Sign in to use this feature.

Years

Between: -

Subjects

remove_circle_outline
remove_circle_outline
remove_circle_outline
remove_circle_outline
remove_circle_outline
remove_circle_outline
remove_circle_outline
remove_circle_outline
remove_circle_outline

Journals

remove_circle_outline
remove_circle_outline
remove_circle_outline
remove_circle_outline
remove_circle_outline
remove_circle_outline
remove_circle_outline
remove_circle_outline
remove_circle_outline
remove_circle_outline
remove_circle_outline
remove_circle_outline
remove_circle_outline
remove_circle_outline
remove_circle_outline
remove_circle_outline
remove_circle_outline
remove_circle_outline
remove_circle_outline

Article Types

Countries / Regions

remove_circle_outline
remove_circle_outline
remove_circle_outline
remove_circle_outline
remove_circle_outline
remove_circle_outline

Search Results (1,532)

Search Parameters:
Keywords = GN

Order results
Result details
Results per page
Select all
Export citation of selected articles as:
12 pages, 3250 KB  
Article
Multidimensional Ternary Conductive Network for Enhanced Electrochemical Performance of LiFePO4 Cathodes
by Fantao Zeng, Guodong Dai, Qichuang Hu, Tingting Yan, Jianfeng Duan and Shengwen Zhong
Metals 2026, 16(4), 375; https://doi.org/10.3390/met16040375 - 28 Mar 2026
Viewed by 59
Abstract
Constructing efficient conductive networks is essential to overcome the intrinsically low electronic conductivity of LiFePO4 cathodes. Previous studies have demonstrated that different conductive agents possess distinct electrical conduction mechanisms. The synergistic integration of multiple types of conductive agents can achieve more favorable [...] Read more.
Constructing efficient conductive networks is essential to overcome the intrinsically low electronic conductivity of LiFePO4 cathodes. Previous studies have demonstrated that different conductive agents possess distinct electrical conduction mechanisms. The synergistic integration of multiple types of conductive agents can achieve more favorable conductive performance. Nevertheless, most relevant studies are still limited to binary conductive systems, and the synergistic mechanism among various conductive agents has not been systematically investigated and deeply analyzed. In this work, a multidimensional ternary conductive system composed of Super P carbon black (SP), graphene (GN), and carbon nanotubes (CNTs) was systematically optimized to regulate electron and ion transport pathways. By adjusting the relative proportions of SP, GN, and CNTs, the evolution of conductive network structure and its impact on electrochemical performance were investigated, and the optimized composition (SP/GN/CNTs = 50/15/35, denoted as S5GC37) was identified. The results reveal that the multidimensional conductive framework formed by S5GC37 effectively integrates short-range ion diffusion with long-range electron transport, leading to reduced polarization, suppressed surface oxidation, and enhanced charge transport kinetics. As a result, the LiFePO4 electrode with S5GC37 delivers an initial discharge capacity of 164.8 mAh·g−1 and maintains 151.9 mAh·g−1 after 200 cycles at 1C. Even at 3C, a capacity retention of 83.2% is achieved after 200 cycles, demonstrating excellent rate capability and cycling stability. These findings highlight the importance of multidimensional conductive network design for high-performance LiFePO4 batteries. Full article
(This article belongs to the Special Issue Advanced High-Energy Metal-Ion Batteries)
Show Figures

Figure 1

17 pages, 3676 KB  
Article
A Novel Hypothermic Preservation Formulation Containing SUL-138 Enables Long-Term Hypothermic Storage of Clinical-Grade CAR-T Cells
by Aysenur Öner, Nina Nooteboom, Linette Oosting, Jos G. W. Kosterink, Bart G. J. Dekkers, Adrianus C. van der Graaf, Tom van Meerten, Guido Krenning, Daniel H. Swart, Robin Dennebos, Harm-Jan Lourens, Edwin Bremer and Bahez Gareb
Pharmaceutics 2026, 18(4), 414; https://doi.org/10.3390/pharmaceutics18040414 (registering DOI) - 28 Mar 2026
Viewed by 58
Abstract
Background/Objectives: Point-of-care (PoC) manufactured fresh chimeric antigen receptor (CAR)-T cells are typically formulated in hypothermic preservation formulations (HPFs) and stored under hypothermic conditions (2–8 °C) until administered to the patient. However, in current HPFs the shelf life of fresh CAR-T cells is short [...] Read more.
Background/Objectives: Point-of-care (PoC) manufactured fresh chimeric antigen receptor (CAR)-T cells are typically formulated in hypothermic preservation formulations (HPFs) and stored under hypothermic conditions (2–8 °C) until administered to the patient. However, in current HPFs the shelf life of fresh CAR-T cells is short (~24–36 h) due to limited CAR-T cell stability, which poses significant time constraints on manufacturing procedures and logistics. The objective of this study was to improve the stability and extend the shelf life of fresh clinical-grade CAR-T cell drug products (DPs). Methods: A novel HPF was developed by supplementing a base HPF with the novel excipient SUL-138, which stabilizes mitochondria during hypothermic storage and subsequent rewarming, alone or in combination with endogenous mitochondrial substrates. This panel of HPFs was first screened for their stability-improving characteristics in the model cell line Jurkat cells. Subsequently, HPFs were assessed for their stability-improving characteristics of clinical-grade CD19 CAR-T cell DPs. Critical quality attributes, including CAR-T cell viability, T-cell differentiation state, exhaustion markers, and functional potency were evaluated in a good manufacturing practice (GMP)-compliant stability study up to 72 h. Results: For Jurkat cells, HPFs supplemented with SUL-138 and a combination of glucose, glutamine, and succinate demonstrated the greatest stability improvement at 2–8 °C, improving cell viability from ~1% to >85% after 72 h. For CAR-T cells, supplementation of HPFs with SUL-138 alone demonstrated the greatest improvement, resulting in a CAR-T cell viability from ~40% to >85% after 72 h of storage at 2–8 °C, while no additional benefits from mitochondrial substrates were observed. The novel HPF did not significantly impact CAR-T cell potency test results, T cell subset distribution, or exhaustion markers compared to control. Conclusions: A novel clinical-grade HPF that significantly improved fresh CAR-T cell stability during hypothermic storage was developed. This novel HPF can aid in the establishment of GMP-compliant and PoC CAR-T cell manufacturing platforms. Full article
(This article belongs to the Section Biopharmaceutics)
Show Figures

