Sign in to use this feature.

Years

Between: -

Subjects

remove_circle_outline
remove_circle_outline
remove_circle_outline
remove_circle_outline
remove_circle_outline
remove_circle_outline
remove_circle_outline
remove_circle_outline
remove_circle_outline

Journals

remove_circle_outline
remove_circle_outline
remove_circle_outline
remove_circle_outline
remove_circle_outline

Article Types

Countries / Regions

remove_circle_outline
remove_circle_outline
remove_circle_outline

Search Results (166)

Search Parameters:
Keywords = EPS aggregate

Order results
Result details
Results per page
Select all
Export citation of selected articles as:
19 pages, 3603 KB  
Article
Effect of Heat Stress on the Biosynthesis of Exopolysaccharides from Rhodotorula glutinis YM25079 and Its Underlying Mechanisms
by Rong Huang, Minrao Lu, Caina Guo, Taishen Wang, Jingdie Fan, Chengmei Zhang, Jingwen Qiu, Yuan Chen and Qi Zhang
J. Fungi 2025, 11(12), 883; https://doi.org/10.3390/jof11120883 - 14 Dec 2025
Viewed by 241
Abstract
In this study, the effect of heat stress on the synthesis and the structural and physicochemical properties of exopolysaccharides (EPSs) from Rhodotorula glutinis YM25079 as well as its underlying mechanisms were explored. The results showed that the monosaccharide compositions of the purified YM25079 [...] Read more.
In this study, the effect of heat stress on the synthesis and the structural and physicochemical properties of exopolysaccharides (EPSs) from Rhodotorula glutinis YM25079 as well as its underlying mechanisms were explored. The results showed that the monosaccharide compositions of the purified YM25079 EPSs produced under normal culture conditions and heat stress (named EPS Y-1 and EPS Y-2, respectively) were consistent. Analyses of ion-exchanged chromatography, Fourier transform infrared spectroscopy and nuclear magnetic resonance spectroscopy suggested that these two EPSs should be dextran, consisting mainly of α-(1→6)-linked glucopyranose units with α-(1→3) branches. Scanning Electron Microscope observed obvious differences in their surface morphologies, with EPS Y-1 showing a smooth, glossy lamellar structure and EPS Y-2 showing an irregular porous structure. According to Atomic Force Microscopy analysis, they formed aggregations with different cohesive structures. EPS Y-2 also had higher molecular weight and thermal stability than EPS Y-1, while EPS Y-1 had better α-amylase inhibitory activity. In addition, transcriptomic analysis unveiled changes in the metabolic pathways related to the uptake and utilization of carbon, nitrogen and phosphor sources, the biosynthesis of steroid and the oxidoreductase activity, as well as the regulatory genes implicated in the EPS biosynthesis under heat stress. Full article
Show Figures

