Sign in to use this feature.

Years

Between: -

Subjects

remove_circle_outline
remove_circle_outline
remove_circle_outline
remove_circle_outline
remove_circle_outline
remove_circle_outline
remove_circle_outline
remove_circle_outline
remove_circle_outline

Journals

remove_circle_outline
remove_circle_outline
remove_circle_outline
remove_circle_outline
remove_circle_outline

Article Types

Countries / Regions

remove_circle_outline
remove_circle_outline
remove_circle_outline
remove_circle_outline

Search Results (445)

Search Parameters:
Keywords = Golay-6

Order results
Result details
Results per page
Select all
Export citation of selected articles as:
22 pages, 4016 KB  
Article
Integrating VNIR–SWIR Spectroscopy and Handheld XRF for Enhanced Mineralogical Characterization of Phosphate Mine Waste Rocks in Benguerir, Morocco: Implications for Sustainable Mine Reclamation
by Abdelhak El Mansour, Ahmed Najih, Jamal-Eddine Ouzemou, Ahmed Laamrani, Abdellatif Elghali, Rachid Hakkou and Mostafa Benzaazoua
Sensors 2026, 26(1), 2; https://doi.org/10.3390/s26010002 - 19 Dec 2025
Abstract
Phosphate is a crucial non-renewable mineral resource, mainly utilized in producing fertilizers that support global agriculture. As phosphorus is an indispensable nutrient for plant growth, phosphate holds a key position in ensuring food security. While deposits are distributed worldwide, the largest reserves are [...] Read more.
Phosphate is a crucial non-renewable mineral resource, mainly utilized in producing fertilizers that support global agriculture. As phosphorus is an indispensable nutrient for plant growth, phosphate holds a key position in ensuring food security. While deposits are distributed worldwide, the largest reserves are concentrated in Morocco. The Benguerir phosphate mining in Morocco generates heterogeneous waste (i.e., including overburden, tailings, and phosphogypsum) that complicates management and valorization, which is the beneficial reuse or value recovery from waste materials (e.g., use in cover systems, buffering, or other engineered applications). Therefore, it is essential to characterize their mineralogical properties to evaluate their environmental impact and possibilities for reuse or site revegetation. To do so, we integrate VNIR–SWIR reflectance spectroscopy with HandHeld X-ray fluorescence (HHXRF) to characterize phosphate waste rock and assess its reuse potential. For this purpose, field samples (n = 104) were collected, and their spectral reflectance was measured using an ASD FieldSpec 4 spectroradiometer (350–2500 nm) under standardized laboratory conditions. Spectra were processed (Savitzky–Golay smoothing, convex-hull continuum removal) and matched to ECOSTRESS library references; across the dataset, library matching achieved mean RMSE = 0.15 ± 0.053 (median 0.145; 0.085–0.350), median SAM = 0.134 rad, median SID = 0.029, and mean R2 = 0.748 ± 0.170, with 84% of spectra yielding R2 > 0.70. In parallel, HHXRF major and trace elements were measured on all samples to corroborate spectral interpretations. Together, these analyses resolve carbonate–clay–phosphate assemblages (dolomite commonly dominant, with illite/smectite–kaolinite, quartz, and residual carbonate-fluorapatite varying across samples). Elemental ratios (e.g., Mg/Ca distinguishing dolomite from calcite; K/Al indicating illite) reinforce spectral trends, and phosphate indicators delineate localized enrichment (P2O5 up to 23.86 wt % in apatite-rich samples). Overall, the combined workflow is rapid, low-impact, and reproducible, yielding coherent mineralogical patterns that align across spectroscopic and geochemical lines of evidence and providing actionable inputs for selective screening, targeted material reuse, and more sustainable mine reclamation planning. Full article
(This article belongs to the Special Issue Feature Papers in Smart Sensing and Intelligent Sensors 2025)
Show Figures

