Effect of Porosity and Pore Size on the Axial Compressive Properties of Recycled Aggregate Concrete
Highlights
- The effects of porosity and pore size on the axial compressive properties of RAC were analyzed;
- The strength and strength reduction were linearly related to porosity and exponentially related to pore size;
- The elastic modulus and modulus reduction were linearly related to porosity and exponentially related to pore size;
- The damage degree to strength and elastic modulus was greater for the combination of small pore size and high porosity than for that of large pore size and low porosity.
Abstract
1. Introduction
2. Materials and Methods
2.1. Materials and Mix Design
2.2. Fabrication and Testing of Specimens
- (1)
- Prepare the required water and fine sand for the specimen. Take a portion of the fine sand and wet it with water. Add all the EPS particles to the wet sand and mix thoroughly to ensure that the EPS particles are evenly coated by the wet sand.
- (2)
- Add the remaining sand and cement sequentially to the concrete mixer and dry mix for 1.5 min.
- (3)
- Add 60% of the water and all of the water-reducing agent to the concrete mixer, then mix for 1.5 min to form a slurry-like cement mortar.
- (4)
- Add the mixture of EPS particles and wet sand from the first step to the concrete mixer, and mix for 1.5 min.
- (5)
- Add RAs and the remaining water to the concrete mixer, and mix for 3 min.
2.3. High-Energy X-Ray CT Scanning
3. Results
3.1. Damage Patterns of RAC with Prefabricated Pores
3.2. Effect of Porosity on Macromechanical Properties of RAC
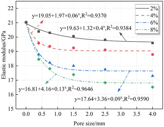
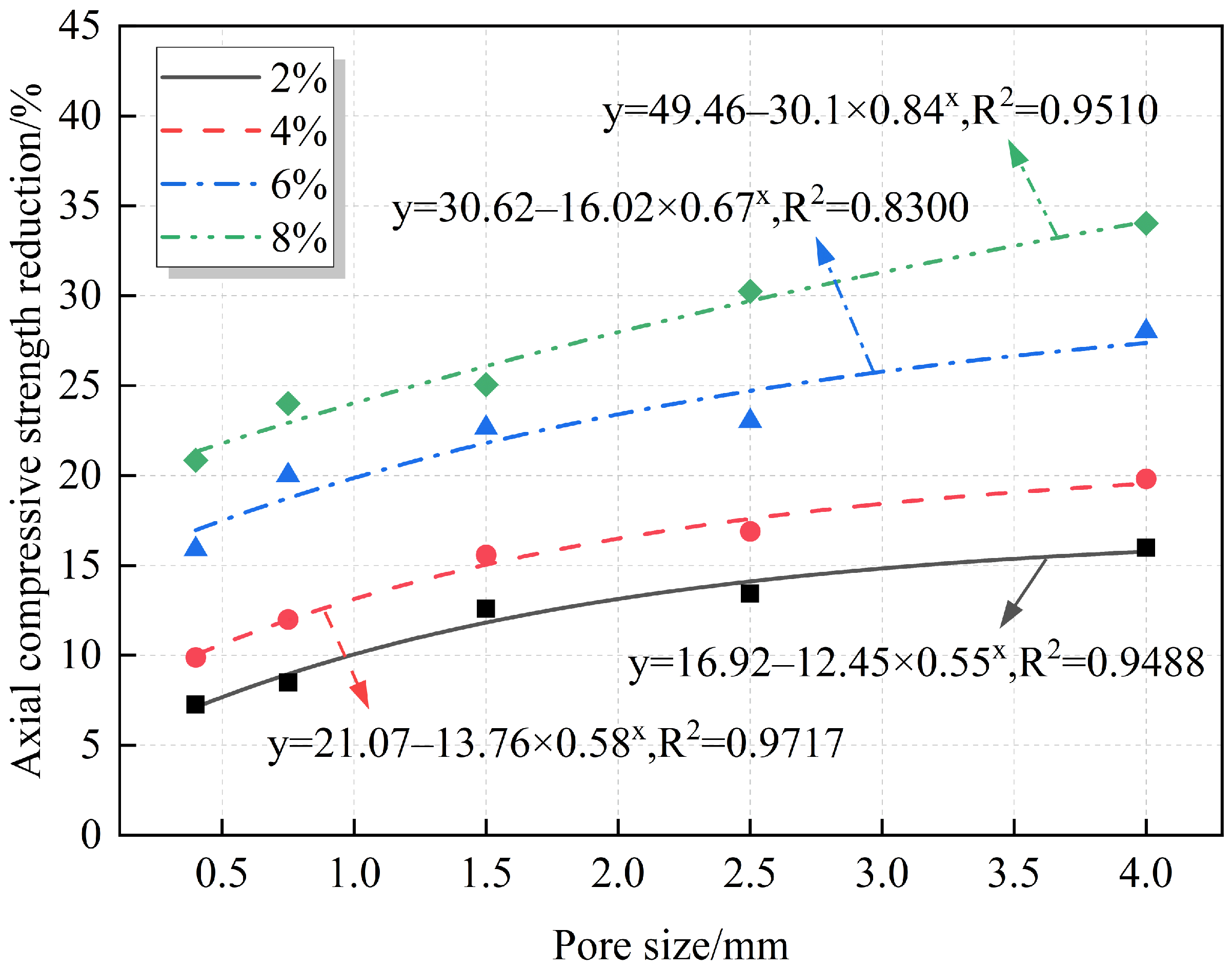
3.3. Effect of Pore Size on Macromechanical Properties of RAC
3.4. CT Scanning Results
4. Correlation Analysis of Pore Structure and Macroscopic Mechanical Parameters Based on Gray Correlation Theory
- (1)
- We identify the reference and comparison sequences.
