Sign in to use this feature.

Years

Between: -

Subjects

remove_circle_outline
remove_circle_outline
remove_circle_outline
remove_circle_outline
remove_circle_outline
remove_circle_outline
remove_circle_outline
remove_circle_outline
remove_circle_outline

Journals

remove_circle_outline
remove_circle_outline
remove_circle_outline

Article Types

Countries / Regions

remove_circle_outline
remove_circle_outline
remove_circle_outline
remove_circle_outline

Search Results (286)

Search Parameters:
Keywords = Gaussian criterion

Order results
Result details
Results per page
Select all
Export citation of selected articles as:
32 pages, 653 KB  
Article
Synthesis of Decision Logic for Predictive Maintenance of a Marine Diesel Engine Based on Unconditional Control-Reliability Indicators
by Dmitry Tukeev, Olga Afanaseva and Aleksandr Khatrusov
Eng 2026, 7(5), 190; https://doi.org/10.3390/eng7050190 - 23 Apr 2026
Viewed by 133
Abstract
This paper proposes a formal framework for synthesizing multi-stage condition-based maintenance (CBM) decision logic for marine diesel monitoring systems. The design object is treated not as a single threshold or classifier output, but as an implementable decision logic with explicit stages of data-quality [...] Read more.
This paper proposes a formal framework for synthesizing multi-stage condition-based maintenance (CBM) decision logic for marine diesel monitoring systems. The design object is treated not as a single threshold or classifier output, but as an implementable decision logic with explicit stages of data-quality gating, thresholding, confirmation, fusion, and temporal filtering. Decision quality is evaluated using unconditional control-reliability indicators (CRIs) under a prescribed prior probability of rare abnormal events within a unified Monte Carlo verification protocol. Within a simplified Gaussian surrogate model, we compare baseline thresholding, repeated-measurement averaging, within-path confirmation, and measurement-level fusion. For the reported reference configuration, averaging five repeated measurements yields the largest reduction in the raw error criterion, “2 out of 3” confirmation provides a smaller but consistent improvement, and two-path multi-fidelity fusion is beneficial only after calibration toward the more informative path. The results show that, under rare abnormal events and limited measurement accuracy, decision quality is determined primarily by calibration of the multi-stage channel-level logic rather than by thresholding alone. Full article
(This article belongs to the Special Issue Interdisciplinary Insights in Engineering Research 2026)
27 pages, 13300 KB  
Article
Information-Entropic Deep Learning with Gaussian Process Regularisation for Uncertainty-Aware Quantitative Trading
by Feng Lin and Huaping Sun
Entropy 2026, 28(5), 485; https://doi.org/10.3390/e28050485 - 23 Apr 2026
Viewed by 119
Abstract
Quantitative trading systems require predictive models that simultaneously deliver accurate forecasts, calibrated uncertainty quantification, and actionable risk measures. This paper proposes an information-theoretic semiparametric regression framework combining a convolutional neural network–Transformer (CNN–Transformer) network for nonlinear temporal dependencies with a Gaussian process (GP) prior [...] Read more.
Quantitative trading systems require predictive models that simultaneously deliver accurate forecasts, calibrated uncertainty quantification, and actionable risk measures. This paper proposes an information-theoretic semiparametric regression framework combining a convolutional neural network–Transformer (CNN–Transformer) network for nonlinear temporal dependencies with a Gaussian process (GP) prior for residual autocorrelation and calibrated predictive distributions. Three theoretical results are established: an identifiability theorem guarantees joint recoverability of the nonparametric and GP components; a consistency theorem showing that the penalised maximum likelihood estimator converges at a rate n1/(2+deff); and a coverage theorem proving asymptotic nominal coverage of the GP’s credible intervals. The framework enables an entropy-regulated trading module where predictive differential entropy informs position sizing via an uncertainty-penalised Kelly criterion, Kullback–Leibler divergence quantifies model uncertainty, and CVaR-constrained optimisation controls the tail risk. Simulations show the method outperforms the CNN, long short-term memory (LSTM), Transformer, XGBoost, random forest, least absolute shrinkage and selection operator (LASSO), and standard GP regression approaches. Backtesting on four Chinese A-share stocks yielded annualised returns of 15.9–22.4% with Sharpe ratios of 0.49–0.62, maximum drawdowns below 15%, and daily 95% CVaR reductions of 28–31% relative to a full-Kelly baseline, confirming both predictive accuracy and risk management effectiveness. Full article
(This article belongs to the Special Issue Entropy, Artificial Intelligence and the Financial Markets)
34 pages, 3701 KB  
Article
Efficient Multi-Fidelity Surrogate Modeling for UAV Aerodynamic Analysis via Active Transfer Learning
by Dun Yang, Li Liu and Bojing Yao
Drones 2026, 10(4), 290; https://doi.org/10.3390/drones10040290 - 16 Apr 2026
Viewed by 426
Abstract
During the design and optimization phase of unmanned aerial vehicles (UAVs), high-fidelity aerodynamic analysis methods often come with high computational costs, significantly restricting the efficiency of design exploration. To address this challenge, a multi-fidelity surrogate modeling method based on active transfer learning is [...] Read more.
During the design and optimization phase of unmanned aerial vehicles (UAVs), high-fidelity aerodynamic analysis methods often come with high computational costs, significantly restricting the efficiency of design exploration. To address this challenge, a multi-fidelity surrogate modeling method based on active transfer learning is proposed. The method leverages transfer learning to capture implicit correlations among multi-fidelity analysis models, while an active learning-based adaptive sampling strategy is introduced to reduce the computational cost during model construction. To further reduce the computational burden, a Gaussian process regression-assisted active learning criterion is formulated to efficiently select high-value samples and a model updating strategy is designed to ensure feature consistency, accelerate convergence, and enhance the robustness during the transfer process. Numerical benchmarks, NACA 0012 airfoil aerodynamic analysis and UAV with strut-braced wing aerodynamic analysis cases, are conducted to validate the proposed approach. The results demonstrate that the proposed method achieves a higher accuracy under small-sample conditions compared with traditional approaches. Full article
(This article belongs to the Section Drone Design and Development)
Show Figures