Figure 1

19 pages, 8744 KB  
Article
An Adaptive Hyperfine Spectrum Extraction Algorithm for Optical Sensing Based on SG Filtering and VMD
by Yupeng Wu, Kai Ma, Ziyan Yun, Yueheng Zhang, Qiming Su, Xinxin Kong, Zhou Wu and Wenxi Zhang
Sensors 2025, 25(24), 7590; https://doi.org/10.3390/s25247590 - 14 Dec 2025
Viewed by 130
Abstract
In optical sensing, signal demodulation often degrades fine spectral data, particularly in spectroscopic measurements affected by Doppler noise, aliasing, and circuit noise. Existing algorithms often fall short in addressing these issues effectively, as they either necessitate complex parameter tuning and extensive expertise or [...] Read more.
In optical sensing, signal demodulation often degrades fine spectral data, particularly in spectroscopic measurements affected by Doppler noise, aliasing, and circuit noise. Existing algorithms often fall short in addressing these issues effectively, as they either necessitate complex parameter tuning and extensive expertise or are limited to handling simple spectral signals. To address these challenges, this study proposes an adaptive spectral extraction algorithm combining Variational Mode Decomposition (VMD) and Savitzky-Golay (SG) filtering. The algorithm optimizes parameters through an innovative adaptation strategy. By analyzing key parameters such as SG frame length, order, and VMD mode number, it leverages signal time-domain and frequency spectrum information to adaptively determine the optimal VMD modes and SG order, ensuring effective noise suppression and feature preservation. Validated through simulations and experiments, the method significantly enhances spectral signal quality by restoring absorption peaks and eliminating manual parameter adjustments. This work provides a robust solution for improving measurement accuracy and reliability in optical sensing instrumentation, particularly in applications involving complex spectral analysis. Full article
(This article belongs to the Special Issue Advances in Optical Sensing, Instrumentation and Systems: 2nd Edition)
Show Figures

Figure 1

26 pages, 11096 KB  
Article
Predicting Moisture in Different Alfalfa Product Forms with SWIR Hyperspectral Imaging: Key Wavelengths for Low-Cost Sensor Development
by Hongfeng Chu, Yanhua Ma, Chunmao Fan, He Su, Haijun Du, Ting Lei and Zhanfeng Hou
Agriculture 2025, 15(23), 2510; https://doi.org/10.3390/agriculture15232510 - 3 Dec 2025
Viewed by 303
Abstract
Rapid and accurate moisture detection is critical for alfalfa quality control, yet conventional methods are slow, and non-destructive techniques are challenged by different product forms. This study leveraged Short-Wave Infrared Hyperspectral Imaging (SWIR-HSI) to acquire spatially representative spectra, aiming to develop and validate [...] Read more.
Rapid and accurate moisture detection is critical for alfalfa quality control, yet conventional methods are slow, and non-destructive techniques are challenged by different product forms. This study leveraged Short-Wave Infrared Hyperspectral Imaging (SWIR-HSI) to acquire spatially representative spectra, aiming to develop and validate robust, form-specific moisture prediction models for compressed and powdered alfalfa. For compressed alfalfa, a full-spectrum Support Vector Regression (SVR) model demonstrated stable and good performance (mean Prediction Coefficient of Determination RP2 = 0.880, Ratio of Performance to Deviation RPD = 2.93). In contrast, powdered alfalfa achieved superior accuracy (mean RP2 = 0.953, RPD = 5.29) using an optimized pipeline of Savitzky–Golay’s first derivative, Successive Projections Algorithm (SPA) for feature selection, and an SVR model. A key finding is that the optimal model for powdered alfalfa frequently converged to an ultra-sparse, single-band solution near water absorption shoulders (~970/1450 nm), highlighting significant potential for developing low-cost, filter-based agricultural sensors. While this minimalist model showed excellent average accuracy, rigorous repeated evaluations also revealed non-negligible performance variability across different data splits—a crucial consideration for practical deployment. Our findings underscore that tailoring models to specific product forms and explicitly quantifying their robustness is essential for reliable NIR sensing in agriculture and provides concrete wavelength targets for sensor development. Full article
(This article belongs to the Section Artificial Intelligence and Digital Agriculture)
Show Figures