- (2)
- The initial value transformation method [43] is used to obtain and . We nondimensionalize the reference sequence and comparison sequence , respectively, as shown in Equations (6) and (7).
- (3)
- We calculate the absolute difference between and as shown in Equation (8).
- (4)
- We calculate the gray correlation coefficient as shown in Equation (9).
- (5)
- We calculate the degree of gray correlation as shown in Equation (10).
5. Combined Effect of Porosity and Pore Size
6. Conclusions
- (1)
- The strength decreases as porosity and pore size increase, while the strength reduction increases. The strength reduction reaches a maximum of 34.02% when the porosity is 8% and the pore size is 3–5 mm. In addition, both the axial compressive strength and its reduction exhibit a linear relationship with the porosity and an exponential relationship with the pore size.
- (2)
- The elastic modulus of RAC decreases as porosity and pore size increase, while the reduction in elastic modulus increases. The elastic modulus reduction reaches a maximum of 21.45% when the porosity is 8% and the pore size is 3–5 mm. In addition, both the elastic modulus and its reduction exhibit a linear relationship with the porosity and an exponential relationship with the pore size.
- (3)
- CT images reveal that cracks within the specimen predominantly propagate through the pores or along their edges.
- (4)
- Gray correlation analysis reveals that both porosity and pore size significantly influence the strength and elastic modulus. The effects of porosity on strength and elastic modulus are notably greater than those of pore size.
- (5)
- When the porosity is 8% and the pore size is 3–5 mm, i.e., under the combined effect of high porosity and large pore size, the degrees of damage to both the strength and elastic modulus of RAC reach their maximum values, which are 0.3403 and 0.2145, respectively. The simultaneous increase in both porosity and pore size has a significant negative impact on the macro-mechanical properties. Furthermore, the damage to strength and elastic modulus is greater with the combination of small pore size and high porosity than with the combination of large pore size and low porosity.