Figure 1

11 pages, 984 KB  
Article
A Personalized FSH Dosing Strategy for Women with Polycystic Ovary Syndrome Undergoing GnRH Antagonist Protocols
by Yixin Chen, Turui Yang, Zicong Luo, Lu Luo, Ziqing Zhang, Yanwen Xu and Minghui Chen
Biomedicines 2026, 14(4), 769; https://doi.org/10.3390/biomedicines14040769 (registering DOI) - 28 Mar 2026
Viewed by 41
Abstract
Background: Polycystic ovary syndrome (PCOS) is characterized by substantial inter-individual variability in ovarian sensitivity to recombinant follicle-stimulating hormone (rFSH) during controlled ovarian stimulation (COS). Clinically applicable tools for personalized dosing in this population remain limited. Methods: This retrospective single-center study (2013–2024) analyzed 369 [...] Read more.
Background: Polycystic ovary syndrome (PCOS) is characterized by substantial inter-individual variability in ovarian sensitivity to recombinant follicle-stimulating hormone (rFSH) during controlled ovarian stimulation (COS). Clinically applicable tools for personalized dosing in this population remain limited. Methods: This retrospective single-center study (2013–2024) analyzed 369 PCOS patients undergoing GnRH antagonist protocols who achieved optimal ovarian responses (10–20 oocytes with at least 40% of follicles ≥ 16 mm in diameter on trigger day). The final retrospective dataset was randomly split into modeling (n = 258) and validation (n = 111) groups. A multivariate linear regression model incorporating age, BMI, basal FSH, basal LH, AMH, and AFC was developed to estimate the average daily rFSH dose. Model performance was evaluated using correlation analysis, prediction error metrics, and calibration assessment. Results: Age, BMI, and basal FSH were positively associated with average daily rFSH dose, whereas basal LH, AMH, and AFC were negatively associated. The model explained 40.4% of the variability in average daily rFSH dose. In the modeling cohort, 77.9% of estimated doses fell within ±20% of the observed values, with a moderate correlation between predicted and observed doses (ρ = 0.646). In the validation cohort, 67.6% of estimates met the predefined accuracy threshold (ρ = 0.676). Calibration analyses demonstrated robust agreement between predicted and observed doses. Conclusions: By integrating endocrine markers, ovarian reserve indicators, and clinical characteristics, this study provides a practical example of personalized medicine in COS in women with PCOS. The internally validated approach may support individualized rFSH dosing during COS and serve as a basis for future development of decision support tools in this specific population. Full article
(This article belongs to the Special Issue Personalized Diagnosis and Therapy in Endocrinology and Gynecology)
Show Figures

