Sign in to use this feature.

Years

Between: -

Subjects

remove_circle_outline
remove_circle_outline
remove_circle_outline
remove_circle_outline
remove_circle_outline
remove_circle_outline
remove_circle_outline
remove_circle_outline
remove_circle_outline

Journals

Article Types

Countries / Regions

remove_circle_outline
remove_circle_outline
remove_circle_outline
remove_circle_outline

Search Results (796)

Search Parameters:
Keywords = FBG sensor

Order results
Result details
Results per page
Select all
Export citation of selected articles as:
24 pages, 9290 KB  
Article
Robust Localization of Low-Velocity Impacts on Honeycomb Sandwich Panels via FBG Sensor Networks
by Zhengwen Zhou, Yibo Yang, Xin Xu, Kexia Peng, Yihong Han, Guangming Song, Jingtai Li, Zhe Lin and Liangjie Guo
Sensors 2026, 26(5), 1715; https://doi.org/10.3390/s26051715 - 9 Mar 2026
Abstract
Honeycomb sandwich panels are widely used in aerospace, yet they are vulnerable to low-velocity impacts. Implementing effective localization is challenging because, unlike single-layer structures, the multi-layer energy dissipation capabilities of honeycomb core induce rapid stress wave attenuation and reverberations, degrading signal quality. This [...] Read more.
Honeycomb sandwich panels are widely used in aerospace, yet they are vulnerable to low-velocity impacts. Implementing effective localization is challenging because, unlike single-layer structures, the multi-layer energy dissipation capabilities of honeycomb core induce rapid stress wave attenuation and reverberations, degrading signal quality. This paper designs a testing platform for low-velocity impact and proposes a template matching method based on wavelet denoising and error outlier weighting. This method is based on 16 FBG sensors uniformly arranged on the panel, dividing the panel into 25 × 25 grids, with five impacts in each grid forming a template library. Similarity matching is performed by calculating the Euclidean distance between the template library and test signals, combined with wavelet denoising and outlier weighting to compute the average localization accuracy. The results show that for a honeycomb panel measuring 500 mm × 500 mm × 20 mm, the basic method yields an average localization accuracy of 21.29 mm. When error outlier weighting is applied, the accuracy improves to 12.36 mm. Finally, by combining outlier weighting with Sym5 wavelet denoising, the average error is further reduced to 8.53 mm. These results demonstrate that the proposed method mitigates the effects of signal instability in honeycomb structures, providing a robust and precise solution for aerospace SHM where traditional methods fall short. Full article
Show Figures

Figure 1

16 pages, 5740 KB  
Article
Research on the Influence of Substrate Surface Roughness on the Sensing Performance of Fiber Bragg Gratings
by Jiongyao Du, Yongxing Guo, Yongjian Gong, Chang Liu and Jian Lu
Sensors 2026, 26(5), 1633; https://doi.org/10.3390/s26051633 - 5 Mar 2026
Viewed by 83
Abstract
The packaging process of fiber Bragg gratings (FBGs) directly determines the strain transfer efficiency, chirp occurrence, and sensing performance of the sensors. At present, relevant theoretical and experimental studies on the surface roughness of packaging substrates remain scarce. In this paper, combined with [...] Read more.
The packaging process of fiber Bragg gratings (FBGs) directly determines the strain transfer efficiency, chirp occurrence, and sensing performance of the sensors. At present, relevant theoretical and experimental studies on the surface roughness of packaging substrates remain scarce. In this paper, combined with the theoretical model of interfacial debonding driving force and the sensing mechanism of FBGs, the FBG sensing performance under different substrate surface roughness conditions was investigated. Experimental results show that an excessively high substrate surface roughness will induce FBG chirp when the external strain reaches 1.143 × 10−3, leading to the failure of strain transfer. In contrast, an excessively low surface roughness will weaken the interfacial coupling, thus reducing the strain response capability and cyclic stability of the sensor. The substrate surface treated by sandblasting with 150# abrasive exhibits the optimal comprehensive performance: The strain response capability of the FBG reaches 6.99994 × 10−6 pm/ε with a linear fitting coefficient of 0.99994, presenting excellent linear response and cyclic stability. This study clarifies the optimal range of substrate surface roughness for FBG packaging and can provide theoretical and technical references for the packaging design and optimization of high-performance FBG sensors. Full article
(This article belongs to the Section Physical Sensors)
Show Figures

