Polymorphisms in Glutathione S-Transferase (GST) Genes Modify the Effect of Exposure to Maternal Smoking Metabolites in Pregnancy and Offspring DNA Methylation
Abstract
:1. Introduction
2. Materials and Methods
2.1. Study Population
2.2. Assessment of Exposure: MSP
Assessment of Nicotine and Its Downstream Metabolites in Maternal Sera
2.3. Assessment of the Outcome: DNAm of the F1 Offspring
2.4. Assessment of Covariates
2.5. Assessment of Effect Modifiers (GST Gene Polymorphisms)
2.6. Statistical Analysis
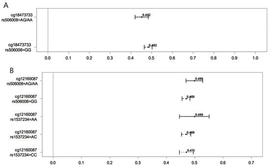
3. Results
4. Discussion
5. Conclusions
Supplementary Materials
Author Contributions
Funding
Institutional Review Board Statement
Informed Consent Statement
Data Availability Statement
Acknowledgments
Conflicts of Interest
References
- Lange, S.; Probst, C.; Rehm, J.; Popova, S. National, regional, and global prevalence of smoking during pregnancy in the general population: A systematic review and meta-analysis. Lancet Glob. Health 2018, 6, e769–e776. [Google Scholar] [CrossRef] [PubMed]
- Nakamura, A.; François, O.; Lepeule, J. Epigenetic Alterations of Maternal Tobacco Smoking during Pregnancy: A Narrative Review. Int. J. Environ. Res. Public Health 2021, 18, 5083. [Google Scholar] [CrossRef] [PubMed]
- McEvoy, C.T.; Spindel, E.R. Pulmonary Effects of Maternal Smoking on the Fetus and Child: Effects on Lung Development, Respiratory Morbidities, and Life Long Lung Health. Paediatr. Respir. Rev. 2017, 21, 27–33. [Google Scholar] [CrossRef]
- Kataoka, M.C.; Carvalheira, A.P.P.; Ferrari, A.P.; Malta, M.B.; de Barros Leite Carvalhaes, M.A.; de Lima Parada, C.M.G. Smoking during pregnancy and harm reduction in birth weight: A cross-sectional study. BMC Pregnancy Childbirth 2018, 18, 67. [Google Scholar] [CrossRef]
- Shah, G.; Bhatt, U.; Soni, V. Cigarette: An unsung anthropogenic evil in the environment. Environ. Sci. Pollut. Res. Int. 2023, 30, 59151–59162. [Google Scholar] [CrossRef]
- Morgan, J.C.; Byron, M.J.; Baig, S.A.; Stepanov, I.; Brewer, N.T. How people think about the chemicals in cigarette smoke: A systematic review. J. Behav. Med. 2017, 40, 553–564. [Google Scholar] [CrossRef] [PubMed]
- Benowitz, N.L.; St Helen, G.; Dempsey, D.A.; Jacob, P., 3rd; Tyndale, R.F. Disposition kinetics and metabolism of nicotine and cotinine in African American smokers: Impact of CYP2A6 genetic variation and enzymatic activity. Pharmacogenet. Genom. 2016, 26, 340–350. [Google Scholar] [CrossRef]
- Wickström, R. Effects of nicotine during pregnancy: Human and experimental evidence. Curr. Neuropharmacol. 2007, 5, 213–222. [Google Scholar] [CrossRef]
- Wiklund, P.; Karhunen, V.; Richmond, R.C.; Parmar, P.; Rodriguez, A.; De Silva, M.; Wielscher, M.; Rezwan, F.I.; Richardson, T.G.; Veijola, J.; et al. DNA methylation links prenatal smoking exposure to later life health outcomes in offspring. Clin. Epigenet. 2019, 11, 97. [Google Scholar] [CrossRef]
- Moore, L.D.; Le, T.; Fan, G. DNA methylation and its basic function. Neuropsychopharmacology 2013, 38, 23–38. [Google Scholar] [CrossRef]