Graphical abstract

20 pages, 1042 KB  
Review
Follicle-Stimulating Hormone in Peripheral Metabolism: Novel Insights into Growth Regulation and Potential Applications in Boar Production
by Ganchuan Wang, Xingfa Han, De Wu and Yong Zhuo
Animals 2026, 16(7), 1004; https://doi.org/10.3390/ani16071004 - 25 Mar 2026
Viewed by 265
Abstract
Gonad loss triggers severe endocrine disorders and altered energy metabolism, yet the precise mechanisms remain poorly understood. In swine production, surgical castration is widely performed to eliminate boar taint and aggressive behavior, but it impairs feed efficiency, increases fat deposition, and raises animal [...] Read more.
Gonad loss triggers severe endocrine disorders and altered energy metabolism, yet the precise mechanisms remain poorly understood. In swine production, surgical castration is widely performed to eliminate boar taint and aggressive behavior, but it impairs feed efficiency, increases fat deposition, and raises animal welfare issues. Castration reduces testosterone and estrogen levels, leading to elevated gonadotropin-releasing hormone (GnRH) and its downstream follicle-stimulating hormone (FSH) and luteinizing hormone (LH). Traditionally viewed as a reproductive hormone, FSH has recently emerged as a critical regulator of peripheral metabolism. Based on these findings, we designed and developed a novel FSH vaccine comprising an FSHβ13AA-tandem-ovalbumin conjugate, which has been demonstrated to effectively regulate growth and metabolism in castrated boars. In conclusion, this review underscores the previously underrecognized metabolic functions of follicle-stimulating hormone (FSH) and proposes a novel immunomodulatory strategy targeting FSH for fine-tuning organ function and energy metabolism. This approach shows considerable potential for advancing sustainable, welfare-oriented swine production. Full article
(This article belongs to the Section Pigs)
Show Figures

Figure 1

23 pages, 1321 KB  
Article
Antimicrobial Resistance and ESBL-Associated Predictors Among Uropathogens: A 2019–2024 Isolate-Level Study
by Raul-Lucian Ene, Roxana Popescu, Aurica Elisabeta Cobec, Daniela Puscasiu, Ileana-Adriana Ene, Daliborca Cristina Vlad, Ionut Marcel Cobec and Peter Seropian
Antibiotics 2026, 15(3), 323; https://doi.org/10.3390/antibiotics15030323 - 23 Mar 2026
Viewed by 271
Abstract
Background/Objectives: Urinary tract infections (UTIs) are among the most common bacterial infections and represent a major source of antimicrobial use. Increasing antimicrobial resistance among uropathogens, particularly the emergence of extended-spectrum beta-lactamase (ESBL)-producing organisms, complicates empiric treatment strategies. ESBL-producing organisms are clinically relevant because [...] Read more.
Background/Objectives: Urinary tract infections (UTIs) are among the most common bacterial infections and represent a major source of antimicrobial use. Increasing antimicrobial resistance among uropathogens, particularly the emergence of extended-spectrum beta-lactamase (ESBL)-producing organisms, complicates empiric treatment strategies. ESBL-producing organisms are clinically relevant because they are frequently associated with multidrug resistance and significantly limit empiric antimicrobial treatment options in urinary tract infections. The study period starting in 2019 was selected to reflect contemporary resistance patterns and to ensure consistency with the updated EUCAST antimicrobial susceptibility interpretation criteria introduced at that time. This study aimed to characterize antimicrobial resistance patterns among uropathogens isolated from lower UTIs and to identify independent predictors of antimicrobial resistance using isolate-level analyses. Methods: This retrospective observational study included 1470 patients and isolates with clinically suspected lower UTIs who underwent urine culture and antimicrobial susceptibility testing between 2019 and 2024 at a single clinical center. Antimicrobial susceptibility was interpreted according to European Committee on Antimicrobial Susceptibility Testing (EUCAST) criteria, and ESBL production was assessed among Gram-negative (GN) isolates. Multivariable generalized estimating equation (GEE) logistic regression models accounting for patient clustering were used to identify predictors of resistance. Results: A total of 1470 patients and isolates were included. Escherichia coli was the most frequent uropathogen (66.0%), followed by Klebsiella pneumoniae and Enterococcus faecalis. Among Gram-negative isolates, 17.3% were ESBL-positive. Resistance rates were highest for ciprofloxacin (35.4%) and trimethoprim/sulfamethoxazole (31.7%), while fosfomycin and nitrofurantoin retained high activity against E. coli. In multivariable analyses, ESBL production was the strongest independent predictor of resistance to several antimicrobials, including ciprofloxacin (aOR 9.83), amoxicillin/clavulanic acid (aOR 3.22), trimethoprim/sulfamethoxazole (aOR 2.89), and cefotaxime (aOR 1337). Pathogen identity was also independently associated with resistance. Conclusions: Antimicrobial resistance among uropathogens was heterogeneous and predominantly driven by pathogen identity and ESBL production. ESBL status emerged as the most consistent and powerful predictor of resistance across multiple antimicrobials, underscoring its clinical relevance for empiric treatment decisions and antimicrobial stewardship in urinary tract infections. Full article
Show Figures