Figure 1

17 pages, 3174 KB  
Article
A Hybrid Model Integrating CNN–BiLSTM for Discriminating Strain and Temperature Effects on FBG-Based Sensors
by Chuanhao Wei, Qiang Liu, Dongdong Lin, Dan Zhu, Jingzhan Shi and Yiping Wang
Photonics 2026, 13(3), 254; https://doi.org/10.3390/photonics13030254 - 4 Mar 2026
Viewed by 121
Abstract
A primary bottleneck in deploying Fiber Bragg Grating (FBG) sensors lies in their inherent dual sensitivity to thermal and mechanical variations, which mandates robust decoupling mechanisms for precise parameter extraction. To address this persistent cross-sensitivity issue, this study introduces a novel interrogation scheme [...] Read more.
A primary bottleneck in deploying Fiber Bragg Grating (FBG) sensors lies in their inherent dual sensitivity to thermal and mechanical variations, which mandates robust decoupling mechanisms for precise parameter extraction. To address this persistent cross-sensitivity issue, this study introduces a novel interrogation scheme that integrates a Convolutional Neural Network with a Bidirectional Long Short-Term Memory (CNN-BiLSTM) architecture. Instead of relying on conventional peak-tracking algorithms or isolated central wavelengths, our proposed data-driven strategy directly mines structural features from the full reflection spectra, thereby substantially mitigating cross-interference errors. The experimental results reveal that the coefficients of determination (R2) for strain and temperature prediction reach 99.37% and 99.75% each, while the root mean square errors (RMSEs) are 13.51 µε and 1.42 °C, respectively. The proposed method requires only a single FBG sensor, which reduces the sensor requirements, showing great potential in sensing applications requiring low costs and high adaptability. In addition, in some special environments, temperature information cannot be obtained, so we utilize another reference FBG to realize the temperature compensation. Meanwhile, we proposed a spectral differencing method (SDM) by differencing the spectra of the two FBGs to obtain the spectra containing only strain information and sent them as a dataset for model training, with a 4-times improvement in accuracy over traditional compensation methods. Finally, we also explored the application of the system for distributed FBGs, achieving an absolute peak wavelength interrogation precision of approximately ±0.02 nm. The system is expected to be applied in the field of structural health monitoring, which is promising even in harsh environments. Full article
(This article belongs to the Special Issue Fiber Optic Sensors: Advances, Technologies and Applications)
Show Figures

Figure 1

30 pages, 6112 KB  
Article
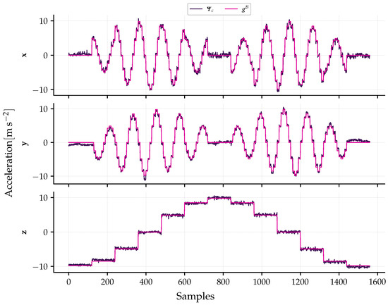
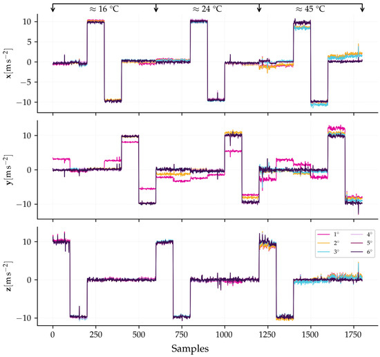
Design, Calibration and Characterization of a Fiber Optic Triaxial Accelerometer Based on Fiber Bragg Gratings
by Roney Duarte da Silva and João Marcos Salvi Sakamoto
Sensors 2026, 26(5), 1588; https://doi.org/10.3390/s26051588 (registering DOI) - 3 Mar 2026
Viewed by 157
Abstract
This work presents the design, calibration and detailed performance characterization of a triaxial accelerometer based on fiber Bragg gratings (FBG), intended for space navigation applications. The sensor employs a single seismic mass architecture, whose acceleration-induced displacement deforms six optical fibers (OFs), forming twelve [...] Read more.
This work presents the design, calibration and detailed performance characterization of a triaxial accelerometer based on fiber Bragg gratings (FBG), intended for space navigation applications. The sensor employs a single seismic mass architecture, whose acceleration-induced displacement deforms six optical fibers (OFs), forming twelve fiber segments (FSs) that act as elastic elements, with the strain measured by FBGs inscribed in each fiber. The methodology ranges from the manufacturing and spectral characterization of the FBGs to the design of a differential optical interrogation system and a low-noise signal conditioning circuit. A cornerstone of this work is the proposal of an extended calibration model that, in addition to the conventional sensitivity matrix and bias vector parameters, incorporates polynomial terms to actively compensate for the effects of temperature variation. This model was validated through tests in a climatic chamber, subjecting the sensor to different orientations and controlled temperatures. The experimental results validate the design’s effectiveness, demonstrating that the accelerometer achieves tactical-grade performance with a bias instability below 1.9 mgE for all axes. The analysis confirmed that the sensor’s effective full-scale range is approximately ±20gE, and sensitivity of 112 pm/gE, limited by the nature of the optical interrogation system. Furthermore, a third-order polynomial thermal compensation model was shown to provide the most efficient balance between model complexity and error reduction, reducing errors to a level dominated by the system’s intrinsic noise and ensuring the sensor’s accuracy over a wide operational temperature range. Full article
Show Figures

