management
by Luis José Turcios, José Luis Torres-Madroñero, Laura M. Cárdenas, Maritza Jiménez and César Nieto-Londoño
Energies 2025, 18(23), 6141; https://doi.org/10.3390/en18236141 - 24 Nov 2025
Cited by 1 | Viewed by 717
Abstract
The use of non-renewable energy resources is one of the main drivers of climate change. In response, the United Nations established the seventh Sustainable Development Goal, “Affordable and clean energy”, which promotes the transition toward renewable and environmentally friendly sources such as wind [...] Read more.
The use of non-renewable energy resources is one of the main drivers of climate change. In response, the United Nations established the seventh Sustainable Development Goal, “Affordable and clean energy”, which promotes the transition toward renewable and environmentally friendly sources such as wind and solar energy. However, the intermittent nature of these resources poses challenges for maintaining a stable, continuous power supply, highlighting the need for hybrid technology approaches, such as Hybrid Renewable Energy Systems (HRES), which integrate complementary renewable sources with energy storage. In this context, this study applies a Particle Swarm Optimisation (PSO)-based approach to determine the optimal sizing and operating strategy for a hybrid system comprising photovoltaic, wind, battery storage, and diesel backup units under various synthetic load profiles. The results indicate that diesel-assisted configurations achieve lower levelized costs of energy (0.23–0.35 USD/kWh) and maintain high reliability (LPSP < 0.25%), although at the expense of higher fuel consumption and CO2 emissions. Conversely, fully renewable configurations present higher energy costs (0.29–0.44 USD/kWh), but reduce annual CO2 emissions by up to 50% and create more employment opportunities, particularly in regions with abundant wind resources such as La Guajira, Colombia. Full article
Show Figures

Figure 1

20 pages, 5094 KB  
Article
Research Trends in Renewable Energy Sources in Academic Infrastructure: A Bibliometric Analysis
by Kacper Bednarz, Agnieszka Stec and Daniel Słyś
Energies 2025, 18(21), 5812; https://doi.org/10.3390/en18215812 - 4 Nov 2025
Viewed by 1051
Abstract
A growing interest in renewable energy sources has been observed for over a decade. This stems from the need to reduce the use of fossil fuels, the processing of which leads to significant environmental pollution. Implementing unconventional energy technologies is not only crucial [...] Read more.
A growing interest in renewable energy sources has been observed for over a decade. This stems from the need to reduce the use of fossil fuels, the processing of which leads to significant environmental pollution. Implementing unconventional energy technologies is not only crucial but also their proper management and optimization. This is particularly crucial in hybrid systems based on multiple energy sources. With this in mind, a comprehensive bibliometric analysis of the scientific literature was conducted, relating to research on these systems implemented in academic facilities between 2009 and 2025. The focus was on these facilities because universities, and particularly their research laboratories, increasingly play a key role in the creation, research, development, and implementation of hybrid energy systems. The study utilized professional software: Bibliometrix and VOSviewer. The bibliographic database was created using the most popular international scientific platforms, Web of Science and Scopus. Evolution of research trends and intensive development of research on the management and optimization of hybrid energy systems implemented in academic infrastructure were observed. Analysis of the results showed that, since 2009, there has been a transition from basic research on the efficiency and optimization of renewable energy sources, through the integration of various technologies and the development of management methods, to contemporary issues related to digitalization, energy storage, and economic analysis. Full article
Show Figures

Figure 1

44 pages, 8586 KB  
Review
Hybrid Renewable Energy Systems for Off-Grid Electrification: A Comprehensive Review of Storage Technologies, Metaheuristic Optimization Approaches and Key Challenges
by Kamran Taghizad-Tavana, Ali Esmaeel Nezhad, Mehrdad Tarafdar Hagh, Afshin Canani and Ashkan Safari
Eng 2025, 6(11), 309; https://doi.org/10.3390/eng6110309 - 4 Nov 2025
Cited by 3 | Viewed by 4071
Abstract
Hybrid Renewable Energy Systems (HRESs) are a practical solution for providing reliable, low-carbon electricity to off-grid and remote communities. This review examines the role of energy storage within HRESs by systematically comparing electrochemical, mechanical, thermal, and hydrogen-based technologies in terms of technical performance, [...] Read more.
Hybrid Renewable Energy Systems (HRESs) are a practical solution for providing reliable, low-carbon electricity to off-grid and remote communities. This review examines the role of energy storage within HRESs by systematically comparing electrochemical, mechanical, thermal, and hydrogen-based technologies in terms of technical performance, lifecycle cost, operational constraints, and environmental impact. We synthesize findings from implemented off-grid projects across multiple countries to evaluate real-world performance metrics, including renewable fraction, expected energy not supplied (EENS), lifecycle cost, and operation & maintenance burdens. Special attention is given to the emerging role of hydrogen as a long-term and cross-sector energy carrier, addressing its technical, regulatory, and financial barriers to widespread deployment. In addition, the paper reviews real-world implementations of off-grid HRES in various countries, summarizing practical outcomes and lessons for system design and policy. The discussion also includes recent advances in metaheuristic optimization algorithms, which have improved planning efficiency, system reliability, and cost-effectiveness. By combining technological, operational, and policy perspectives, this review identifies current challenges and future directions for developing sustainable, resilient, and economically viable HRES that can accelerate equitable electrification in remote areas. Finally, the review outlines key limitations and future directions, calling for more systematic quantitative studies, long-term field validation of emerging technologies, and the development of intelligent, Artificial Intelligence (AI)-driven energy management systems within broader socio-techno-economic frameworks. Overall, this work offers concise insights to guide researchers and policymakers in advancing the practical deployment of sustainable and resilient HRES. Full article
Show Figures

