Sign in to use this feature.

Years

Between: -

Subjects

remove_circle_outline
remove_circle_outline
remove_circle_outline
remove_circle_outline
remove_circle_outline
remove_circle_outline
remove_circle_outline
remove_circle_outline
remove_circle_outline

Journals

Article Types

Countries / Regions

remove_circle_outline
remove_circle_outline
remove_circle_outline

Search Results (297)

Search Parameters:
Keywords = DFT and TDDFT calculations

Order results
Result details
Results per page
Select all
Export citation of selected articles as:
21 pages, 2248 KB  
Article
What a Difference a Water Molecule Makes—A Combined Experimental/Theoretical Study on 2,3,5-triphenyl-2H-tetrazol-3-ium Chloride Hydrate in Solution and the Solid-State
by Rim Bechaieb, Maha F. El-Tohamy, Haitham AlRabiah, Gamal A. E. Mostafa, Bruno Poti e Silva, Maryam Niazi and Axel Klein
Molecules 2026, 31(1), 138; https://doi.org/10.3390/molecules31010138 - 31 Dec 2025
Abstract
2,3,5-triphenyl-2H-tetrazol-3-ium (TPT) chloride was studied through a combination of theoretical methods and experimental data, revealing structural and physical-chemical properties of the hydrate salt, [TPT]Cl.H2O. The previously reported crystal structure was confirmed, but our study at lower T [...] Read more.
2,3,5-triphenyl-2H-tetrazol-3-ium (TPT) chloride was studied through a combination of theoretical methods and experimental data, revealing structural and physical-chemical properties of the hydrate salt, [TPT]Cl.H2O. The previously reported crystal structure was confirmed, but our study at lower T (100 K vs. 220 K) showed different positions for the two H2O molecules in the unit cell around the chlorides. One of them (Cl1) is found surrounded by the tetrazole units, which we call the “dry pocket”, in contrast to the other, Cl2, which is involved in a hydrogen bonding cluster that consists of chloride and two water molecules, referred to as the “wet pocket”. Hirshfeld surface analyses showed predominant H…H interactions, followed by C…H interactions (including C–H…Cl/O interactions), and H…Cl contacts, which represent the C–H…Cl2 hydrogen bonds. Density functional theory (DFT) and (time-dependent) TD-DFT calculations on a molecular model of the compound, benchmarking the three functionals B3LYP, CAM-B3LYP, and PBE1PBE, found excellent agreement with experimental solution data when using the CAM-B3LYP function. UV-Vis absorptions observed at 320 nm, 245 nm, and 204 nm (in MeOH solution) were quite accurately reproduced and assigned. The observed bands were assigned to mixed HOMO–n⟶LUMO+m transitions, involving in all cases the LUMO+1 for the most intense band at 245 nm. Solid-state calculations on the GGA (PBE) level of theory using the CASTEP code and including the Tkatchenko–Scheffler (TS) scheme for the description of long-range interactions gave a good match for the calculated electronic band gap in the solid-state of 3.54 eV compared with the experimental value of 3.12 eV obtained through the Tauc plot method. Full article
11 pages, 1712 KB  
Communication
UV–Vis Spectra of Gold(III) Complexes with Different Halides, Hydroxide, and Ammonia According to TD-DFT Calculations
by Olga I. Logacheva, Oleg A. Pimenov and George A. Gamov
Chemistry 2026, 8(1), 3; https://doi.org/10.3390/chemistry8010003 - 29 Dec 2025
Abstract
This paper presents accurate TD-DFT calculations for several mixed-ligand gold(III) complexes with ligands including Cl, Br, I, OH, and NH3. The calculated results show excellent agreement with available experimental data. The spectral shapes [...] Read more.
This paper presents accurate TD-DFT calculations for several mixed-ligand gold(III) complexes with ligands including Cl, Br, I, OH, and NH3. The calculated results show excellent agreement with available experimental data. The spectral shapes are determined by charge transfer transitions, which are systematically influenced by the ligand’s position in the spectrochemical series. The main vertical electron transitions and the molecular orbitals involved are identified and discussed. Furthermore, the results indicate that the iodide-containing gold(III) complexes, [AuCl2I2] and [AuI(OH)3], are viable candidates for practical synthesis. Full article
Show Figures