Figure 1

19 pages, 2255 KB  
Article
Comparative Analysis and Optimization of Sensitivity Enhancement Methods for Fiber-Optic Strain Sensors in Structural Monitoring
by Askar Abdykadyrov, Amandyk Tuleshov, Nurzhigit Smailov, Zhandos Dosbayev, Sunggat Marxuly, Yerlan Tashtay, Gulbakhar Yussupova and Nurlan Kystaubayev
Fibers 2026, 14(3), 31; https://doi.org/10.3390/fib14030031 - 3 Mar 2026
Viewed by 138
Abstract
In recent decades, the reliability and safety of large engineering structures have become a critical issue due to failures caused by undetected micro-level deformations. Fiber-optic strain sensors, especially Fiber Bragg Grating (FBG) and interferometric systems, are widely used in structural health monitoring (SHM); [...] Read more.
In recent decades, the reliability and safety of large engineering structures have become a critical issue due to failures caused by undetected micro-level deformations. Fiber-optic strain sensors, especially Fiber Bragg Grating (FBG) and interferometric systems, are widely used in structural health monitoring (SHM); however, their standard sensitivity is often insufficient for early detection of nano-strain level damage. This paper presents a comparative analysis and system-level optimization of the main sensitivity enhancement methods, including mechanical amplification, functional coatings and composite embedding, interferometric schemes, and advanced spectral signal processing. Analytical modeling and numerical simulations were performed. It is shown that flexure-beam amplifiers provide a stable sensitivity gain of 2.1–4.8, whereas lever-type mechanisms achieve higher amplification (5.6–9.3) at the cost of dynamic degradation. Functional coatings increase the strain transfer coefficient from 0.62 to 0.68 to 0.91–0.97, but introduce temperature-induced errors up to 1.5–2.0 µε. Interferometric systems can detect strains at the 10−8 level but exhibit high temperature cross-sensitivity. Advanced spectral processing reduces the Bragg wavelength estimation error by 8–15 times, improving the equivalent strain resolution to (2–5) × 10−8. Based on these results, an optimized integrated approach combining moderate mechanical amplification (2.5–3.5), improved strain transfer (η ≈ 0.85–0.92), and efficient spectral processing is proposed. This improves the equivalent strain resolution from 1 × 10−6 to (1.5–3.0) × 10−8 while keeping temperature-induced errors within 15–25% and limiting the computational load increase to 2–3 times. The proposed solution is suitable for long-term monitoring of large engineering structures. Full article
Show Figures