- Vavouri, T.; Lehner, B. Human genes with CpG island promoters have a distinct transcription-associated chromatin organization. Genome Biol. 2012, 13, R110. [Google Scholar] [CrossRef]
- Lev Maor, G.; Yearim, A.; Ast, G. The alternative role of DNA methylation in splicing regulation. Trends Genet. 2015, 31, 274–280. [Google Scholar] [CrossRef] [PubMed]
- Grieshober, L.; Graw, S.; Barnett, M.J.; Thornquist, M.D.; Goodman, G.E.; Chen, C.; Koestler, D.C.; Marsit, C.J.; Doherty, J.A. AHRR methylation in heavy smokers: Associations with smoking, lung cancer risk, and lung cancer mortality. BMC Cancer 2020, 20, 905. [Google Scholar] [CrossRef] [PubMed]
- Dhar, G.A.; Saha, S.; Mitra, P.; Nag Chaudhuri, R. DNA methylation and regulation of gene expression: Guardian of our health. Nucleus 2021, 64, 259–270. [Google Scholar] [CrossRef]
- Wang, X.; Bhandari, R.K. DNA methylation dynamics during epigenetic reprogramming of medaka embryo. Epigenetics 2019, 14, 611–622. [Google Scholar] [CrossRef] [PubMed]
- Messerschmidt, D.M.; Knowles, B.B.; Solter, D. DNA methylation dynamics during epigenetic reprogramming in the germline and preimplantation embryos. Genes Dev. 2014, 28, 812–828. [Google Scholar] [CrossRef]
- Das, J.; Maitra, A. Maternal DNA Methylation During Pregnancy: A Review. Reprod. Sci. 2021, 28, 2758–2769. [Google Scholar] [CrossRef] [PubMed]
- Joubert, B.R.; Felix, J.F.; Yousefi, P.; Bakulski, K.M.; Just, A.C.; Breton, C.; Reese, S.E.; Markunas, C.A.; Richmond, R.C.; Xu, C.J.; et al. DNA Methylation in Newborns and Maternal Smoking in Pregnancy: Genome-wide Consortium Meta-analysis. Am. J. Hum. Genet. 2016, 98, 680–696. [Google Scholar] [CrossRef]
- Nebert, D.W.; Vasiliou, V. Analysis of the glutathione S-transferase (GST) gene family. Hum. Genom. 2004, 1, 460–464. [Google Scholar] [CrossRef]
- Hussain, T.; Murtaza, G.; Metwally, E.; Kalhoro, D.H.; Kalhoro, M.S.; Rahu, B.A.; Sahito, R.G.A.; Yin, Y.; Yang, H.; Chughtai, M.I.; et al. The Role of Oxidative Stress and Antioxidant Balance in Pregnancy. Mediat. Inflamm. 2021, 2021, 9962860. [Google Scholar] [CrossRef]
- Toboła-Wróbel, K.; Pietryga, M.; Dydowicz, P.; Napierała, M.; Brązert, J.; Florek, E. Association of Oxidative Stress on Pregnancy. Oxid. Med. Cell. Longev. 2020, 2020, 6398520. [Google Scholar] [CrossRef] [PubMed]
- Arshad, S.H.; Holloway, J.W.; Karmaus, W.; Zhang, H.; Ewart, S.; Mansfield, L.; Matthews, S.; Hodgekiss, C.; Roberts, G.; Kurukulaaratchy, R. Cohort Profile: The Isle Of Wight Whole Population Birth Cohort (IOWBC). Int. J. Epidemiol. 2018, 47, 1043–1044i. [Google Scholar] [CrossRef] [PubMed]
- Sostare, J.; Di Guida, R.; Kirwan, J.; Chalal, K.; Palmer, E.; Dunn, W.B.; Viant, M.R. Comparison of modified Matyash method to conventional solvent systems for polar metabolite and lipid extractions. Anal. Chim. Acta 2018, 1037, 301–315. [Google Scholar] [CrossRef] [PubMed]