Figure 1

18 pages, 1129 KB  
Article
Controlled Sequential Oxygenation of Polyunsaturated Fatty Acids with a Recombinant Unspecific Peroxygenase from Aspergillus niger
by Carlos Renato Carrillo Avilés, Marina Schramm, Sebastian Petzold, Miguel Alcalde, Martin Hofrichter and Katrin Scheibner
Catalysts 2025, 15(12), 1162; https://doi.org/10.3390/catal15121162 - 11 Dec 2025
Viewed by 300
Abstract
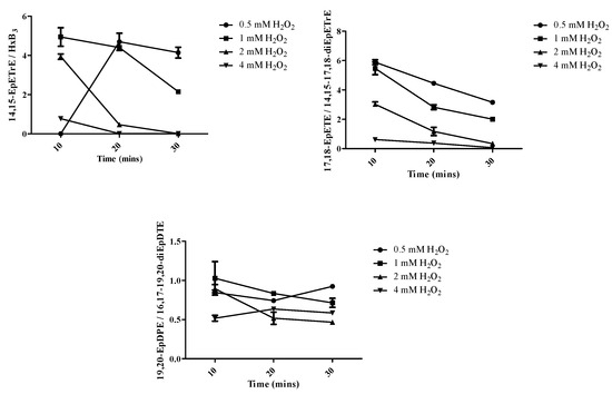
The metabolism of polyunsaturated fatty acids (PUFAs) is a broad research field, and the products identified so far offer potential medical and industrial applications. Epoxy fatty acids (EpFAs) act as lipid mediators that modulate renal function, angiogenesis, vascular dilatation and inflammation; moreover, they [...] Read more.
The metabolism of polyunsaturated fatty acids (PUFAs) is a broad research field, and the products identified so far offer potential medical and industrial applications. Epoxy fatty acids (EpFAs) act as lipid mediators that modulate renal function, angiogenesis, vascular dilatation and inflammation; moreover, they regulate monocyte aggregation and are involved in cardiovascular and metabolic diseases. On the other hand, EpFAs are precursors of environmentally friendly products for the plastics industry, in which the grade of epoxidation of the compounds gives the polymeric material different advantageous characteristics. The controlled chemical synthesis of poly epoxidized PUFAs is challenging as the reactions are non-selective. In contrast, the biosynthetic route based on cytochrome P450 monooxygenases and lipoxygenases is highly selective but ineffective due to the instability of the enzymes in cell-free systems. Fungal unspecific peroxygenases (UPOs, EC 1.11.2.1) with P450-like activity offer a suitable alternative for the selective synthesis of EpFAs from PUFAs. Here we demonstrate that a recombinant unspecific peroxygenase from Aspergillus niger (rAniUPO) is able to sequentially epoxidize eicosapentaenoic acid (EPA) and docosahexaenoic acid (DHA) to 14,15-17,18 diepoxyeicosatrienoic acid (14,15-17,18 diEpETrE) and 16,17-19,20-diepoxydocosatetraenoic acid (16,17-19,20 diEpDTE), respectively, while arachidonic acid is transformed into 13-hydroxy-14,15-epoxyeicosatrienoic acid (14,15-hepoxilin B3). Optimal production for these oxygenated derivatives (up to 15 mg) was achieved using 2 mM hydrogen peroxide as the co-substrate. The obtained molecules were identified using high-resolution mass spectrometry and their structure was verified by NMR. Our results demonstrate the suitability of UPOs for the synthesis of EpFAs that can be used in medical research and industrial applications. Full article
(This article belongs to the Special Issue 15th Anniversary of Catalysts: The Future of Enzyme Biocatalysis)
Show Figures

Figure 1

32 pages, 1184 KB  
Review
Microalgae-Based Strategies for Soil Health and Crop Productivity: Mechanisms, Challenges, and Pathways to Climate-Resilient Agriculture
by Wogene Solomon Kabato, Niguss Hailegnaw, Tesfatsion Ermias Chaffamo, Asish Samuel, Agampodi Gihan S. D. De Silva and Zoltán Molnár
Agronomy 2025, 15(11), 2669; https://doi.org/10.3390/agronomy15112669 - 20 Nov 2025
Viewed by 880
Abstract
Microalgae hold significant potential as nature-based solutions in agriculture, offering benefits such as nitrogen fixation, enhanced nutrient cycling, stimulation of beneficial microbes, strengthening soil structure, and carbon sequestration. Yet, despite their potential, the role of microalgae, particularly through their interactions with soil systems, [...] Read more.
Microalgae hold significant potential as nature-based solutions in agriculture, offering benefits such as nitrogen fixation, enhanced nutrient cycling, stimulation of beneficial microbes, strengthening soil structure, and carbon sequestration. Yet, despite their potential, the role of microalgae, particularly through their interactions with soil systems, remains largely underexplored. Their ability to generate bioactive substances such as phytohormones, amino acids, and extracellular polymeric substances (EPS) fosters soil aggregation, nutrient availability, water retention, biological soil crust, and soil restoration, which ultimately supports plant growth and productivity. Moreover, the thermochemical conversion of microalgal biomass into biochar offers an effective strategy to improve carbon sequestration while simultaneously enriching soil nutrient content, thereby increasing crop productivity. While microalgae-based products often demonstrate strong efficacy under laboratory and greenhouse conditions, their performance in the field remains constrained by soil physicochemical properties, ecological incompatibility, competition with native microbial communities, and environmental variability, leading to inconsistent outcomes and highlighting the need for soil-specific, field-relevant strategies. Furthermore, the lack of standardized and cost-effective cultivation, formulation, and processing, along with low biomass yield and energy-intensive production, continues to limit their large-scale adoption in agricultural systems. Therefore, this narrative review aimed to discuss the mechanisms of coupling microalgal biomass and biochar to enhance soil health and crop growth, while also addressing field-performance constraints. It provides a balanced view of the potential and challenges of microalgae-based technologies for sustainable soil management and crop productivity. Overall, microalgae possess significant potential to improve soil health, increase crop yields, and contribute to sustainable agriculture that can withstand climate challenges. Full article
(This article belongs to the Section Plant-Crop Biology and Biochemistry)
Show Figures