Figure 1

24 pages, 7839 KB  
Article
Power Transformer Breathing System Condition Monitoring Based on Pressure–Temperature Optical Sensing and Deep Learning Method
by Jiabi Liang, Jian Shao, Peng Wu, Qun Li, Yuncai Lu, Yalin Wang and Zhaokai Lei
Energies 2026, 19(5), 1130; https://doi.org/10.3390/en19051130 - 24 Feb 2026
Viewed by 239
Abstract
During long-term operation of power transformers, oil temperature and pressure exhibit strong non-stationarity and multi-scale coupling, which makes early-stage breathing system faults difficult to detect accurately. To address this issue, this paper proposes an integrated diagnosis and early-warning method for transformer breathing systems. [...] Read more.
During long-term operation of power transformers, oil temperature and pressure exhibit strong non-stationarity and multi-scale coupling, which makes early-stage breathing system faults difficult to detect accurately. To address this issue, this paper proposes an integrated diagnosis and early-warning method for transformer breathing systems. It combines a multi-parameter optical sensor with a deep-learning algorithm. The pressure–temperature optical sensing system based on Fabry–Pérot (F–P) interferometry and fiber Bragg grating (FBG) technology is developed to achieve high-precision synchronous measurement of pressure and temperature. To handle the non-stationary and multi-scale characteristics of the measured signals, a swarm-intelligence-optimized variational mode decomposition (VMD) method is employed to adaptively decompose time series temperature and pressure data. On this basis, a joint forecasting model integrating a temporal convolutional network (TCN) and an inverted Transformer (iTransformer) is constructed to capture both local temporal dynamics and long-term dependencies. Furthermore, based on the pressure equilibrium mechanism of transformer breathing systems, oil temperature and equivalent oil level are inferred, and abnormality criteria suitable for both multi-point and single-point monitoring are established. Experimental and field tests on a 220 kV transformer demonstrate that the proposed method outperforms conventional models in prediction accuracy. Full article
(This article belongs to the Special Issue Advanced Control and Monitoring of High Voltage Power Systems)
Show Figures

Figure 1

18 pages, 4067 KB  
Article
Performance and Compatibility Evaluation of Uniform, Apodized, and Titled Fiber Bragg Grating Profiles with New HMT-Enhanced SnO2 Coating for Optical-Based Humidity Sensing Improvement
by Soo Ping Kok, Yun Ii Go, Siti Barirah Ahmad Anas and M. L. Dennis Wong
Photonics 2026, 13(2), 178; https://doi.org/10.3390/photonics13020178 - 11 Feb 2026
Viewed by 272
Abstract
Optical-based sensors have been widely used for various applications, including biosensing, civil structural health monitoring, and humidity sensing. Fiber Bragg Grating (FBG) is one of the optical-based sensing approaches that are commonly used in these applications. The effect of hygroscopic coating on different [...] Read more.
Optical-based sensors have been widely used for various applications, including biosensing, civil structural health monitoring, and humidity sensing. Fiber Bragg Grating (FBG) is one of the optical-based sensing approaches that are commonly used in these applications. The effect of hygroscopic coating on different grating profiles, including uniform, apodized, and tilted FBG, was investigated by connecting the FBG to a light source and optical spectrum analyzer (OSA). The reflected wavelength of the FBG, captured by the OSA at increasing and decreasing relative humidity ranging from 40 to 80% RH were recorded. Tin dioxide (SnO2) is one of the metal oxides with a hygroscopic nature, which is suitable to act as a coating material for FBG. For improved sensitivity, the HMT-enhanced technique was applied in this study to modify the surface morphology of SnO2, increasing the porosity of the nanostructure for water adsorption and desorption. The result showed that the sensitivity and linearity of the FBG-based humidity sensor can be enhanced via HMT-enhanced SnO2 nanostructure coating onto uniform FBG. A sensitivity of 1.30 pm/%RH and 1.52 pm/%RH was reported during incremental and decremental RH, respectively, and a fitting coefficient of >0.97 was recorded. This approach demonstrated the feasibility of hygroscopic coating on FBG to enable broad applications across various humidity sensing industries such as agriculture, pharmaceutical, and semiconductors. Full article
Show Figures