- Stagliano, M.C.; DeKeyser, J.G.; Omiecinski, C.J.; Jones, A.D. Bioassay-directed fractionation for discovery of bioactive neutral lipids guided by relative mass defect filtering and multiplexed collision-induced dissociation. Rapid Commun. Mass. Spectrom. 2010, 24, 3578–3584. [Google Scholar] [CrossRef] [PubMed]
- Ekanayaka, E.A.; Celiz, M.D.; Jones, A.D. Relative mass defect filtering of mass spectra: A path to discovery of plant specialized metabolites. Plant Physiol. 2015, 167, 1221–1232. [Google Scholar] [CrossRef]
- Wei, R.; Wang, J.; Su, M.; Jia, E.; Chen, S.; Chen, T.; Ni, Y. Missing Value Imputation Approach for Mass Spectrometry-based Metabolomics Data. Sci. Rep. 2018, 8, 663. [Google Scholar] [CrossRef]
- Karmaus, W.; Kheirkhah Rahimabad, P.; Pham, N.; Mukherjee, N.; Chen, S.; Anthony, T.M.; Arshad, H.S.; Rathod, A.; Sultana, N.; Jones, A.D. Association of Metabolites, Nutrients, and Toxins in Maternal and Cord Serum with Asthma, IgE, SPT, FeNO, and Lung Function in Offspring. Metabolites 2023, 13, 737. [Google Scholar] [CrossRef]
- Beyan, H.; Down, T.A.; Ramagopalan, S.V.; Uvebrant, K.; Nilsson, A.; Holland, M.L.; Gemma, C.; Giovannoni, G.; Boehm, B.O.; Ebers, G.C.; et al. Guthrie card methylomics identifies temporally stable epialleles that are present at birth in humans. Genome Res. 2012, 22, 2138–2145. [Google Scholar] [CrossRef]
- Lehne, B.; Drong, A.W.; Loh, M.; Zhang, W.; Scott, W.R.; Tan, S.-T.; Afzal, U.; Scott, J.; Jarvelin, M.-R.; Elliott, P.; et al. A coherent approach for analysis of the Illumina HumanMethylation450 BeadChip improves data quality and performance in epigenome-wide association studies. Genome Biol. 2015, 16, 37. [Google Scholar] [CrossRef]
- Johnson, W.E.; Li, C.; Rabinovic, A. Adjusting batch effects in microarray expression data using empirical Bayes methods. Biostatistics 2007, 8, 118–127. [Google Scholar] [CrossRef]
- Du, P.; Zhang, X.; Huang, C.C.; Jafari, N.; Kibbe, W.A.; Hou, L.; Lin, S.M. Comparison of β-value and M-value methods for quantifying methylation levels by microarray analysis. BMC Bioinform. 2010, 11, 587. [Google Scholar] [CrossRef]
- Koestler, D.C.; Christensen, B.; Karagas, M.R.; Marsit, C.J.; Langevin, S.M.; Kelsey, K.T.; Wiencke, J.K.; Houseman, E.A. Blood-based profiles of DNA methylation predict the underlying distribution of cell types: A validation analysis. Epigenetics 2013, 8, 816–826. [Google Scholar] [CrossRef] [PubMed]
- Aryee, M.J.; Jaffe, A.E.; Corrada-Bravo, H.; Ladd-Acosta, C.; Feinberg, A.P.; Hansen, K.D.; Irizarry, R.A. Minfi: A flexible and comprehensive Bioconductor package for the analysis of Infinium DNA methylation microarrays. Bioinformatics 2014, 30, 1363–1369. [Google Scholar] [CrossRef] [PubMed]
- Houseman, E.A.; Kim, S.; Kelsey, K.T.; Wiencke, J.K. DNA Methylation in Whole Blood: Uses and Challenges. Curr. Environ. Health Rep. 2015, 2, 145–154. [Google Scholar] [CrossRef] [PubMed]
- El-Maarri, O.; Becker, T.; Junen, J.; Manzoor, S.S.; Diaz-Lacava, A.; Schwaab, R.; Wienker, T.; Oldenburg, J. Gender specific differences in levels of DNA methylation at selected loci from human total blood: A tendency toward higher methylation levels in males. Hum. Genet. 2007, 122, 505–514. [Google Scholar] [CrossRef]