Figure 1

18 pages, 2439 KB  
Article
Cadmium-Induced Neuroendocrine Alterations: Gene Expression of the Kisspeptin–GnRH Axis and Delayed Puberty in Male Rats
by Marcela Arteaga-Silva, Eduardo Miguel Cornejo de la Concha, Daniel Adrian Landero-Huerta, Sergio Montes, Julio César Rojas-Castañeda, Rosa María Vigueras-Villaseñor, Joel Hernández-Rodríguez, Sergio Marín de Jesús, Sonia Guadalupe Pérez-Aguirre, Rocío Trilce López-Ruíz and Isabel Arrieta-Cruz
Toxics 2026, 14(3), 270; https://doi.org/10.3390/toxics14030270 - 22 Mar 2026
Viewed by 371
Abstract
Puberty is a neuroendocrine process required for sexual maturity; it is regulated by the hypothalamic–hypophysis–gonadal (HHG) axis. Kisspeptin (KISS1) plays a vital role in activating this axis by stimulating the secretion of gonadotropin-releasing hormone (GnRH). Cadmium (Cd) exposure disrupts KISS1 signaling in female [...] Read more.
Puberty is a neuroendocrine process required for sexual maturity; it is regulated by the hypothalamic–hypophysis–gonadal (HHG) axis. Kisspeptin (KISS1) plays a vital role in activating this axis by stimulating the secretion of gonadotropin-releasing hormone (GnRH). Cadmium (Cd) exposure disrupts KISS1 signaling in female rodents; its effects on hypothalamic gene expression during male puberty remain poorly understood. This study investigated the effects of Cd exposure on hypothalamic Kiss1, Kiss1r, and Gnrh1 expression, preputial separation (PS) as a marker of pubertal onset, testosterone levels, Cd concentration, and total antioxidant capacity (TAC) in the serum and hypothalamus of pubertal male Wistar rats. Animals received once a week intraperitoneal injection of CdCl2 (1 mg/Kg body weight/100 µL) or saline (100 µL) and were euthanized on postnatal day (PND) 35 or 49. Cd exposure reduced serum testosterone levels and TAC. Also, pubertal onset was delayed. At PND 35, Cd decreased hypothalamic Kiss1 expression, whereas at PND 49, it reduced Kiss1r and Gnrh1 expression. These results suggest that Cd alters hypothalamic gene expression, which may contribute to delayed puberty and impaired sexual maturity. Our findings suggest the vulnerability of puberty to exposure to Cd, acting as an endocrine disruptor and neurotoxicant, with alterations for male reproductive maturity. Full article
(This article belongs to the Special Issue Reproductive and Developmental Toxicity of Environmental Factors)
Show Figures

Graphical abstract

37 pages, 1703 KB  
Review
Medical Treatment for Endometriosis: One Size Does Not Fit All
by Paolo Vercellini, Noemi Salmeri, Veronica Bandini, Beatrice Conca, Paola Viganò, Edgardo Somigliana and Michele Vignali
J. Clin. Med. 2026, 15(6), 2408; https://doi.org/10.3390/jcm15062408 - 21 Mar 2026
Viewed by 199
Abstract
Endometriosis is associated with nociceptive pain, as well as peripheral and central sensitization. Evidence-based treatment suggestions for controlling endometriosis should be based on the convergence of the best scientific evidence, physicians’ clinical expertise, and the values and priorities of individual patients. In this [...] Read more.
Endometriosis is associated with nociceptive pain, as well as peripheral and central sensitization. Evidence-based treatment suggestions for controlling endometriosis should be based on the convergence of the best scientific evidence, physicians’ clinical expertise, and the values and priorities of individual patients. In this non-systematic, comprehensive narrative review, data from available randomized controlled trials and meta-analyses on hormonal treatment for symptomatic endometriosis are interpreted through the lens of clinical experience. The role of patients in defining therapeutic trade-off balances is also taken into consideration. Most symptomatic patients benefit from hormonal therapy, including first-line (progestogens and estrogen-progestogen combinations) and second-line (GnRH agonists and antagonists) medications, to relieve nociceptive pain. To reduce the risk of venous and arterial thrombosis and avoid stimulating lesions, it is preferable to use combinations containing body-identical estrogens rather than ethinyl-estradiol. The main adverse effect of first-line medications is irregular bleeding, which adversely impacts efficacy, tolerability, and adherence. If progestogens and estrogen-progestogens do not improve health-related quality of life (HRQoL), promptly stepping up to GnRH analogues combined with add-back therapy is indicated. Add-on rather than upfront combination therapy is suggested. Separating the analogues and add-back therapy allows for choosing the compounds that best suit the characteristics of individual patients. Transdermal body-identical estradiol use is proposed in combination with both progestogens and GnRH analogues. Similar satisfactory outcomes are achieved with GnRH agonists and antagonists. Evidence on the use of neuromodulatory drugs to treat neuropathic and nociplastic pain is derived from studies of other chronic pain conditions and shows limited effectiveness. The two mainstays of hormonal therapy are (i) ovariostasis and (ii) amenorrhea. “Medical treatment failure” should not be declared unless a shift from first-line to second-line medications has been undertaken whenever these conditions are not met. For severely symptomatic adolescents and young women, secondary prevention through ovariostasis and amenorrhea should be pursued promptly to improve HRQoL, halt lesion progression, and preserve reproductive potential. Full article
Show Figures

