error_outline You can access the new MDPI.com website here. Explore and share your feedback with us.
 
 
Sign in to use this feature.

Years

Between: -

Subjects

remove_circle_outline
remove_circle_outline
remove_circle_outline
remove_circle_outline
remove_circle_outline
remove_circle_outline
remove_circle_outline
remove_circle_outline
remove_circle_outline

Journals

Article Types

Countries / Regions

Search Results (64)

Search Parameters:
Keywords = DNA methyl transferase

Order results
Result details
Results per page
Select all
Export citation of selected articles as:
28 pages, 3613 KB  
Review
Epigenetic Alterations in Age-Related Macular Degeneration: Mechanisms and Implications
by Dana Kisswani, Christina Carroll, Fatima Valdes-Mora and Matt Rutar
Int. J. Mol. Sci. 2025, 26(15), 7601; https://doi.org/10.3390/ijms26157601 - 6 Aug 2025
Viewed by 2187
Abstract
Age-related macular degeneration (AMD) is one of the leading causes of irreversible vision loss among the elderly, and is influenced by a combination of genetic and environmental risk factors. While genetic associations in AMD are well-established, the molecular mechanisms underlying disease [...] Read more.
Age-related macular degeneration (AMD) is one of the leading causes of irreversible vision loss among the elderly, and is influenced by a combination of genetic and environmental risk factors. While genetic associations in AMD are well-established, the molecular mechanisms underlying disease onset and progression remain poorly understood. A growing body of evidence suggests that epigenetic modifications may serve as a potential missing link regulating gene–environment interactions. This review incorporates recent findings on DNA methylation, including both hypermethylation and hypomethylation patterns affecting genes such as silent mating type information regulation 2 homolog 1 (SIRT1), glutathione S-transferase isoform (GSTM), and SKI proto-oncogene (SKI), which may influence key pathophysiological drivers of AMD. We also examine histone modification patterns, chromatin accessibility, the status of long non-coding RNAs (lncRNAs) in AMD pathogenesis and in regulating pathways pertinent to the pathophysiology of the disease. While the field of ocular epigenetics remains in its infancy, accumulating evidence to date points to a burgeoning role for epigenetic regulation in AMD, pre-clinical studies have yielded promising findings for the prospect of epigenetics as a future therapeutic avenue. Full article
Show Figures

Figure 1

25 pages, 2703 KB  
Review
Role of Gut Microbial Metabolites in Ischemic and Non-Ischemic Heart Failure
by Mohammad Reza Hatamnejad, Lejla Medzikovic, Ateyeh Dehghanitafti, Bita Rahman, Arjun Vadgama and Mansoureh Eghbali
Int. J. Mol. Sci. 2025, 26(5), 2242; https://doi.org/10.3390/ijms26052242 - 2 Mar 2025
Cited by 10 | Viewed by 6249
Abstract
The effect of the gut microbiota extends beyond their habitant place from the gastrointestinal tract to distant organs, including the cardiovascular system. Research interest in the relationship between the heart and the gut microbiota has recently been emerging. The gut microbiota secretes metabolites, [...] Read more.
The effect of the gut microbiota extends beyond their habitant place from the gastrointestinal tract to distant organs, including the cardiovascular system. Research interest in the relationship between the heart and the gut microbiota has recently been emerging. The gut microbiota secretes metabolites, including Trimethylamine N-oxide (TMAO), short-chain fatty acids (SCFAs), bile acids (BAs), indole propionic acid (IPA), hydrogen sulfide (H2S), and phenylacetylglutamine (PAGln). In this review, we explore the accumulating evidence on the role of these secreted microbiota metabolites in the pathophysiology of ischemic and non-ischemic heart failure (HF) by summarizing current knowledge from clinical studies and experimental models. Elevated TMAO contributes to non-ischemic HF through TGF-ß/Smad signaling-mediated myocardial hypertrophy and fibrosis, impairments of mitochondrial energy production, DNA methylation pattern change, and intracellular calcium transport. Also, high-level TMAO can promote ischemic HF via inflammation, histone methylation-mediated vascular fibrosis, platelet hyperactivity, and thrombosis, as well as cholesterol accumulation and the activation of MAPK signaling. Reduced SCFAs upregulate Egr-1 protein, T-cell myocardial infiltration, and HDAC 5 and 6 activities, leading to non-ischemic HF, while reactive oxygen species production and the hyperactivation of caveolin-ACE axis result in ischemic HF. An altered BAs level worsens contractility, opens mitochondrial permeability transition pores inducing apoptosis, and enhances cholesterol accumulation, eventually exacerbating ischemic and non-ischemic HF. IPA, through the inhibition of nicotinamide N-methyl transferase expression and increased nicotinamide, NAD+/NADH, and SIRT3 levels, can ameliorate non-ischemic HF; meanwhile, H2S by suppressing Nox4 expression and mitochondrial ROS production by stimulating the PI3K/AKT pathway can also protect against non-ischemic HF. Furthermore, PAGln can affect sarcomere shortening ability and myocyte contraction. This emerging field of research opens new avenues for HF therapies by restoring gut microbiota through dietary interventions, prebiotics, probiotics, or fecal microbiota transplantation and as such normalizing circulating levels of TMAO, SCFA, BAs, IPA, H2S, and PAGln. Full article
Show Figures