Figure 1

18 pages, 1429 KB  
Article
Enhanced Formation and Stability of Water-Stable Aggregates in Rhizosphere Soil over Bulk Soil with Exopolysaccharide from Rhizobium tropici: Insights from a Pot Study
by Liang Xiao, Xinyun Xie, Steve L. Larson, John H. Ballard, Qinku Zhang, Jing Nie, Huimin Zhang and Fengxiang X. Han
Agronomy 2025, 15(11), 2653; https://doi.org/10.3390/agronomy15112653 - 19 Nov 2025
Viewed by 387
Abstract
This study investigated the effects of exopolysaccharide (EPS) addition on the formation and stability of water-stable aggregates in rhizosphere and bulk soils. A pot experiment was conducted using soils treated with EPS concentrations of 0.00‰, 0.25‰, 0.50‰, and 1.00‰. Soil aggregates were fractionated [...] Read more.
This study investigated the effects of exopolysaccharide (EPS) addition on the formation and stability of water-stable aggregates in rhizosphere and bulk soils. A pot experiment was conducted using soils treated with EPS concentrations of 0.00‰, 0.25‰, 0.50‰, and 1.00‰. Soil aggregates were fractionated into four fractions, namely >2000 μm, 250–2000 μm, 53–250 μm, and <53 μm, and their stability was evaluated using mean weight diameter (MWD), geometric mean diameter (GMD), and fractal dimension (D). Results showed that EPS addition significantly increased the proportions of larger and macro aggregates (>2000 μm and 250–2000 μm) while reducing smaller particles (<53 μm), with rhizosphere soil exhibiting a stronger response compared to bulk soil. Aggregate stability indices (MWD and GMD) improved consistently with increasing EPS concentrations, while D decreased, indicating enhanced aggregates stability. Moderate EPS concentrations (0.25‰ and 0.50‰) were most effective in improving aggregate formation and stability and moderately enhanced plant biomass, particularly root biomass. Pearson correlation analysis revealed that macro-aggregate fractions (>2000 μm and 250–2000 μm) were positively correlated with each other but showed weak or non-significant relationships with plant biomass parameters. In particular, the 250–2000 μm fraction exhibited a weak negative correlation with total biomass (r = −0.37, p ≤ 0.05). These findings highlight the potential of moderate EPS concentrations to enhance soil structure and stability, particularly in rhizosphere soils, providing insights into its application for sustainable soil management. Full article
(This article belongs to the Section Farming Sustainability)
Show Figures

Graphical abstract

21 pages, 1879 KB  
Article
Hetero-Aggregation of Nanoplastics with Freshwater Algae and the Toxicological Consequences: The Role of Extracellular Polymeric Substances
by Jiannan Ding, Jiaxin Yang, Xiaojun Song, Shuo Liu, Zhenguo Wang and Hua Zou
Toxics 2025, 13(11), 980; https://doi.org/10.3390/toxics13110980 - 14 Nov 2025
Viewed by 519
Abstract
The presence of nanoplastics (NPs) in freshwater environments has received increasing attention in recent years. However, the hetero-aggregation behaviors of NPs with the co-existing algae and the influence on NP toxicity, especially the potential role of extracellular polymeric substances (EPS) during the entire [...] Read more.
The presence of nanoplastics (NPs) in freshwater environments has received increasing attention in recent years. However, the hetero-aggregation behaviors of NPs with the co-existing algae and the influence on NP toxicity, especially the potential role of extracellular polymeric substances (EPS) during the entire process, are poorly understood. In this study, the hetero-aggregations of polystyrene (PS) and polylactic acid (PLA) NPs with Chlorella vulgaris, along with their toxicological consequences, were investigated in EPS-containing and EPS-free conditions. The results in the 12 h settling experiments showed that the ΔODreduced values ranged from 0.33 to 0.74, and the PS NPs exhibited higher aggregation efficiency with algae than the PLA NPs, which was inconsistent with previous microplastic studies and the Derjaguin–Landau–Verwey–Overbeek calculations. This can be attributed to the unique properties of NPs and the mediating effects of tightly bound and loosely bound EPS during the formation of stable heteropolymers. In the 96 h toxicological experiments, various endpoints for algal growth inhibition, pigment synthesis disturbance, cell membrane damage, and oxidative stress were measured. Both the ΔODreduced values and integrated biomarker responses were positively associated with membrane damage and superoxide dismutase activity, demonstrating a view that the hetero-aggregation behavior could affect the membrane integrity and oxidative stress of algal cells, and exacerbate the toxicity of NPs on algae. The present study underscores the material-specific uniqueness of NPs in interactions with freshwater algae. Further studies are needed to broaden our knowledge of the hetero-aggregation behaviors and toxicological effects of NPs. Full article
Show Figures