Figure 1

28 pages, 14845 KB  
Article
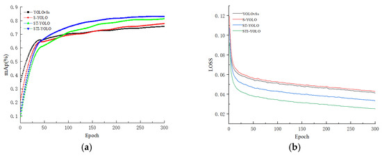
Spatial Relation Reasoning Based on Keypoints for Railway Intrusion Detection and Risk Assessment
by Shanping Ning, Feng Ding and Bangbang Chen
Appl. Sci. 2026, 16(6), 3026; https://doi.org/10.3390/app16063026 - 20 Mar 2026
Viewed by 157
Abstract
Foreign object intrusion in railway tracks is a major threat to train operation safety, yet current detection methods face challenges in identifying small distant targets and adapting to low-light conditions. Moreover, existing systems often lack the ability to assess intrusion risk levels, limiting [...] Read more.
Foreign object intrusion in railway tracks is a major threat to train operation safety, yet current detection methods face challenges in identifying small distant targets and adapting to low-light conditions. Moreover, existing systems often lack the ability to assess intrusion risk levels, limiting real-time warning and graded response capabilities. To address these gaps, this paper proposes a novel method for intrusion detection and risk assessment based on keypoint spatial discrimination. First, an XS-BiSeNetV2-based track segmentation network is developed, incorporating cross-feature fusion and spatial feature recalibration to improve track extraction accuracy in complex scenes. Second, an enhanced STI-YOLO detection model is introduced, integrating a Shuffle attention mechanism for better feature interaction, a high-resolution Transformer detection head to improve small-target sensitivity, and the Inner-IoU loss function to refine bounding box regression. Detected targets’ bottom keypoints are then analyzed relative to track boundaries to determine intrusion direction. By combining lateral distance and motion state features, a multi-level risk classification system is established for quantitative threat assessment. Experiments on the RailSem19 and GN-rail-Object datasets show that the method achieves a track segmentation mIoU of 88.19% and a detection mAP of 82.6%. The risk assessment module effectively quantifies threats across scenarios and maintains stable performance under low-light and strong-glare conditions. This work offers a quantifiable risk assessment solution for intelligent railway safety systems. Full article
Show Figures

Figure 1

41 pages, 4390 KB  
Article
AE3GIS—An Agile Emulated Educational Environment for Guided Industrial Security Training
by Tollan Berhanu, Hunter Squires, Braxton Marlatt, Scott Anderson, Benton Wilson, Robert A. Borrelli and Constantinos Kolias
Future Internet 2026, 18(3), 166; https://doi.org/10.3390/fi18030166 - 20 Mar 2026
Viewed by 157
Abstract
Industrial Control Systems (ICSs) are the backbone of modern critical infrastructure, such as electric power, water treatment, oil and gas distribution, and manufacturing operations. While the convergence of IT and OT has greatly increased efficiency and observability, it has also greatly expanded the [...] Read more.
Industrial Control Systems (ICSs) are the backbone of modern critical infrastructure, such as electric power, water treatment, oil and gas distribution, and manufacturing operations. While the convergence of IT and OT has greatly increased efficiency and observability, it has also greatly expanded the attack surface of these once-isolated systems. High-profile cyber-physical attacks, including Stuxnet (2010), TRITON (2017), and the Colonial Pipeline ransomware attack (2021), have shown that ICS-targeted cyberattacks can cause physical damage, disrupt economic stability, and put public safety at risk. Despite the growing prevalence and intensity of such threats, ICS-based cybersecurity education remains largely under-resourced and underfunded. Traditional ICS training laboratories require highly specialized hardware, vendor-specific tools, and expensive licensing that significantly raise barriers to entry. Traditional labs typically require on-site participation and pose physical safety concerns when cyber-physical attack scenarios are performed. These barriers leave students unable to get necessary security training for ICSs. Therefore, this paper introduces AE3GIS: Agile Emulated Educational Environment for Guided Industrial Security—a fully virtual, lightweight, open-source platform designed to democratize ICS cybersecurity education. Based on the GNS3 network simulation tool, AE3GIS enables rapid deployment of comprehensive ICS environments containing IT and OT systems, industrial communication protocols, control logic, and diverse security tools. AE3GIS is designed to provide practical training for students using realistic ICS cybersecurity scenarios through a local or remote training platform without the cost, safety, or accessibility limitations of hardware-based labs. Full article
(This article belongs to the Section Cybersecurity)
Show Figures