Author Contributions
Funding
Institutional Review Board Statement
Informed Consent Statement
Data Availability Statement
Conflicts of Interest
References
- Wijayasundara, M.; Mendis, P.; Crawford, R.H. Integrated assessment of the use of recycled concrete aggregate replacing natural aggregate in structural concrete. J. Clean. Prod. 2018, 174, 591–604. [Google Scholar] [CrossRef]
- Wang, B.; Yan, L.; Fu, Q.; Kasal, B. A comprehensive review on recycled aggregate and recycled aggregate concrete. Resour. Conserv. Recycl. 2021, 171, 105565. [Google Scholar] [CrossRef]
- Hossain, M.; Poon, C.; Lo, I.; Cheng, J. Comparative environmental evaluation of aggregate production from recycled waste materials and virgin sources by LCA. Resour. Conserv. Recycl. 2016, 109, 67–77. [Google Scholar] [CrossRef]
- Ohemeng, E.A.; Ekolu, S.O. Comparative analysis on costs and benefits of producing natural and recycled concrete aggregates: A South African case study. Case Stud. Constr. Mater. 2020, 13, e00450. [Google Scholar] [CrossRef]
- Silva, R.; De Brito, J.; Dhir, R. Use of recycled aggregates arising from construction and demolition waste in new construction applications. J. Clean. Prod. 2019, 236, 117629. [Google Scholar] [CrossRef]
- Zhou, S.; Sheng, W.; Wang, Z.; Yao, W.; Huang, H.; Wei, Y.; Li, R. Quick image analysis of concrete pore structure based on deep learning. Constr. Build. Mater. 2019, 208, 144–157. [Google Scholar] [CrossRef]
- Kumar, R.; Bhattacharjee, B. Porosity, pore size distribution and in situ strength of concrete. Cem. Concr. Res. 2003, 33, 155–164. [Google Scholar] [CrossRef]
- Talaat, A.; Emad, A.; Kohail, M. Environmental impact assessment for performance-oriented geopolymer concrete research. J. Mater. Civ. Eng. 2023, 35, 04022370. [Google Scholar] [CrossRef]
- Xiao, J.; Lv, Z.; Duan, Z.; Zhang, C. Pore structure characteristics, modulation and its effect on concrete properties: A review. Constr. Build. Mater. 2023, 397, 132430. [Google Scholar] [CrossRef]
- Jivkov, A.P.; Engelberg, D.L.; Stein, R.; Petkovski, M. Pore space and brittle damage evolution in concrete. Eng. Fract. Mech. 2013, 110, 378–395. [Google Scholar] [CrossRef]
- Gu, X.; Hong, L.; Wang, Z.; Lin, F. A modified rigid-body-spring concrete model for prediction of initial defects and aggregates distribution effect on behavior of concrete. Comput. Mater. Sci. 2013, 77, 355–365. [Google Scholar] [CrossRef]
- Cui, W.; Liu, M.M.; Song, H.F.; Guan, W.; Yan, H.M. Influence of initial defects on deformation and failure of concrete under uniaxial compression. Eng. Fract. Mech. 2020, 234, 107106. [Google Scholar] [CrossRef]
- Lu, J.X.; Shen, P.L.; Zheng, H.B.; Zhan, B.J.; Ali, H.A.; He, P.P.; Poon, C.S. Synergetic recycling of waste glass and recycled aggregates in cement mortars: Physical, durability and microstructure performance. Cem. Concr. Compos. 2020, 113, 103632. [Google Scholar] [CrossRef]
- Wang, J.; Zhang, J.; Cao, D. Pore characteristics of recycled aggregate concrete and its relationship with durability under complex environmental factors. Constr. Build. Mater. 2021, 272, 121642. [Google Scholar] [CrossRef]
- Li, L.G.; Feng, J.J.; Zhu, J.; Chu, S.H.; Kwan, A.K.H. Pervious concrete: Effects of porosity on permeability and strength. Mag. Concr. Res. 2021, 73, 69–79. [Google Scholar] [CrossRef]
- Liu, Y.; Wang, G.; Yang, T.; Qiao, H.; Yu, L.; Ren, T.J.S.R. Study on the effect of porosity and aperture on the damage characterization of rock-filled concrete (RFC). Sci. Rep. 2024, 14, 28764. [Google Scholar] [CrossRef]
- Zhang, G.; Wei, X.; Yang, Z.; Gu, Y.; Wang, M. Influence of mesoscopic initial pore defects on mechanical properties of concrete. J. Build. Mater. 2024, 27, 425–431. [Google Scholar] [CrossRef]
- Chen, H.; Xu, B.; Mo, Y.; Zhou, T. Behavior of meso-scale heterogeneous concrete under uniaxial tensile and compressive loadings. Constr. Build. Mater. 2018, 178, 418–431. [Google Scholar] [CrossRef]
- Zhang, L.; Sun, X.; Xie, H.; Feng, J. Three-dimensional mesoscale modeling and failure mechanism of concrete with four-phase. J. Build. Eng. 2023, 64, 105693. [Google Scholar] [CrossRef]
