Assessment of Antarctic Sea Ice Cover in CMIP6 Prediction with Comparison to AMSR2 during 2015–2021
Abstract
1. Introduction
2. Data and Methods
2.1. CMIP6 Prediction Data
2.2. Observed Data
2.3. Division of Subregions
2.4. Comprehensive Assessment Methods
3. Results
3.1. The Assessment of SIE and SIA Predictions
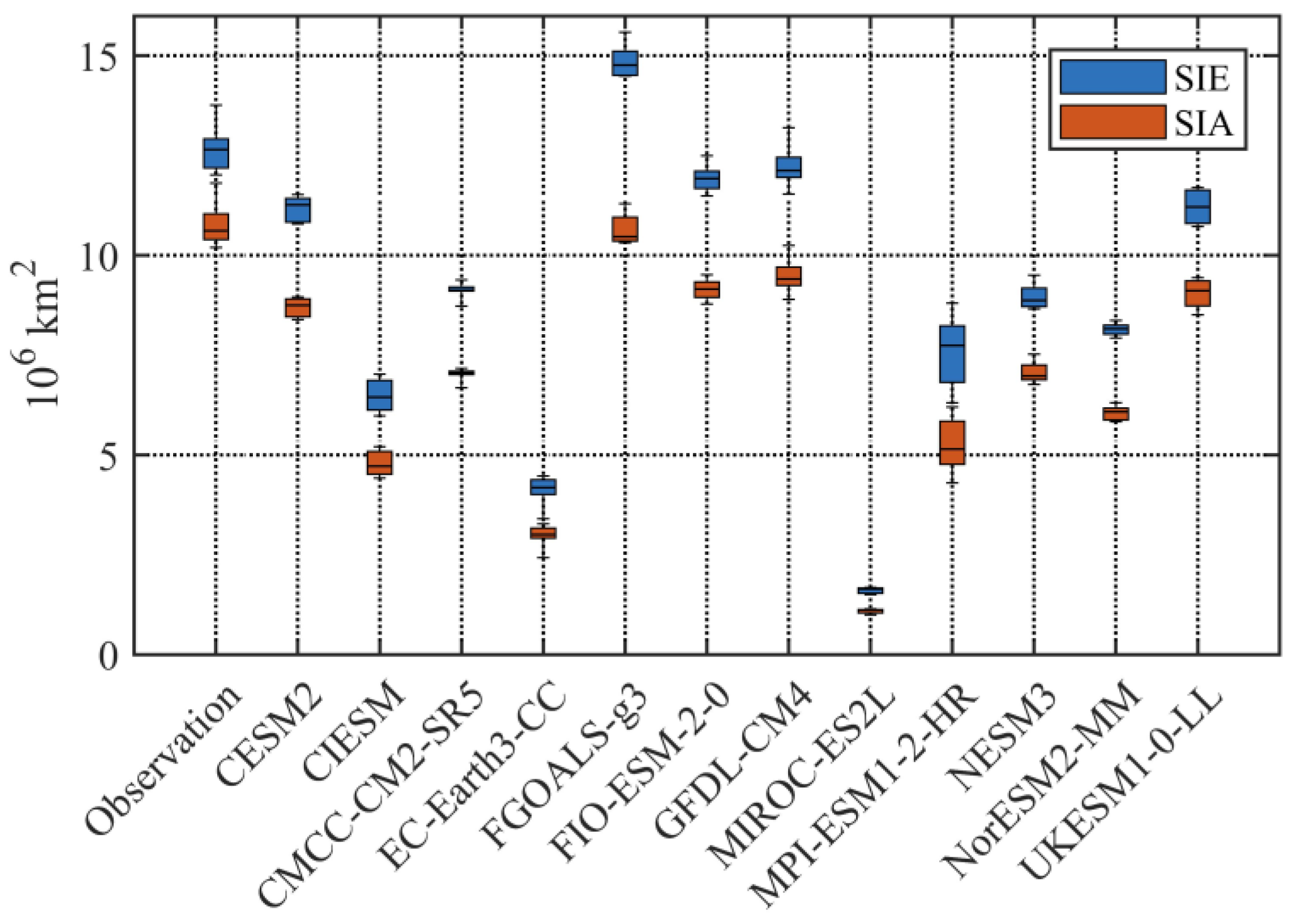
3.1.1. Monthly Variation and Regional Differences
3.1.2. Seasonal Cycles
3.1.3. Interannual Variation
3.2. The Assessment of SIC Prediction
3.2.1. Spatial Distribution of SIC
3.2.2. Temporal Variation of SIC
4. Discussion
5. Conclusions
Author Contributions
Funding
Data Availability Statement
Acknowledgments
Conflicts of Interest
Abbreviations
| NCAR | National Center for Atmospheric Research |
| THU | Tsinghua University |
| CMCC | Euro-Mediterranean Center on Climate Change |
| EC | European Commission |
| FIO | First Institute of Oceanography, Ministry of Natural Resources |
| NOAA | National Oceanic and Atmospheric Administration |
| GFDL | Geophysical Fluid Dynamics Laboratory |
| CAS | Chinese Academy of Sciences |
| MIROC | Model for Interdisciplinary Research on Climate |
| NUIST | Nanjing University of Information Science and Technology |
| NCC | Norwegian Climate Center |
| MPI-M | Max Planck Institute for Meteorology |
| NCAS | National Centre for Atmospheric Science |
| MOHC | The Met Office Hadley Centre |
References
- Dieckmann, G.S.; Hellmer, H.H. The importance of sea ice: An overview Sea Ice. In Environmental Science; Thomas, D.N., Dieckmann, G.S., Eds.; Wiley-Blackwell: Hoboken, NJ, USA, 2010; Volume 2, pp. 1–22. [Google Scholar] [CrossRef]
- Massom, R.A.; Stammerjohn, S.E. Antarctic sea ice change and variability—Physical and ecological implications. Polar Sci. 2010, 4, 149–186. [Google Scholar] [CrossRef]
- Weeks, W.F.; Schroeter, S. Sea ice: Overview. In Encyclopedia of Ocean Sciences, 3rd ed.; Cochran, J.K., Bokuniewicz, H.J., Yager, P.L., Eds.; Academic Press: Oxford, UK, 2019; pp. 181–186. [Google Scholar] [CrossRef]
- Kohout, A.L.; Williams, M.J.M.; Dean, S.M.; Meylan, M.H. Storm-induced sea-ice breakup and the implications for ice extent. Nature 2014, 509, 604–607. [Google Scholar] [CrossRef]
- Roach, L.A.; Horvat, C.; Dean, S.M.; Bitz, C.M. An emergent sea icefloe size distribution in a globalcoupled ocean-sea ice model. J. Geophys. Res. Ocean. 2018, 123, 4322–4337. [Google Scholar] [CrossRef]
