Sign in to use this feature.

Years

Between: -

Subjects

remove_circle_outline
remove_circle_outline

Journals

Article Types

Countries / Regions

Search Results (1)

Search Parameters:
Keywords = Friedel–Crafts alquilation

Order results
Result details
Results per page
Select all
Export citation of selected articles as:
13 pages, 21465 KB  
Article
New Experimental Conditions for Diels–Alder and Friedel-Crafts Alquilation Reactions with Thiophene: A New Selenocyanate with Potent Activity against Cancer
by Gorka Calvo-Martín, Daniel Plano and Carmen Sanmartín
Molecules 2022, 27(3), 982; https://doi.org/10.3390/molecules27030982 - 1 Feb 2022
Cited by 8 | Viewed by 7097
Abstract
The reactivity of thiophene in Diels-Alder reactions is investigated with different maleimide derivatives. In this paper, we have synthesized for the first time the Diels–Alder adducts of thiophene at room temperature and atmospheric pressure. Maleimido–thiophene adducts were promoted by AlCl3. The [...] Read more.
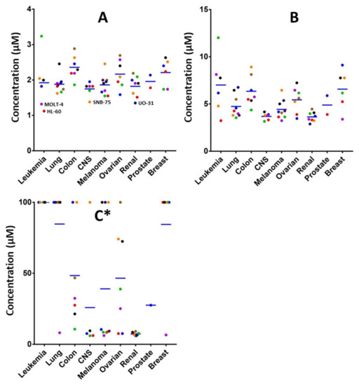
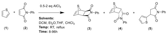
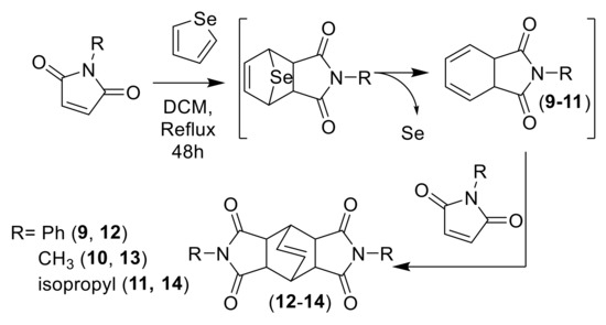
The reactivity of thiophene in Diels-Alder reactions is investigated with different maleimide derivatives. In this paper, we have synthesized for the first time the Diels–Alder adducts of thiophene at room temperature and atmospheric pressure. Maleimido–thiophene adducts were promoted by AlCl3. The effects of solvent, time, temperature and the use of different Lewis acids were studied, showing dramatic effects for solvent and Lewis acid. Furthermore, the catalysis with AlCl3 is highly stereoselective, preferably providing the exo form of the adduct. Additionally, we also discovered the ability of AlCl3 to catalyze the arylation of maleimides to yield 3-aryl succinimides in a straightforward manner following a Friedel–Crafts-type addition. The inclusion of a selenocyanate group contributes to the cytotoxic activity of the adduct. This derivatization (from compound 7 to compound 15) results in an average GI50 value of 1.98 µM in the DTP (NCI-60) cell panel, resulting in being especially active in renal cancer cells. Full article
(This article belongs to the Section Chemical Biology)
Show Figures

Graphical abstract

Back to TopTop