Graphical abstract

23 pages, 4617 KB  
Article
IAASNet: Ill-Posed-Aware Aggregated Stereo Matching Network for Cross-Orbit Optical Satellite Images
by Jiaxuan Huang, Haoxuan Sun and Taoyang Wang
Remote Sens. 2025, 17(21), 3528; https://doi.org/10.3390/rs17213528 - 24 Oct 2025
Cited by 1 | Viewed by 560
Abstract
Stereo matching estimates disparity by finding correspondences between stereo image pairs. Under ill-posed conditions such as geometric differences, radiometric differences, and temporal changes, accurate estimation becomes difficult due to insufficient matching information. In remote sensing imagery, such ill-posed regions are more common because [...] Read more.
Stereo matching estimates disparity by finding correspondences between stereo image pairs. Under ill-posed conditions such as geometric differences, radiometric differences, and temporal changes, accurate estimation becomes difficult due to insufficient matching information. In remote sensing imagery, such ill-posed regions are more common because of complex imaging conditions. This problem is particularly pronounced in cross-track satellite stereo images, where existing methods often fail to effectively handle noise due to insufficient features or excessive reliance on prior assumptions. In this work, we propose an ill-posed-aware aggregated satellite stereo matching network, which integrates monocular depth estimation with an ill-posed-guided adaptive aware geometry fusion module to balance local and global features while reducing noise interference. In addition, we design an enhanced mask augmentation strategy during training to simulate occlusions and texture loss in complex scenarios, thereby improving robustness. Experimental results demonstrate that our method outperforms existing state-of-the-art approaches on the US3D dataset, achieving a 5.38% D1-error and 0.958 pixels endpoint error (EPE). In particular, our method shows significant advantages in ill-posed regions. Overall, the proposed network not only exhibits strong feature learning ability but also demonstrates robust generalization in real-world remote sensing applications. Full article
Show Figures

Figure 1

20 pages, 8173 KB  
Article
Non-Vesicular Extracellular Particle (NVEP) Proteomes from Diverse Biological Sources Reveal Specific Marker Composition with Varying Enrichment Levels
by Wasifa Naushad, Bryson C. Okeoma, Carlos Gartner, Yulica Santos-Ortega, Calvin P. H. Vary, Lakmini S. Premadasa, Alessio Noghero, Jack T. Stapleton, Ionita C. Ghiran, Mahesh Mohan and Chioma M. Okeoma
Biomolecules 2025, 15(11), 1487; https://doi.org/10.3390/biom15111487 - 22 Oct 2025
Viewed by 674
Abstract
Extracellular particles (EPs), an umbrella term encompassing membrane-enclosed extracellular vesicles (EVs) and non-vesicular extracellular particles ([NVEPs], previously described as extracellular condensates [ECs]) contain a complex cargo of biomolecules, including DNA, RNA, proteins, and lipids, reflecting the physiological state of their cell of origin. [...] Read more.
Extracellular particles (EPs), an umbrella term encompassing membrane-enclosed extracellular vesicles (EVs) and non-vesicular extracellular particles ([NVEPs], previously described as extracellular condensates [ECs]) contain a complex cargo of biomolecules, including DNA, RNA, proteins, and lipids, reflecting the physiological state of their cell of origin. Identifying proteins associated with EPs that regulate host responses to physiological and pathophysiological processes is of critical importance. Here, we report the findings of our study to gain insight into the proteins associated with NVEPs. We used samples from human semen, the rat brain, and the rhesus macaque (RM) brain and blood to assess the physical properties and proteome profiles of NVEPs from these specimens. The results show significant differences in the zeta potential, concentration, and size of NVEPs across different species. We identified 938, 51, and 509 total proteins from NVEPs isolated from rat brain tissues, RM blood, and human seminal plasma, respectively. The species-specific protein networks show distinct biological themes, while the species-conserved protein interactome was identified with six proteins (ALB, CST3, FIBA/FGA, GSTP1, PLMN/PLG, PPIA) associated with NVEPs in all samples. The six NVEP-associated proteins are prone to aggregation and formation of wide, insoluble, unbranched filaments with a cross-beta sheet quaternary structure, such as amyloid fibrils. Protein-to-function analysis indicates that the six identified proteins are linked to the release of dopamine, immune-mediated inflammatory disease, replication of RNA viruses, HIV-HCV co-infection, and inflammation. These interesting findings have created an opportunity to evaluate NVEPs for their potential use as biomarkers of health and disease. Additional in-depth studies are needed to clarify when and how these proteins sustain their physiological role or transition to pathogenic roles. Full article
(This article belongs to the Collection Feature Papers in 'Biomacromolecules: Proteins')
Show Figures

