Sign in to use this feature.

Years

Between: -

Subjects

remove_circle_outline
remove_circle_outline
remove_circle_outline
remove_circle_outline
remove_circle_outline

Journals

Article Types

Countries / Regions

Search Results (9)

Search Parameters:
Keywords = GFDL-ESM2G

Order results
Result details
Results per page
Select all
Export citation of selected articles as:
13 pages, 6903 KB  
Article
Estimating Daily Temperatures over Andhra Pradesh, India, Using Artificial Neural Networks
by Gubbala Ch. Satyanarayana, Velivelli Sambasivarao, Peddi Yasaswini and Meer M. Ali
Atmosphere 2023, 14(10), 1501; https://doi.org/10.3390/atmos14101501 - 28 Sep 2023
Cited by 3 | Viewed by 3606
Abstract
In the recent past, Andhra Pradesh (AP) has experienced increasing trends in surface air mean temperature (SAT at a height of 2 m) because of climate change. In this paper, we attempt to estimate the SAT using the GFDL-ESM2G (Geophysical Fluid Dynamics Laboratory [...] Read more.
In the recent past, Andhra Pradesh (AP) has experienced increasing trends in surface air mean temperature (SAT at a height of 2 m) because of climate change. In this paper, we attempt to estimate the SAT using the GFDL-ESM2G (Geophysical Fluid Dynamics Laboratory Earth System Model version 2G), available from the Coupled Model Intercomparison Project Phase-5 (CMIP5). This model has a mismatch with the India Meteorological Department (IMD)’s observations during April and May, which are the most heat-prone months in the state. Hence, in addition to the SAT from the model, the present paper considers other parameters, such as mean sea level pressure, surface winds, surface relative humidity, and surface solar radiation downwards, that have influenced the SAT. Since all five meteorological parameters from the GFDL-ESM2G model influence the IMD’s SAT, an artificial neural network (ANN) technique has been used to predict the SAT using the above five meteorological parameters as predictors (input) and the IMD’s SAT as the predictand (output). The model was developed using 1981–2020 data with different time lags, and results were tested for 2021 and 2022 in addition to the random testing conducted for 1981–2020. The statistical parameters between the IMD observations and the ANN estimations using GFDL-ESM2G predictions as input confirm that the SAT can be estimated accurately as described in the analysis section. The analysis conducted for different regions of AP reveals that the diurnal variations of SAT in the IMD observations and the ANN predictions over three regions (North, Central, and South AP) and overall AP compare well, with root mean square error varying between 0.97 °C and 1.33 °C. Thus, the SAT predictions provided in the GFDL-ESM2G model simulations could be improved statistically by using the ANN technique over the AP region. Full article
Show Figures