Figure 1

28 pages, 4429 KB  
Article
Reliability Assessment of Harmonic Reducers Based on the Two-Phase Hybrid Stochastic Degradation Process
by Lai Wei, Peng Liu, Hailong Tian, Haoyuan Li and Yunshenghao Qiu
Sensors 2026, 26(8), 2437; https://doi.org/10.3390/s26082437 - 15 Apr 2026
Viewed by 317
Abstract
Harmonic reducers exhibit non-stationary and phase-dependent degradation behavior during long-term service, challenging the ability of classical stochastic degradation models to accurately assess reliability. To address phase-dependent differences in degradation behavior, this paper proposes a reliability assessment model based on a two-phase hybrid stochastic [...] Read more.
Harmonic reducers exhibit non-stationary and phase-dependent degradation behavior during long-term service, challenging the ability of classical stochastic degradation models to accurately assess reliability. To address phase-dependent differences in degradation behavior, this paper proposes a reliability assessment model based on a two-phase hybrid stochastic degradation process. In the proposed framework, the Wiener process is employed to characterize early-phase gradual degradation dominated by stochastic fluctuations, while the Inverse Gaussian process is used to describe later-phase monotonically accelerated degradation driven by cumulative damage. The framework allows for sample-level variability in transition times to more realistically capture individual degradation behavior. The Schwarz Information Criterion is also adopted to detect change points. Maximum likelihood estimation is performed for model parameter inference, and analytical expressions for the reliability function, cumulative distribution function, and probability density function are derived. Numerical results indicate that a change point exists for each tested product and that the proposed model achieves the best goodness of fit among the considered candidates, demonstrating its superiority in capturing phase-dependent characteristics of harmonic reducer degradation. In terms of reliability assessment bias, the proposed model (0.06%) significantly outperforms the Wiener degradation model (32%) and the IG degradation model (9.9%). These results further confirm that, under an identical failure threshold, the proposed approach yields more accurate and realistic reliability assessment outcomes. Full article
Show Figures