Figure 1

19 pages, 16595 KB  
Article
Genome-Wide Identification and Drought-Responsive Functional Analysis of the GST Gene Family in Potato (Solanum tuberosum L.)
by Ningfan Shi, Youfang Fan, Wei Zhang, Zhijia Zhang, Zhuanfang Pu, Zhongrun Li, Lijun Hu, Zhenzhen Bi, Panfeng Yao, Yuhui Liu, Zhen Liu, Jiangping Bai and Chao Sun
Antioxidants 2025, 14(2), 239; https://doi.org/10.3390/antiox14020239 - 19 Feb 2025
Cited by 4 | Viewed by 1750
Abstract
Glutathione S-transferases (GSTs) play crucial roles in crop stress tolerance through protection against oxidative damage. In this study, we conducted genome-wide identification and expression analysis of the GST gene family in the autotetraploid potato cultivar Cooperative-88 (C88) using bioinformatic approaches. We [...] Read more.
Glutathione S-transferases (GSTs) play crucial roles in crop stress tolerance through protection against oxidative damage. In this study, we conducted genome-wide identification and expression analysis of the GST gene family in the autotetraploid potato cultivar Cooperative-88 (C88) using bioinformatic approaches. We identified 366 GST genes in the potato genome, which were classified into 10 subfamilies. Chromosomal mapping revealed that StGSTs were distributed across all 12 chromosomes, with 13 tandem duplication events observed in three subfamilies. Analysis of protein sequences identified 10 conserved motifs, with motif 1 potentially representing the GST domain. Analysis of cis-acting elements in the StGSTs promoter regions suggested their involvement in stress response pathways. RNA-seq analysis revealed that most StGSTs responded to both drought stress and DNA demethylation treatments. Quantitative PCR validation of 16 selected StGSTs identified four members that showed strong responses to both treatments, with distinct expression patterns between drought-tolerant (QS9) and drought-sensitive (ATL) varieties. Transient expression assays in tobacco demonstrated that these four StGSTs enhanced drought tolerance and may be regulated through DNA methylation pathways, though the precise mechanisms require further investigation. These findings provide a theoretical foundation for understanding the response and epigenetic regulation of potato GST genes under drought stress. Full article
(This article belongs to the Special Issue Oxidative Stress and Antioxidant Defense in Crop Plants)
Show Figures

Figure 1

26 pages, 1546 KB  
Review
Cellular Epigenetic Targets and Epidrugs in Breast Cancer Therapy: Mechanisms, Challenges, and Future Perspectives
by Ibrahim S. Alalhareth, Saleh M. Alyami, Ali H. Alshareef, Ahmed O. Ajeibi, Manea F. Al Munjem, Ahmad A. Elfifi, Meshal M. Alsharif, Seham A. Alzahrani, Mohammed A. Alqaad, Marwa B. Bakir and Basel A. Abdel-Wahab
Pharmaceuticals 2025, 18(2), 207; https://doi.org/10.3390/ph18020207 - 3 Feb 2025
Cited by 7 | Viewed by 5063
Abstract
Breast cancer is the most common malignancy affecting women, manifesting as a heterogeneous disease with diverse molecular characteristics and clinical presentations. Recent studies have elucidated the role of epigenetic modifications in the pathogenesis of breast cancer, including drug resistance and efflux characteristics, offering [...] Read more.
Breast cancer is the most common malignancy affecting women, manifesting as a heterogeneous disease with diverse molecular characteristics and clinical presentations. Recent studies have elucidated the role of epigenetic modifications in the pathogenesis of breast cancer, including drug resistance and efflux characteristics, offering potential new diagnostic and prognostic markers, treatment efficacy predictors, and therapeutic agents. Key modifications include DNA cytosine methylation and the covalent modification of histone proteins. Unlike genetic mutations, reprogramming the epigenetic landscape of the cancer epigenome is a promising targeted therapy for the treatment and reversal of drug resistance. Epidrugs, which target DNA methylation and histone modifications, can provide novel options for the treatment of breast cancer by reversing the acquired resistance to treatment. Currently, the most promising approach involves combination therapies consisting of epidrugs with immune checkpoint inhibitors. This review examines the aberrant epigenetic regulation of breast cancer initiation and progression, focusing on modifications related to estrogen signaling, drug resistance, cancer progression, and the epithelial–mesenchymal transition (EMT). It examines existing epigenetic drugs for treating breast cancer, including agents that modify DNA, inhibitors of histone acetyltransferases, histone deacetylases, histone methyltransferases, and histone demethyltransferases. It also delves into ongoing studies on combining epidrugs with other therapies and addresses the upcoming obstacles in this field. Full article
(This article belongs to the Section Pharmacology)
Show Figures