Graphical abstract

16 pages, 14920 KB  
Article
Electronic and Optical Properties of Transition-Metal-Modified BiFeO3: A First Principles Study
by A. P. Aslla Quispe, L. C. Huamani Aslla, B. Barzola Moscoso, M. D. Clemente Arenas, P. H. Rivera and J. D. S. Guerra
Materials 2026, 19(1), 66; https://doi.org/10.3390/ma19010066 - 23 Dec 2025
Viewed by 205
Abstract
The structural, electronic, magnetic, and optical properties are explored in the G-type antiferromagnetic BiFeO3 system by replacing the Fe cation with transition metals to form the BiFe0.834X0.166O3 compound (where X = Mn, Co, or Ni) by using [...] Read more.
The structural, electronic, magnetic, and optical properties are explored in the G-type antiferromagnetic BiFeO3 system by replacing the Fe cation with transition metals to form the BiFe0.834X0.166O3 compound (where X = Mn, Co, or Ni) by using first-principles DFT+U and TDDFT calculations. All the optimized structures preserve the rhombohedral (R3c) space group, showing moderate changes in the FeO6 octahedral distortions, lattice parameters, and Fe–O–Fe bond angles. Pristine G-type antiferromagnetic (AFM-G) BiFeO3 is a typical semiconductor material with a calculated bandgap energy Eg=1.99 eV. However, the inclusion of Ni, Co, and Mn at the Fe site introduces additional 3d states near the Fermi level, causing metallic behavior in every case. The local density of states (LDOS), density of states (DOS), and total magnetization results show that the inclusion of Ni, Co, and Mn promotes a transition from antiferromagnetic (AFM) to ferrimagnetic behavior in the modified BiFe0.834X0.166O3 compositions. On the other hand, in the visible spectral region, the time-dependent density functional theory (TDDFT) revealed that the pristine material has refractive index n(ω) values between 2.8 and 3.6, showing that the presence of Co and Ni enhances the extinction and absorption coefficients in both visible and ultraviolet regions, whereas the inclusion of Mn produces less significant effects. These results demonstrate that controlled substitution at the Fe site with transition metals simultaneously modifies the structural, electronic, magnetic, and optical properties of the BiFeO3 system, offering promising potential for applications in electronic devices with multifunctional properties. Full article
(This article belongs to the Section Materials Simulation and Design)
Show Figures

Figure 1

12 pages, 2738 KB  
Article
Connectivity Effect on Electronic Properties of Azulene–Tetraazapyrene Triads
by Xinyi Liu, Souren Majani, Jian Zhang, Simon M. Langenegger, Silvio Decurtins, Ulrich Aschauer and Shi-Xia Liu
Molecules 2026, 31(1), 2; https://doi.org/10.3390/molecules31010002 - 19 Dec 2025
Viewed by 214
Abstract
Azulene-based chromophores are of growing interest due to their unique electronic structures and potential applications as pH-responsive optical materials. In this study, a series of azulene–1,3,6,8-tetraazapyrene (TAP) triads were successfully synthesized and characterized to systematically explore how connectivity between the TAP and azulene [...] Read more.
Azulene-based chromophores are of growing interest due to their unique electronic structures and potential applications as pH-responsive optical materials. In this study, a series of azulene–1,3,6,8-tetraazapyrene (TAP) triads were successfully synthesized and characterized to systematically explore how connectivity between the TAP and azulene units influences their optical and redox properties. UV-Vis absorption spectroscopy and cyclic voltammetry measurements clearly show that the electronic properties depend heavily on the connectivity pattern, as the effective π-conjugation and molecular planarity vary considerably in triads. Remarkably, triads A22 and A26, in which the TAP core is directly connected through the electron-rich five-membered ring, exhibit enhanced π-conjugation and pronounced color changes upon protonation. In contrast, A66, linked via the electron-deficient seven-membered ring, reveals weaker π-conjugation and less pronounced pH-responsiveness. These experimental findings are further supported by DFT calculations. This comprehensive structure–property relationship study provides valuable insights for the rational design of advanced optoelectronic and stimuli-responsive materials. Full article
(This article belongs to the Section Photochemistry)
Show Figures