Graphical abstract

14 pages, 3364 KB  
Article
Research on Localized Corrosion Monitoring of Cu Substrate Based on Discrete Fiber Optic Sensors
by Wenfeng Pan, Xinbo Yu and Zejia Zhao
Electronics 2026, 15(4), 724; https://doi.org/10.3390/electronics15040724 - 8 Feb 2026
Viewed by 241
Abstract
The presence of corrosion on metal substrates can compromise the integrity of a structure. In this study, discrete fiber Bragg grating (FBG) sensing technology is used to monitor the corrosion process of a Cu surface in a corrosive environment. The surface morphology and [...] Read more.
The presence of corrosion on metal substrates can compromise the integrity of a structure. In this study, discrete fiber Bragg grating (FBG) sensing technology is used to monitor the corrosion process of a Cu surface in a corrosive environment. The surface morphology and nanostructures of corrosion products are observed to reveal their forms or structures. The results show that corrosion products are composed of loose or dense collections of micrometer/nanometer-sized particles in a crystalline state. Furthermore, this study experimentally explores how localized corrosion affects the sensing signal between an optical fiber and a corroded copper substrate. This phenomenon is also theoretically modeled using contact mechanics, enabling a semi-quantitative calculation of how corrosive particles influence Bragg wavelength. The wavelength shift trends of the four monitoring points over a period of 10 days were similar under the same corrosive environment. Results show that fiber Bragg grating sensors can identify the corrosion process in real time using wavelength demodulation methods. This study will lay the foundation for subsequent work on the precise monitoring of copper corrosion using fiber Bragg grating sensors. Full article
(This article belongs to the Special Issue Advanced Optoelectronic Sensing Technology)
Show Figures

Figure 1

16 pages, 2562 KB  
Article
All-Fiber Optic Sensing for Multiparameter Monitoring and Domain-Wide Deformation Reconstruction of Aerospace Structures in Thermally Coupled Environments
by Zifan He, Xingguang Zhou, Jiyun Lu, Shengming Cui, Hanqi Zhang, Qi Wu and Hongfu Zuo
Aerospace 2026, 13(2), 135; https://doi.org/10.3390/aerospace13020135 - 30 Jan 2026
Viewed by 248
Abstract
This study introduces an all-fiber optic sensing network based on fiber Bragg grating (FBG) technology for structural health monitoring (SHM) of launch vehicle payload fairings under extreme thermo-mechanical conditions. A wavelength–space dual-multiplexing architecture enables full-field strain and temperature monitoring with minimal sensor deployment. [...] Read more.
This study introduces an all-fiber optic sensing network based on fiber Bragg grating (FBG) technology for structural health monitoring (SHM) of launch vehicle payload fairings under extreme thermo-mechanical conditions. A wavelength–space dual-multiplexing architecture enables full-field strain and temperature monitoring with minimal sensor deployment. Structural deformations are reconstructed from local measurements using the inverse finite element method (iFEM), achieving sub-millimeter accuracy. High-temperature experiments verified that FBG sensors maintain a strain accuracy of 0.8 με at 500 °C, significantly outperforming conventional sensors. Under 15 MPa mechanical loading and 420 °C thermal shock, the fairing structure exhibited no damage propagation. The sensing system captured real-time strain distributions and deformation profiles, confirming its suitability for aerospace SHM. The combined use of iFEM and FBG enables high-fidelity large-scale deformation reconstruction, offering a reliable solution for reusable aerospace structures operating in harsh environments. Full article
Show Figures