Figure 1

15 pages, 1992 KB  
Review
Epigenetics of Homocystinuria, Hydrogen Sulfide, and Circadian Clock Ablation in Cardiovascular–Renal Disease
by Suresh C. Tyagi
Curr. Issues Mol. Biol. 2024, 46(12), 13783-13797; https://doi.org/10.3390/cimb46120824 - 5 Dec 2024
Cited by 2 | Viewed by 3529
Abstract
Morning-time heart attacks are associated with an ablation in the sleep-time dip in blood pressure, the mechanism of which is unknown. The epigenetic changes are the hallmark of sleep and circadian clock disruption and homocystinuria (HHcy). The homocystinuria causes ablation in the dip [...] Read more.
Morning-time heart attacks are associated with an ablation in the sleep-time dip in blood pressure, the mechanism of which is unknown. The epigenetic changes are the hallmark of sleep and circadian clock disruption and homocystinuria (HHcy). The homocystinuria causes ablation in the dip in blood pressure during sleep. Interestingly, HHcy is generated during the epigenetic gene turning off and turning on (i.e., imprinting) by methylation of the DNA promoter. The mitochondrial sulfur metabolism by 3-mercaptopyruvate sulfur transferase (3MST), ATP citrate lyase (ACYL), and epigenetic rhythmic methylation are regulated by folate 1-carbon metabolism (FOCM), i.e., the methionine (M)-SAM-SAH-Hcy, adenosine, and uric acid cycle. Epigenetic gene writer (DNMT), gene eraser (TET/FTO), and editor de-aminase (ADAR) regulate the rhythmic, i.e., reversible methylation/demethylation of H3K4, H3K9, H4K20, m6A, and m5C. The mitochondrial ATP citrate cycle and creatine kinase (CK) regulate chromatin transcription, maturation, and accessibility as well as muscle function. The transcription is regulated by methylation. The maturation and accessibility are controlled by acetylation. However, it is unclear whether a high fat dysbiotic diet (HFD) causes dysrhythmic expression of the gene writer, eraser, and editor, creating hyperuricemia and cardiac and renal dysfunction. We hypothesized that an HFD increases the gene writer (DNMT1) and editor (ADAR), decreases the eraser (TET/FTO), and increases uric acid to cause chronic diseases. This increases the levels of H3K4, H3K9, H4K20, m6A, and m5C. Interestingly, the DNMT1KO mitigates. Further, the DNMT1KO and ADAR inhibition attenuate HFD-induced NGAL/FGF23/TMPRSS2/MMP2, 9, 13, and uric acid levels and improve cardiac and renal remodeling. Although the novel role of nerve endings by the Piezo channels (i.e., the combination of ENaC, VDAC, TRPV, K+, and Mg2+ channels) in the interoception is suggested, interestingly, we and others have shown mechanisms independent of the nerve, by interoception, such as the cargo of the exosome in denervation models of heart failure. If proper and appropriate levels of these enzymes are available to covert homocysteine to hydrogen sulfide (H2S) during homocystinuria, then the H2S can potentially serve as a newer form of treatment for morning heart attacks and renal sulfur transsulfuration transport diseases. Full article
(This article belongs to the Special Issue A Focus on Molecular Basis in Cardiac Diseases)
Show Figures