Figure 1

29 pages, 13496 KB  
Article
Bias-Corrected CMIP5 Projections for Climate Change and Assessments of Impact on Malaria in Senegal under the VECTRI Model
by Papa Fall, Ibrahima Diouf, Abdoulaye Deme, Semou Diouf, Doudou Sene, Benjamin Sultan, Adjoua Moïse Famien and Serge Janicot
Trop. Med. Infect. Dis. 2023, 8(6), 310; https://doi.org/10.3390/tropicalmed8060310 - 6 Jun 2023
Cited by 11 | Viewed by 4838
Abstract
On the climate-health issue, studies have already attempted to understand the influence of climate change on the transmission of malaria. Extreme weather events such as floods, droughts, or heat waves can alter the course and distribution of malaria. This study aims to understand [...] Read more.
On the climate-health issue, studies have already attempted to understand the influence of climate change on the transmission of malaria. Extreme weather events such as floods, droughts, or heat waves can alter the course and distribution of malaria. This study aims to understand the impact of future climate change on malaria transmission using, for the first time in Senegal, the ICTP’s community-based vector-borne disease model, TRIeste (VECTRI). This biological model is a dynamic mathematical model for the study of malaria transmission that considers the impact of climate and population variability. A new approach for VECTRI input parameters was also used. A bias correction technique, the cumulative distribution function transform (CDF-t) method, was applied to climate simulations to remove systematic biases in the Coupled Model Intercomparison Project Phase 5 (CMIP5) global climate models (GCMs) that could alter impact predictions. Beforehand, we use reference data for validation such as CPC global unified gauge-based analysis of daily precipitation (CPC for Climate Prediction Center), ERA5-land reanalysis, Climate Hazards InfraRed Precipitation with Station data (CHIRPS), and African Rainfall Climatology 2.0 (ARC2). The results were analyzed for two CMIP5 scenarios for the different time periods: assessment: 1983–2005; near future: 2006–2028; medium term: 2030–2052; and far future: 2077–2099). The validation results show that the models reproduce the annual cycle well. Except for the IPSL-CM5B model, which gives a peak in August, all the other models (ACCESS1–3, CanESM2, CSIRO, CMCC-CM, CMCC-CMS, CNRM-CM5, GFDL-CM3, GFDL-ESM2G, GFDL-ESM2M, inmcm4, and IPSL-CM5B) agree with the validation data on a maximum peak in September with a period of strong transmission in August–October. With spatial variation, the CMIP5 model simulations show more of a difference in the number of malaria cases between the south and the north. Malaria transmission is much higher in the south than in the north. However, the results predicted by the models on the occurrence of malaria by 2100 show differences between the RCP8.5 scenario, considered a high emission scenario, and the RCP4.5 scenario, considered an intermediate mitigation scenario. The CanESM2, CMCC-CM, CMCC-CMS, inmcm4, and IPSL-CM5B models predict decreases with the RCP4.5 scenario. However, ACCESS1–3, CSIRO, NRCM-CM5, GFDL-CM3, GFDL-ESM2G, and GFDL-ESM2M predict increases in malaria under all scenarios (RCP4.5 and RCP8.5). The projected decrease in malaria in the future with these models is much more visible in the RCP8.5 scenario. The results of this study are of paramount importance in the climate-health field. These results will assist in decision-making and will allow for the establishment of preventive surveillance systems for local climate-sensitive diseases, including malaria, in the targeted regions of Senegal. Full article
(This article belongs to the Special Issue Spatial and Spatiotemporal Analysis of Infectious Diseases)
Show Figures

Figure 1

20 pages, 7177 KB  
Article
Assessment of Antarctic Sea Ice Cover in CMIP6 Prediction with Comparison to AMSR2 during 2015–2021
by Siqi Li, Yu Zhang, Changsheng Chen, Yiran Zhang, Danya Xu and Song Hu
Remote Sens. 2023, 15(8), 2048; https://doi.org/10.3390/rs15082048 - 12 Apr 2023
Cited by 2 | Viewed by 2999
Abstract
A comprehensive assessment of Antarctic sea ice cover prediction is conducted for twelve CMIP6 models under the scenario of SSP2-4.5, with a comparison to the observed data from the Advanced Microwave Scanning Radiometer 2 (AMSR2) during 2015–2021. In the quantitative evaluation of sea [...] Read more.
A comprehensive assessment of Antarctic sea ice cover prediction is conducted for twelve CMIP6 models under the scenario of SSP2-4.5, with a comparison to the observed data from the Advanced Microwave Scanning Radiometer 2 (AMSR2) during 2015–2021. In the quantitative evaluation of sea ice extent (SIE) and sea ice area (SIA), most CMIP6 models show reasonable variation and relatively small differences compared to AMSR2. CMCC-CM4-SR5 shows the highest correlation coefficient (0.98 and 0.98) and the lowest RMSD (0.98 × 106 km2 and 1.07 × 106 km2) for SIE and SIA, respectively. In the subregions, the models with the highest correlation coefficient and the lowest RMSD for SIE and SIA are inconsistent. Most models tend to predict smaller SIE and SIA compared to the observational data. GFDL-CM4 and FGOALS-g3 show the smallest mean bias (−4.50 and −1.21 × 105 km2) and the most reasonable interannual agreement of SIE and SIA with AMSR2, respectively. In the assessment of sea ice concentration (SIC), while most models can accurately predict the distribution of large SIC surrounding the Antarctic coastal regions, they tend to underestimate SIC and are unable to replicate the major patterns in the sea ice edge region. GFDL-CM4 and FIO-ESM-2-0 exhibit superior performance, with less bias (less than −5%) and RMSD (less than 23%) for SIC in the Antarctic. GFDL-CM4, FIO-ESM-2-0, and CESM2 exhibit relatively high positive correlation coefficients exceeding 0.60 with the observational data, while few models achieve satisfactory linear trend prediction of SIC. Through the comparison with RMSD, Taylor score (TS) consistently evaluates the Antarctic sea ice cover and proves to be a representative statistical indicator and applicable for its assessment. Based on comprehensive assessments of sea ice cover, CESM2, CMCC-CM4-SR5, FGOALS-g3, FIO-ESM-2-0, and GFDL-CM4 demonstrate more reasonable prediction performance. The assessment findings enhance the understanding of the uncertainties associated with sea ice in the CMIP6 models and highlighting the need for a meticulous selection of the multimodel ensemble. Full article
Show Figures