- Wang, J.; Wang, M.; Tao, J. The effects of stochastic circular pores on splitting tensile behavior of concrete based on the multifractal theory. Fractal Fract. 2023, 7, 507. [Google Scholar] [CrossRef]
- Zhang, L.; Xie, H.; Feng, J. Mesoscale modeling and failure mechanism of concrete considering pore structures and actual aggregate shapes. Constr. Build. Mater. 2022, 353, 129133. [Google Scholar] [CrossRef]
- Peng, C.; Li, G.D.; Jin, F.; Zhao, Z.M. Research and application of random aggregate model in determining the fracture behavior of four-point bending beam with notch. Constr. Build. Mater. 2019, 202, 276–289. [Google Scholar] [CrossRef]
- Wang, X.F.; Yang, Z.J.; Yates, J.R.; Jivkov, A.; Zhang, C. Monte Carlo simulations of mesoscale fracture modelling of concrete with random aggregates and pores. Constr. Build. Mater. 2015, 75, 35–45. [Google Scholar] [CrossRef]
- Xie, C.; Wang, Q.; Li, S.; Hui, B. Relations of pore fractral dimension to pore structure and compressive strength of concrete under different water to binder ratio and curing condition. Bull. Chin. Ceram. Soc. 2015, 34, 3695–3702. [Google Scholar] [CrossRef]
- Chen, Y.; Ning, Y.; Chen, X.; Xuan, W.; Guo, Y. Materials, Experimental investigation on the effect of curing condition and admixture on meso-structure of recycled aggregate concrete based on X-ray CT. Int. J. Concr. Struct. Mater. 2023, 17, 11. [Google Scholar] [CrossRef]
- Skarżyński, Ł.; Tejchman, J. Experimental investigations of fracture process in concrete by means of X-ray micro-computed tomography. Strain 2016, 52, 26–45. [Google Scholar] [CrossRef]
- Sánchez-Mendieta, C.; Galán-Díaz, J.J.; Martinez-Lage, I.J.J.O.B.E. Relationships between density, porosity, compressive strength and permeability in porous concretes: Optimization of properties through control of the water-cement ratio and aggregate type. J. Build. Eng. 2024, 97, 110858. [Google Scholar] [CrossRef]
- GB/T 50081-2019; Standard for Test Methods of Concrete Physical and Mechanical Properties. National Standard of the People’s Republic of China: Beijing, China, 2019.
- GB175-2023; Common Portland Cement. National Standard of the People’s Republic of China: Beijing, China, 2023.
- Li, W.; Gao, H.; Zhang, X.; Liu, J.; Ma, Y. Numerical and experimental investigation on the effects of mesostructures on the mechanical behavior and failure pattern in concrete. Constr. Build. Mater. 2022, 327, 127005. [Google Scholar] [CrossRef]
- Gao, Y.; Sun, H. Influence of initial defects on crack propagation of concrete under uniaxial compression. Constr. Build. Mater. 2021, 277, 122361. [Google Scholar] [CrossRef]
- Chen, Y.; Al-Neshawy, F.; Punkki, J. Investigation on the effect of entrained air on pore structure in hardened concrete using MIP. Constr. Build. Mater. 2021, 292, 123441. [Google Scholar] [CrossRef]
- Dixit, A.; Pang, S.D.; Kang, S.H.; Moon, J. Lightweight structural cement composites with expanded polystyrene (EPS) for enhanced thermal insulation. Cem. Concr. Compos. 2019, 102, 185–197. [Google Scholar] [CrossRef]
- Xiao, J.; Zhang, K.; Akbarnezhad, A. Variability of stress-strain relationship for recycled aggregate concrete under uniaxial compression loading. J. Clean. Prod. 2018, 181, 753–771. [Google Scholar] [CrossRef]
- Zhao, M.Z.; Geng, Y.; Wang, Y.Y.; Hu, J.X. Compounding effect and an expanded theoretical model for recycled coarse and fine aggregate concretes under uniaxial loading. Constr. Build. Mater. 2022, 320, 126226. [Google Scholar] [CrossRef]
- Zhang, S.; Cao, K.; Wang, C.; Wang, X.; Deng, G.; Wei, P. Influence of the porosity and pore size on the compressive and splitting strengths of cellular concrete with millimeter-size pores. Constr. Build. Mater. 2020, 235, 117508. [Google Scholar] [CrossRef]
- Zhong, R.; Wille, K. Compression response of normal and high strength pervious concrete. Constr. Build. Mater. 2016, 109, 177–187. [Google Scholar] [CrossRef]
- Chindaprasirt, P.; Hatanaka, S.; Mishima, N.; Yuasa, Y.; Chareerat, T. Effects of binder strength and aggregate size on the compressive strength and void ratio of porous concrete. Int. J. Min. Met. Mater. 2009, 16, 714–719. [Google Scholar]