Figure 1

27 pages, 12942 KB  
Article
Recycled Materials and Lightweight Insulating Additions to Mixtures for 3D Concrete Printing
by Marcin Maroszek, Magdalena Rudziewicz, Karina Rusin-Żurek, Izabela Hager and Marek Hebda
Materials 2025, 18(18), 4387; https://doi.org/10.3390/ma18184387 - 19 Sep 2025
Cited by 1 | Viewed by 706
Abstract
Three-dimensional concrete printing (3DCP) is advancing rapidly, yet its sustainable adoption requires alignment with circular-economy principles. This study evaluates the substitution of natural aggregates with recycled constituents, 3DCP waste, brick debris, glass cullet, mixed rubble, fly ash, and slag, and the use of [...] Read more.
Three-dimensional concrete printing (3DCP) is advancing rapidly, yet its sustainable adoption requires alignment with circular-economy principles. This study evaluates the substitution of natural aggregates with recycled constituents, 3DCP waste, brick debris, glass cullet, mixed rubble, fly ash, and slag, and the use of lightweight fillers (expanded perlite, lightweight expanded clay aggregate (LECA), and expanded polystyrene (EPS)) to reduce density and improve insulation. Key properties, such as particle-size distribution, printability, mechanical performance, thermal conductivity, and water absorption, were determined. Results indicate that grading strongly affected mixture behavior. Narrow distributions (fly ash, milled 3DCP waste) enhanced extrudability, while broader gradings (glass, rubble, slag) increased water demand and extrusion risks. Despite these differences, all systems remained within the printable window: flow spread decreased with most recycled additions (lowest for brick) and increased with glass. Mechanical responses were composition-dependent. Flexural strength typically decreased. Compressive strength benefited from broader gradings, with replacement levels up to ~6% enhancing strength due to improved packing. Loading anisotropy typical of 3DCP was observed, with perpendicular compressive strength reaching up to 13% higher values than parallel loading. Lightweight fillers significantly reduced thermal conductivity. LECA provided the best compromise between strength and insulation, perlite showed intermediate behavior, and EPS achieved the lowest thermal conductivity but induced significant strength penalties due to weak matrix-EPS interfaces. Water absorption decreased in recycled-aggregate mixes, whereas lightweight systems, particularly with perlite, retained higher uptake. The results demonstrate that non-reactive recycled aggregates and lightweight insulating fillers can be successfully integrated into extrusion-based 3DCP without compromising printability. Full article
Show Figures

Graphical abstract

26 pages, 3344 KB  
Article
Exopolysaccharide (EPS)-Producing Streptococcus thermophilus: Functional and Probiotic Potential
by Dominika Jurášková, Vanessa C. Pires, Susana C. Ribeiro, Sónia S. Ferreira, Fábio Bernardo, Dmitry Evtyugin, Manuel A. Coimbra and Celia C. G. Silva
Foods 2025, 14(17), 3013; https://doi.org/10.3390/foods14173013 - 28 Aug 2025
Cited by 1 | Viewed by 2116
Abstract
This study presents a characterization of exopolysaccharide (EPS)-producing Streptococcus thermophilus strains isolated from goat milk, including information about structural and functional characteristics of EPS. The isolates exhibited efficient lactose fermentation, broad carbohydrate utilization, and desirable enzymatic activities for technological applications, particularly aminopeptidases and [...] Read more.
This study presents a characterization of exopolysaccharide (EPS)-producing Streptococcus thermophilus strains isolated from goat milk, including information about structural and functional characteristics of EPS. The isolates exhibited efficient lactose fermentation, broad carbohydrate utilization, and desirable enzymatic activities for technological applications, particularly aminopeptidases and acid phosphatase, while lacking harmful enzymes and virulence traits. Among the four strains studied, GM4 emerged as a particularly promising probiotic due to its sensitivity to all tested antibiotics, high β-galactosidase activity (56.2 × 103 Miller units), moderate antioxidant capacity (scavenging 22.7% of DPPH and 5.7% hydroxyl radicals), cholesterol-lowering ability (26.9%), high auto-aggregation capacity (46.8%), and co-aggregation (>30%) with key foodborne pathogens including Escherichia coli, Listeria monocytogenes, and Staphylococcus aureus. GM4 produced an EPS with high dextranase resistance, and its production was enhanced in lactose-enriched media (yield = 2.58 g/L). The purified EPS consisted of two heteropolysaccharides (12.0 kDa and 112 kDa), primarily composed of glucose (Glc, 53%) and mannose (Man, 29%), with minor contributions from uronic acids (8%), ribose (6%), arabinose (2%), and galactose (2%). Key glycosidic linkages included (1→4)-Glc, (1→2,6)-Man, (1→2)-Man, and (1→4,6)-Glc. Functional assays demonstrated notable antioxidant activity, with 52.5% DPPH and 12.9% hydroxyl radical scavenging at 3 mg/mL EPS. These findings highlight S. thermophilus GM4 as a safe, technological, and functional candidate for dairy and probiotic applications, with its EPS exhibiting properties suitable for functional food incorporation. Full article
(This article belongs to the Special Issue Probiotics in the Dairy Product: Trends, Advances and Opportunities)
Show Figures