- Zhang, J. Increasing Antarctic Sea Ice under Warming Atmospheric and Oceanic Conditions. J. Clim. 2007, 20, 2515–2529. [Google Scholar] [CrossRef]
- Parkinson, C.L.; Cavalieri, D.J. Antarctic sea ice variability and trends, 1979–2010. Cryosphere 2012, 6, 871–880. [Google Scholar] [CrossRef]
- Comiso, J.C.; Gersten, R.A.; Stock, L.V.; Turner, J.; Perez, G.J.; Cho, K. Positive Trend in the Antarctic Sea Ice Cover and Associated Changes in Surface Temperature. J. Clim. 2017, 30, 2251–2267. [Google Scholar] [CrossRef] [PubMed]
- Holland, P.R. The seasonality of Antarctic sea ice trends. Geophys. Res. Lett. 2014, 41, 4230–4237. [Google Scholar] [CrossRef]
- Parkinson, C.L. A 40-y record reveals gradual Antarctic sea ice increases followed by decreases at rates far exceeding the rates seen in the Arctic. Proc. Natl. Acad. Sci. USA 2019, 116, 14414–14423. [Google Scholar] [CrossRef]
- Eayrs, C.; Li, X.; Raphael, M.N.; Holland, D.M. Rapid decline in Antarctic sea ice in recent years hints at future change. Nat. Geosci 2021, 14, 460–464. [Google Scholar] [CrossRef]
- Turner, J.; Phillips, T.; Marshall, G.J.; Hosking, J.S.; Pope, J.O.; Bracegirdle, T.J.; Deb, P. Unprecedented springtime retreat of Antarctic sea ice in 2016. Geophys. Res. Lett. 2017, 44, 6868–6875. [Google Scholar] [CrossRef]
- Parkinson, C.L.; DiGirolamo, N.E. Sea ice extents continue to set new records: Arctic, Antarctic, and global results. Remote Sens. Environ. 2021, 267, 15. [Google Scholar] [CrossRef]
- Eicken, H.; Mahoney, A. Sea Ice: Hazards, Risks, and Implications for Disasters. In Coastal and Marine Hazards, Risks, and Disasters; Ellis, J.T., Sherman, D.J., Schroder, J.F., Eds.; Elsevier: Amsterdam, The Netherlands, 2015; pp. 381–401. [Google Scholar] [CrossRef]
- Lee, J.R.; Raymond, B.; Bracegirdle, T.J.; Chadès, I.; Fuller, R.A.; Shaw, J.D.; Terauds, A. Climate change drives expansion of Antarctic ice-free habitat. Nature 2017, 547, 49–54. [Google Scholar] [CrossRef] [PubMed]
- Yang, C.-Y.; Liu, J.; Hu, Y.; Horton, R.M.; Chen, L.; Cheng, X. Assessment of Arctic and Antarctic sea ice predictability in CMIP5 decadal hindcasts. Cryosphere 2016, 10, 2429–2452. [Google Scholar] [CrossRef]
- Timmermann, R.; Wang, Q.; Hellmer, H.H. Ice-shelf basal melting in a global finite-element sea-ice/ice-shelf/ocean model. Ann. Glaciol. 2017, 53, 303–314. [Google Scholar] [CrossRef]