Figure 1

18 pages, 1632 KB  
Article
Leuprolide Acetate Promotes Sensory Recovery and Modulates Dorsal Root Ganglion Responses After Sciatic Nerve Transection in Rats
by Irma Hernández-Jasso, Denisse Calderón-Vallejo, José Ávila-Mendoza, David Epardo, Jerusa E. Balderas-Márquez, Carlos Arámburo, J. Luis Quintanar and Carlos G. Martínez-Moreno
Brain Sci. 2026, 16(3), 332; https://doi.org/10.3390/brainsci16030332 - 20 Mar 2026
Viewed by 213
Abstract
Background/Objectives: Sciatic nerve injuries are among the most common classes of peripheral nerve harm and have a strong impact on quality of life, as well as a significant negative economic impact for patients, society, and governments, since they represent a frequent cause [...] Read more.
Background/Objectives: Sciatic nerve injuries are among the most common classes of peripheral nerve harm and have a strong impact on quality of life, as well as a significant negative economic impact for patients, society, and governments, since they represent a frequent cause of work-related disabilities and sick leave applications. Following nerve injury, neurons, Schwann, and satellite cells undergo marked changes in phenotype, metabolic activity, neuronal survival, nervous transmission, and an exacerbated activation of the inflammatory response. Leuprolide acetate (LA), a clinically available agonist of gonadotropin-releasing hormone (GnRH), has shown clear neurotrophic properties and is considered a novel potential candidate for treating neural injuries, including sciatic nerve pathologies. This study aimed to analyze the effect of LA treatment on sensory function and dorsal root ganglia (DRG) changes in a rat sciatic nerve full-transection (SNT) model. Methods: Variations in cold and heat sensitivity were assessed using the thermal plate test, while DRG tissue sections were examined for modifications in reactive gliosis by immunofluorescence analysis, and axonal transport using a retrograde tracer. Also, changes in the expression of pro-regenerative genes Stat3, Socs3, Fos, Jun, Atf4, and Limk1 were quantified by qPCR. Results: Our results showed that LA treatment exerted a distinct neurotrophic effect, since it promoted the specific recovery of cold sensitivity, improved axonal transport, regulated the inflammatory response, and modulated the exacerbated expression of pro-regenerative genes in the SNT model. Conclusions: These findings indicate that LA therapy may have the potential to improve sensory recovery in patients with sciatic nerve injuries. Full article
(This article belongs to the Section Molecular and Cellular Neuroscience)
Show Figures

Figure 1

17 pages, 7234 KB  
Article
Breeding of a Multifoliolate Alfalfa Population Using CRISPR/Cas9-Generated Mutants and Evaluation of Agronomic Traits and Nutritive Value
by Yuxin Wang, Yiyu Wang, Jianglei Wang, Lan Mu, Weiliang Kou, Shuifen Huang, Shaoli Zhou, Ming Cai, Jianghua Chen and Haitao Chen
Plants 2026, 15(6), 953; https://doi.org/10.3390/plants15060953 - 19 Mar 2026
Viewed by 253
Abstract
Alfalfa (Medicago sativa L.) is a major forage legume worldwide. Developing multifoliolate germplasm has been explored as a strategy to improve forage nutritive value and support more efficient forage livestock production. Here, we developed a multifoliolate population, SJ-ML, using CRISPR/Cas9-generated palmate-like pentafoliate [...] Read more.
Alfalfa (Medicago sativa L.) is a major forage legume worldwide. Developing multifoliolate germplasm has been explored as a strategy to improve forage nutritive value and support more efficient forage livestock production. Here, we developed a multifoliolate population, SJ-ML, using CRISPR/Cas9-generated palmate-like pentafoliate mutants as donor parents. Molecular and phenotypic analyses indicated a stable inheritance of the edited alleles and the multifoliolate trait in SJ-ML. SJ-ML was evaluated under solar greenhouse and field conditions, with the recipient cultivar ‘Aohan’ as the greenhouse control and the commercial cultivars ‘Galaxie-Max’ and ‘GN5’ as field controls. SJ-ML showed a greater leaf area and a higher leaf-to-stem ratio, without reductions in yield or plant height. Nutritive analyses indicated that SJ-ML had a higher crude protein content, relative feed value, digestible dry matter, and dry matter intake, while acid detergent fiber, neutral detergent fiber, and lignin were lower than those of the controls. Across regrowth stages, SJ-ML generally maintained a higher nutritive value than controls. These results support SJ-ML as a multifoliolate germplasm resource for improving nutritive value without a trade-off in agronomic traits, with potential relevance for sustainable agriculture through enhanced forage protein value and a reduced reliance on supplemental protein in some ration contexts. Full article
(This article belongs to the Special Issue Forage and Sustainable Agriculture)
Show Figures