Figure 1

29 pages, 1375 KB  
Article
A Distribution-Free Neural Estimator for Mean Reversion, with Application to Energy Commodity Markets
by Carlo Mari and Emiliano Mari
Mathematics 2026, 14(8), 1302; https://doi.org/10.3390/math14081302 - 13 Apr 2026
Viewed by 196
Abstract
Accurate estimation of the mean-reversion speed α in the AR(1) process Xt+1=(1α)Xt+εt is central to energy-commodity modelling. Classical estimators such as GARCH, jump-diffusion, and regime-switching produce model-conditioned estimates by [...] Read more.
Accurate estimation of the mean-reversion speed α in the AR(1) process Xt+1=(1α)Xt+εt is central to energy-commodity modelling. Classical estimators such as GARCH, jump-diffusion, and regime-switching produce model-conditioned estimates by embedding α within distributional assumptions, so that different model choices yield different α^ values from the same series without a principled criterion to adjudicate. We propose a distribution-free neural estimator based on a Temporal Convolutional Network (TCN) trained on synthetic AR(1) series with Sinh-ArcSinh (SAS) innovations. Distribution-free here means that no parametric family is assumed for the innovation distribution at inference time: the estimator imposes no distributional hypothesis when processing a new series. The SAS family serves as a training vehicle—not a model for the real data—chosen for its ability to span a broad range of tail weights and asymmetry profiles. The theoretical foundation is spectral invariance: the Yule–Walker equations establish that the autocorrelation structure ρk=(1α)k depends on α alone, provided innovations are uncorrelated across lags—a condition satisfied not only by i.i.d. innovations but also by conditionally heteroscedastic processes such as GARCH. The TCN therefore generalises to volatility-clustering environments without modification, learning to extract α from temporal dependence alone, independently of the marginal innovation distribution and of the temporal variance structure. On held-out test series the estimator outperforms all classical competitors, with the advantage growing monotonically with non-Gaussianity. A robustness analysis on three out-of-distribution innovation families and on AR(1)-GARCH(1,1) processes empirically validates the spectral invariance guarantee across both marginal and temporal variance structure, including near-integrated GARCH processes where innovation kurtosis far exceeds the training range. The distribution-free α^ enables a two-stage pipeline in which α and the innovation distribution are characterised independently—a decoupling structurally impossible in classical likelihood-based approaches. Once trained, the TCN acts as a universal mean-reversion estimator applicable to any price series without re-fitting. Applied to four energy markets—Italian natural gas (PSV price), Italian electricity (PUN price), US Henry Hub, and US PJM West Hub—spanning log-return kurtosis from near-Gaussian to strongly heavy-tailed, the TCN yields robust, distribution-free estimates of mean-reversion speed. Full article
Show Figures

Figure 1

16 pages, 411 KB  
Article
Task Assignment for Loitering Munitions Based on Predicted Capturability
by Gyuyeon Choi, Seongwook Heu and Hyeong-Geun Kim
Aerospace 2026, 13(4), 347; https://doi.org/10.3390/aerospace13040347 - 8 Apr 2026
Viewed by 232
Abstract
This paper proposes a novel task assignment strategy for multiple fixed-wing loitering munitions, focusing on the kinematic capturability of maneuvering ground targets. Compared to rotary-wing UAVs, fixed-wing munitions are subject to significant turning radius constraints and limited maneuverability. Consequently, conventional assignment metrics based [...] Read more.
This paper proposes a novel task assignment strategy for multiple fixed-wing loitering munitions, focusing on the kinematic capturability of maneuvering ground targets. Compared to rotary-wing UAVs, fixed-wing munitions are subject to significant turning radius constraints and limited maneuverability. Consequently, conventional assignment metrics based on relative distance or estimated time-to-go are insufficient to guarantee successful interception. To address this, we adopt a data-driven capturability prediction framework based on Gaussian Process Regression (GPR) and propose a novel task assignment strategy that leverages the predicted capture region as a decision-making criterion. Furthermore, a robustness-centric task assignment algorithm is proposed, which prioritizes interceptors based on the radius of the Maximum Inscribed Circle (MIC) within the predicted capture region. This metric quantifies the safety margin against target maneuvers and environmental uncertainties. Numerical simulations demonstrate that the proposed method significantly outperforms conventional distance-based and time-to-go-based approaches, achieving the highest interception success rate across all tested scenarios including maneuvering target conditions. The results validate that incorporating geometric capturability constraints is essential for the efficient operation of fixed-wing loitering munitions. Full article
(This article belongs to the Special Issue Flight Guidance and Control)
Show Figures