- DuVivier, A.K.; Holland, M.M.; Kay, J.E.; Tilmes, S.; Gettelman, A.; Bailey, D.A. Arctic and Antarctic sea ice mean state in the Community Earth System Model Version 2 and the influence of atmospheric chemistry. J. Geophys. Res. Ocean. 2020, 125, e2019JC015934. [Google Scholar] [CrossRef]
- Shu, Q.; Wang, Q.; Song, Z.; Qiao, F.; Zhao, J.; Chu, M.; Li, X. Assessment of sea ice extent in CMIP6 with comparison to observations and CMIP5. Geophys. Res. Lett. 2020, 47, e2020GL087965. [Google Scholar] [CrossRef]
- Turner, J.; Bracegirdle, T.J.; Phillips, T.; Marshall, G.J.; Hosking, J.S. An initial assessment of Antarctic sea ice extent in the CMIP5 models. J. Clim. 2013, 26, 1473–1484. [Google Scholar] [CrossRef]
- Shu, Q.; Song, Z.; Qiao, F. Assessment of sea ice simulations in the CMIP5 models. Cryosphere 2015, 9, 399–409. [Google Scholar] [CrossRef]
- Roach, L.A.; Dörr, J.; Holmes, C.R.; Massonnet, F.; Blockley, E.W.; Notz, D.; Holmes, C.R.; Massonnet, F.; Blockley, E.W.; Notz, D.; et al. Antarctic sea ice area in CMIP6. Geophys. Res. Lett. 2020, 47, e2019GL086729. [Google Scholar] [CrossRef]
- Blanchard-Wrigglesworth, E.; Donohoe, A.; Roach, L.A.; DuVivier, A.; Bitz, C.M. High-frequency sea ice variability in observations and models. Geophys. Res. Lett. 2021, 48, e2020GL092356. [Google Scholar] [CrossRef]
- Eyring, V.; Bony, S.; Meehl, G.A. Overview of the Coupled Model Intercomparison Project Phase 6 (CMIP6) experimental design and organization. Geosci. Model Dev. 2016, 9, 1937–1958. [Google Scholar] [CrossRef]
- Meier, W.; Markus, T.; Comiso, J. AMSR-E/AMSR2 Unified L3 Daily 12.5 km Brightness Temperatures, Sea Ice Concentration, Motion and Snow Depth Polar Grids, Version 1; NASA National Snow and Ice Data Center Distributed Archive Center: Boulder, CO, USA, 2018. [Google Scholar] [CrossRef]
- Scarlat, R.C.; Spreen, G.; Heygster, G.; Huntemann, M.; Patilea, C.; Pedersen, L.T.; Saldo, R. Sea ice and atmospheric parameter retrieval from satellite microwave radiometers: Synergy of AMSR2 and SMOS compared with the CIMR candidate mission. J. Geophys. Res. Ocean. 2020, 125, e2019JC015749. [Google Scholar] [CrossRef]
- Zabolotskikh, E.; Azarov, S. Wintertime Emissivities of the Arctic Sea Ice Types at the AMSR2 Frequencies. Remote Sens. 2022, 14, 5927. [Google Scholar] [CrossRef]