Figure 1

15 pages, 304 KB  
Article
The Epidemiology of Third Molar Agenesis and Its Relationship with Craniofacial Growth in Spanish and Peruvian Populations: A Cross-Sectional Study
by Daniella Núñez-Díaz, Laura Baca-Gonzalez, Óscar Iglesias-Velázquez, Francisco G. F. Tresguerres, Carmen López Carriches, María José Viñas Pinedo, Jesús Torres García-Denche and Isabel Leco Berrocal
Appl. Sci. 2026, 16(6), 2916; https://doi.org/10.3390/app16062916 - 18 Mar 2026
Viewed by 182
Abstract
Congenital third molar (3M) agenesis is a common dental anomaly associated with genetic, epigenetic, and craniofacial growth factors. Evidence regarding its prevalence across populations and its relationship with sagittal and vertical growth patterns remains limited. This study aimed to compare the prevalence of [...] Read more.
Congenital third molar (3M) agenesis is a common dental anomaly associated with genetic, epigenetic, and craniofacial growth factors. Evidence regarding its prevalence across populations and its relationship with sagittal and vertical growth patterns remains limited. This study aimed to compare the prevalence of 3M agenesis in Spanish and Peruvian samples and analyze its association with craniofacial growth patterns. A multicenter cross-sectional study was conducted in 1191 patients aged 10–14 years (348 Spanish, 843 Peruvian). 3M agenesis was assessed on digital panoramic radiographs. Sagittal and vertical growth patterns were evaluated using Steiner’s cephalometric analysis (ANB and GoGn–SN angles). Overall, 3M agenesis prevalence was 25.1%, with no difference between the Spanish (25.0%) and Peruvian (25.15%) groups. A non-significant trend toward higher prevalence was observed in Spanish females. 3M agenesis was more frequent in maxillary than mandibular 3M (16.8% vs. 10.2%; p < 0.001). Growth patterns differed between populations, with Class I and normodivergent patterns predominating in Spanish subjects, and Class II and hyperdivergent patterns in Peruvians (p < 0.001). No significant associations were found between 3M agenesis and sagittal or vertical growth patterns (p > 0.05), although Class II patients exhibited a higher prevalence of mandibular 3M agenesis (14.8% vs. 10.8%; p = 0.04). 3M agenesis showed similar prevalence in both populations and was not associated with craniofacial growth patterns, except for mandibular 3M agenesis in Class II patients, suggesting a multifactorial etiology driven by genetic and developmental factors rather than demographic or skeletal variables. It should be noted, however, that the cross-sectional nature of the study, the recruitment of patients from university dental clinics, and the absence of multivariate regression analysis limit both the generalizability and the causal interpretation of the findings. Full article
17 pages, 7616 KB  
Article
A Novel GnRH-Based Immunocastration Vaccine Modulates Growth, Reproductive and Meat Quality Traits in Male Leizhou Goats
by Mengzhen Luo, Liqin Han, Yueming Yuan, Liuxia Lin, Da Feng, Siyi Hu, Mei Zhou, Namula Zhao, Rui Gao and Shangquan Gan
Animals 2026, 16(6), 924; https://doi.org/10.3390/ani16060924 - 15 Mar 2026
Viewed by 203
Abstract
Castration is widely used in goat production to improve meat quality and manage reproduction, yet conventional surgical methods raise significant animal welfare concerns. Immunocastration targeting gonadotropin-releasing hormone (GnRH) offers a promising, welfare-friendly alternative, but its efficacy in slow-growing indigenous breeds remains poorly defined. [...] Read more.
Castration is widely used in goat production to improve meat quality and manage reproduction, yet conventional surgical methods raise significant animal welfare concerns. Immunocastration targeting gonadotropin-releasing hormone (GnRH) offers a promising, welfare-friendly alternative, but its efficacy in slow-growing indigenous breeds remains poorly defined. In this study, we developed a novel tandem-repeat GnRH(30) recombinant vaccine and evaluated its effects on growth performance, reproductive function, and meat quality in male Leizhou goats. Eighteen six-month-old bucks were assigned to an immunocastration group (IM), surgical castration group (SC), or intact control group (IC). Vaccinated goats produced sustained anti-GnRH antibodies and exhibited significantly suppressed testosterone levels comparable to surgical castrates. Immunocastration induced marked testicular atrophy, disrupted spermatogenesis, reduced semen volume and sperm motility, and increased sperm abnormalities. Importantly, early growth performance and final body weight were not significantly affected. Compared with intact males, both IM and SC goats showed improved meat quality traits, including reduced drip loss and shear force, accompanied by increased intermuscular fat deposition, with overall patterns in the IM group closely resembling those of surgical castration. Overall, these findings indicate that the GnRH(30) vaccine can effectively suppress spermatogenesis and improve meat quality without affecting growth, providing an effective technical approach for castration management in indigenous goats. Full article
(This article belongs to the Special Issue Livestock Fertility and Artificial Insemination)
Show Figures