Figure 1

12 pages, 1596 KB  
Perspective
Lactobacillus Eats Amyloid Plaque and Post-Biotically Attenuates Senescence Due to Repeat Expansion Disorder and Alzheimer’s Disease
by Suresh C. Tyagi
Antioxidants 2024, 13(10), 1225; https://doi.org/10.3390/antiox13101225 - 12 Oct 2024
Cited by 3 | Viewed by 3943
Abstract
Patients with Alzheimer’s disease and related dementia (ADRD) are faced with a formidable challenge of focal amyloid deposits and cerebral amyloid angiopathy (CAA). The treatment of amyloid deposits in ADRD by targeting only oxidative stress, inflammation and hyperlipidemia has not yielded significant positive [...] Read more.
Patients with Alzheimer’s disease and related dementia (ADRD) are faced with a formidable challenge of focal amyloid deposits and cerebral amyloid angiopathy (CAA). The treatment of amyloid deposits in ADRD by targeting only oxidative stress, inflammation and hyperlipidemia has not yielded significant positive clinical outcomes. The chronic high-fat diet (HFD), or gut dysbiosis, is one of the major contributors of ADRD in part by disrupted transport, epigenetic DNMT1 and the folate 1-carbon metabolism (FOCM) cycle, i.e., rhythmic methylation/de-methylation on DNA, an active part of epigenetic memory during genes turning off and on by the gene writer (DNMT1) and eraser (TET2/FTO) and the transsulfuration pathway by mitochondrial 3-mercaptopyruvate sulfur transferase (3MST)-producing H2S. The repeat CAG expansion and m6A disorder causes senescence and AD. We aim to target the paradigm-shift pathway of the gut–brain microbiome axis that selectively inhibits amyloid deposits and increases mitochondrial transsulfuration and H2S. We have observed an increase in DNMT1 and decreased FTO levels in the cortex of the brain of AD mice. Interestingly, we also observed that probiotic lactobacillus-producing post-biotic folate and lactone/ketone effectively prevented FOCM-associated gut dysbiosis and amyloid deposits. The s-adenosine-methionine (SAM) transporter (SLC25A) was increased by hyperhomocysteinemia (HHcy). Thus, we hypothesize that chronic gut dysbiosis induces SLC25A, the gene writer, and HHcy, and decreases the gene eraser, leading to a decrease in SLC7A and mitochondrial transsulfuration H2S production and bioenergetics. Lactobacillus engulfs lipids/cholesterol and a tri-directional post-biotic, folic acid (an antioxidant and inhibitor of beta amyloid deposits; reduces Hcy levels), and the lactate ketone body (fuel for mitochondria) producer increases SLC7A and H2S (an antioxidant, potent vasodilator and neurotransmitter gas) production and inhibits amyloid deposits. Therefore, it is important to discuss whether lactobacillus downregulates SLC25A and DNMT1 and upregulates TET2/FTO, inhibiting β-amyloid deposits by lowering homocysteine. It is also important to discuss whether lactobacillus upregulates SLC7A and inhibits β-amyloid deposits by increasing the mitochondrial transsulfuration of H2S production. Full article
(This article belongs to the Special Issue Oxidative Stress as a Therapeutic Target of Alzheimer’s Disease)
Show Figures

Figure 1

17 pages, 6521 KB  
Article
DNA Methylation Negatively Regulates Gene Expression of Key Cytokines Secreted by BMMCs Recognizing FMDV-VLPs
by Mingzhu Li, Peng Ning, Ruoman Bai, Zhanyun Tian, Shujia Liu and Limin Li
Int. J. Mol. Sci. 2024, 25(19), 10849; https://doi.org/10.3390/ijms251910849 - 9 Oct 2024
Cited by 1 | Viewed by 1970
Abstract
Virus-like particles (VLPs) have been studied and used as vaccines to control foot-and-mouth disease (FMD). Mast cells (MCs) express various pattern recognition receptors that recognize pathogens and secrete numerous cytokines to initiate and modulate immune responses. Our previous study showed that bone marrow-derived [...] Read more.
Virus-like particles (VLPs) have been studied and used as vaccines to control foot-and-mouth disease (FMD). Mast cells (MCs) express various pattern recognition receptors that recognize pathogens and secrete numerous cytokines to initiate and modulate immune responses. Our previous study showed that bone marrow-derived mast cells (BMMCs) can recognize foot-and-mouth disease virus-like particles (FMDV-VLPs) to differentially express various cytokines and that histone acetylation can regulate the cytokines secreted during BMMC recognition of FMDV-VLPs. To demonstrate the role of DNA methylation in this response process, BMMCs that recognize FMDV-VLPs were treated with azacytidine (5-AZA), an inhibitor of DNA methylation transferase. We prepared FMDV-VLPs as described previously and cultured the BMMCs. The transcription and expression of key cytokines and transcription factors were determined using real-time quantitative PCR (RT-qPCR) and Western blotting. Results showed that pre-treatment with AZA resulted in the increased transcription and expression of tumor necrosis factor α (TNF-α), interleukin (IL)-6, IL-13, and IL-10, while the changes in IL-13 transcription and IL-6 expression were irrelevant to mannose receptors (MRs). Furthermore, analysis of the transcription factors indicated that both the transcription and expression of nuclear factor-kappa B (NF-κB) increased significantly in the AZA pre-treated group, indicating that DNA methylation may also regulate NF-κB expression to modulate TNF-α, IL-13, and IL-6. However, pre-treatment with AZA did not alter the expression of microphthalmia-associated transcription factor (MITF) or GATA-2. All the data demonstrate that DNA methylation negatively regulates the transcription and expression of TNF-α, IL-13, IL-10, and IL-6 secreted by recognizing FMDV-VLPs. These results provide new ideas for the mast cell-based design of more effective vaccine adjuvants and targeted therapies in the future. Full article
(This article belongs to the Section Molecular Immunology)
Show Figures