- Zwally, H.J.; Comiso, J.C.; Parkinson, C.L.; Campbell, W.J.; Carsey, F.D. Satellite Passive-Microwave Observations. In Antarctic Sea Ice, 1973–1976; National Aeronautics and Space Administration: Washington, DC, USA, 1983. [Google Scholar]
- Long, M.; Zhang, L.; Hu, S.; Qian, S. Multi-Aspect Assessment of CMIP6 Models for Arctic Sea Ice Simulation. J. Clim. 2021, 34, 1515–1529. [Google Scholar] [CrossRef]














| Model Name | Country (Institution) | Sea Ice Component | Resolution (Lon × Lat) |
|---|---|---|---|
| CESM2 | United States (NCAR) | CICE5.1 | 320 × 384 |
| CIESM | China (THU) | CICE4.1 | 320 × 384 |
| CMCC-CM2-SR5 | Italy (CMCC) | CICE4.0 | 360 × 291 |
| EC-Earth3-CC | Europe (EC) | NEMO-LIM3 | 362 × 292 |
| FGOALS-g3 | China (CAS) | CICE4.0 | 360 × 218 |
| FIO-ESM-2-0 | China (FIO) | CICE4.0 | 320 × 384 |
| GFDL-CM4 | United States (NOAA/GFDL) | GFDL-SIM4p25 | 1440 × 1080 |
| MIROC-ES2L | Japan (MIROC) | COCO4.9 | 360 × 256 |
| MPI-ESM1-2-HR | Germany (MPI-M) | Unnamed | 802 × 404 |
| NESM3 | China (NUIST) | CICE4.1 | 320 × 384 |
| NorESM2-MM | Norway (NCC) | CICE | 360 × 384 |
| UKESM1-0-LL | United Kingdom (NCAS and MOHC) | CICE-HadGEM3-GSI8 | 360 × 330 |
| Name | Antarctic (×106 km2) | Weddell (×106 km2) | Indian (×106 km2) | Western Pacific (×106 km2) | Ross (×106 km2) | B & A (×106 km2) |
|---|---|---|---|---|---|---|
| Observation | 12.68/10.78 | 4.63/4.05 | 2.09/1.73 | 1.42/1.15 | 2.94/2.53 | 1.60/1.32 |
| CESM2 | 11.15/8.69 | 3.60/2.85 | 1.39/0.97 | 1.53/1.04 | 2.91/2.22 | 1.72/1.34 |
| CIESM | 6.48/4.79 | 2.15/1.60 | 0.82/0.58 | 0.97/0.71 | 1.87/1.40 | 0.67/0.49 |
| CMCC-CM2-SR5 | 9.12/7.02 | 2.99/2.36 | 1.26/0.91 | 1.07/0.77 | 2.52/1.97 | 1.29/1.00 |
| EC-Earth3-CC | 4.10/2.97 | 1.76/1.30 | 0.39/0.25 | 0.44/0.30 | 1.34/1.02 | 0.17/0.10 |
| FGOALS-g3 | 14.85/10.65 | 4.65/3.52 | 3.05/2.09 | 1.85/1.25 | 3.13/2.25 | 2.17/1.55 |
| FIO-ESM-2-0 | 11.94/9.15 | 4.06/3.18 | 1.72/1.27 | 1.40/1.02 | 3.16/2.45 | 1.60/1.23 |
| GFDL-CM4 | 12.23/9.48 | 4.42/3.48 | 2.08/1.56 | 1.44/1.06 | 2.76/2.22 | 1.53/1.16 |
| MIROC-ES2L | 1.61/1.09 | 0.72/0.53 | 0.21/0.13 | 0.18/0.10 | 0.35/0.24 | 0.16/0.09 |
| MPI-ESM1-2-HR | 7.59/5.27 | 2.43/1.66 | 1.05/0.70 | 0.79/0.53 | 2.10/1.53 | 1.22/0.84 |
| NESM3 | 8.98/7.08 | 2.97/2.39 | 1.48/1.13 | 0.92/0.70 | 2.89/2.34 | 0.72/0.51 |