Figure 1

28 pages, 20165 KB  
Article
Evaluation of Present-Day CMIP6 Model Simulations of Extreme Precipitation and Temperature over the Australian Continent
by Nidhi Nishant, Giovanni Di Virgilio, Fei Ji, Eugene Tam, Kathleen Beyer and Matthew L. Riley
Atmosphere 2022, 13(9), 1478; https://doi.org/10.3390/atmos13091478 - 12 Sep 2022
Cited by 25 | Viewed by 6199
Abstract
Australia experiences a variety of climate extremes that result in loss of life and economic and environmental damage. This paper provides a first evaluation of the performance of state-of-the-art Coupled Model Intercomparison Project Phase 6 (CMIP6) global climate models (GCMs) in simulating climate [...] Read more.
Australia experiences a variety of climate extremes that result in loss of life and economic and environmental damage. This paper provides a first evaluation of the performance of state-of-the-art Coupled Model Intercomparison Project Phase 6 (CMIP6) global climate models (GCMs) in simulating climate extremes over Australia. Here, we evaluate how well 37 individual CMIP6 GCMs simulate the spatiotemporal patterns of 12 climate extremes over Australia by comparing the GCMs against gridded observations (Australian Gridded Climate Dataset). This evaluation is crucial for informing, interpreting, and constructing multimodel ensemble future projections of climate extremes over Australia, climate-resilience planning, and GCM selection while conducting exercises like dynamical downscaling via GCMs. We find that temperature extremes (maximum-maximum temperature -TXx, number of summer days -SU, and number of days when maximum temperature is greater than 35 °C -Txge35) are reasonably well-simulated in comparison to precipitation extremes. However, GCMs tend to overestimate (underestimate) minimum (maximum) temperature extremes. GCMs also typically struggle to capture both extremely dry (consecutive dry days -CDD) and wet (99th percentile of precipitation -R99p) precipitation extremes, thus highlighting the underlying uncertainty of GCMs in capturing regional drought and flood conditions. Typically for both precipitation and temperature extremes, UKESM1-0-LL, FGOALS-g3, and GCMs from Met office Hadley Centre (HadGEM3-GC31-MM and HadGEM3-GC31-LL) and NOAA (GFDL-ESM4 and GFDL-CM4) consistently tend to show good performance. Our results also show that GCMs from the same modelling group and GCMs sharing key modelling components tend to have similar biases and thus are not highly independent. Full article
(This article belongs to the Section Climatology)
Show Figures

Figure 1

25 pages, 8310 KB  
Article
Skill and Inter-Model Comparison of Regional and Global Climate Models in Simulating Wind Speed over South Asian Domain
by Naresh K. G. Lakku and Manasa R. Behera
Climate 2022, 10(6), 85; https://doi.org/10.3390/cli10060085 - 16 Jun 2022
Cited by 11 | Viewed by 5420
Abstract
Global Climate Models (GCMs) and Regional Climate Models (RCMs) have been widely used in understanding the impact of climate change on wind-driven processes without explicit evaluation of their skill. This study is oriented towards assessing the skill of 28 GCMs and 16 RCMs, [...] Read more.
Global Climate Models (GCMs) and Regional Climate Models (RCMs) have been widely used in understanding the impact of climate change on wind-driven processes without explicit evaluation of their skill. This study is oriented towards assessing the skill of 28 GCMs and 16 RCMs, and more importantly to assess the ability of RCMs relative to parent GCMs in simulating near-surface wind speed (WS) in diverse climate variable scales (daily, monthly, seasonal and annual) over the ocean and land region of the South Asian (SA) domain (11° S–30° N and 26° E–107° E). Our results reveal that the climate models’ competence varies among climate variable scales and regions. However, after rigorous examination of all climate models’ skill, it is recommended to use the mean ensemble of MPI-ESM-MR, CSIRO-Mk3.6.0 and GFDL-ESM2G GCMs for understanding future changes in wave climate, coastal sediment transport and offshore wind energy potential, and REMO2009 RCM driven by MPI-M-MPI-ESM-LR for future onshore wind energy potential assessment and air pollution modelling. All parent GCMs outperform the RCMs (except CCCma-CanESM2(RCA4)) over the ocean. In contrast, most RCMs show significant added value over the land region of the SA domain. Further, it is strongly discouraged to use the RCM WS simulations in modelling wind-driven processes based on their parent GCM’s skill over the ocean. Full article
(This article belongs to the Section Climate Dynamics and Modelling)
Show Figures