Figure 1

12 pages, 874 KB  
Proceeding Paper
Smart Pavement Systems with Embedded Sensors for Traffic and Environmental Monitoring
by Wai Yie Leong
Eng. Proc. 2025, 120(1), 12; https://doi.org/10.3390/engproc2025120012 - 29 Jan 2026
Viewed by 593
Abstract
The evolution of next-generation urban infrastructure necessitates the deployment of intelligent pavement systems capable of real-time data acquisition, adaptive response, and predictive analytics. This article presents the design, implementation, and performance evaluation of the smart pavement system incorporating multimodal embedded sensors for traffic [...] Read more.
The evolution of next-generation urban infrastructure necessitates the deployment of intelligent pavement systems capable of real-time data acquisition, adaptive response, and predictive analytics. This article presents the design, implementation, and performance evaluation of the smart pavement system incorporating multimodal embedded sensors for traffic density analysis, structural health monitoring, and environmental surveillance. SPS integrates piezoelectric transducers, micro-electro-mechanical system accelerometers, inductive loop coils, fiber Bragg grating (FBG) sensors, and capacitive moisture and temperature sensors within the asphalt and sub-base layers, forming a distributed sensor network that interfaces with an edge-AI-enabled data acquisition and control module. Each sensor node performs localized pre-processing using low-power microcontrollers and transmits spatiotemporal data to a centralized IoT gateway over an adaptive mesh topology via long-range wide-area network or 5G-Vehicle-to-Everything protocols. Data fusion algorithms employing Kalman filters, sensor drift compensation models, and deep convolutional recurrent neural networks enable accurate classification of vehicular loads, traffic, and anomaly detection. Additionally, the system supports real-time air pollutant detection (e.g., NO2, CO, and PM2.5) using embedded electrochemical and optical gas sensors linked to mobile roadside units. Field deployments on a 1.2 km highway testbed demonstrate the system’s capability to achieve 95.7% classification accuracy for vehicle type recognition, ±1.5 mm resolution in rut depth measurement, and ±0.2 °C thermal sensitivity across dynamic weather conditions. Predictive analytics driven by long short-term memory networks yield a 21.4% improvement in maintenance planning accuracy, significantly reducing unplanned downtimes and repair costs. The architecture also supports vehicle-to-infrastructure feedback loops for adaptive traffic signal control and incident response. The proposed SPS architecture demonstrates a scalable and resilient framework for cyber-physical infrastructure, paving the way for smart cities that are responsive, efficient, and sustainable. Full article
(This article belongs to the Proceedings of 8th International Conference on Knowledge Innovation and Invention)
Show Figures

Figure 1

44 pages, 1721 KB  
Systematic Review
Vibration-Based Predictive Maintenance for Wind Turbines: A PRISMA-Guided Systematic Review on Methods, Applications, and Remaining Useful Life Prediction
by Carlos D. Constantino-Robles, Francisco Alberto Castillo Leonardo, Jessica Hernández Galván, Yoisdel Castillo Alvarez, Luis Angel Iturralde Carrera and Juvenal Rodríguez-Reséndiz
Appl. Mech. 2026, 7(1), 11; https://doi.org/10.3390/applmech7010011 - 26 Jan 2026
Viewed by 727
Abstract
This paper presents a systematic review conducted under the PRISMA (Preferred Reporting Items for Systematic Reviews and Meta-Analyses) framework, analyzing 286 scientific articles focused on vibration-based predictive maintenance strategies for wind turbines within the context of advanced Prognostics and Health Management (PHM). The [...] Read more.
This paper presents a systematic review conducted under the PRISMA (Preferred Reporting Items for Systematic Reviews and Meta-Analyses) framework, analyzing 286 scientific articles focused on vibration-based predictive maintenance strategies for wind turbines within the context of advanced Prognostics and Health Management (PHM). The review combines international standards (ISO 10816, ISO 13373, and IEC 61400) with recent developments in sensing technologies, including piezoelectric accelerometers, microelectromechanical systems (MEMS), and fiber Bragg grating (FBG) sensors. Classical signal processing techniques, such as the Fast Fourier Transform (FFT) and wavelet-based methods, are identified as key preprocessing tools for feature extraction prior to the application of machine-learning-based diagnostic algorithms. Special emphasis is placed on machine learning and deep learning techniques, including Support Vector Machines (SVM), Random Forest (RF), Convolutional Neural Networks (CNN), Long Short-Term Memory networks (LSTM), and autoencoders, as well as on hybrid digital twin architectures that enable accurate Remaining Useful Life (RUL) estimation and support autonomous decision-making processes. The bibliometric and case study analysis covering the period 2020–2025 reveals a strong shift toward multisource data fusion—integrating vibration, acoustic, temperature, and Supervisory Control and Data Acquisition (SCADA) data—and the adoption of cloud-based platforms for real-time monitoring, particularly in offshore wind farms where physical accessibility is constrained. The results indicate that vibration-based predictive maintenance strategies can reduce operation and maintenance costs by more than 20%, extend component service life by up to threefold, and achieve turbine availability levels between 95% and 98%. These outcomes confirm that vibration-driven PHM frameworks represent a fundamental pillar for the development of smart, sustainable, and resilient next-generation wind energy systems. Full article
Show Figures