| NorESM2-MM | 8.15/6.05 | 2.84/2.05 | 0.99/0.72 | 0.93/0.66 | 2.10/1.64 | 1.30/0.98 |
| UKESM1-0-LL | 11.22/9.04 | 3.74/3.09 | 1.92/1.49 | 1.59/1.24 | 2.76/2.28 | 1.20/0.94 |
| Region | SIE | SIA | SIC | |||
|---|---|---|---|---|---|---|
| RMSD | TS | RMSD | TS | RMSD | TS | |
| Antarctic | CMCC-CM2-SR5 | CMCC-CM2-SR5 | CMCC-CM2-SR5 | CMCC-CM2-SR5 /NESM3 | FIO-ESM-2-0 | FIO-ESM-2-0 |
| Weddell | NESM3 | NESM3 | NESM3 | NESM3 | FGOALS-g3 | FGOALS-g3 |
| Indian | CMCC-CM2-SR5 | CMCC-CM2-SR5 | GFDL-CM4 | GFDL-CM4 | GFDL-CM4 | GFDL-CM4 |
| Western Pacific | Nor-ESM2-MM | Nor-ESM2-MM | CIESM | CIESM | CESM2 | CESM2 |
| Ross | CIESM | CIESM | CESM2 | CESM2 | CESM2 | CESM2 |
| B & A | UKESM1-0-LL | Nor-ESM2-MM | UKESM1-0-LL | Nor-ESM2-MM | CESM2 | CESM2 |
Disclaimer/Publisher’s Note: The statements, opinions and data contained in all publications are solely those of the individual author(s) and contributor(s) and not of MDPI and/or the editor(s). MDPI and/or the editor(s) disclaim responsibility for any injury to people or property resulting from any ideas, methods, instructions or products referred to in the content. |
© 2023 by the authors. Licensee MDPI, Basel, Switzerland. This article is an open access article distributed under the terms and conditions of the Creative Commons Attribution (CC BY) license (https://creativecommons.org/licenses/by/4.0/).
Share and Cite
Li, S.; Zhang, Y.; Chen, C.; Zhang, Y.; Xu, D.; Hu, S. Assessment of Antarctic Sea Ice Cover in CMIP6 Prediction with Comparison to AMSR2 during 2015–2021. Remote Sens. 2023, 15, 2048. https://doi.org/10.3390/rs15082048
Li S, Zhang Y, Chen C, Zhang Y, Xu D, Hu S. Assessment of Antarctic Sea Ice Cover in CMIP6 Prediction with Comparison to AMSR2 during 2015–2021. Remote Sensing. 2023; 15(8):2048. https://doi.org/10.3390/rs15082048
Chicago/Turabian StyleLi, Siqi, Yu Zhang, Changsheng Chen, Yiran Zhang, Danya Xu, and Song Hu. 2023. "Assessment of Antarctic Sea Ice Cover in CMIP6 Prediction with Comparison to AMSR2 during 2015–2021" Remote Sensing 15, no. 8: 2048. https://doi.org/10.3390/rs15082048
APA StyleLi, S., Zhang, Y., Chen, C., Zhang, Y., Xu, D., & Hu, S. (2023). Assessment of Antarctic Sea Ice Cover in CMIP6 Prediction with Comparison to AMSR2 during 2015–2021. Remote Sensing, 15(8), 2048. https://doi.org/10.3390/rs15082048