Figure 1

30 pages, 11929 KB  
Article
Skill and Intercomparison of Global Climate Models in Simulating Wind Speed, and Future Changes in Wind Speed over South Asian Domain
by Naresh K. G. Lakku and Manasa R. Behera
Atmosphere 2022, 13(6), 864; https://doi.org/10.3390/atmos13060864 - 25 May 2022
Cited by 4 | Viewed by 2730
Abstract
Investigating the role of complex dynamical components of a global climate model (GCM) in improving near-surface wind speed (WS) simulation is vital for the climate community in building reliable future WS projections. The relative skill of GCMs in representing WS at diverse climate [...] Read more.
Investigating the role of complex dynamical components of a global climate model (GCM) in improving near-surface wind speed (WS) simulation is vital for the climate community in building reliable future WS projections. The relative skill of GCMs in representing WS at diverse climate variable scales (daily, monthly, seasonal, and annual) over land and ocean areas of the South Asian domain is not clear yet. With this in mind, this paper evaluated the skill of 28 Coupled Model Intercomparison Project phase five GCMs in reproducing the WS using a devised relative score approach. It is recommended to use the mean ensemble of MPI-ESM-MR, CSIRO-Mk3.6.0, and GFDL-ESM2G GCMs for understanding future changes in wind–wave climate and offshore wind energy potential. The inter-comparison of GCMs shows that the GCM with high or low atmospheric resolution does not necessarily exhibit the best or worst performance, respectively, whereas the dynamic components in the model configuration play the major role, especially the atmosphere component relative to other dynamical components. The strengthening of annual and seasonal mean WS is observed over coastal plains of the United Republic of Tanzania, Oman, eastern Thailand, eastern Gulf of Thailand and Sumatra, and weakening over the central northern equatorial region of the Indian Ocean in the 21st century for RCP4.5 and RCP8.5 emission scenarios. Full article
(This article belongs to the Section Climatology)
Show Figures

Figure 1

42 pages, 12456 KB  
Article
Analysis of Groundwater and Total Water Storage Changes in Poland Using GRACE Observations, In-situ Data, and Various Assimilation and Climate Models
by Justyna Śliwińska, Monika Birylo, Zofia Rzepecka and Jolanta Nastula
Remote Sens. 2019, 11(24), 2949; https://doi.org/10.3390/rs11242949 - 9 Dec 2019
Cited by 30 | Viewed by 6802
Abstract
The Gravity Recovery and Climate Experiment (GRACE) observations have provided global observations of total water storage (TWS) changes at monthly intervals for over 15 years, which can be useful for estimating changes in GWS after extracting other water storage components. In this study, [...] Read more.
The Gravity Recovery and Climate Experiment (GRACE) observations have provided global observations of total water storage (TWS) changes at monthly intervals for over 15 years, which can be useful for estimating changes in GWS after extracting other water storage components. In this study, we analyzed the TWS and groundwater storage (GWS) variations of the main Polish basins, the Vistula and the Odra, using GRACE observations, in-situ data, GLDAS (Global Land Data Assimilation System) hydrological models, and CMIP5 (the World Climate Research Programme’s Coupled Model Intercomparison Project Phase 5) climate data. The research was conducted for the period between September 2006 and October 2015. The TWS data were taken directly from GRACE measurements and also computed from four GLDAS (VIC, CLM, MOSAIC, and NOAH) and six CMIP5 (FGOALS-g2, GFDL-ESM2G, GISS-E2-H, inmcm4, MIROC5, and MPI-ESM-LR) models. The GWS data were obtained by subtracting the model TWS from the GRACE TWS. The resulting GWS values were compared with in-situ well measurements calibrated using porosity coefficients. For each time series, the trends, spectra, amplitudes, and seasonal components were computed and analyzed. The results suggest that in Poland there has been generally no major TWS or GWS depletion. Our results indicate that when comparing TWS values, better compliance with GRACE data was obtained for GLDAS than for CMIP5 models. However, the GWS analysis showed better consistency of climate models with the well results. The results can contribute toward selection of an appropriate model that, in combination with global GRACE observations, would provide information on groundwater changes in regions with limited or inaccurate ground measurements. Full article
Show Figures