Graphical abstract

23 pages, 5327 KB  
Article
Holography Meets Theranostics: DFT/TDDFT Insights into Ru–NO@M20 (M = Au, Ag) and Ru–NO@Au10Ag10(Pc) Nanohybrids as Phase-Switchable Molecular Devices
by Athanassios Tsipis and Niq Catevas
Int. J. Mol. Sci. 2025, 26(24), 12113; https://doi.org/10.3390/ijms262412113 - 16 Dec 2025
Viewed by 292
Abstract
Photo-induced bond linkage isomerization (BLI) in metal–nitrosyl compounds provides a molecular mechanism for controlling light-induced changes in refractive index and phase modulation. In this study, the ground and metastable states of a series of Ru–NO complexes and their Au20, Ag20 [...] Read more.
Photo-induced bond linkage isomerization (BLI) in metal–nitrosyl compounds provides a molecular mechanism for controlling light-induced changes in refractive index and phase modulation. In this study, the ground and metastable states of a series of Ru–NO complexes and their Au20, Ag20, and mixed Au10Ag10 nanocluster hybrids were investigated by DFT and TDDFT calculations. The photochemical rearrangement between the linear, side-on, and O-bound forms of Ru–NO was examined together with their electronic transitions, oscillator strengths, and characteristic vibrational shifts. From these data, parameters describing radiative efficiency, non-radiative coupling, and metastable-state stability were derived to identify compounds with favorable properties for holography and photonic applications. Particular attention was given to the [(Salen)Ru(NO)(HS)@Au20] complex, which shows a strong red-to-NIR response and balanced stability among its linkage isomers. Frequency-dependent polarizabilities α(ω) were calculated for its ground and metastable states and compared with those of the classical holographic material [Fe(CN)5NO]2− (nitroprusside). The refractive-index changes derived from α(ω) reveal that the Au20–salen hybrid produces a much larger and more strongly wavelength-dependent Δn(λ) than nitroprusside. At 635 nm, the modulation reaches approximately 0.06 for the hybrid, compared with 0.02 for nitroprusside. This enhancement reflects the cooperative effect of the Ru–NO chromophore and the Au20 nanocluster, which amplifies both polarizability and optical dispersion. The results demonstrate that coupling molecular photo-linkage isomerism with nanoplasmonic environments can significantly improve the performance of molecular systems for holography and optical-phase applications. Full article
Show Figures

Figure 1

18 pages, 3100 KB  
Article
PET-Driven Fluorescence Modulation in Halochromic Styryl Hemicyanine Dyes Targeting DNA Minor Groove
by Teodora Aleksandrova, Aleksandar Pashev, Sonia Ilieva, Raimundo Gargallo, Diana Cheshmedzhieva and Aleksey Vasilev
Molecules 2025, 30(23), 4607; https://doi.org/10.3390/molecules30234607 - 30 Nov 2025
Viewed by 242
Abstract
A new series of styryl hemicyanine dyes featuring substituted N-phenylpiperazine end groups was synthesized using an environmentally friendly procedure. The photophysical properties of the dyes were systematically investigated in organic solvents of varying polarity and when bound to DNA, using a combination [...] Read more.
A new series of styryl hemicyanine dyes featuring substituted N-phenylpiperazine end groups was synthesized using an environmentally friendly procedure. The photophysical properties of the dyes were systematically investigated in organic solvents of varying polarity and when bound to DNA, using a combination of spectroscopic techniques. The dyes show strong negative solvatochromism and exhibit fluorescence quenching upon DNA binding. The dyes are definitely halochromic, exhibiting pronounced fluorescent acidochromism, accompanied by a photoinduced electron transfer (PET) effect. Titration with acid of the dye–DNA complexes restores fluorescence, indicating suppression of the PET and, at the same time, rigidizing of the chemical structure. UV/VIS and fluorescence titration, circular dichroism spectroscopy, and molecular docking methods were used to investigate the interaction mode between the dyes and DNA. Density functional theory (DFT) and time-dependent density functional theory (TDDFT) quantum chemical calculations were employed in deciphering the observed spectroscopic behavior and PET-related effects. The obtained results suggest the dyes’ potential as pH-responsive fluorescent probes for nucleic acid environments. Full article
(This article belongs to the Special Issue Heterocyclic Compounds: Synthesis, Application and Theoretical Study)
Show Figures