Figure 1

24 pages, 3226 KB  
Article
The Environmental Impacts of Façade Renovation: A Case Study of an Office Building
by Patrik Štompf, Rozália Vaňová and Stanislav Jochim
Sustainability 2025, 17(15), 6766; https://doi.org/10.3390/su17156766 - 25 Jul 2025
Viewed by 1733
Abstract
Renovating existing buildings is a key strategy for achieving the EU’s climate targets, as over 75% of the current building stock is energy inefficient. This study evaluates the environmental impacts of three façade renovation scenarios for an office building at the Technical University [...] Read more.
Renovating existing buildings is a key strategy for achieving the EU’s climate targets, as over 75% of the current building stock is energy inefficient. This study evaluates the environmental impacts of three façade renovation scenarios for an office building at the Technical University in Zvolen (Slovakia) using a life cycle assessment (LCA) approach. The aim is to quantify and compare these impacts based on material selection and its influence on sustainable construction. The analysis focuses on key environmental indicators, including global warming potential (GWP), abiotic depletion (ADE, ADF), ozone depletion (ODP), toxicity, acidification (AP), eutrophication potential (EP), and primary energy use (PERT, PENRT). The scenarios vary in the use of insulation materials (glass wool, wood fibre, mineral wool), façade finishes (cladding vs. render), and window types (aluminium vs. wood–aluminium). Uncertainty analysis identified GWP, AP, and ODP as robust decision-making categories, while toxicity-related results showed lower reliability. To support integrated and transparent comparison, a composite environmental index (CEI) was developed, aggregating characterisation, normalisation, and mass-based results into a single score. Scenario C–2, featuring an ETICS system with mineral wool insulation and wood–aluminium windows, achieved the lowest environmental impact across all categories. In contrast, scenarios with traditional cladding and aluminium windows showed significantly higher impacts, particularly in fossil fuel use and ecotoxicity. The findings underscore the decisive role of material selection in sustainable renovation and the need for a multi-criteria, context-sensitive approach aligned with architectural, functional, and regional priorities. Full article
Show Figures

Figure 1

24 pages, 3123 KB  
Article
Investigation of the Effects of Water-to-Cement Ratios on Concrete with Varying Fine Expanded Perlite Aggregate Content
by Mortada Sabeh Whwah, Hajir A Al-Hussainy, Anmar Dulaimi, Luís Filipe Almeida Bernardo and Tiago Pinto Ribeiro
J. Compos. Sci. 2025, 9(8), 390; https://doi.org/10.3390/jcs9080390 - 24 Jul 2025
Cited by 1 | Viewed by 3289
Abstract
This study investigates the influence of varying water-to-cement (W/C) ratios and fine aggregate compositions on the performance of concrete incorporating expanded perlite aggregate (EPA) as a lightweight alternative to natural sand. A total of eighteen concrete mixes were produced, each with different W/C [...] Read more.
This study investigates the influence of varying water-to-cement (W/C) ratios and fine aggregate compositions on the performance of concrete incorporating expanded perlite aggregate (EPA) as a lightweight alternative to natural sand. A total of eighteen concrete mixes were produced, each with different W/C ratios and fine-to-coarse aggregate (FA/CA) ratios, and evaluated for workability, compressive strength, flexural and tensile strength, water absorption, density, and thermal conductivity. Perlite was used to fully replace natural sand in half of the mixes, allowing a direct assessment of its effects across low-, medium-, and high-strength concrete formulations. The results demonstrate that EPA can improve workability and reduce both density and thermal conductivity, with variable impacts on mechanical performance depending on the W/C and FA/CA ratios. Notably, higher cement contents enhanced the internal curing effect of perlite, while lower-strength mixes experienced a reduction in compressive strength when perlite was used. These findings suggest that expanded perlite can be effectively applied in structural and non-structural concrete with optimized mix designs, supporting the development of lightweight, thermally efficient concretes. Mixture W16-100%EPS was considered the ideal mix because its compressive strength at the age of 65 days 44.2 MPa and the reduction in compressive strength compared to the reference mix 14% and the reduction in density 5.4% compared with the reference mix and the reduction in thermal conductivity 14% compared with the reference mix. Full article
(This article belongs to the Special Issue Sustainable Composite Construction Materials, Volume II)
Show Figures