- Grant, O.A.; Wang, Y.; Kumari, M.; Zabet, N.R.; Schalkwyk, L. Characterising sex differences of autosomal DNA methylation in whole blood using the Illumina EPIC array. Clin. Epigenet. 2022, 14, 62. [Google Scholar] [CrossRef]
- Mukherjee, N.; Lockett, G.A.; Merid, S.K.; Melén, E.; Pershagen, G.; Holloway, J.W.; Arshad, S.H.; Ewart, S.; Zhang, H.; Karmaus, W. DNA methylation and genetic polymorphisms of the Leptin gene interact to influence lung function outcomes and asthma at 18 years of age. Int. J. Mol. Epidemiol. Genet. 2016, 7, 1–17. [Google Scholar]
- Alexander, M.; Karmaus, W.; Holloway, J.W.; Zhang, H.; Roberts, G.; Kurukulaaratchy, R.J.; Arshad, S.H.; Ewart, S. Effect of GSTM2-5 polymorphisms in relation to tobacco smoke exposures on lung function growth: A birth cohort study. BMC Pulm. Med. 2013, 13, 56. [Google Scholar] [CrossRef]
- Wang, T.; Jacob, H.; Ghosh, S.; Wang, X.; Zeng, Z.B. A joint association test for multiple SNPs in genetic case-control studies. Genet. Epidemiol. 2009, 33, 151–163. [Google Scholar] [CrossRef]
- Barrett, J.C.; Fry, B.; Maller, J.; Daly, M.J. Haploview: Analysis and visualization of LD and haplotype maps. Bioinformatics 2005, 21, 263–265. [Google Scholar] [CrossRef]
- Ganguly, E.; Aljunaidy, M.M.; Kirschenman, R.; Spaans, F.; Morton, J.S.; Phillips, T.E.; Case, C.P.; Cooke, C.-L.M.; Davidge, S.T. Sex-specific effects of nanoparticle-encapsulated MitoQ (nMitoQ) delivery to the placenta in a rat model of fetal hypoxia. Front. Physiol. 2019, 10, 562. [Google Scholar] [CrossRef] [PubMed]
- Rosenfeld, C.S. Sex-Specific Placental Responses in Fetal Development. Endocrinology 2015, 156, 3422–3434. [Google Scholar] [CrossRef] [PubMed]
- Lavoie, J.C.; Tremblay, A. Sex-Specificity of Oxidative Stress in Newborns Leading to a Personalized Antioxidant Nutritive Strategy. Antioxidants 2018, 7, 49. [Google Scholar] [CrossRef] [PubMed]
- O’Shaughnessy, P.J.; Monteiro, A.; Bhattacharya, S.; Fowler, P.A. Maternal Smoking and Fetal Sex Significantly Affect Metabolic Enzyme Expression in the Human Fetal Liver. J. Clin. Endocrinol. Metab. 2011, 96, 2851–2860. [Google Scholar] [CrossRef]
- Breton, C.V.; Vora, H.; Salam, M.T.; Islam, T.; Wenten, M.; Gauderman, W.J.; Van den Berg, D.; Berhane, K.; Peters, J.M.; Gilliland, F.D. Variation in the GST mu locus and tobacco smoke exposure as determinants of childhood lung function. Am. J. Respir. Crit. Care Med. 2009, 179, 601–607. [Google Scholar] [CrossRef] [PubMed]
- Chiplunkar, A.R.; Curtis, B.C.; Eades, G.L.; Kane, M.S.; Fox, S.J.; Haar, J.L.; Lloyd, J.A. The Krüppel-like factor 2 and Krüppel-like factor 4 genes interact to maintain endothelial integrity in mouse embryonic vasculogenesis. BMC Dev. Biol. 2013, 13, 40. [Google Scholar] [CrossRef]
- Rzehak, P.; Saffery, R.; Reischl, E.; Covic, M.; Wahl, S.; Grote, V.; Xhonneux, A.; Langhendries, J.P.; Ferre, N.; Closa-Monasterolo, R.; et al. Maternal Smoking during Pregnancy and DNA-Methylation in Children at Age 5.5 Years: Epigenome-Wide-Analysis in the European Childhood Obesity Project (CHOP)-Study. PLoS ONE 2016, 11, e0155554. [Google Scholar] [CrossRef]