Figure 1

15 pages, 349 KB  
Article
Ensemble-Based Short-Window Non-Linear Dynamical Characterization of PLC Impulsive Noise
by Steven O. Awino and Bakhe Nleya
Appl. Sci. 2026, 16(7), 3573; https://doi.org/10.3390/app16073573 - 6 Apr 2026
Viewed by 399
Abstract
Impulsive noise significantly degrades the performance of power line communication (PLC) systems due to their non-Gaussian amplitude distribution, burst clustering, and inherent temporal dependence. Conventional statistical and spectral models often describe marginal behavior but do not fully account for the underlying temporal organization [...] Read more.
Impulsive noise significantly degrades the performance of power line communication (PLC) systems due to their non-Gaussian amplitude distribution, burst clustering, and inherent temporal dependence. Conventional statistical and spectral models often describe marginal behavior but do not fully account for the underlying temporal organization of such noise processes. This paper introduces an ensemble-based non-linear dynamical framework for the short-window characterization of impulsive PLC noise using delay-embedded phase-space reconstruction (PSR). Rather than relying on extended stationary recordings, the analysis is conducted across multiple independent short-duration acquisition windows obtained from indoor low-voltage networks. For each realization, the delay parameter is selected using average mutual information, and the embedding dimension is determined through the false nearest neighbors (FNN) criterion. The reconstructed trajectories are then examined using correlation dimension estimation, largest Lyapunov exponent analysis, and recurrence quantification measures. The resulting non-linear descriptors reveal structured phase-space organization and low-dimensional dynamical characteristics that are not readily observable in the original time-domain representation. In addition, these findings show that short-window PLC data preserve meaningful dynamical characteristics and support the use of non-linear geometric descriptors for impulsive PLC noise analysis and future mitigation approaches. Full article
(This article belongs to the Special Issue Design, Optimization and Control Strategy of Smart Grids)
Show Figures

Figure 1

14 pages, 4654 KB  
Article
A Statistical Study of the Jet Structure of Gamma-Ray Bursts
by Mao Liao, Zhao-Yang Peng and Jia-Ming Chen
Astronomy 2026, 5(2), 7; https://doi.org/10.3390/astronomy5020007 - 3 Apr 2026
Viewed by 265
Abstract
The jet structure plays an important role in both the prompt and afterglow emission phases of gamma-ray bursts (GRBs). Whether GRB jets are better described by uniform (top-hat) or structured models remains an open question. We use the afterglowpy Python package to numerically [...] Read more.
The jet structure plays an important role in both the prompt and afterglow emission phases of gamma-ray bursts (GRBs). Whether GRB jets are better described by uniform (top-hat) or structured models remains an open question. We use the afterglowpy Python package to numerically model the late X-ray afterglow light curves of a large sample of long and short GRBs, and apply the Bayesian Information Criterion (BIC) to compare the performance of top-hat and Gaussian structured jet models. Within our adopted modeling framework, we find that the top-hat model is preferred by the BIC for ∼78.9% (150/190) of long GRBs and 70% (7/10) of short GRBs. GRB 180205A and GRB 140515A exhibit ΔBIC < 2 for all three model comparisons, indicating that top-hat, Gaussian, and power-law jets provide equivalent fits to their afterglow light curves. This large-sample analysis suggests that uniform jets may be more common than structured jets in the observed GRB population, although this conclusion is subject to the limitations of our model assumptions and the BIC-based model selection criterion. Furthermore, we find that the best-fit distributions of observer angle θobs, electron energy fraction ϵe, and isotropic equivalent energy E0 differ significantly between the top-hat and Gaussian jet models, with θobs showing the most pronounced distinction. Full article
(This article belongs to the Special Issue Current Trends in Cosmology)
Show Figures