Figure 1

13 pages, 2821 KB  
Article
The Restriction Activity Investigation of Rv2528c, an Mrr-like Modification-Dependent Restriction Endonuclease from Mycobacterium tuberculosis
by Tong Liu, Wei Wei, Mingyan Xu, Qi Ren, Meikun Liu, Xuemei Pan, Fumin Feng, Tiesheng Han and Lixia Gou
Microorganisms 2024, 12(7), 1456; https://doi.org/10.3390/microorganisms12071456 - 18 Jul 2024
Cited by 1 | Viewed by 1847
Abstract
Mycobacterium tuberculosis (Mtb), as a typical intracellular pathogen, possesses several putative restriction–modification (R-M) systems, which restrict exogenous DNA’s entry, such as bacterial phage infection. Here, we investigate Rv2528c, a putative Mrr-like type IV restriction endonuclease (REase) from Mtb H37Rv, which is [...] Read more.
Mycobacterium tuberculosis (Mtb), as a typical intracellular pathogen, possesses several putative restriction–modification (R-M) systems, which restrict exogenous DNA’s entry, such as bacterial phage infection. Here, we investigate Rv2528c, a putative Mrr-like type IV restriction endonuclease (REase) from Mtb H37Rv, which is predicted to degrade methylated DNA that contains m6A, m5C, etc. Rv2528c shows significant cytotoxicity after being expressed in Escherichia coli BL21(DE3)pLysS strain. The Terminal deoxynucleotidyl transferase dUTP Nick-End Labeling (TUNEL) assay indicates that Rv2528c cleaves genomic DNA in vivo. The plasmid transformation efficiency of BL21(DE3)pLysS strain harboring Rv2528c gene was obviously decreased after plasmids were in vitro methylated by commercial DNA methyltransferases such as M.EcoGII, M.HhaI, etc. These results are consistent with the characteristics of type IV REases. The in vitro DNA cleavage condition and the consensus cleavage/recognition site of Rv2528c still remain unclear, similar to that of most Mrr-family proteins. The possible reasons mentioned above and the potential role of Rv2528c for Mtb were discussed. Full article
(This article belongs to the Special Issue Advances in Bacterial Genetics)
Show Figures

Figure 1

15 pages, 7712 KB  
Article
Alpha 1,3 N-Acetylgalactosaminyl Transferase (GTA) Impairs Invasion Potential of Trophoblast Cells in Preeclampsia
by Yaqi Li, Hongpan Wu, Xiaosong Pei, Shuai Liu and Qiu Yan
Int. J. Mol. Sci. 2024, 25(13), 7287; https://doi.org/10.3390/ijms25137287 - 2 Jul 2024
Cited by 1 | Viewed by 1652
Abstract
Preeclampsia (PE) is a pregnancy-specific disorder associated with shallow invasion of the trophoblast cells and insufficient remodeling of the uterine spiral artery. Protein glycosylation plays an important role in trophoblast cell invasion. However, the glycobiological mechanism of PE has not been fully elucidated. [...] Read more.
Preeclampsia (PE) is a pregnancy-specific disorder associated with shallow invasion of the trophoblast cells and insufficient remodeling of the uterine spiral artery. Protein glycosylation plays an important role in trophoblast cell invasion. However, the glycobiological mechanism of PE has not been fully elucidated. In the current study, employing the Lectin array, we found that soybean agglutinin (SBA), which recognizes the terminal N-acetylgalactosamine α1,3-galactose (GalNAc α1,3 Gal) glycotype, was significantly increased in placental trophoblast cells from PE patients compared with third-trimester pregnant controls. Upregulating the expression of the key enzyme α1,3 N-acetylgalactosaminyl transferase (GTA) promoted the biosynthesis of terminal GalNAc α1,3 Gal and inhibited the migration/invasion of HTR8/SVneo trophoblast cells. Moreover, the methylation status of GTA promoter in placental tissues from PE patients was lower than that in the third trimester by methylation-specific PCR (MSP) and bisulfite sequencing PCR (BSP) analysis. Elevated GTA expression in combination with the DNA methylation inhibitor 5-azacytidine (5-AzaC) treatment increased the glycotype biosynthesis and impaired the invasion potential of trophoblast cells, leading to preeclampsia. This study suggests that elevated terminal GalNAc α1,3 Gal biosynthesis and GTA expression may be applied as the new markers for evaluating placental function and the auxiliary diagnosis of preeclampsia. Full article
(This article belongs to the Section Biochemistry)
Show Figures