Figure 1

23 pages, 9285 KB  
Article
Evaluation of Gap-Filling Methods for Inland Water Color Remote Sensing Data: A Case Study in Lake Taihu
by Yunrui Si, Ming Shen, Zhigang Cao, Zhiqiang Qiu, Chen Yang, Haochuan Yin and Hongtao Duan
Remote Sens. 2025, 17(23), 3843; https://doi.org/10.3390/rs17233843 - 27 Nov 2025
Viewed by 360
Abstract
Satellite remote sensing is an important approach for monitoring lake water environments. However, in regions with frequent cloud and rainfall, optical remote sensing imagery often suffers from extensive data gaps caused by cloud cover, rainfall, and sun glint, which severely limit its continuity [...] Read more.
Satellite remote sensing is an important approach for monitoring lake water environments. However, in regions with frequent cloud and rainfall, optical remote sensing imagery often suffers from extensive data gaps caused by cloud cover, rainfall, and sun glint, which severely limit its continuity and reliability for long-term monitoring. To address this issue, this study uses Lake Taihu—a typical eutrophic lake located in a cloudy and rainy region—as a case study and systematically compares four representative gap-filling methods: Kriging Interpolation, Savitzky–Golay (SG) Filtering, Data Interpolating Empirical Orthogonal Functions (DINEOF), and the Data Interpolating Convolutional Auto Encoder (DINCAE). The results show that traditional methods retain some accuracy under low missing-data conditions (for Kriging: R = 0.84, RMSE = 7.85 μg/L; for SG Filtering: R = 0.88, RMSE = 6.67 μg/L), but tend to produce over-smoothing or distorted estimations in cases of extensive gaps or highly dynamic environments. In contrast, both DINEOF and DINCAE capture the spatiotemporal variability of chlorophyll-a more effectively, maintaining relatively high accuracy and robustness even when the missing rate exceeds 60% (for DINEOF: R = 0.84, RMSE = 6.91 μg/L; for DINCAE: R = 0.79, RMSE = 8 μg/L). Based on the optimal algorithm, a seamless long-term dataset of chlorophyll-a concentration covering Lake Taihu can be constructed, providing a solid data foundation for eutrophication trend analysis and algal bloom early warning. This study demonstrates the effectiveness of integrating statistical and deep learning approaches for lake water color remote sensing data reconstruction, offering important implications for enhancing continuous monitoring of lake water environments and supporting ecological management decisions. Full article
Show Figures

Figure 1

24 pages, 16126 KB  
Article
Enhanced Lithium-Ion Battery State-of-Charge Estimation via Akima–Savitzky–Golay OCV-SOC Mapping Reconstruction and Bayesian-Optimized Adaptive Extended Kalman Filter
by Awang Abdul Hadi Isa, Sheik Mohammed Sulthan, Muhammad Norfauzi Dani and Soon Jiann Tan
Energies 2025, 18(23), 6192; https://doi.org/10.3390/en18236192 - 26 Nov 2025
Viewed by 329
Abstract
This paper introduces a novel Lithium-Ion Battery (LIB) State-of-Charge (SOC) estimation approach that integrates Akima–Savitzky–Golay curve reconstruction with a Bayesian-optimized, adaptive Extended Kalman Filter (EKF). The method addresses crucial SOC estimation challenges by means of three foundational advancements: (i) a refined open-circuit voltage [...] Read more.
This paper introduces a novel Lithium-Ion Battery (LIB) State-of-Charge (SOC) estimation approach that integrates Akima–Savitzky–Golay curve reconstruction with a Bayesian-optimized, adaptive Extended Kalman Filter (EKF). The method addresses crucial SOC estimation challenges by means of three foundational advancements: (i) a refined open-circuit voltage (OCV)-SOC curve reconstruction grounded in Akima interpolation coupled with Savitzky–Golay filtering, (ii) an adaptive EKF weighting strategy, and (iii) systematic hyperparameter value optimization executed through Bayesian optimization. Comprehensive performance validation utilizes an extensive dataset collected from LG HG2 18650 cells across temperatures of −20 °C to 40 °C, incorporating multiple standard driving cycles—namely HPPC, UDDS, HWFET, LA92, and US06 cycles. The proposed method achieves an improved estimation accuracy with an average Root Mean Square Error (RMSE) of 2.65% over the different operating conditions and temperature variations. Notably, the method markedly enhances SOC estimation reliability in the critical mid-SOC range (20–80%), while preserving the computational overhead necessary for real-time integration into Battery Management Systems (BMSs). The adaptive weighting successfully compensates for the present physical limitations, thereby delivering a resilient SOC estimation tailored for Electric Vehicle (EV) battery applications. Full article
Show Figures

