Nonlinear Large-Strain Consolidation of Vertical Drains with Coupled Radial–Vertical Flow Considering Hansbo’s Flow and Smearing Effects
Abstract
1. Introduction
2. Large-Strain Nonlinear Radial-Vertical Consolidation Model
2.1. Problem Description
2.2. Basic Assumptions
2.3. Governing Equation and Boundary Conditions
2.4. Solution of Equations
2.4.1. Non-Dimensionalization
2.4.2. Difference Solution of Equation
3. Parametric Analysis
3.1. Comparison with Vertical Consolidation with Radial Flow Only
3.2. Comparison with Equivalent Strain Analytical Solutions
4. Parametric Study
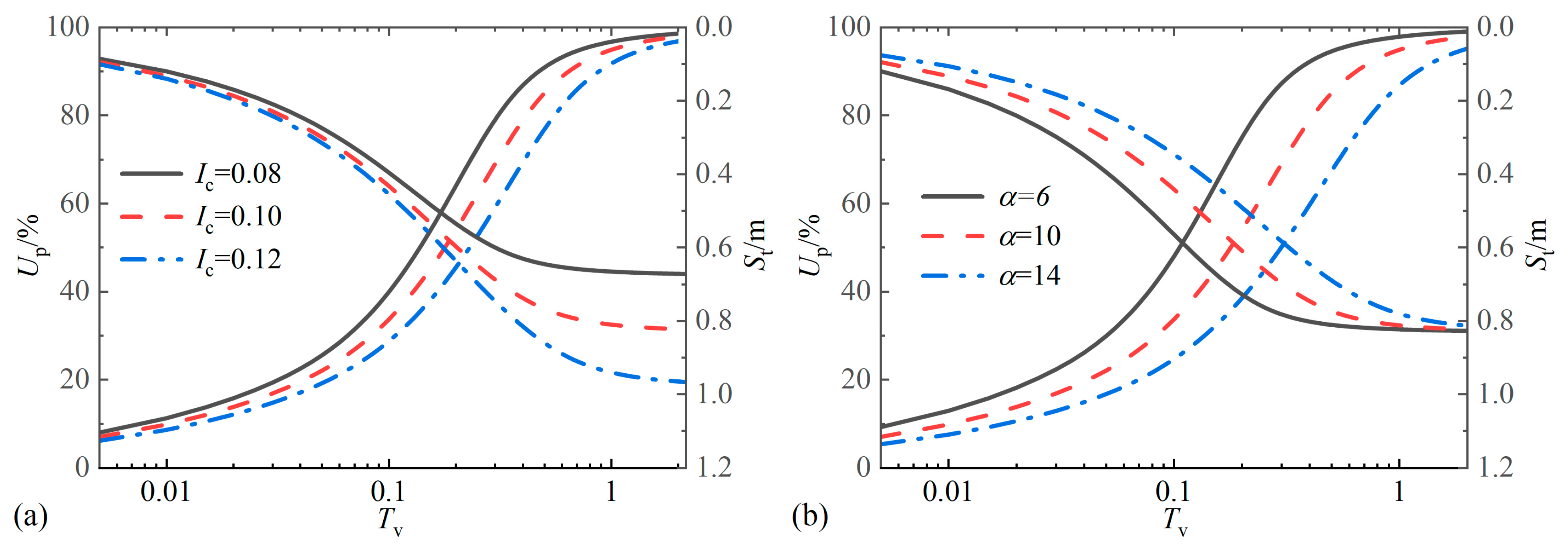
4.1. Influence of Smear Zone Permeability Pattern
4.2. Influence of Nonlinear Compression Parameter (Ic) and Nonlinear Permeability Parameter (α)
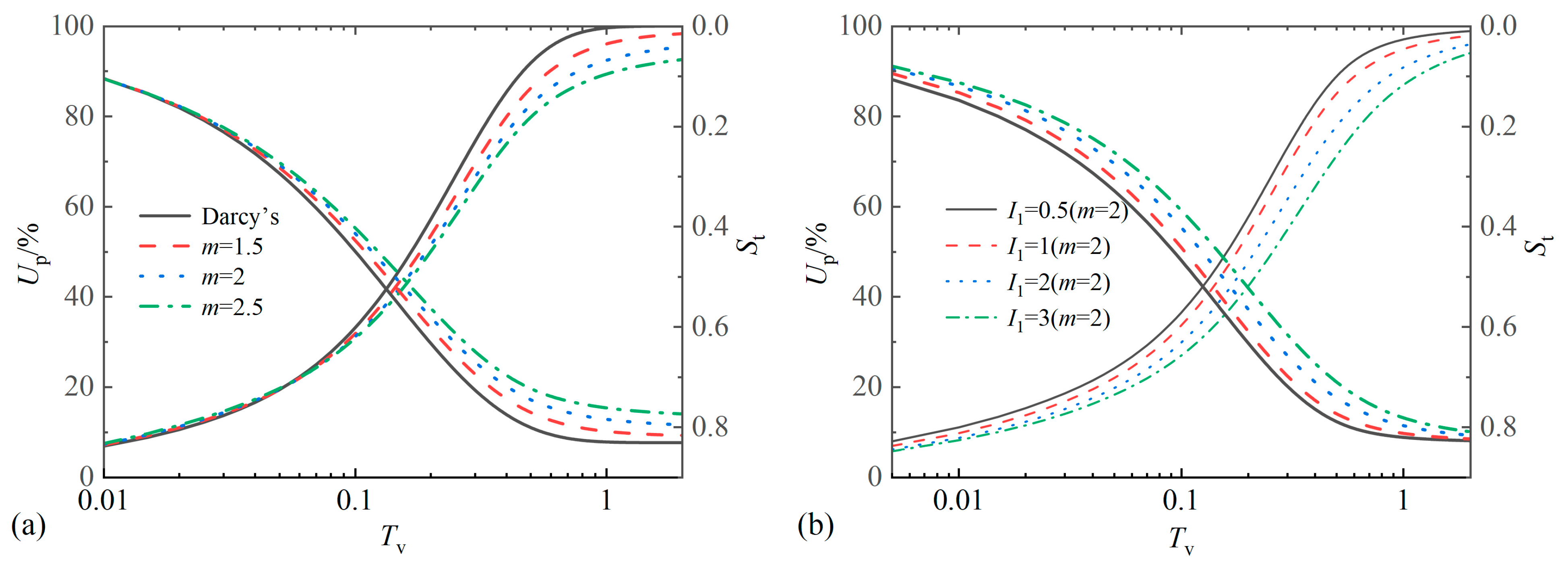
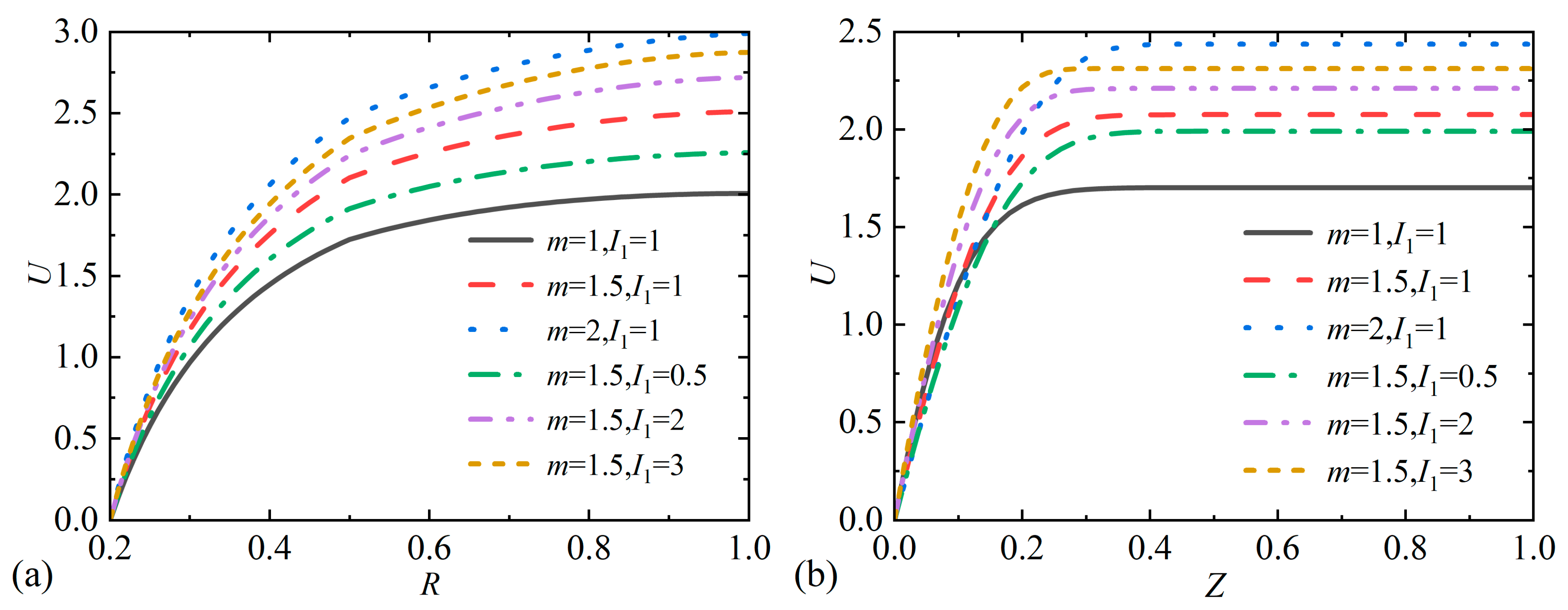
4.3. Influence of Hansbo’s Flow Parameters m and I1