Graphical abstract

19 pages, 5167 KB  
Article
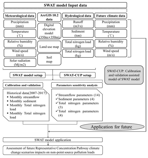
Impacts of Climate Change Scenarios on Non-Point Source Pollution in the Saemangeum Watershed, South Korea
by Ting Li and Gwangseob Kim
Water 2019, 11(10), 1982; https://doi.org/10.3390/w11101982 - 23 Sep 2019
Cited by 22 | Viewed by 5334
Abstract
Non-point source (NPS) pollution is a primary cause of water pollution in the Saemangeum watershed in South Korea. The changes in NPS pollutant loads in the Saemangeum watershed for an 81-year period (2019–2099) were simulated and analyzed by applying the soil and water [...] Read more.
Non-point source (NPS) pollution is a primary cause of water pollution in the Saemangeum watershed in South Korea. The changes in NPS pollutant loads in the Saemangeum watershed for an 81-year period (2019–2099) were simulated and analyzed by applying the soil and water assessment tool. Six climate model (BCC-CSM1–1, CanESM2, GFDL-ESM2G, HadGEM2-CC, INM-CM4, and MIROC-ESM) outputs using representative concentration pathway (RCP) scenarios (RCP 4.5 and RCP 8.5) were obtained from the South Korean Asia-Pacific Economic Cooperation (APEC) Climate Center. Simulated streamflow and water quality were evaluated using the Nash–Sutcliffe efficiency (NSE) index and coefficient of determination (R2). The model satisfactorily simulated streamflow with positive NSE values and R2 > 0.5. Based on two climate change scenarios (RCP 4.5 and RCP 8.5), gradual increases of 70.9 to 233.8 mm and 1.7 to 5.7 °C in annual precipitation and temperature, respectively, are likely for two time periods (2019–2059 and 2060–2099). Additionally, the expected future average annual and monthly streamflow, sediment, and total phosphorus showed changes of 5% to 43%, 3% to 40%, and −55% to 15%, respectively, whereas the expected future average annual and monthly total nitrogen showed decreases of −5% to −27%. Future NPS pollutant loads in the Saemangeum watershed should be managed according to different climate change scenarios. Full article
(This article belongs to the Section Water Resources Management, Policy and Governance)
Show Figures

Figure 1

18 pages, 1234 KB  
Article
Statistical Selection of the Optimum Models in the CMIP5 Dataset for Climate Change Projections of Indian Monsoon Rainfall
by Pravat Jena, Sarita Azad and Madhavan Nair Rajeevan
Climate 2015, 3(4), 858-875; https://doi.org/10.3390/cli3040858 - 3 Nov 2015
Cited by 29 | Viewed by 9031
Abstract
Monsoons are the life and soul of India’s financial aspects, especially that of agribusiness in deciding cropping patterns. Around 80% of the yearly precipitation occurs from June to September amid monsoon season across India. Thus, its seasonal mean precipitation is crucial for agriculture [...] Read more.
Monsoons are the life and soul of India’s financial aspects, especially that of agribusiness in deciding cropping patterns. Around 80% of the yearly precipitation occurs from June to September amid monsoon season across India. Thus, its seasonal mean precipitation is crucial for agriculture and the national water supply. From the start of the 19th century, several studies have been conducted on the possible increments in Indian summer monsoon precipitation in the future. Unfortunately, none of them has endeavoured to discover the models whose yield give the best fit to the observed data. Here some statistical tests are performed to quantify the models of Coupled Model Inter-comparison Project 5 (CMIP5). Then, after, the Technique for Order Preference by Similarity to Ideal Solution (TOPSIS) method is used to select optimum models. It shows that four models, CCSM4, CESM1-CAM5, GFDL-CM3, and GFDL-ESM2G, best capture the pattern in Indian summer monsoon rainfall over the historical period (1871–2005). Further, Student’s t-test is utilized to estimate the significant changes in meteorological subdivisions of selected optimum models. Also, our results reveal the Indian meteorological subdivisions which are liable to encounter significant changes in mean at confidence levels that differ from 80% to 99%. Full article
(This article belongs to the Special Issue Climate Change and Development in South Asia)
Show Figures

Figure 1

Back to TopTop