Figure 1

20 pages, 1722 KB  
Article
Fully Automated Serum LC-MS/MS Platform and Pediatric Reference Intervals for Organic Acids, Amino Acids, and Acylcarnitines in Children (Ages 0–6 Years): Toward Quantitative Diagnosis of Inborn Errors of Metabolism
by Yasushi Ueyanagi, Daiki Setoyama, Tsuyoshi Nakanishi, Yuichi Mushimoto, Vlad Tocan, Hironori Kobayashi, Miki Matsui, Shinya Matsumoto, Akiyoshi Fujishima, Taeko Hotta, Ayumi Sakata and Yuya Kunisaki
Diagnostics 2026, 16(6), 911; https://doi.org/10.3390/diagnostics16060911 - 19 Mar 2026
Viewed by 730
Abstract
Background/Objectives: Conventional diagnosis of inborn errors of metabolism (IEMs) requires multiple specimen types—urine organic acids, plasma amino acids, and serum acylcarnitines—analyzed on distinct analytical platforms. This multi-assay approach is labor-intensive and limits timely clinical decision making. We aimed to develop a fully automated [...] Read more.
Background/Objectives: Conventional diagnosis of inborn errors of metabolism (IEMs) requires multiple specimen types—urine organic acids, plasma amino acids, and serum acylcarnitines—analyzed on distinct analytical platforms. This multi-assay approach is labor-intensive and limits timely clinical decision making. We aimed to develop a fully automated serum-based LC–MS/MS platform for integrated quantitative metabolite profiling and to establish pediatric reference intervals (RIs) to support diagnostic interpretation. Methods: A fully automated LC–MS/MS system integrated with the CLAM-2030 automated pretreatment module was developed to enable simultaneous quantification of 25 organic acids, 8 amino acids, and 21 acylcarnitines. Analytical performance was assessed for linearity, limits of detection and quantification, precision and accuracy. Serum samples from 296 non-IEM children aged 0–6 years were analyzed to establish pediatric RIs using Box–Cox transformation and Gaussian modeling. Clinical utility was evaluated in sera from 89 patients diagnosed with IEM using z-score-based logistic regression models. Results: The method demonstrated excellent performance, with linearity (r2 > 0.99) across calibration ranges, limits of detection and quantification defined by signal-to-noise ratios > 3 and >10, and intra- and inter-assay precision < 15% CV for all 54 analytes. Twenty-one analytes met the acceptance criterion of ±20% accuracy at all quality-control levels. Pediatric RIs provided a quantitative framework for interpreting the metabolic abnormalities. In IEM patients, disease-specific metabolites were consistently outside the established ranges, and z-score-based logistic regression models successfully distinguished major IEM categories, including organic acidemias and long-chain fatty acid oxidation disorders. Conclusions: This fully automated, serum-based LC–MS/MS platform provides a clinically practical and quantitative framework for integrated metabolic profiling using pediatric RIs, supporting diagnosis and monitoring of IEMs in pediatric settings. Full article
(This article belongs to the Section Clinical Laboratory Medicine)
Show Figures

Figure 1

33 pages, 662 KB  
Article
The Asymmetric Bimodal Normal Distribution: A Tractable Mixture Model for Skewed and Bimodal Data
by Hassan S. Bakouch, Hugo S. Salinas, Çağatay Çetinkaya, Shaykhah Aldossari, Amira F. Daghestani and John L. Santibáñez
Mathematics 2026, 14(5), 901; https://doi.org/10.3390/math14050901 - 6 Mar 2026
Viewed by 479
Abstract
We study a parsimonious constrained two-component Gaussian mixture with symmetric locations ±λ and unequal weights controlled by α[1,1]; we refer to this family as the asymmetric bimodal normal. The constraint eliminates label switching and [...] Read more.
We study a parsimonious constrained two-component Gaussian mixture with symmetric locations ±λ and unequal weights controlled by α[1,1]; we refer to this family as the asymmetric bimodal normal. The constraint eliminates label switching and yields an identifiable parametrization for λ>0, while noting the boundary degeneracy at λ=0 where α is not identifiable. We derive closed-form analytical expressions for the density and distribution functions, an equivalent constructive representation (useful for simulation and interpretation), explicit moment formulas, and conditions distinguishing unimodality from bimodality. For inference, we develop maximum likelihood estimation with observed information standard errors and provide numerically stable fits via a block-coordinate quasi-Newton routine using method of moments initial values. A Monte Carlo simulation study across representative parameter settings evaluates bias and root mean squared error, and examines the behavior of Hessian-based standard error estimates, highlighting regimes where the observed information becomes ill-conditioned under weak separation. Empirical analyses, chemical calibration deviations from the National Institute of Standards and Technology and a regression example with asymmetric errors, show competitive or superior fit and interpretability relative to skewed normal alternatives, asymmetric Laplace models, and unconstrained Gaussian mixtures, with consistent advantages under model comparison using the Akaike information criterion and the Bayesian information criterion. Full article
(This article belongs to the Special Issue Computational Statistics and Data Analysis, 3rd Edition)
Show Figures