- Phelan, J.D.; Shroyer, N.F.; Cook, T.; Gebelein, B.; Grimes, H.L. Gfi1-cells and circuits: Unraveling transcriptional networks of development and disease. Curr. Opin. Hematol. 2010, 17, 300–307. [Google Scholar] [CrossRef]
- Küpers, L.K.; Xu, X.; Jankipersadsing, S.A.; Vaez, A.; La Bastide-van Gemert, S.; Scholtens, S.; Nolte, I.M.; Richmond, R.C.; Relton, C.L.; Felix, J.F.; et al. DNA methylation mediates the effect of maternal smoking during pregnancy on birthweight of the offspring. Int. J. Epidemiol. 2015, 44, 1224–1237. [Google Scholar] [CrossRef]
- Niederkorn, M.; Hueneman, K.; Choi, K.; Varney, M.E.; Romano, L.; Pujato, M.A.; Greis, K.D.; Inoue, J.I.; Meetei, R.; Starczynowski, D.T. TIFAB Regulates USP15-Mediated p53 Signaling during Stressed and Malignant Hematopoiesis. Cell Rep. 2020, 30, 2776–2790.e2776. [Google Scholar] [CrossRef]
- Wu, J.; Hankinson, J.; Kopec-Harding, K.; Custovic, A.; Simpson, A. Interaction between glutathione S-transferase variants, maternal smoking and childhood wheezing changes with age. Pediatr. Allergy Immunol. 2013, 24, 501–508. [Google Scholar] [CrossRef] [PubMed]
- Terenzio, M.; Schiavo, G. The more, the better: The BICD family gets bigger. EMBO J. 2010, 29, 1625–1626. [Google Scholar] [CrossRef] [PubMed]
- De Queiroz Andrade, E.; Gomes, G.M.C.; Collison, A.; Grehan, J.; Murphy, V.E.; Gibson, P.; Mattes, J.; Karmaus, W. Variation of DNA Methylation in Newborns Associated with Exhaled Carbon Monoxide during Pregnancy. Int. J. Environ. Res. Public Health 2021, 18, 1597. [Google Scholar] [CrossRef]
- Liloglou, T.; Walters, M.; Maloney, P.; Youngson, J.; Field, J.K. A T2517C polymorphism in the GSTM4 gene is associated with risk of developing lung cancer. Lung Cancer 2002, 37, 143–146. [Google Scholar] [CrossRef] [PubMed]
- Bojesen, S.E.; Timpson, N.; Relton, C.; Davey Smith, G.; Nordestgaard, B.G. AHRR (cg05575921) hypomethylation marks smoking behaviour, morbidity and mortality. Thorax 2017, 72, 646–653. [Google Scholar] [CrossRef]
- Cosin-Tomas, M.; Cilleros-Portet, A.; Aguilar-Lacasaña, S.; Fernandez-Jimenez, N.; Bustamante, M. Prenatal Maternal Smoke, DNA Methylation, and Multi-omics of Tissues and Child Health. Curr. Environ. Health Rep. 2022, 9, 502–512. [Google Scholar] [CrossRef] [PubMed]
- Mandic-Maravic, V.; Ćorić, V.; Mitkovic-Voncina, M.; Djordjevic, M.; Savić-Radojević, A.; Ercegovac, M.; Matić, M.; Simić, T.; Lečić-Toševski, D.; Tošković, O.; et al. Interaction of glutathione S-transferase polymorphisms and tobacco smoking during pregnancy in susceptibility to autism spectrum disorders. Sci. Rep. 2019, 9, 3206. [Google Scholar] [CrossRef]
- de Jong, K.; Boezen, H.M.; Hacken, N.H.; Postma, D.S.; Vonk, J.M. GST-omega genes interact with environmental tobacco smoke on adult level of lung function. Respir. Res. 2013, 14, 83. [Google Scholar] [CrossRef]