Graphical abstract

35 pages, 7523 KB  
Review
Fiber-Optical-Sensor-Based Technologies for Future Smart-Road-Based Transportation Infrastructure Applications
by Ugis Senkans, Nauris Silkans, Remo Merijs-Meri, Viktors Haritonovs, Peteris Skels, Jurgis Porins, Mayara Sarisariyama Siverio Lima, Sandis Spolitis, Janis Braunfelds and Vjaceslavs Bobrovs
Photonics 2026, 13(2), 106; https://doi.org/10.3390/photonics13020106 - 23 Jan 2026
Viewed by 616
Abstract
The rapid evolution of smart transportation systems necessitates the integration of advanced sensing technologies capable of supporting the real-time, reliable, and cost-effective monitoring of road infrastructure. Fiber-optic sensor (FOS) technologies, given their high sensitivity, immunity to electromagnetic interference, and suitability for harsh environments, [...] Read more.
The rapid evolution of smart transportation systems necessitates the integration of advanced sensing technologies capable of supporting the real-time, reliable, and cost-effective monitoring of road infrastructure. Fiber-optic sensor (FOS) technologies, given their high sensitivity, immunity to electromagnetic interference, and suitability for harsh environments, have emerged as promising tools for enabling intelligent transportation infrastructure. This review critically examines the current landscape of classical mechanical and electrical sensor realization in monitoring solutions. Focus is also given to fiber-optic-sensor-based solutions for smart road applications, encompassing both well-established techniques such as Fiber Bragg Grating (FBG) sensors and distributed sensing systems, as well as emerging hybrid sensor networks. The article examines the most topical physical parameters that can be measured by FOSs in road infrastructure monitoring to support traffic monitoring, structural health assessment, weigh-in-motion (WIM) system development, pavement condition evaluation, and vehicle classification. In addition, strategies for FOS integration with digital twins, machine learning, artificial intelligence, quantum sensing, and Internet of Things (IoT) platforms are analyzed to highlight their potential for data-driven infrastructure management. Limitations related to deployment, scalability, long-term reliability, and standardization are also discussed. The review concludes by identifying key technological gaps and proposing future research directions to accelerate the adoption of FOS technologies in next-generation road transportation systems. Full article
(This article belongs to the Special Issue Advances in Optical Fiber Sensing Technology)
Show Figures

Figure 1

26 pages, 4053 KB  
Article
Design and Characterization of Gold Nanorod Hyaluronic Acid Hydrogel Nanocomposites for NIR Photothermally Assisted Drug Delivery
by Alessandro Molinelli, Leonardo Bianchi, Elisa Lacroce, Zoe Giorgi, Laura Polito, Ada De Luigi, Francesca Lopriore, Francesco Briatico Vangosa, Paolo Bigini, Paola Saccomandi and Filippo Rossi
Gels 2026, 12(1), 88; https://doi.org/10.3390/gels12010088 - 19 Jan 2026
Viewed by 410
Abstract
The combination of gold nanoparticles (AuNPs) with hydrogels has drawn significant interest in the design of smart materials as advanced platforms for biomedical applications. These systems endow light-responsiveness enabled by the AuNPs localized surface plasmon resonance (LSPR) phenomenon. In this study, we propose [...] Read more.
The combination of gold nanoparticles (AuNPs) with hydrogels has drawn significant interest in the design of smart materials as advanced platforms for biomedical applications. These systems endow light-responsiveness enabled by the AuNPs localized surface plasmon resonance (LSPR) phenomenon. In this study, we propose a nanocomposite hydrogel in which gold nanorods (AuNRs) are included in an agarose–carbomer–hyaluronic acid (AC-HA)-based hydrogel matrix to study the correlation between light irradiation, local temperature increase, and drug release for potential light-assisted drug delivery applications. The gel is obtained through a facile microwave-assisted polycondensation reaction, and its properties are investigated as a function of both the hyaluronic acid molecular weight and ratio. Afterwards, AuNRs are incorporated in the AC-HA formulation, before the sol–gel transition, to impart light-responsiveness and optical properties to the otherwise inert polymeric matrix. Particular attention is given to the evaluation of AuNRs/AC-HA light-induced heat generation and drug delivery performances under near-infrared (NIR) laser irradiation in vitro. Spatiotemporal thermal profiles and high-resolution thermal maps are registered using fiber Bragg grating (FBG) sensor arrays, enabling accurate probing of maximum internal temperature variations within the composite matrix. Lastly, using a high-steric-hindrance protein (BSA) as a drug mimetic, we demonstrate that moderate localized heating under short-time repeated NIR exposure enhances the release from the nanocomposite hydrogel. Full article
(This article belongs to the Special Issue Hydrogels for Tissue Repair: Innovations and Applications)
Show Figures