Figure 1

32 pages, 4390 KB  
Article
Predicting the Remaining Useful Life of Ship Shafting Using Bayesian Networks with Asymmetric Probability Distributions
by Peng Dong, Ge Han and Luwen Yuan
Symmetry 2026, 18(3), 443; https://doi.org/10.3390/sym18030443 - 4 Mar 2026
Viewed by 405
Abstract
Accurately predicting the remaining useful life (RUL) of ship shafting is crucial for ensuring navigation safety and optimizing operation and maintenance. Traditional Bayesian Network (BN) methods are usually based on the assumption of symmetric distributions. They struggle to effectively characterize common statistical properties [...] Read more.
Accurately predicting the remaining useful life (RUL) of ship shafting is crucial for ensuring navigation safety and optimizing operation and maintenance. Traditional Bayesian Network (BN) methods are usually based on the assumption of symmetric distributions. They struggle to effectively characterize common statistical properties such as asymmetry and heavy tails during the shafting degradation process, leading to biases in prediction results. To address this issue, this study proposes an Asymmetric Distribution Bayesian Network (ADBN) method. The method consists of three key components. Firstly, each node selects the optimal asymmetric distribution form based on the Bayesian Information Criterion (BIC) to better fit data characteristics. Secondly, a Generalized Linear Model (GLM) is used to associate distribution parameters (e.g., location, scale, shape) with parent node states, enabling the conditional distribution to adaptively evolve with the system degradation process. Finally, to tackle the complex inference problem under asymmetric distributions, an approximate algorithm based on stochastic gradient variational inference is designed to ensure prediction timeliness. Experimental results show that the ADBN method outperforms traditional Gaussian networks in terms of Mean Absolute Error in the early, middle, and late stages of RUL prediction, and can provide more accurate prediction intervals. This research offers a probabilistic approach that better aligns with actual statistical properties for modeling ship shafting degradation. Full article
(This article belongs to the Special Issue Symmetry in Fault Detection, Diagnosis, and Prognostics)
Show Figures