Figure 1

13 pages, 3351 KB  
Article
Involvement of Autophagy and Oxidative Stress-Mediated DNA Hypomethylation in Transgenerational Nephrotoxicity Induced in Rats by the Mycotoxin Fumonisin B1
by Nouf Aldawood, Sarah Almustafa, Saleh Alwasel, Waleed Aldahmash, Abir Ben Bacha, Abdullah Alamri, Mohammad Alanazi and Abdel Halim Harrath
Toxins 2023, 15(11), 663; https://doi.org/10.3390/toxins15110663 - 17 Nov 2023
Cited by 6 | Viewed by 2340
Abstract
Fumonisin B1 (FB1), a mycotoxin produced by Fusarium verticillioides, is one of the most common pollutants in natural foods and agricultural crops. It can cause chronic and severe health issues in humans and animals. The aim of this study was to evaluate [...] Read more.
Fumonisin B1 (FB1), a mycotoxin produced by Fusarium verticillioides, is one of the most common pollutants in natural foods and agricultural crops. It can cause chronic and severe health issues in humans and animals. The aim of this study was to evaluate the transgenerational effects of FB1 exposure on the structure and function of the kidneys in offspring. Virgin female Wistar rats were randomly divided into three groups: group one (control) received sterile water, and groups two and three were intragastrically administered low (20 mg/kg) and high (50 mg/kg) doses of FB1, respectively, from day 6 of pregnancy until delivery. Our results showed that exposure to either dose of FB1 caused histopathological changes, such as atrophy, hypercellularity, hemorrhage, calcification, and a decrease in the glomerular diameter, in both the first and second generations. The levels of the antioxidant markers glutathione, glutathione S-transferase, and catalase significantly decreased, while malondialdehyde levels increased. Moreover, autophagy was induced, as immunofluorescence analysis revealed that LC-3 protein expression was significantly increased in both generations after exposure to either dose of FB1. However, a significant decrease in methyltransferase (DNMT3) protein expression was observed in the first generation in both treatment groups (20 mg/kg and 50 mg/kg), indicating a decrease in DNA methylation as a result of early-life exposure to FB1. Interestingly, global hypomethylation was also observed in the second generation in both treatment groups despite the fact that the mothers of these rats were not exposed to FB1. Thus, early-life exposure to FB1 induced nephrotoxicity in offspring of the first and second generations. The mechanisms of action underlying this transgenerational effect may include oxidative stress, autophagy, and DNA hypomethylation. Full article
Show Figures

Figure 1

8 pages, 573 KB  
Brief Report
Evaluation of GSTP1, GSTA4 and AChE Gene Methylation in Bovine Lymphocytes Cultured In Vitro with Miconazole Alone and in Combination with Mospilan 20SP
by Jana Halušková, Beáta Holečková, Viera Schwarzbacherová, Martina Galdíková, Silvia Sedláková and Jaroslav Bučan
Genes 2023, 14(9), 1791; https://doi.org/10.3390/genes14091791 - 12 Sep 2023
Cited by 1 | Viewed by 1637
Abstract
5-methylcytosine (5mC) is one of the most important epigenetic modifications. Its increased occurrence in regulatory sequences of genes, such as promoters and enhancers, is associated with the inhibition of their expression. Methylation patterns are not stable but are sensitive to factors such as [...] Read more.
5-methylcytosine (5mC) is one of the most important epigenetic modifications. Its increased occurrence in regulatory sequences of genes, such as promoters and enhancers, is associated with the inhibition of their expression. Methylation patterns are not stable but are sensitive to factors such as the environment, diet, and age. In the present study, we investigated the effects of fungicide miconazole, both alone and in combination with the insecticide Mospilan 20SP, on the methylation status of bovine GSTP1, GSTA4, and AChE genes in bovine lymphocytes cultured in vitro. The methylation-specific PCR technique was used for the objectives of this study. We found that miconazole alone at concentrations of 1.25, 2.5, 5, 10, 25, and 50 µg/mL after 24 h exposure probably did not induce changes in methylation for all three genes analysed. The same results were found for the combination of pesticides at 24 h exposure and the following concentrations for each of them: 0.625, 1.25, 2.5, 5, and 12.5 µg/mL. Thus, we can conclude that the fungicide miconazole alone, as well as in combination with the insecticide Mospilan 20SP, was unlikely to cause changes to the methylation of bovine GSTP1, GSTA4, and AChE genes. Full article
(This article belongs to the Special Issue Research on Genetics and Genomics of Cattle)
Show Figures