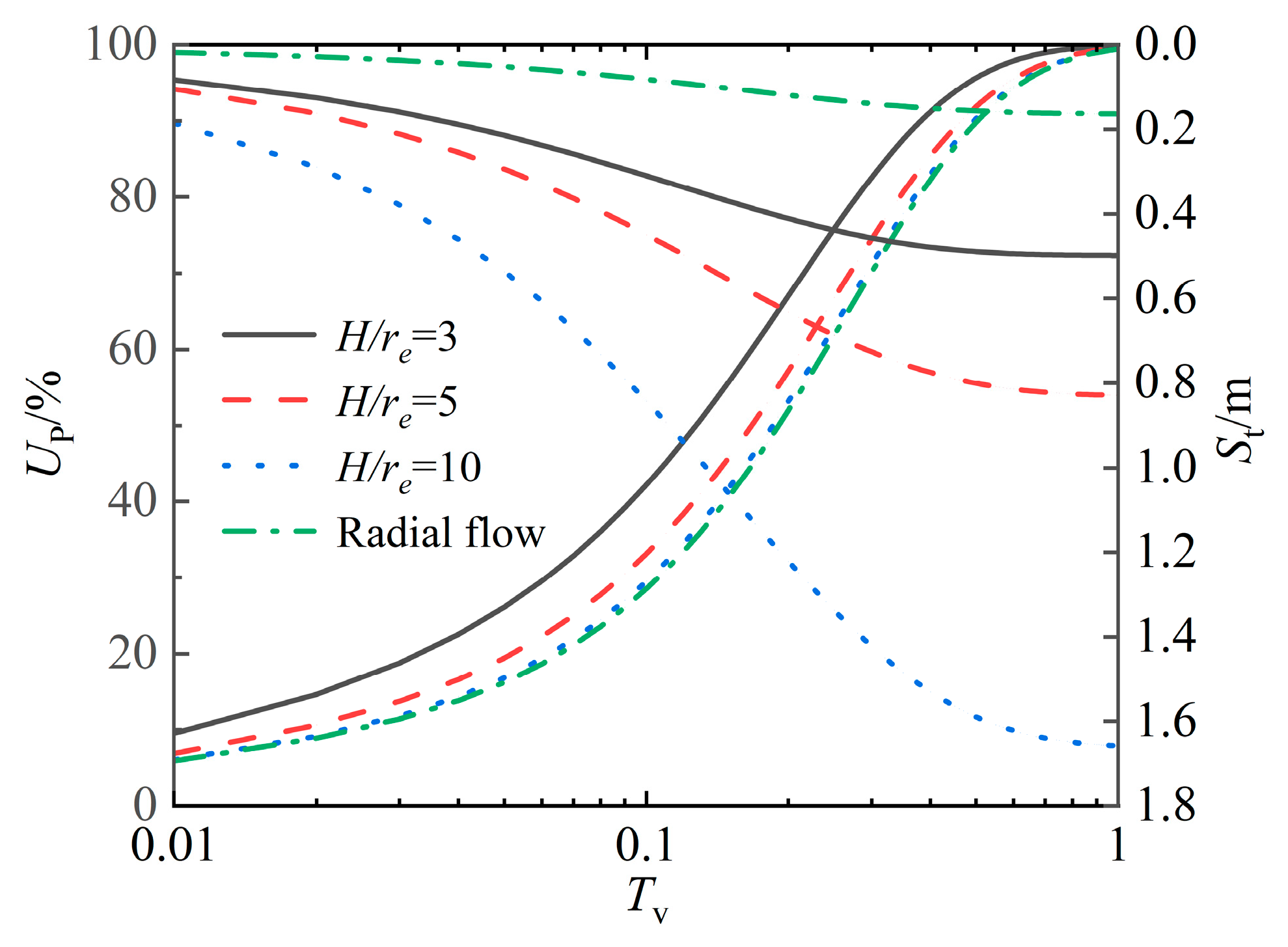
4.4. Influence of Soil Layer Thickness
5. Conclusions
- The spatial distribution pattern of permeability within the smear zone significantly affects consolidation behavior under coupled radial–vertical flow. Different distribution forms lead to distinct consolidation rates, indicating that not only the average permeability but also its radial variation influences the consolidation process within a multidimensional flow framework.