- Grazuleviciene, R.; Danileviciute, A.; Nadisauskiene, R.; Vencloviene, J. Maternal smoking, GSTM1 and GSTT1 polymorphism and susceptibility to adverse pregnancy outcomes. Int. J. Environ. Res. Public Health 2009, 6, 1282–1297. [Google Scholar] [CrossRef]
- Witschi, H.; Espiritu, I.; Maronpot, R.R.; Pinkerton, K.E.; Jones, A.D. The carcinogenic potential of the gas phase of environmental tobacco smoke. Carcinogenesis 1997, 18, 2035–2042. [Google Scholar] [CrossRef]
- Låg, M.; Øvrevik, J.; Refsnes, M.; Holme, J.A. Potential role of polycyclic aromatic hydrocarbons in air pollution-induced non-malignant respiratory diseases. Respir. Res. 2020, 21, 299. [Google Scholar] [CrossRef] [PubMed]
- Raijmakers, M.T.M.; Steegers, E.A.P.; Peters, W.H.M. Glutathione S-transferases and thiol concentrations in embryonic and early fetal tissues. Hum. Reprod. 2001, 16, 2445–2450. [Google Scholar] [CrossRef] [PubMed]
- Sheehan, D.; Meade, G.; Foley, V.M.; Dowd, C.A. Structure, function and evolution of glutathione transferases: Implications for classification of non-mammalian members of an ancient enzyme superfamily. Biochem. J. 2001, 360, 1–16. [Google Scholar] [CrossRef] [PubMed]


| Block of LD and GST Gene | GST SNP Variants |
|---|---|
| Block 1 (GSTM4, GSTM2) | rs506008, rs638820 |
| Block 2 (GSTM2) | rs574344, rs12024479 |
| Block 3 (GSTM5) | rs12736389, rs929166 |
| Block 4 (GSTM5) | rs3768490, rs11807 |
| Block 5 (GSTM3) | rs1537234, rs1537236, rs7483, rs10735234 |
| GSTP1 * | rs1695 |
| Males | Females | |||||
|---|---|---|---|---|---|---|
| Total Cohort (N = 786) | Analyzed Samples (n = 251) | p Value | Total Cohort (N = 750) | Analyzed Samples (n = 242) | p Value | |
| Maternal age (years) | (N = 609) 29.6 (0.32) | (n = 227) 29.5 (0.26) | 0.14 | (N = 584) 29.6 (0.33) | (n = 207) 29.5 (0.25) | 0.12 |
| Maternal BMI (kg/m2) | (N = 226) 23.7 (3.7) | (n = 198) 23.7 (3.6) | 0.93 | (N = 242) 24.6 (4.2) | (n = 200) 23.8(5.3) | 0.69 |
| Socioeconomic status: High Medium Low | (N = 684) 61 (8.9%) 517 (75.6%) 106 (15.5%) | (n = 247) 21 (8.5%) 187 (75.7%) 39 (15.8%) | 0.06 | (N = 673) 50 (7.4%) 520 (77.3%) 103 (15.3%) | (n = 240) 22 (9.2%) 189 (78.8%) 29 (12%) | 0.26 |
| MSP (yes vs. no) | (N = 778) 25.2% | (n = 251) 19.5% | 0.06 | (N = 743) 25.3% | (n = 242) 19.4% | 0.06 |
| Serum nicotine (nM) | (N = 288) 0.982 (2.403) | (n = 251) 0.931 (2.440) | 0.71 | (N = 295) 0.904 (2.251) | (n = 242) 0.842 (1.813) | 0.27 |
| Serum cotinine (nM) | (N = 288) 5.135 (8.836) | (n = 251) 4.994 (9.148) | 0.71 | (N = 295) 5.041 (9.456) | (n = 242) 4.354 (8.356) | 0.40 |
| Serum norcotinine (nM) | (N = 288) 0.038 (0.109) | (n = 251) 0.038 (0.105) | 0.90 | (N = 288) 0.043 (0.116) | (n = 242) 0.036 (0.111) | 0.48 |
| Serum hydroxycotinine (nM) | (N = 288) 0.190 (0.266) | (n = 251) 0.190 (0.234) | 0.95 | (N = 288) 0.191 (0.450) | (n = 242) 0.179 (0.296) | 0.27 |
| Males | Females | |||||
|---|---|---|---|---|---|---|
| Total Cohort (N = 786) | Analyzed Samples (n = 251) | p Value | Total Cohort (N = 750) | Analyzed Samples (n = 242) | p Value | |