Figure 1

16 pages, 2311 KB  
Article
The Novel Models for Identifying the Vertical Structure of Urban Vegetation from UAV LiDAR Data
by Hang Yang, Rongxin Deng, Xinmeng Jing, Zhen Dong, Xiaoyu Yang, Jingyi Li and Zhiwen Mei
Remote Sens. 2026, 18(5), 692; https://doi.org/10.3390/rs18050692 - 26 Feb 2026
Viewed by 510
Abstract
Accurate quantification of vegetation vertical structure is crucial for analyzing the ecological functions of urban green spaces. However, constrained by the complexity of vegetation structure and spatial heterogeneity, current approaches for extracting vegetation vertical structure by airborne LiDAR have limitations in terms of [...] Read more.
Accurate quantification of vegetation vertical structure is crucial for analyzing the ecological functions of urban green spaces. However, constrained by the complexity of vegetation structure and spatial heterogeneity, current approaches for extracting vegetation vertical structure by airborne LiDAR have limitations in terms of layer boundary identification stability, threshold dependency, and ecological plausibility. This study developed two integrated UAV LiDAR-based stratification frameworks for identifying urban riparian vegetation vertical structure by combining established statistical modeling and signal processing techniques: (1) a Gaussian Mixture Model with Bayesian Information Criterion (GMM-BIC)-based probabilistic stratification framework; (2) a Savitzky–Golay filtering and Pruned Exact Linear Time (SG-PELT)-based change-point detection framework. Furthermore, the ecological height constraint was incorporated into the model to achieve biological adjustments. Two models were applied in the study area and compared using reference data. The results showed that the GMM-BIC method achieved an overall classification accuracy of 91.06%, with a macro-averaged F1-score of 87.77%, while the SG-PELT method attained an overall accuracy of 84.57%, with a macro-averaged F1-score of 79.20%. These results demonstrate that both models can effectively identify the vertical structure of urban vegetation. In particular, the two models exhibited distinct characteristics across different scenarios. The GMM-BIC model showed superior stratification accuracy in regions where vegetation height distribution displayed pronounced multi-peak characteristics and distinct differences among height segments. In comparison, the SG-PELT model demonstrated greater sensitivity in areas with significant height variation and clearly defined abrupt transitions between layers. These models could provide new methodologies for monitoring vegetation vertical structure and offer data support for biodiversity monitoring and ecological function assessment within urban ecosystems. Full article
Show Figures

Figure 1

20 pages, 3706 KB  
Article
Research on the Four-Component Borehole Strain Response to Rock Fracture
by Yifan Li, Yongxing Shen and Zengchao Feng
Sensors 2026, 26(4), 1302; https://doi.org/10.3390/s26041302 - 17 Feb 2026
Viewed by 351
Abstract
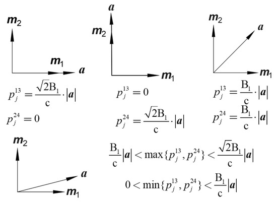
Rock fracture monitoring is crucial for the stability of rock engineering. Based on the four-component borehole strain (FCBS) theory, this study analyzes the response characteristics of FCBS through numerical simulations of large-scale local rock fracture. Drawing on linear elastic mechanics theory and combined [...] Read more.
Rock fracture monitoring is crucial for the stability of rock engineering. Based on the four-component borehole strain (FCBS) theory, this study analyzes the response characteristics of FCBS through numerical simulations of large-scale local rock fracture. Drawing on linear elastic mechanics theory and combined with the Gaussian white noise model, three strain response indices (areal strain index pja and shear strain indices pj13, pj24) are proposed to quantitatively characterize rock fracture events. A criterion is defined that if any of these indices is greater than 1, the rock fracture event can be reflected, and the larger the index, the better the effect of this index in reflecting rock fracture. The effects of the installation angle of the four-component borehole strain gauge (FCBSG), the distance between the borehole and the fracture zone, and the orientation of the borehole on these three indices are systematically investigated. The results show that for the same borehole, the areal strain index remains constant for different installation angles of the FCBSG, while the two shear strain indices exhibit a complementary variation trend—one shear strain index is always greater than or equal to the characteristic value of the borehole shear strain index, and the other is less than or equal to it; the larger values of the areal strain index and shear strain index decrease with the increase in the distance between the borehole and the fracture zone, following the variation law of the function y = axb with a negative exponent; there are significant differences in the larger values of the areal strain index and shear strain index among different orientation of the borehole, while those in the same orientation of the borehole relative to the fault fractured zone show a certain degree of complementarity, and the combined use of shear strain indices and areal strain index can better reflect rock fracture events; within the range of orientation of the borehole β = 0° to β = 90°, the minimum range of rock fracture that can be reflected by the three strain response indices is 55 m, the maximum range is 65 m, and the average range is 60.7 m. Full article
(This article belongs to the Section Industrial Sensors)
Show Figures