- Larger values of Hansbo’s flow parameters m and I1 reduce the consolidation rate due to increased hydraulic resistance associated with non-Darcy flow. The discrepancy between coupled and purely radial consolidation is most pronounced in the early stage, with the maximum deviation in ADC exceeding 20% under certain conditions, indicating that vertical flow mainly accelerates the initial dissipation of excess pore pressure. With increasing depth and time, radial flow gradually becomes dominant and the difference between the two models diminishes.
- Increasing the nonlinear compression and permeability parameters enhances the relative deviation between the coupled and purely radial models, indicating that soil nonlinearity amplifies the interaction between radial and vertical flow. Nevertheless, radial flow remains the primary consolidation mechanism, while vertical flow plays a supplementary yet non-negligible role under strongly nonlinear conditions.
- At any given time, the average degree of consolidation predicted by the coupled radial–vertical model exceeds that of the purely radial model. However, as the normalized depth H/re increases, the contribution of vertical drainage progressively diminishes. When H/re > 10, the consolidation response converges to that of the purely radial model, and simplified radial solutions can provide reasonable engineering estimates. In contrast, for relatively thin soil layers, pronounced smear effects, or highly nonlinear soil behavior, neglecting vertical flow and large-strain coupling may lead to noticeable deviations in predicted consolidation rate and settlement evolution.
- (i)
- Incorporating anisotropic permeability conditions to better represent natural clay deposits;
- (ii)
- Considering non-instantaneous or cyclic loading scenarios, particularly relevant to traffic or staged construction;
- (iii)
- Validating the model against field case histories or centrifuge tests to quantify predictive accuracy;
- (iv)
- Coupling the formulation with constitutive models that account for creep or secondary compression, enabling long-term settlement prediction.