Figure 1

16 pages, 1025 KB  
Article
Polymorphisms in Glutathione S-Transferase (GST) Genes Modify the Effect of Exposure to Maternal Smoking Metabolites in Pregnancy and Offspring DNA Methylation
by Parnian Kheirkhah Rahimabad, A. Daniel Jones, Hongmei Zhang, Su Chen, Yu Jiang, Susan Ewart, John W. Holloway, Hasan Arshad, Shakiba Eslamimehr, Robert Bruce and Wilfried Karmaus
Genes 2023, 14(8), 1644; https://doi.org/10.3390/genes14081644 - 18 Aug 2023
Cited by 3 | Viewed by 2309
Abstract
Maternal smoking in pregnancy (MSP) affects the offspring’s DNA methylation (DNAm). There is a lack of knowledge regarding individual differences in susceptibility to exposure to MSP. Glutathione S-transferase (GST) genes are involved in protection against harmful oxidants such as those found [...] Read more.
Maternal smoking in pregnancy (MSP) affects the offspring’s DNA methylation (DNAm). There is a lack of knowledge regarding individual differences in susceptibility to exposure to MSP. Glutathione S-transferase (GST) genes are involved in protection against harmful oxidants such as those found in cigarette smoke. This study aimed to test whether polymorphisms in GST genes influence the effect of MSP on offspring DNAm. Using data from the Isle of Wight birth cohort, we assessed the association of MSP and offspring DNAm in 493 mother-child dyads (251 male, 242 female) with the effect-modifying role of GST gene polymorphism (at rs506008, rs574344, rs12736389, rs3768490, rs1537234, and rs1695). MSP was assessed by levels of nicotine and its downstream metabolites (cotinine, norcotinine, and hydroxycotinine) in maternal sera. In males, associations of hydroxycotinine with DNAm at cg18473733, cg25949550, cg11647108, and cg01952185 and norcotinine with DNAm at cg09935388 were modified by GST gene polymorphisms (p-values < 0.05). In females, associations of hydroxycotinine with DNAm at cg12160087 and norcotinine with DNAm at cg18473733 were modified by GST gene polymorphisms (p-values < 0.05). Our study emphasizes the role of genetic polymorphism in GST genes in DNAm’s susceptibility to MSP. Full article
(This article belongs to the Special Issue Feature Papers in Genes & Environments)
Show Figures

Figure 1

22 pages, 2742 KB  
Article
Deciphering the Action of Neuraminidase in Glioblastoma Models
by Nathalie Baeza-Kallee, Raphaël Bergès, Victoria Hein, Stéphanie Cabaret, Jeremy Garcia, Abigaëlle Gros, Emeline Tabouret, Aurélie Tchoghandjian, Carole Colin and Dominique Figarella-Branger
Int. J. Mol. Sci. 2023, 24(14), 11645; https://doi.org/10.3390/ijms241411645 - 19 Jul 2023
Cited by 7 | Viewed by 3956
Abstract
Glioblastoma (GBM) contains cancer stem cells (CSC) that are resistant to treatment. GBM CSC expresses glycolipids recognized by the A2B5 antibody. A2B5, induced by the enzyme ST8 alpha-N-acetyl-neuraminide alpha-2,8-sialyl transferase 3 (ST8Sia3), plays a crucial role in the proliferation, migration, clonogenicity and tumorigenesis [...] Read more.
Glioblastoma (GBM) contains cancer stem cells (CSC) that are resistant to treatment. GBM CSC expresses glycolipids recognized by the A2B5 antibody. A2B5, induced by the enzyme ST8 alpha-N-acetyl-neuraminide alpha-2,8-sialyl transferase 3 (ST8Sia3), plays a crucial role in the proliferation, migration, clonogenicity and tumorigenesis of GBM CSC. Our aim was to characterize the resulting effects of neuraminidase that removes A2B5 in order to target GBM CSC. To this end, we set up a GBM organotypic slice model; quantified A2B5 expression by flow cytometry in U87-MG, U87-ST8Sia3 and GBM CSC lines, treated or not by neuraminidase; performed RNAseq and DNA methylation profiling; and analyzed the ganglioside expression by liquid chromatography–mass spectrometry in these cell lines, treated or not with neuraminidase. Results demonstrated that neuraminidase decreased A2B5 expression, tumor size and regrowth after surgical removal in the organotypic slice model but did not induce a distinct transcriptomic or epigenetic signature in GBM CSC lines. RNAseq analysis revealed that OLIG2, CHI3L1, TIMP3, TNFAIP2, and TNFAIP6 transcripts were significantly overexpressed in U87-ST8Sia3 compared to U87-MG. RT-qPCR confirmed these results and demonstrated that neuraminidase decreased gene expression in GBM CSC lines. Moreover, neuraminidase drastically reduced ganglioside expression in GBM CSC lines. Neuraminidase, by its pleiotropic action, is an attractive local treatment against GBM. Full article
(This article belongs to the Special Issue Emerging Therapies for Glioblastoma)
Show Figures