Figure 1

18 pages, 1434 KB  
Article
Robust Trajectory Prediction for Mobile Robots via Minimum Error Entropy Criterion and Adaptive LSTM Networks
by Da Xie, Zengxun Li, Chun Zhang, Chunyang Wang and Xuyang Wei
Entropy 2026, 28(2), 227; https://doi.org/10.3390/e28020227 - 15 Feb 2026
Cited by 1 | Viewed by 470
Abstract
Trajectory prediction is critical for safe robot navigation, yet standard deep learning models predominantly rely on the Mean Squared Error (MSE) criterion. While effective under ideal conditions, MSE-based optimization is inherently fragile to non-Gaussian impulsive noise—such as sensor glitches and occlusions—common in real-world [...] Read more.
Trajectory prediction is critical for safe robot navigation, yet standard deep learning models predominantly rely on the Mean Squared Error (MSE) criterion. While effective under ideal conditions, MSE-based optimization is inherently fragile to non-Gaussian impulsive noise—such as sensor glitches and occlusions—common in real-world deployment. To address this limitation, this paper proposes MEE-LSTM, a robust forecasting framework that integrates Long Short-Term Memory networks with the Minimum Error Entropy (MEE) criterion. By minimizing Renyi’s quadratic entropy of the prediction error, our loss function introduces an intrinsic “gradient clipping” mechanism that effectively suppresses the influence of outliers. Furthermore, to overcome the convergence challenges of fixed-kernel information theoretic learning, we introduce a Silverman-based Adaptive Annealing (SAA) strategy that dynamically regulates the kernel bandwidth. Extensive evaluations on the ETH and UCY datasets demonstrate that MEE-LSTM maintains competitive accuracy on clean benchmarks while exhibiting superior resilience in degraded sensing environments. Notably, we identify a “Scissor Plot” phenomenon under stress testing: in the presence of 20% impulsive noise, the proposed model maintains a stable Average Displacement Error (ADE “≈” 0.51 m), whereas MSE baselines suffer catastrophic degradation (ADE > 2.1 m), representing a 75.7% improvement in robustness. This work provides a statistically grounded paradigm for reliable causal inference in hostile robotic perception. Full article
(This article belongs to the Special Issue Bayesian Networks and Causal Discovery)
Show Figures

Figure 1

27 pages, 4240 KB  
Article
Robust State Estimation of Power System Based on Unscented Kalman Filter with Fractional-Order Adaptive Generalized Cross Correlation Entropy
by Yan Huang, Shangyong Wen, Hongyan Xin and Chaohui Xin
Mathematics 2026, 14(4), 642; https://doi.org/10.3390/math14040642 - 12 Feb 2026
Viewed by 380
Abstract
With the high penetration of power electronic devices, modern power systems exhibit complex fractional-order dynamic characteristics. Addressing this, along with the prevalent issues of multi-modal non-Gaussian noise, outliers, and sudden load changes, a fractional-order adaptive generalized cross correlation entropy unscented Kalman filter (FO-AGCCE-UKF) [...] Read more.
With the high penetration of power electronic devices, modern power systems exhibit complex fractional-order dynamic characteristics. Addressing this, along with the prevalent issues of multi-modal non-Gaussian noise, outliers, and sudden load changes, a fractional-order adaptive generalized cross correlation entropy unscented Kalman filter (FO-AGCCE-UKF) method is proposed in this paper. First, acknowledging that traditional integer-order models overlook the cumulative effects of historical states, a fractional-order (FO) discrete-time state-space model is constructed based on the Grünwald–Letnikov definition. This model accurately characterizes the long-memory and non-locality properties of power systems, thereby improving modeling accuracy during transient processes. Second, to mitigate the impact of non-Gaussian noise and outliers, the generalized cross correlation entropy (GCCE) criterion is adopted to replace the traditional mean square error (MSE) criterion. Combined with statistical linearization techniques, a novel recursive filtering framework is derived to enhance robustness against heavy-tailed noise. Furthermore, to address the time-varying and unknown statistical properties of process and measurement noise, an adaptive update mechanism for noise covariance matrices is introduced, which corrects noise parameters online based on innovation sequences. Simulation experiments and comparative analysis on multiple power systems of different scales demonstrate that the proposed method not only exhibits superior anti-interference capability in mixed-Gaussian noise environments but also achieves a faster convergence speed and higher tracking accuracy during dynamic events such as sudden load changes. Full article
(This article belongs to the Special Issue Fractional Order Systems and Its Applications)
Show Figures

Figure 1

Back to TopTop