| rs506008 AA AG GG | (N = 576) 10 (1.7%) 134 (23.3%) 432 (75%) | (n = 233) 3 (1.3%) 53 (22.7%) 177 (76%) | 0.73 * | (N = 580) 14 (2.4%) 146 (25.2%) 420 (72.4%) | (n = 227) 4 (1.8%) 50 (22%) 173 (76.2%) | 0.20 * |
| rs574344 AA AT TT | (N = 579) 2 (0.4%) 79 (13.6%) 498 (86%) | (n = 233) 1 (0.4%) 28 (12%) 204 (87.6%) | 0.49 * | (N = 586) 4 (0.7%) 86 (14.7%) 496 (84.6%) | (n = 229) 4 (1.8%) 26 (11.3%) 199 (86.9%) | 0.34 * |
| rs12736389 CC CG GG | (N = 576) 16 (2.8%) 162 (28.2%) 398 (69%) | (n = 230) 2 (0.9%) 69 (30%) 159 (69.1%) | 0.97 * | (N = 576) 17 (3%) 166 (28.8%) 393 (68.2%) | (n = 228) 9 (4%) 69 (30.2%) 150 (65.8%) | 0.43 * |
| rs3768490 AA AC CC | (N = 575) 64 (11.1%) 245 (42.6%) 266 (46.3%) | (n = 230) 26 (11.3%) 110 (47.8%) 94 (40.9%) | 0.23 | (N = 579) 56 (9.7%) 267 (46.1%) 256 (44.2%) | (n = 224) 19 (8.5%) 104 (46.4%) 101 (45.1%) | 0.82 |
| rs1537234 AA AC CC | (N = 575) 102 (17.7%) 275 (47.8%) 198 (34.5%) | (n = 231) 41 (17.8%) 125 (54.1%) 65 (28.1%) | 0.10 | (N = 574) 101 (17.6%) 275 (47.9%) 198 (34.5%) | (n = 225) 41 (18.2%) 109 (48.4%) 75 (33.4%) | 0.93 |
| rs1695 AA AG GG | (N = 573) 253 (44.2%) 238 (41.5%) 82 (14.3%) | (n = 234) 95 (40.6%) 112 (47.9%) 27 (11.5%) | 0.12 | (N = 581) 222 (38.2%) 271 (46.6%) 88 (15.2%) | (n = 226) 90 (39.8%) 105 (46.5%) 31 (13.7%) | 0.79 |
| CpG Site and Associated Gene Name | GST SNPs Representing Different Genes | Serum Norcotinine | GST SNP | Norcotinine x GST SNP | Serum Hydroxycotinine | GST SNP | Hydroxycotinine x GST SNP | |||||||
|---|---|---|---|---|---|---|---|---|---|---|---|---|---|---|
| Effect Size (β) | p | Effect Size (β) | p | Effect Size (β) | p | Effect Size (β) | p | Effect Size (β) | p | Effect Size (β) | p | |||
| Males | ||||||||||||||
| cg18473733 KLF2 | rs574344 | AT/AA * | - | - | - | - | - | - | −0.040 | 0.0001 | −0.116 | 0.08 | 0.08 | 0.003 |
| cg25949550 CNTNAP2 | AT/AA * | - | - | - | - | - | - | −0.048 | 0.01 | 0.279 | 0.05 | −0.124 | 0.03 | |
| cg09935388 GFI1 | rs12736389 | CG/CC * | −0.099 | 0.02 | 0.345 | 0.09 | −0.183 | 0.03 | - | - | - | - | - | - |
| cg11647108 ANXA11 | rs1695 | AA | - | - | - | - | - | - | 0.473 | 0.0001 | 0.436 | 0.06 | −0.401 | 0.001 |
| AG | - | - | - | - | - | - | 0.473 | 0.0001 | 0.579 | 0.01 | −0.415 | 0.001 | ||
| cg01952185 TIFAB | AA | - | - | - | - | - | - | 0.192 | 0.0008 | 0.092 | 0.42 | −0.129 | 0.03 | |
| AG | - | - | - | - | - | - | 0.192 | 0.0008 | 0.216 | 0.05 | −0.165 | 0.006 | ||
| Females | ||||||||||||||
| cg12160087 CCDC64 | rs506008 | AG/AA | - | - | - | - | - | - | −0.046 | 0.0001 | −0.090 | 0.05 | 0.056 | 0.007 |
| cg18473733 KLF2 | AG/AA | −0.031 | 0.03 | 0.130 | 0.05 | −0.070 | 0.02 | - | - | - | - | - | - | |
| cg12160087 CCDC64 | rs1537234 | AA | - | - | - | - | - | - | −0.037 | 0.03 | −0.180 | 0.02 | 0.076 | 0.02 |
| AC | - | - | - | - | - | - | −0.037 | 0.03 | 0.024 | 0.60 | −0.009 | 0.64 | ||
| CpG Site and Associated Gene Name | GST SNPs Representing Different Genes | Serum Norcotinine | Serum Hydroxycotinine | ||||||
|---|---|---|---|---|---|---|---|---|---|