Figure 1

33 pages, 5095 KB  
Review
Reviewing the Regulators of COL1A1
by Hanne Devos, Jerome Zoidakis, Maria G. Roubelakis, Agnieszka Latosinska and Antonia Vlahou
Int. J. Mol. Sci. 2023, 24(12), 10004; https://doi.org/10.3390/ijms241210004 - 11 Jun 2023
Cited by 73 | Viewed by 13129
Abstract
The collagen family contains 28 proteins, predominantly expressed in the extracellular matrix (ECM) and characterized by a triple-helix structure. Collagens undergo several maturation steps, including post-translational modifications (PTMs) and cross-linking. These proteins are associated with multiple diseases, the most pronounced of which are [...] Read more.
The collagen family contains 28 proteins, predominantly expressed in the extracellular matrix (ECM) and characterized by a triple-helix structure. Collagens undergo several maturation steps, including post-translational modifications (PTMs) and cross-linking. These proteins are associated with multiple diseases, the most pronounced of which are fibrosis and bone diseases. This review focuses on the most abundant ECM protein highly implicated in disease, type I collagen (collagen I), in particular on its predominant chain collagen type I alpha 1 (COLα1 (I)). An overview of the regulators of COLα1 (I) and COLα1 (I) interactors is presented. Manuscripts were retrieved searching PubMed, using specific keywords related to COLα1 (I). COL1A1 regulators at the epigenetic, transcriptional, post-transcriptional and post-translational levels include DNA Methyl Transferases (DNMTs), Tumour Growth Factor β (TGFβ), Terminal Nucleotidyltransferase 5A (TENT5A) and Bone Morphogenic Protein 1 (BMP1), respectively. COLα1 (I) interacts with a variety of cell receptors including integrinβ, Endo180 and Discoidin Domain Receptors (DDRs). Collectively, even though multiple factors have been identified in association to COLα1 (I) function, the implicated pathways frequently remain unclear, underscoring the need for a more spherical analysis considering all molecular levels simultaneously. Full article
(This article belongs to the Special Issue Updates & New Concepts in Collagen)
Show Figures

Figure 1

22 pages, 3734 KB  
Article
Machine Learning Approach for Muscovy Duck (Cairina moschata) Semen Quality Assessment
by Desislava Abadjieva, Boyko Georgiev, Vasko Gerzilov, Ilka Tsvetkova, Paulina Taushanova, Krassimira Todorova and Soren Hayrabedyan
Animals 2023, 13(10), 1596; https://doi.org/10.3390/ani13101596 - 10 May 2023
Cited by 3 | Viewed by 2702
Abstract
This study aimed to develop a comprehensive approach for assessing fresh ejaculate from Muscovy duck (Cairina moschata) drakes to fulfil the requirements of artificial insemination in farm practices. The approach combines sperm kinetics (CASA) with non-kinetic parameters, such as vitality, enzyme [...] Read more.
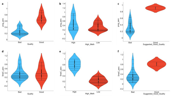
This study aimed to develop a comprehensive approach for assessing fresh ejaculate from Muscovy duck (Cairina moschata) drakes to fulfil the requirements of artificial insemination in farm practices. The approach combines sperm kinetics (CASA) with non-kinetic parameters, such as vitality, enzyme activities (alkaline phosphatase (AP), creatine kinase (CK), lactate dehydrogenase (LDH), and γ-glutamyl-transferase (GGT)), and total DNA methylation as training features for a set of machine learning (ML) models designed to enhance the predictive capacity of sperm parameters. Samples were classified based on their progressive motility and DNA methylation features, exhibiting significant differences in total and progressive motility, curvilinear velocity (VCL), velocity of the average path (VAP), linear velocity (VSL), amplitude of lateral head displacement (ALH), beat-cross frequency (BCF), and live normal sperm cells in favour of fast motility ones. Additionally, there were significant differences in enzyme activities for AP and CK, with correlations to LDH and GGT levels. Although motility showed no correlation with total DNA methylation, ALH, wobble of the curvilinear trajectory (WOB), and VCL were significantly different in the newly introduced classification for “suggested good quality”, where both motility and methylation were high. The performance differences observed while training various ML classifiers using different feature subsets highlight the importance of DNA methylation for achieving more accurate sample quality classification, even though there is no correlation between motility and DNA methylation. The parameters ALH, VCL, triton extracted LDH, and VAP were top-ranking for “suggested good quality” predictions by the neural network and gradient boosting models. In conclusion, integrating non-kinetic parameters into machine-learning-based sample classification offers a promising approach for selecting kinetically and morphologically superior duck sperm samples that might otherwise be hindered by a predominance of lowly methylated cells. Full article
(This article belongs to the Section Animal Reproduction)
Show Figures

Figure 1

Back to TopTop