- Deo, O.; Neithalath, N. Compressive behavior of pervious concretes and a quantification of the influence of random pore structure features. Mater. Sci. Eng. A 2010, 528, 402–412. [Google Scholar] [CrossRef]
- Li, L.S.; Li, H.J.; Yang, Z.Q.; Shi, H.N.; Dong, H.L. Control method and prediction model for concrete elastic modulus based on coarse aggregate. Mater. Rep. 2024, 1–29. [Google Scholar] [CrossRef]
- Zhou, M.; Dong, W. Grey correlation analysis of macro-and micro-scale properties of aeolian sand concrete under the salt freezing effect. Structures 2023, 58, 105551. [Google Scholar] [CrossRef]
- Su, A.; Yin, H. Grey correlation analysis of asphalt-aggregate adhesion with high and low-temperature performance of asphalt mixtures. Case Stud. Constr. Mater. 2024, 21, e03765. [Google Scholar] [CrossRef]
- Song, W.; Zhang, M.; Wu, H. Gray correlation analysis between mechanical performance and pore characteristics of permeable concrete. J. Build. Eng. 2024, 86, 108793. [Google Scholar] [CrossRef]
- Chen, C.; Zhang, Q.; Keer, L.M.; Yao, Y.; Huang, Y. The multi-factor effect of tensile strength of concrete in numerical simulation based on the Monte Carlo random aggregate distribution. Constr. Build. Mater. 2018, 165, 585–595. [Google Scholar] [CrossRef]
- Zhang, Y.; Xia, X.; Wu, Z.; Zhang, Q. The effect of initial defects on overall mechanical properties of concrete material. Comput. Mater. Contin. 2020, 62, 413–442. [Google Scholar] [CrossRef]
- Vu, V.H.; Tran, B.V.; Le, B.A.; Nguyen, H.Q. Prediction of the relationship between strength and porosity of pervious concrete: A micromechanical investigation. Mech. Res. Commun. 2021, 118, 103791. [Google Scholar] [CrossRef]
- Li, Y.; Guo, H.; Zhou, H.; Li, Y.; Chen, J. Damage characteristics and constitutive model of concrete under uniaxial compression after Freeze-Thaw damage. Constr. Build. Mater. 2022, 345, 128171. [Google Scholar] [CrossRef]





















| Particle Size/mm | Apparent Density/kg·m−3 | Power Content/% | Water Absorption/% | Crushing Value/% |
|---|---|---|---|---|
| 5–25 | 2500 | 0.5 | 2.6 | 10 |
| Sand | Recycled Coarse Aggregate | Cement | Water | Water-Reducing Agent |
|---|---|---|---|---|
| 685 | 1019 | 400 | 223 | 1.68 |
| Direct Current Voltage | Direct Current | Electron Gun Voltage | Average Magnetic Current | Average Gun Current | Resolution |
|---|---|---|---|---|---|
| 455.65 V | 4.06 A | 264.4 V | 49.9 mA | 567 μA | 100 μm |
Disclaimer/Publisher’s Note: The statements, opinions and data contained in all publications are solely those of the individual author(s) and contributor(s) and not of MDPI and/or the editor(s). MDPI and/or the editor(s) disclaim responsibility for any injury to people or property resulting from any ideas, methods, instructions or products referred to in the content. |
© 2025 by the authors. Licensee MDPI, Basel, Switzerland. This article is an open access article distributed under the terms and conditions of the Creative Commons Attribution (CC BY) license (https://creativecommons.org/licenses/by/4.0/).
Share and Cite
Zhu, C.; Zhu, E.; Wang, B.; Li, J.; Yao, T.; Zhang, Z. Effect of Porosity and Pore Size on the Axial Compressive Properties of Recycled Aggregate Concrete. Materials 2025, 18, 2830. https://doi.org/10.3390/ma18122830
Zhu C, Zhu E, Wang B, Li J, Yao T, Zhang Z. Effect of Porosity and Pore Size on the Axial Compressive Properties of Recycled Aggregate Concrete. Materials. 2025; 18(12):2830. https://doi.org/10.3390/ma18122830
Chicago/Turabian StyleZhu, Chunqi, Eryu Zhu, Bin Wang, Jiacheng Li, Tong Yao, and Zhu Zhang. 2025. "Effect of Porosity and Pore Size on the Axial Compressive Properties of Recycled Aggregate Concrete" Materials 18, no. 12: 2830. https://doi.org/10.3390/ma18122830
APA StyleZhu, C., Zhu, E., Wang, B., Li, J., Yao, T., & Zhang, Z. (2025). Effect of Porosity and Pore Size on the Axial Compressive Properties of Recycled Aggregate Concrete. Materials, 18(12), 2830. https://doi.org/10.3390/ma18122830