Figure 1

18 pages, 4013 KB  
Article
Conception of a Low-Cost Location System for an Unmanned Ground Vehicle
by Łukasz Rykała, Mirosław Przybysz, Karol Cieślik and Tomasz Muszyński
Electronics 2025, 14(23), 4636; https://doi.org/10.3390/electronics14234636 - 25 Nov 2025
Viewed by 219
Abstract
This article analyzes the possibility of using different sensors for a low-cost location system for Unmanned Ground Vehicles (UGVs). Based on the adopted assumptions, a concept of a location system based on Ultra-Wideband (UWB) technology is proposed. Determining a signal processing scheme with [...] Read more.
This article analyzes the possibility of using different sensors for a low-cost location system for Unmanned Ground Vehicles (UGVs). Based on the adopted assumptions, a concept of a location system based on Ultra-Wideband (UWB) technology is proposed. Determining a signal processing scheme with minimal localization errors required performing simulation studies. To reflect the actual operating conditions of UWB modules, noise in distance measurements was assumed. The signal processing was then conducted by testing various signal filtering methods, e.g., Moving mean, LOESS, RLOESS, Savitzky–Golay, Hampel, and Median Filter, in MATLAB/Simulink R2023b. To evaluate the filtering results, the Sum of Squared Errors (SSE), the Mean Squared Error (MSE), and the Mean Absolute Error (MAE) quality indicators were adopted, and the total localization errors were determined. The best selected filter combination improved the SSE and MSE indicators by approximately 82% and the MAE by approximately 59%, while the mean total error decreased by about 42% to 0.045 m. Full article
(This article belongs to the Section Computer Science & Engineering)
Show Figures

Figure 1

25 pages, 2059 KB  
Article
Measuring Mental Effort in Real Time Using Pupillometry
by Gavindya Jayawardena, Yasith Jayawardana and Jacek Gwizdka
J. Eye Mov. Res. 2025, 18(6), 70; https://doi.org/10.3390/jemr18060070 - 24 Nov 2025
Viewed by 577
Abstract
Mental effort, a critical factor influencing task performance, is often difficult to measure accurately and efficiently. Pupil diameter has emerged as a reliable, real-time indicator of mental effort. This study introduces RIPA2, an enhanced pupillometric index for real-time mental effort assessment. Building on [...] Read more.
Mental effort, a critical factor influencing task performance, is often difficult to measure accurately and efficiently. Pupil diameter has emerged as a reliable, real-time indicator of mental effort. This study introduces RIPA2, an enhanced pupillometric index for real-time mental effort assessment. Building on the original RIPA method, RIPA2 incorporates refined Savitzky–Golay filter parameters to better isolate pupil diameter fluctuations within biologically relevant frequency bands linked to cognitive load. We validated RIPA2 across two distinct tasks: a structured N-back memory task and a naturalistic information search task involving fact-checking and decision-making scenarios. Our findings show that RIPA2 reliably tracks variations in mental effort, demonstrating improved sensitivity and consistency over the original RIPA and strong alignment with the established offline measures of pupil-based cognitive load indices, such as LHIPA. Notably, RIPA2 captured increased mental effort at higher N-back levels and successfully distinguished greater effort during decision-making tasks compared to fact-checking tasks, highlighting its applicability to real-world cognitive demands. These findings suggest that RIPA2 provides a robust, continuous, and low-latency method for assessing mental effort. It holds strong potential for broader use in educational settings, medical environments, workplaces, and adaptive user interfaces, facilitating objective monitoring of mental effort beyond laboratory conditions. Full article
Show Figures