Figure 1

16 pages, 4284 KB  
Article
Monitoring of Corrosion in Reinforced E-Waste Concrete Subjected to Chloride-Laden Environment Using Embedded Piezo Sensor
by Gaurav Kumar, Tushar Bansal and Dayanand Sharma
Constr. Mater. 2025, 5(3), 46; https://doi.org/10.3390/constrmater5030046 - 16 Jul 2025
Cited by 1 | Viewed by 1217
Abstract
This study explores the use of embedded piezo sensor (EPS) employing the Electro-Mechanical Impedance (EMI) technique for real-time corrosion monitoring in reinforced E-waste concrete exposed to chloride-laden environments. With the growing environmental concerns over electronic waste (E-waste) and the demand for sustainable construction [...] Read more.
This study explores the use of embedded piezo sensor (EPS) employing the Electro-Mechanical Impedance (EMI) technique for real-time corrosion monitoring in reinforced E-waste concrete exposed to chloride-laden environments. With the growing environmental concerns over electronic waste (E-waste) and the demand for sustainable construction practices, printed circuit board (PCB) materials were incorporated as partial replacements for coarse aggregates in concrete. The experiment utilized M30-grade concrete mixes, substituting 15% of natural coarse aggregates with E-waste, aiming to assess both sustainability and structural performance without compromising durability. EPS configured with Lead Zirconate Titanate (PZT) patches were embedded into both conventional and E-waste concrete specimens. The EPS monitored the changes in the form of conductance and susceptance signatures across a 100–400 kHz frequency range during accelerated corrosion exposure over a 60-day period in a 3.5% NaCl solution. The corrosion progression was evaluated qualitatively through electrical impedance signatures, visually via rust formation and cracking, and quantitatively using the Root Mean Square Deviation (RMSD) of EMI signatures. The results showed that the EMI technique effectively captured the initiation and propagation stages of corrosion. E-waste concrete exhibited earlier and more severe signs of corrosion compared to conventional concrete, indicated by faster increases and subsequent declines in conductance and susceptance and higher RMSD values during the initiation phase. The EMI-based system demonstrated its capability to detect microstructural changes at early stages, making it a promising method for Structural Health Monitoring (SHM) of sustainable concretes. The study concludes that while the use of E-waste in concrete contributes positively to sustainability, it may compromise long-term durability in aggressive environments. However, the integration of EPS and EMI offers a reliable, non-destructive, and sensitive technique for real-time corrosion monitoring, supporting preventive maintenance and improved infrastructure longevity. Full article
Show Figures

Figure 1

19 pages, 46997 KB  
Article
Integrating the PLUS-InVEST Model to Project Water Conservation Dynamics and Decipher Climatic Drivers in the Chengdu–Chongqing Economic Zone Under Multiple Future Scenarios
by Kangwen Zhu, Suqiong Li, Wei Huang, Peng Hou, Yaqun Liu, Jian Liu and Zihui Li
Hydrology 2025, 12(7), 184; https://doi.org/10.3390/hydrology12070184 - 7 Jul 2025
Viewed by 2338
Abstract
Identifying the evolutionary trends of water conservation functions and their climatic impacts under future scenarios is crucial for enhancing regional ecological security. This study integrates the PLUS and InVEST models with projected land use and meteorological data to analyze water conservation patterns in [...] Read more.
Identifying the evolutionary trends of water conservation functions and their climatic impacts under future scenarios is crucial for enhancing regional ecological security. This study integrates the PLUS and InVEST models with projected land use and meteorological data to analyze water conservation patterns in the Chengdu–Chongqing Economic Zone during 2030–2050 under natural development (ND) and ecological protection (EP) scenarios. Key findings include the following: (1) during 2000–2020, low-value areas decreased from 60% to 40%, while high-value zones expanded from 27.32% to 40.35%; (2) both the ND and EP scenarios project lower water conservation volumes compared to 2020 levels; (3) under the ND scenario, the combined proportion of high and extreme importance zones fluctuates at 0.51% (2030), 0.11% (2040), and 3.97% (2050); (4) spatial heterogeneity shows high-value clusters concentrated in Chengdu’s urban core and northeastern regions, contrasting with midland low-value areas; (5) the SSP1-1.9 climate scenario yields higher water conservation capacity with stronger spatial aggregation compared to SSP2-4.5. This integrated modeling of PLUS and InVEST provides scientific support for regional ecological security and sustainable development strategies. Full article
Show Figures