Author Contributions
Funding
Data Availability Statement
Conflicts of Interest
References
- Walker, R.; Indraratna, B. Vertical drain consolidation with parabolic distribution of permeability in smear zone. J. Geotech. Geoenviron. Eng. 2006, 132, 937–941. [Google Scholar] [CrossRef]
- Walker, R.; Indraratna, B.; Sivakugan, N. Vertical and radial consolidation analysis of multilayered soils using the spectral method. J. Geotech. Geoenviron. Eng. 2009, 135, 657–663. [Google Scholar] [CrossRef]
- Nguyen, B.P.; Kim, Y.T. Radial consolidation of PVD-Installed normally consolidated soil with discharge capacity reduction using large-strain theory. Geotext. Geomembr. 2019, 47, 243–254. [Google Scholar] [CrossRef]
- Lu, M.; Wang, S.; Sloan, S.W.; Sheng, D.; Xie, K. Nonlinear consolidation of vertical drains with coupled radial-vertical flow considering well resistance. Geotext. Geomembr. 2015, 43, 182–189. [Google Scholar] [CrossRef]
- Cui, P.L.; Cao, W.G.; Xu, Z.; Wei, Y.B.; Li, H.X. One-dimensional non-linear rheological consolidation of clayey soils with Swartzendruber’s flow law. Comput. Geotech. 2023, 155, 105201. [Google Scholar] [CrossRef]
- Chai, J.C.; Miura, N.; Sakajo, S. A theoretical study on smear effect around vertical drain. In Proceedings of the 14th International Conference on Soil Mechanics and Foundation Engineering, Hamburg, Germany, 6–12 September 1997; pp. 1581–1584. [Google Scholar]
- Deng, A.; Zhou, Y.D. Modeling electroosmosis and surcharge preloading consolidation. I: Model formulation. J. Geotech. Geoenviron. Eng. 2016, 142, 04015086. [Google Scholar] [CrossRef]
- Walker, R.; Indraratna, B. Vertical drain consolidation with overlapping smear zones. Géotechnique 2007, 57, 463–467. [Google Scholar] [CrossRef]
- Wang, X.S.; Jiao, J.J. Analysis of soil consolidation by vertical drains with double porosity model. Int. J. Numer. Anal. Methods Geomech. 2004, 28, 1385–1400. [Google Scholar] [CrossRef]
- Geng, X.; Yu, H.S. A large-strain radial consolidation theory for soft clays improved by vertical drains. Géotechnique 2017, 67, 1020–1028. [Google Scholar] [CrossRef]
- Liu, S.J.; Geng, X.Y.; Sun, H.; Cai, T.Q.; Pan, X.D.; Shi, L. Nonlinear consolidation of vertical drains with coupled radial-vertical flow considering time and depth dependent vacuum pressure. Int. J. Numer. Anal. Methods Geomech. 2019, 43, 767–780. [Google Scholar] [CrossRef]
- Liu, Z.Y.; Zhang, J.C.; Duan, S.Q.; Xia, Y.Y.; Cui, P.L. A consolidation modelling algorithm based on the unified hardening constitutive relation and Hansbo’s flow rule. Comput. Geotech. 2020, 117, 103233. [Google Scholar] [CrossRef]
- Zhai, K.J.; Fang, H.Y.; Wang, N.N.; Dong, J.X.; Xue, B.H. Mechanical response of concrete pipe rehabilitated by liner under external load: Analytical solution. Int. J. Numer. Anal. Methods Geomech. 2024, 48, 911–924. [Google Scholar] [CrossRef]
- Wang, J.; Ding, J.; Wang, H.; Yuan, L. Large-strain consolidation model considering radial transfer attenuation of vacuum pressure. Comput. Geotech. 2020, 122, 103498. [Google Scholar] [CrossRef]
- Chen, M.; Cao, W.; Cui, P. Large strain nonlinear consolidation analysis of sand drain foundation considering smear effect. J. Archit. Civ. Eng. 2024, 41, 182–190. (In Chinese) [Google Scholar]
- Lu, M.M.; Xie, K.H.; Wang, S.Y. Consolidation of vertical drain with depth-varying stress induced by multi-stage loading. Comput. Geotech. 2011, 38, 1096–1101. [Google Scholar] [CrossRef]
- Lu, M.; Wang, S.; Sloan, S.W.; Indraratna, B.; Xie, K. Nonlinear radial consolidation of vertical drains under a general time-variable loading. Int. J. Numer. Anal. Methods Geomech. 2015, 39, 51–62. [Google Scholar] [CrossRef]
- Li, B.; Fang, Y.G.; Ou, Z.F. Asymptotic solution for the one-dimensional nonlinear consolidation equation including the pore evolution effect. Int. J. Geomech. 2018, 18, 04018125. [Google Scholar] [CrossRef]