Figure 1

19 pages, 2710 KB  
Article
Internet of Things-Based Electromagnetic Compatibility Monitoring (IEMCM) Architecture for Biomedical Devices
by Chiedza Hwata, Gerard Rushingabigwi, Omar Gatera, Didacienne Mukalinyigira, Celestin Twizere, Bolaji N. Thomas and Diego H. Peluffo-Ord’onez
Appl. Sci. 2025, 15(22), 12337; https://doi.org/10.3390/app152212337 - 20 Nov 2025
Cited by 1 | Viewed by 429
Abstract
Electromagnetic compatibility is the capability of electrical and electronic equipment to function properly around devices radiating electromagnetic energy, without mutual disturbance. Hospital environments contain numerous devices operating simultaneously and sharing resources. Undetected electromagnetic interference can cause medical devices’ malfunctions, exposing patients and staff. [...] Read more.
Electromagnetic compatibility is the capability of electrical and electronic equipment to function properly around devices radiating electromagnetic energy, without mutual disturbance. Hospital environments contain numerous devices operating simultaneously and sharing resources. Undetected electromagnetic interference can cause medical devices’ malfunctions, exposing patients and staff. Traditional monitoring is time-consuming and relies on expert interpretation. An Internet of Things-enabled embedded system architecture for remote and real-time monitoring of electromagnetic fields from medical devices is proposed. It integrates frequency probes, a Raspberry Pi 4, and a communication module. A three-month study conducted at Muhima District Hospital, Kigali, Rwanda, demonstrated the system’s effectiveness in monitoring electromagnetic field levels and cloud transmission. The signals were benchmarked against International Electrotechnical Commission and Rwanda Standards Board standards. Alerts are triggered when thresholds are exceeded, with results plotted on website and mobile interfaces. Emissions were highest at noon when the equipment was most active and lower after 1:30 PM, indicating reduced activity. The sample recorded statistics of electric fields include mean (1.0028), minimum (0.7228), and maximum (1.3515). Among the five filters evaluated, the Savitzky–Golay performed better, with MSE (0.235) and SNR (9.308). A 412 ms average latency and 24 h operation was achieved, offering a portable solution for hospital safety and equipment optimization. Full article
Show Figures

Figure 1

23 pages, 3917 KB  
Article
Multi-Fluid Pipeline Leak Detection and Classification Using Savitzky–Golay Scalograms and Lightweight Vision Transformer Featuring Streamlined Self-Attention
by Niamat Ullah, Zahoor Ahmad and Jong-Myon Kim
Sensors 2025, 25(22), 7001; https://doi.org/10.3390/s25227001 - 16 Nov 2025
Viewed by 593
Abstract
This paper presents a novel pipeline leak diagnosis framework that combines Savitzky–Golay scalograms with a lightweight advanced deep learning architecture. Pipelines are critical for transporting fluids and gases, but leaks can lead to operational disruptions, environmental hazards, and financial losses. Leak events generate [...] Read more.
This paper presents a novel pipeline leak diagnosis framework that combines Savitzky–Golay scalograms with a lightweight advanced deep learning architecture. Pipelines are critical for transporting fluids and gases, but leaks can lead to operational disruptions, environmental hazards, and financial losses. Leak events generate acoustic emissions (AE), captured as transient signals by AE sensors; however, these signals are often masked by noise and affected by the transported medium. To overcome this challenge, a fluid-independent detection approach is proposed that begins with acquiring AE data under various operational conditions, including multiple intensities of pinhole leaks and normal states. The transient signals are transformed into detailed scalograms using the Continuous Wavelet Transform (CWT), revealing subtle time–frequency patterns associated with leak events. To enhance these leak-specific features, a targeted Savitzky–Golay (SG) filter is applied, producing refined Savitzky–Golay scalograms (SG scalograms). These SG scalograms are then used to train a Convolutional Neural Network (CNN) and a newly developed lightweight Vision Transformer with streamlined self-attention (LViT-S), which autonomously learn both local and global features. The LViT-S achieves reduced embedding dimensions and fewer Transformer layers, significantly lowering computational cost while maintaining high performance. Extracted local and global features are merged into a unified feature vector, representing diverse visual characteristics learned by each network through their respective loss functions. This comprehensive feature representation is then passed to an Artificial Neural Network (ANN) for final classification, accurately identifying the presence, severity, and absence of leaks. The effectiveness of the proposed method is evaluated under two different pressure conditions, two fluid types (gas and water), and three distinct leak sizes, achieving a high classification accuracy of 98.6%. Additionally, a comparative evaluation against four state-of-the-art methods demonstrates that the proposed framework consistently delivers superior accuracy across diverse operational scenarios. Full article
(This article belongs to the Special Issue Advanced Sensing Technology in Structural Health Monitoring)
Show Figures