Figure 1

22 pages, 2576 KB  
Article
Multi-Indicator Environmental Impact Assessment of Recycled Aggregate Concrete Based on Life Cycle Analysis
by Heng Zhang, Xiaochu Wang, Peng Ren and Linlin Yang
Buildings 2025, 15(13), 2301; https://doi.org/10.3390/buildings15132301 - 30 Jun 2025
Cited by 1 | Viewed by 2015
Abstract
With the ongoing acceleration in urban development, the volume of construction and demolition waste continues to rise, while the availability of natural aggregates is steadily declining. Utilizing recycled aggregates in concrete has become a vital approach to fostering sustainability within the construction sector. [...] Read more.
With the ongoing acceleration in urban development, the volume of construction and demolition waste continues to rise, while the availability of natural aggregates is steadily declining. Utilizing recycled aggregates in concrete has become a vital approach to fostering sustainability within the construction sector. This research develops a life cycle-based environmental impact evaluation model for recycled aggregate concrete, applying the Life Cycle Assessment (LCA) framework. Through the eFootprint platform, a quantitative evaluation is carried out for C30-grade concrete containing varying levels of recycled aggregate replacement. Four replacement ratios of recycled coarse aggregate (30%, 50%, 70%, and 100%) were evaluated. The assessment includes six key environmental indicators: Global Warming Potential (GWP), Primary Energy Demand (PED), Abiotic Depletion Potential (ADP), Acidification Potential (AP), Eutrophication Potential (EP), and Respiratory Inorganics (RI). The findings reveal that higher substitution rates of recycled aggregate lead to noticeable reductions in RI, EP, and AP, indicating improved environmental performance. Conversely, slight increases are observed in GWP and PED, especially under long transport distances. Analysis of contributing factors and sensitivity indicates that cement manufacturing is the principal driver of these increases, contributing over 80% of the total GWP, PED, and ADP impacts, with aggregate transport as the next major contributor. This study offers methodological insights into the environmental evaluation of recycled aggregate concrete and supports the green design and development of low-carbon strategies in construction. Full article
(This article belongs to the Section Building Materials, and Repair & Renovation)
Show Figures

Figure 1

21 pages, 25943 KB  
Article
Effect of Porosity and Pore Size on the Axial Compressive Properties of Recycled Aggregate Concrete
by Chunqi Zhu, Eryu Zhu, Bin Wang, Jiacheng Li, Tong Yao and Zhu Zhang
Materials 2025, 18(12), 2830; https://doi.org/10.3390/ma18122830 - 16 Jun 2025
Cited by 5 | Viewed by 898
Abstract
Pores of different sizes and quantities are formed during the molding process of recycled aggregate concrete (RAC). However, few studies have examined the individual and combined effects of porosity and mesoscale pore size (pore size) on the axial compressive mechanical properties of RAC. [...] Read more.
Pores of different sizes and quantities are formed during the molding process of recycled aggregate concrete (RAC). However, few studies have examined the individual and combined effects of porosity and mesoscale pore size (pore size) on the axial compressive mechanical properties of RAC. In this study, the influence of porosity and pore size on the axial compressive mechanical behavior of RAC was examined by incorporating expanded polystyrene (EPS) particles to create prefabrication of pores. Additionally, crack development influenced by pores was analyzed using high-energy X-ray computed tomography (CT). Gray correlation analysis was employed to quantify the influence of pore size and porosity on compressive mechanical parameters. Furthermore, the combined effects of pore characteristics were assessed by introducing damage variables. It was shown that the compressive strength, strength reduction, elastic modulus, and modulus reduction exhibited linear correlations with porosity and exponential correlations with pore size. Cracks within the specimen predominantly propagate through the pores or along their edges. The influence of porosity on both strength and elastic modulus is more substantial than that of pore size. Moreover, the deterioration in mechanical properties is more pronounced when small pore size is coupled with high porosity, compared to the combination of large pore size and low porosity. Full article
(This article belongs to the Section Construction and Building Materials)
Show Figures

Figure 1

Back to TopTop