| without GST Genes R2 | with GST Genes as Covariate R2 | Interaction of GST and Norcotinine R2 | Increase in R2 # | without GST Genes R2 | with GST Genes as Covariate R2 | Interaction of GST and Hydroxycotinine R2 | Increase in R2 # | ||
| Males | |||||||||
| cg18473733 (KLF2 gene) | rs574344 | - | - | - | - | 0.502 | 0.505 | 0.532 | 5.98% |
| cg25949550 CNTNAP2 | - | - | - | - | 0.309 | 0.311 | 0.332 | 7.44% | |
| cg09935388 (GFI1 gene) | rs12736389 | 0.1688 | 0.1689 | 0.196 | 16.11% | - | - | - | - |
| cg11647108 (ANXA11 gene) | rs1695 | - | - | - | - | 0.182 | 0.191 | 0.254 | 39.56% |
| cg01952185 (TIFAB gene) | - | - | - | - | 0.190 | 0.200 | 0.241 | 26.84% | |
| Females | |||||||||
| cg12160087 (CCDC64 gene) | rs506008 | - | - | - | - | 0.1611 | 0.1612 | 0.201 | 24.77% |
| cg18473733 KLF2 gene) | 0.4362 | 0.4633 | 0.483 | 10.73% | - | - | - | - | |
| cg12160087 CCDC64 gene) | rs1537234 | - | - | - | - | 0.167 | 0.169 | 0.213 | 27.54% |
Disclaimer/Publisher’s Note: The statements, opinions and data contained in all publications are solely those of the individual author(s) and contributor(s) and not of MDPI and/or the editor(s). MDPI and/or the editor(s) disclaim responsibility for any injury to people or property resulting from any ideas, methods, instructions or products referred to in the content. |
© 2023 by the authors. Licensee MDPI, Basel, Switzerland. This article is an open access article distributed under the terms and conditions of the Creative Commons Attribution (CC BY) license (https://creativecommons.org/licenses/by/4.0/).
Share and Cite
Kheirkhah Rahimabad, P.; Jones, A.D.; Zhang, H.; Chen, S.; Jiang, Y.; Ewart, S.; Holloway, J.W.; Arshad, H.; Eslamimehr, S.; Bruce, R.; et al. Polymorphisms in Glutathione S-Transferase (GST) Genes Modify the Effect of Exposure to Maternal Smoking Metabolites in Pregnancy and Offspring DNA Methylation. Genes 2023, 14, 1644. https://doi.org/10.3390/genes14081644
Kheirkhah Rahimabad P, Jones AD, Zhang H, Chen S, Jiang Y, Ewart S, Holloway JW, Arshad H, Eslamimehr S, Bruce R, et al. Polymorphisms in Glutathione S-Transferase (GST) Genes Modify the Effect of Exposure to Maternal Smoking Metabolites in Pregnancy and Offspring DNA Methylation. Genes. 2023; 14(8):1644. https://doi.org/10.3390/genes14081644
Chicago/Turabian StyleKheirkhah Rahimabad, Parnian, A. Daniel Jones, Hongmei Zhang, Su Chen, Yu Jiang, Susan Ewart, John W. Holloway, Hasan Arshad, Shakiba Eslamimehr, Robert Bruce, and et al. 2023. "Polymorphisms in Glutathione S-Transferase (GST) Genes Modify the Effect of Exposure to Maternal Smoking Metabolites in Pregnancy and Offspring DNA Methylation" Genes 14, no. 8: 1644. https://doi.org/10.3390/genes14081644
APA StyleKheirkhah Rahimabad, P., Jones, A. D., Zhang, H., Chen, S., Jiang, Y., Ewart, S., Holloway, J. W., Arshad, H., Eslamimehr, S., Bruce, R., & Karmaus, W. (2023). Polymorphisms in Glutathione S-Transferase (GST) Genes Modify the Effect of Exposure to Maternal Smoking Metabolites in Pregnancy and Offspring DNA Methylation. Genes, 14(8), 1644. https://doi.org/10.3390/genes14081644