Figure 1

20 pages, 5465 KB  
Article
Deep Residual Learning for Hyperspectral Imaging Camouflage Detection with SPXY-Optimized Feature Fusion Framework
by Qiran Wang and Jinshi Cui
Appl. Sci. 2025, 15(22), 11902; https://doi.org/10.3390/app152211902 - 9 Nov 2025
Viewed by 409
Abstract
Camouflage detection in hyperspectral imaging is hindered by the spectral similarity between artificial materials and natural vegetation. This study proposes a non-destructive classification framework integrating optimized sample partitioning, spectral preprocessing, and residual deep learning to address this challenge. Hyperspectral data of camouflage fabrics [...] Read more.
Camouflage detection in hyperspectral imaging is hindered by the spectral similarity between artificial materials and natural vegetation. This study proposes a non-destructive classification framework integrating optimized sample partitioning, spectral preprocessing, and residual deep learning to address this challenge. Hyperspectral data of camouflage fabrics and natural grass (389.06–1005.10 nm) were acquired and preprocessed using principal component analysis, standard normal variate (SNV) transformation, Savitzky–Golay (SG) filtering, and derivative-based enhancement. The Sample set Partitioning based on joint X–Y distance (SPXY) algorithm was applied to improve representativeness of training subsets, and several classifiers were constructed, including support vector machine (SVM), random forest (RF), k-nearest neighbors (KNN), convolutional neural network (CNN), and residual network (ResNet). Comparative evaluation demonstrated that the SPXY-ResNet model achieved the best performance, with 99.17% accuracy, 98.89% precision, and 98.82% recall, while maintaining low training time. Statistical analysis using Kullback–Leibler divergence and similarity measures confirmed that SPXY improved distributional consistency between training and testing sets, thereby enhancing generalization. The confusion matrix and convergence curves further validated stable learning with minimal misclassifications and no overfitting. These findings indicate that the proposed SPXY-ResNet framework provides a robust, efficient, and accurate solution for hyperspectral camouflage detection, with promising applicability to defense, ecological monitoring, and agricultural inspection. Full article
Show Figures

Figure 1

11 pages, 1595 KB  
Communication
PyMossFit: A Google Colab Option for Mössbauer Spectra Fitting
by Fabio D. Saccone
Spectrosc. J. 2025, 3(4), 29; https://doi.org/10.3390/spectroscj3040029 - 4 Nov 2025
Cited by 1 | Viewed by 386
Abstract
This article introduces the main characteristics of PyMossFit, a software for Mössbauer spectra fitting. It is explained how each aspect of the code works. Based on the Lmfit Python package, it is a robust data fitting tool. Designed to run through Jupyter Notebook [...] Read more.
This article introduces the main characteristics of PyMossFit, a software for Mössbauer spectra fitting. It is explained how each aspect of the code works. Based on the Lmfit Python package, it is a robust data fitting tool. Designed to run through Jupyter Notebook in the Google Colab cloud, it also allows one to work via multiple devices and operating systems. In addition, it allows the fitting procedure to be performed collaboratively among researchers. The software performs the folding of raw data with a discrete Fourier transform. Data smoothing is available with the use of a Savitzky–Golay algorithm. Moreover, a K-nearest neighbor algorithm enables users to determine the present phases by matching the correlations of hyperfine parameters from a local database. Full article
(This article belongs to the Special Issue Advances in Spectroscopy Research)
Show Figures