Figure 1

24 pages, 940 KB  
Article
Evaluating the Role of Hybrid Renewable Energy Systems in Supporting South Africa’s Energy Transition
by Mxolisi Miller, Xolani Yokwana and Mbuyu Sumbwanyambe
Processes 2025, 13(11), 3455; https://doi.org/10.3390/pr13113455 - 27 Oct 2025
Cited by 1 | Viewed by 1322
Abstract
This report evaluates the role of Hybrid Renewable Energy Systems (HRESs) in supporting South Africa’s energy transition amidst persistent power shortages, coal dependency, and growing decarbonisation imperatives. Drawing on national policy frameworks including the Integrated Resource Plan (IRP 2019), the Just Energy Transition [...] Read more.
This report evaluates the role of Hybrid Renewable Energy Systems (HRESs) in supporting South Africa’s energy transition amidst persistent power shortages, coal dependency, and growing decarbonisation imperatives. Drawing on national policy frameworks including the Integrated Resource Plan (IRP 2019), the Just Energy Transition (JET) strategy, and Net Zero 2050 targets, this study analyses five major HRES configurations: PV–Battery, PV–Diesel–Battery, PV–Wind–Battery, PV–Hydrogen, and Multi-Source EMS. Through technical modelling, lifecycle cost estimation, and trade-off analysis, the report demonstrates how hybrid systems can decentralise energy supply, improve grid resilience, and align with socio-economic development goals. Geographic application, cost-performance metrics, and policy alignment are assessed to inform region-specific deployment strategies. Despite enabling technologies and proven field performance, the scale-up of HRESs is constrained by financial, regulatory, and institutional barriers. The report concludes with targeted policy recommendations to support inclusive and regionally adaptive HRES investment in South Africa. Full article
(This article belongs to the Special Issue Advanced Technologies of Renewable Energy Sources (RESs))
Show Figures

Figure 1

31 pages, 5934 KB  
Article
Techno-Economic Optimization of a Hybrid Renewable Energy System with Seawater-Based Pumped Hydro, Hydrogen, and Battery Storage for a Coastal Hotel
by Tuba Tezer
Processes 2025, 13(10), 3339; https://doi.org/10.3390/pr13103339 - 18 Oct 2025
Viewed by 1469
Abstract
This study presents the design and techno-economic optimization of a hybrid renewable energy system (HRES) for a coastal hotel in Manavgat, Türkiye. The system integrates photovoltaic (PV) panels, wind turbines (WT), pumped hydro storage (PHS), hydrogen storage (electrolyzer, tank, and fuel cell), batteries, [...] Read more.
This study presents the design and techno-economic optimization of a hybrid renewable energy system (HRES) for a coastal hotel in Manavgat, Türkiye. The system integrates photovoltaic (PV) panels, wind turbines (WT), pumped hydro storage (PHS), hydrogen storage (electrolyzer, tank, and fuel cell), batteries, a fuel cell-based combined heat and power (CHP) unit, and a boiler to meet both electrical and thermal demands. Within this broader optimization framework, six optimal configurations emerged, representing grid-connected and standalone operation modes. Optimization was performed in HOMER Pro to minimize net present cost (NPC) under strict reliability (0% unmet load) and renewable energy fraction (REF > 75%) constraints. The grid-connected PHS–PV–WT configuration achieved the lowest NPC ($1.33 million) and COE ($0.153/kWh), with a renewable fraction of ~96% and limited excess generation (~21%). Off-grid PHS-based and PHS–hydrogen configurations showed competitive performance with slightly higher costs. Hydrogen integration additionally provides complementary storage pathways, coordinated operation, waste heat utilization, and redundancy under component unavailability. Battery-only systems without PHS or hydrogen storage resulted in 37–39% higher capital costs and ~53% higher COE, confirming the economic advantage of long-duration PHS. Sensitivity analyses indicate that real discount rate variations notably affect NPC and COE, particularly for battery-only systems. Component cost sensitivity highlights PV and WT as dominant cost drivers, while PHS stabilizes system economics and the hydrogen subsystem contributes minimally due to its small scale. Overall, these results confirm the techno-economic and environmental benefits of combining seawater-based PHS with optional hydrogen and battery storage for sustainable hotel-scale applications. Full article
(This article belongs to the Special Issue 1st SUSTENS Meeting: Advances in Sustainable Engineering Systems)
Show Figures

Figure 1

Back to TopTop