- Li, C.; Qiu, C. Analytical solution of one-dimensional nonlinear large strain consolidation of highly compressible soft soil. Chin. J. Rock Mech. Eng. 2021, 40, 2344–2356. (In Chinese) [Google Scholar]
- Hansbo, S. Aspect of vertical drain design: Darcian or non-Darcian flow. Géotechnique 1997, 47, 983–992. [Google Scholar] [CrossRef]
- Cui, P.L.; Fang, H.Y.; Wang, F.M.; Cao, W.G.; Zhang, X.Y.; Peng, B.C.; Li, H.X.; Yue, S. Nonlinear creep consolidation of vertical drain-improved soft ground withtime-dependent permeable boundary under linearly construction load. Geotext. Geomembr. 2025, 53, 121–139. [Google Scholar] [CrossRef]
- Onoue, A.; Ting, N.H.; Germaine, J.T.; Whitman, R.V. Permeability of disturbed zone around vertical drains. In Proceedings of the ASCE Geotechnical Engineering Congress, Boulder, CO, USA, 10–12 June 1991; pp. 879–890. [Google Scholar]
- Indraratna, B.; Rujikiatkamjorn, C.; Sathananthan, I. Radial consolidation of clay using compressibility indices and varying horizontal permeability. Can. Geotech. J. 2005, 42, 1330–1341. [Google Scholar] [CrossRef]
- Liu, Z.Y.; Xia, Y.Y.; Shi, M.; Zhang, J.; Zhu, X. Numerical Simulation and Experiment Study on the Characteristics of Non-Darcian Flow and Rheological Consolidation of Saturated Clay. Water 2019, 11, 1385. [Google Scholar] [CrossRef]
- Zhang, Y.; Wu, W.B.; Mei, G.X.; Duan, L. Three-dimensional consolidation theory of vertical drain based on continuous drainage boundary. J. Civ. Eng. Manag. 2019, 25, 145–155. [Google Scholar] [CrossRef]
- Cui, P.L.; Cao, W.G.; Liu, Y.Y.; Zhang, X.Y.; Li, H.X.; Xu, Z. One-dimensional nonlinear creep consolidation of soft soils with time-dependent drainage boundary under construction load. Int. J. Numer. Anal. Methods Geomech. 2023, 47, 1612–1636. [Google Scholar] [CrossRef]
- Teh, C.I.; Nie, X. Coupled consolidation theory with non-Darcian flow. Comput. Geotech. 2002, 29, 169–209. [Google Scholar] [CrossRef]
- Xie, K.H.; Lu, M.M.; Liu, G.B. Equal strain consolidation for stone columns reinforced foundation. Int. J. Numer. Anal. Methods Geomech. 2009, 33, 1721–1735. [Google Scholar] [CrossRef]
- Li, G. Advanced Soil Mechanics; Tsinghua University Press: Beijing, China, 2004; pp. 75–80. (In Chinese) [Google Scholar]












Disclaimer/Publisher’s Note: The statements, opinions and data contained in all publications are solely those of the individual author(s) and contributor(s) and not of MDPI and/or the editor(s). MDPI and/or the editor(s) disclaim responsibility for any injury to people or property resulting from any ideas, methods, instructions or products referred to in the content. |
© 2026 by the authors. Licensee MDPI, Basel, Switzerland. This article is an open access article distributed under the terms and conditions of the Creative Commons Attribution (CC BY) license.
Share and Cite
Chen, G.; Xie, H.; Ma, Y.; Li, Y.; Xu, Z.; Song, L.; Cui, P.; Zhai, K. Nonlinear Large-Strain Consolidation of Vertical Drains with Coupled Radial–Vertical Flow Considering Hansbo’s Flow and Smearing Effects. Water 2026, 18, 645. https://doi.org/10.3390/w18050645
Chen G, Xie H, Ma Y, Li Y, Xu Z, Song L, Cui P, Zhai K. Nonlinear Large-Strain Consolidation of Vertical Drains with Coupled Radial–Vertical Flow Considering Hansbo’s Flow and Smearing Effects. Water. 2026; 18(5):645. https://doi.org/10.3390/w18050645
Chicago/Turabian StyleChen, Guanglei, Haiyang Xie, Yihu Ma, Yizhao Li, Zan Xu, Linlu Song, Penglu Cui, and Kejie Zhai. 2026. "Nonlinear Large-Strain Consolidation of Vertical Drains with Coupled Radial–Vertical Flow Considering Hansbo’s Flow and Smearing Effects" Water 18, no. 5: 645. https://doi.org/10.3390/w18050645
APA StyleChen, G., Xie, H., Ma, Y., Li, Y., Xu, Z., Song, L., Cui, P., & Zhai, K. (2026). Nonlinear Large-Strain Consolidation of Vertical Drains with Coupled Radial–Vertical Flow Considering Hansbo’s Flow and Smearing Effects. Water, 18(5), 645. https://doi.org/10.3390/w18050645