Graphical abstract

19 pages, 5704 KB  
Article
Rapid and Non-Destructive Assessment of Eight Essential Amino Acids in Foxtail Millet: Development of an Efficient and Accurate Detection Model Based on Near-Infrared Hyperspectral
by Anqi Gao, Xiaofu Wang, Erhu Guo, Dongxu Zhang, Kai Cheng, Xiaoguang Yan, Guoliang Wang and Aiying Zhang
Foods 2025, 14(21), 3760; https://doi.org/10.3390/foods14213760 - 1 Nov 2025
Viewed by 551
Abstract
Foxtail millet is a vital grain whose amino acid content affects nutritional quality. Traditional detection methods are destructive, time-consuming, and inefficient. This work established a rapid and non-destructive method for detecting essential amino acids in the foxtail millet. To address these limitations, this [...] Read more.
Foxtail millet is a vital grain whose amino acid content affects nutritional quality. Traditional detection methods are destructive, time-consuming, and inefficient. This work established a rapid and non-destructive method for detecting essential amino acids in the foxtail millet. To address these limitations, this study developed a rapid, non-destructive approach for quantifying eight essential amino acids—lysine, phenylalanine, methionine, threonine, isoleucine, leucine, valine, and histidine—in foxtail millet (variety: Changnong No. 47) using near-infrared hyperspectral imaging. A total of 217 samples were collected and used for model development. The spectral data were preprocessed using Savitzky–Golay, adaptive iteratively reweighted penalized least squares, and standard normal variate. The key wavelengths were extracted using the competitive adaptive reweighted sampling algorithm, and four regression models—Partial Least Squares Regression (PLSR), Support Vector Regression (SVR), Convolutional Neural Network (CNN), and Bidirectional Long Short-Term Memory (BiLSTM)—were constructed. The results showed that the key wavelengths selected by CARS account for only 2.03–4.73% of the full spectrum. BiLSTM was most suitable for modeling lysine (R2 = 0.5862, RMSE = 0.0081, RPD = 1.6417). CNN demonstrated the best performance for phenylalanine, methionine, isoleucine, and leucine. SVR was most effective for predicting threonine (R2 = 0.8037, RMSE = 0.0090, RPD = 2.2570), valine, and histidine. This study offers an effective novel approach for intelligent quality assessment of grains. Full article
Show Figures

Figure 1

10 pages, 2898 KB  
Proceeding Paper
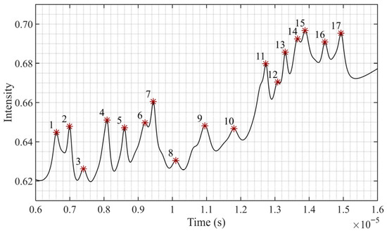
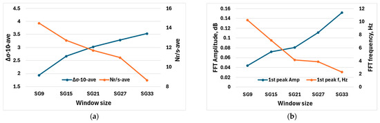
Comparative Analysis of Stress Serration Characteristics in AlMg3 Alloys
by Imre Czinege and Dóra Harangozó
Eng. Proc. 2025, 113(1), 26; https://doi.org/10.3390/engproc2025113026 - 31 Oct 2025
Viewed by 213
Abstract
Aluminum–magnesium alloys show the Portevin–Le Chatelier (PLC) effect. The aim of this publication is to provide a detailed analysis of the evaluation methods of this phenomenon using tensile tests at a strain rate range of 10−3 s−1, where A and [...] Read more.
Aluminum–magnesium alloys show the Portevin–Le Chatelier (PLC) effect. The aim of this publication is to provide a detailed analysis of the evaluation methods of this phenomenon using tensile tests at a strain rate range of 10−3 s−1, where A and A + B stress serrations can be observed. Four smoothing and analytical functions are evaluated in detail as reference functions, which are compared based on their serration amplitude and frequency characteristics. The studied functions are the moving average and Savitzky–Golay smoothing method, as well as the Voce and polynomial analytic functions. The two smoothing methods and smoothing window sizes are compared to obtain the best reference function parameters. Full article
(This article belongs to the Proceedings of The Sustainable Mobility and Transportation Symposium 2025)
Show Figures