Figure 1

22 pages, 18777 KB  
Article
LSOD-YOLO: A Visual Object Detection Method for AGV Perception Systems Based on a Lightweight Backbone and Detection Head
by Sijing Cai, Zhanzheng Wu, Kang Liu, Tianbai Zhang, Wei Weng and Xiaoyi Zheng
Technologies 2026, 14(3), 173; https://doi.org/10.3390/technologies14030173 - 12 Mar 2026
Viewed by 377
Abstract
In smart logistics and intelligent manufacturing scenarios, the deployment of Autonomous Guided Vehicles (AGVs) necessitates vision systems that balance stringent real-time constraints with high detection accuracy. However, contemporary lightweight models often struggle with multi-scale feature representation and precision degradation. To address these challenges, [...] Read more.
In smart logistics and intelligent manufacturing scenarios, the deployment of Autonomous Guided Vehicles (AGVs) necessitates vision systems that balance stringent real-time constraints with high detection accuracy. However, contemporary lightweight models often struggle with multi-scale feature representation and precision degradation. To address these challenges, this study presents LSOD-YOLO, a tailored evolution of YOLO11n designed for embedded AGV systems. Our methodology focuses on three architectural innovations: (1) we propose a Lightweight Shared Convolution Detection (LSCD) head integrated with Group Normalization (GN) and a scale-adaptive mechanism to harmonize multi-scale feature responses; (2) we re-engineer the backbone using a Star-Net architecture enhanced by Gated MLPs and Depthwise Attention to refine local spatial modeling; and (3) we integrate multi-branch residuals and Channel Attention (CAA) into the C3k2-Star-CAA module to enhance robustness against occlusions and complex backgrounds. The experimental validation on a self-built AGV industrial dataset and COCO128 reveals a compelling performance leap: a 30 FPS increase in throughput and a 1.5% gain in precision, all achieved with 32.8% fewer parameters. These findings confirm that LSOD-YOLO achieves a superior trade-off between computational efficiency and reliability, showing great potential for seamless deployment in resource-constrained AGV visual tasks. Full article
Show Figures

Figure 1

18 pages, 2387 KB  
Article
PPARα Antagonism Rescues Chlorpyrifos-Induced Neuro-Visual Toxicity in Zebrafish (Danio rerio) Larvae
by Yuyao Jiang, Zijie Ding, Ruolin Hu, Jason T. Magnuson, Shiyan Li, Dingnan Wang, Shengli Zhou, Yirong Guo, Yang Wang, Yuanyuan Liu, Shuying Li and Wenjun Gui
Toxics 2026, 14(3), 234; https://doi.org/10.3390/toxics14030234 - 9 Mar 2026
Viewed by 534
Abstract
With the global population predicted to reach 10 billion by 2050, pesticides are essential for agricultural production. However, they can introduce chemical stressors into aquatic ecosystems. Chlorpyrifos (CPF) is a widely used organophosphate insecticide that can enter aquatic environments and poses potential risks [...] Read more.
With the global population predicted to reach 10 billion by 2050, pesticides are essential for agricultural production. However, they can introduce chemical stressors into aquatic ecosystems. Chlorpyrifos (CPF) is a widely used organophosphate insecticide that can enter aquatic environments and poses potential risks to early-life-stage fish. Because the retina is an extension of the central nervous system and vision-guided behaviors are highly sensitive to neural dysfunction, we hypothesized that CPF exposure disrupts neurobehavioral and visual function via oxidative stress and PPARα-related signaling. Zebrafish larvae were exposed to CPF (0.01, 0.1, 1, 10, and 100 μg/L) with a vehicle control (VC). During the photomotor response assay, exposure to 100 μg/L CPF reduced overall swimming activity by 48.90% and dark-period activity by 57.71%, whereas 1 μg/L CPF modestly increased total distance by 6.96% (p = 0.003) and dark-period distance by 5.40% (p = 0.011). Transcriptomic profiling highlighted nervous- and vision-related functional categories, and Kyoto Encyclopedia of Genes and Genomes (KEGG) enrichment implicated pathways including gonadotropin-releasing hormone (GnRH), mitogen-activated protein kinase (MAPK), and peroxisome proliferator-activated receptor (PPAR) signaling. Targeted neurotransmitter metabolomics showed significant increases in dopamine, γ-aminobutyric acid (GABA), and acetylcholine across treatment groups, indicating broad neurotransmitter dysregulation. Consistent with these findings, neuronal fluorescence in Tg (elavl3: EGFP) larvae decreased by 12.1% and 32.5% in the 1 and 100 μg/L groups, respectively (p < 0.001), and glial fibrillary acidic protein (GFAP) immunofluorescence increased in the eye/brain/olfactory bulb at 1 μg/L (p = 0.037) and 100 μg/L (p = 0.002). Histology further showed retinal injury, with a 14.3% reduction in photoreceptor layer thickness at 100 μg/L (p = 0.034). Mechanistically, coexposure to a PPARα antagonist (GW6471) alleviated CPF-induced behavioral deficits (1.80-fold increase in dark locomotion) and reduced elevated GABA and dopamine levels by 36.8% and 47.3%, respectively. Together, these results indicate that CPF can impair neuro-visual development and that oxidative stress and PPARα-related signaling are closely associated with these effects. Full article
(This article belongs to the Section Emerging Contaminants)
Show Figures

Graphical abstract

Back to TopTop