Graphical abstract

16 pages, 4339 KB  
Article
Reinforcement Learning Technique for Self-Healing FBG Sensor Systems in Optical Wireless Communication Networks
by Rénauld A. Dellimore, Jyun-Wei Li, Hung-Wei Huang, Amare Mulatie Dehnaw, Cheng-Kai Yao, Pei-Chung Liu and Peng-Chun Peng
Appl. Sci. 2026, 16(2), 1012; https://doi.org/10.3390/app16021012 - 19 Jan 2026
Cited by 1 | Viewed by 371
Abstract
This paper proposes a large-scale, self-healing multipoint fiber Bragg grating (FBG) sensor network that employs reinforcement learning (RL) techniques to enhance the resilience and efficiency of optical wireless communication networks. The system features a mesh-structured, self-healing ring-mesh architecture employing 2 × 2 optical [...] Read more.
This paper proposes a large-scale, self-healing multipoint fiber Bragg grating (FBG) sensor network that employs reinforcement learning (RL) techniques to enhance the resilience and efficiency of optical wireless communication networks. The system features a mesh-structured, self-healing ring-mesh architecture employing 2 × 2 optical switches, enabling robust multipoint sensing and fault tolerance in the event of one or more link failures. To further extend network coverage and support distributed deployment scenarios, free-space optical (FSO) links are integrated as wireless optical backhaul between central offices and remote monitoring sites, including structural health, renewable energy, and transportation systems. These FSO links offer high-speed, line-of-sight connections that complement physical fiber infrastructure, particularly in locations where cable deployment is impractical. Additionally, RL-based artificial intelligence (AI) techniques are employed to enable intelligent path selection, optimize routing, and enhance network reliability. Experimental results confirm that the RL-based approach effectively identifies optimal sensing paths among multiple routing options, both wired and wireless, resulting in reduced energy consumption, extended sensor network lifespan, and improved transmission delay. The proposed hybrid FSO–fiber self-healing sensor system demonstrates high survivability, scalability, and low routing path loss, making it a strong candidate for future services and mission-critical applications. Full article
(This article belongs to the Section Electrical, Electronics and Communications Engineering)
Show Figures

Figure 1

10 pages, 1498 KB  
Article
Accuracy Tests of a Dual-Class Hybrid FBG/PZT Photonic Current Transducer Featuring a Novel Passive Autoranging Circuit
by Burhan Mir, Grzegorz Fusiek and Pawel Niewczas
Sensors 2026, 26(2), 663; https://doi.org/10.3390/s26020663 - 19 Jan 2026
Viewed by 266
Abstract
This paper reports, for the first time, the characterization and measurement accuracy evaluation of a photonic current transducer (PCT) featuring a hybrid fiber Bragg grating/piezoelectric transducer (FBG/PZT) and an integrated passive autoranging (AR) circuit. The enhanced sensor is designed to meet both metering-class [...] Read more.
This paper reports, for the first time, the characterization and measurement accuracy evaluation of a photonic current transducer (PCT) featuring a hybrid fiber Bragg grating/piezoelectric transducer (FBG/PZT) and an integrated passive autoranging (AR) circuit. The enhanced sensor is designed to meet both metering-class (0,2 S) and protection-class (5P15) requirements simultaneously—capabilities not yet demonstrated by any other device in the industry that also supports remote interrogation and multiplexing of multiple sensors. The autoranging technique employs MOSFET switches to dynamically adjust the burden resistance, preventing FBG/PZT voltage saturation during fault or thermal-current events while maintaining adequate sensitivity at lower currents. Experimental results show that integrating the PCT with the passive AR circuit significantly extends the device’s dynamic range, reduces current-measurement errors, and demonstrates potential compliance with both 0,2 S metering- and 5P15 protection-class requirements. The results also confirm that the sensor operates correctly across this extended range. Full article
(This article belongs to the Special Issue Optical Sensing in Power Systems)
Show Figures

Figure 1

Back to TopTop