Figure 1

9 pages, 2430 KB  
Proceeding Paper
Strain Rate Dependence of PLC Effect in AlMg4.5 Alloys
by Imre Czinege and Dóra Harangozó
Eng. Proc. 2025, 113(1), 25; https://doi.org/10.3390/engproc2025113025 - 31 Oct 2025
Viewed by 194
Abstract
Tensile tests of AlMg4.5 alloy were carried out at six strain rates to study the Portevin–Le Chatelier (PLC) effect. The measured engineering stress–time and engineering stress–engineering strain curves were evaluated by direct peak detection and reference function approximation. The waiting and decay times [...] Read more.
Tensile tests of AlMg4.5 alloy were carried out at six strain rates to study the Portevin–Le Chatelier (PLC) effect. The measured engineering stress–time and engineering stress–engineering strain curves were evaluated by direct peak detection and reference function approximation. The waiting and decay times of the PLC effect, and the related stress jumps and drops, were determined. It was shown that, as a function of strain rate, the quotient of the decay and the waiting time forms a curve with a decreasing slope after an initial rapid rise; the same can be stated about the time derivative of the stress jumps. These relationships are suitable for identifying serrations that vary depending on the strain rate, in full harmony with the stress serration amplitudes observed in the tensile test diagrams. Full article
(This article belongs to the Proceedings of The Sustainable Mobility and Transportation Symposium 2025)
Show Figures

Figure 1

26 pages, 7456 KB  
Article
More Accurate and Reliable Phenology Retrieval in Southwest China: Multi-Method Comparison and Uncertainty Analysis
by Feng Tang, Zhongxi Ge and Xufeng Wang
Remote Sens. 2025, 17(21), 3538; https://doi.org/10.3390/rs17213538 - 26 Oct 2025
Viewed by 530
Abstract
Accurate phenological information is crucial for evaluating ecosystem dynamics and the carbon budget. As one of China’s largest terrestrial ecosystem carbon pools, Southwest China plays a significant role in achieving the “dual carbon” goals of carbon peaking and carbon neutrality. However, evergreen forests [...] Read more.
Accurate phenological information is crucial for evaluating ecosystem dynamics and the carbon budget. As one of China’s largest terrestrial ecosystem carbon pools, Southwest China plays a significant role in achieving the “dual carbon” goals of carbon peaking and carbon neutrality. However, evergreen forests are widely distributed in this region, and phenology extraction based on vegetation indices has certain limitations, while SIF-based phenology extraction offers a viable alternative. This study first evaluated phenological results derived from three solar-induced chlorophyll fluorescence (SIF) datasets, six curve-fitting methods, and five phenological extraction thresholds at flux sites to determine the optimal threshold and SIF data for phenological indicator extraction. Secondly, uncertainties in phenological indicators obtained from the six fitting methods were quantified at the regional scale. Finally, based on the optimal phenological results, the spatiotemporal variations in phenology in Southwest China were systematically analyzed. Results show: (1) Optimal thresholds are 20% for the start of growing season (SOS) and 30% for the end of growing season (EOS), with GOSIF best for SOS and EOS, and CSIF for the peak of growing season (POS). (2) Cubic Smoothing Spline (CS) has the lowest uncertainty for SOS, while Savitzky–Golay Filter (SG) has the lowest for EOS and POS. (3) Phenology exhibits significant spatial heterogeneity, with SOS and POS generally showing an advancing trend, and EOS and length of growing season (LOS) showing a delaying (extending) trend. This study provides a reference for phenology extraction in regions with frequent cloud cover and widespread evergreen vegetation, supporting effective assessment of regional ecosystem dynamics and carbon balance. Full article
(This article belongs to the Section Ecological Remote Sensing)
Show Figures

Graphical abstract

Back to TopTop