Figure 1

26 pages, 3775 KB  
Article
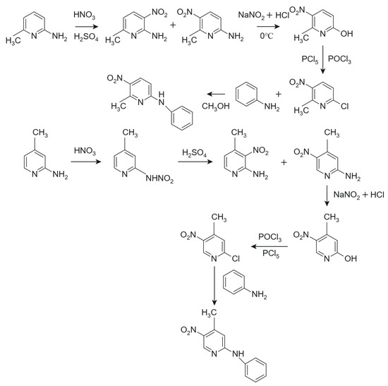
Structural and Optical Properties of New 2-Phenylamino-5-nitro-4-methylopyridine and 2-Phenylamino-5-nitro-6-methylpyridine Isomers
by Patrycja Godlewska, Jerzy Hanuza, Jan Janczak, Radosław Lisiecki, Paulina Ropuszyńska-Robak, Lucyna Dymińska and Wojciech Sąsiadek
Int. J. Mol. Sci. 2025, 26(23), 11522; https://doi.org/10.3390/ijms262311522 - 27 Nov 2025
Viewed by 267
Abstract
Two new 2-N-phenylamino-5-nitropyridine—4-methyl (2PA5N4MP) and 2-N-phenylamino-5-nitropyridine-6-methyl (2PA5N6MP) isomers were synthesized and comprehensively characterized by single-crystal X-ray diffraction, IR/Raman spectroscopy, UV–Vis absorption, and photoluminescence measurements. DFT and TD-DFT calculations were also carried out to support the experimental results. The X-ray [...] Read more.
Two new 2-N-phenylamino-5-nitropyridine—4-methyl (2PA5N4MP) and 2-N-phenylamino-5-nitropyridine-6-methyl (2PA5N6MP) isomers were synthesized and comprehensively characterized by single-crystal X-ray diffraction, IR/Raman spectroscopy, UV–Vis absorption, and photoluminescence measurements. DFT and TD-DFT calculations were also carried out to support the experimental results. The X-ray analysis revealed significant structural differences: 2PA5N6MP adopted an almost planar conformation (pyridine–phenyl dihedral ~3°), whereas 2PA5N4MP was markedly twisted (~45°), leading to distinct hydrogen-bonding motifs (N–H⋯N dimers vs. N–H⋯O interactions). These geometric disparities influenced their electronic properties: 2PA5N6MP exhibited a narrower HOMO–LUMO gap (≈2.45 eV) than 2PA5N4MP (≈3.77 eV), which was consistent with a pronounced bathochromic shift in absorption. Both isomers showed broad UV–Vis absorption (200–520 nm), but the 6-methyl derivative featured an additional low-energy charge–transfer band around 460 nm (with a maximum at ~500 nm) compared to ~355 nm in the 4-methyl isomer. Likewise, their photoluminescence spectra differed as follows: 2PA5N4MP emitted in the violet–blue region (bands at ~415 and 450 nm), whereas 2PA5N6MP had an extra orange band peaking at ~560 nm (in addition to a ~450 nm band). The red-shifted 560 nm emission of 2PA5N6MP was attributed to intersystem crossing into triplet states, in line with TD-DFT predictions. Furthermore, both isomers readily formed complexes with Eu3+ ions, and the Eu3+ chelates exhibited the characteristic red f–f emissions (5D07F transitions ~590–700 nm), demonstrating efficient sensitization of Eu3+ luminescence. Overall, the position of the methyl substituent strongly modulates the compounds’ optical behavior, and these isomers show promise as tunable organic dyes and effective ligands for luminescent lanthanide complexes. Full article
(This article belongs to the Section Biochemistry)
Show Figures

Graphical abstract

16 pages, 2349 KB  
Article
Optical and Vibrational Properties of AlN Nanoparticles with Different Geometries: A DFT and TD-DFT Study
by Fotios I. Michos, Christina Papaspiropoulou, Nikos Aravantinos-Zafiris and Michail M. Sigalas
Crystals 2025, 15(12), 1003; https://doi.org/10.3390/cryst15121003 - 21 Nov 2025
Viewed by 379
Abstract
In this work, by using density functional theory (DFT) and time-dependent DFT (TD-DFT) a comprehensive theoretical study on the structural, electronic, optical, and vibrational properties of aluminum nitride (AlxNx) nanoparticles (NPs) is presented. More than thirty nanostructures were constructed [...] Read more.
In this work, by using density functional theory (DFT) and time-dependent DFT (TD-DFT) a comprehensive theoretical study on the structural, electronic, optical, and vibrational properties of aluminum nitride (AlxNx) nanoparticles (NPs) is presented. More than thirty nanostructures were constructed based on an initial cubic-like Al4N4 building block, including one-dimensional (1D), two-dimensional (2D), and three-dimensional (3D) configurations, as well as asymmetric and defected geometries (also known as exotic geometries). The absorption spectrum was evaluated using the CAM-B3LYP functional while geometry optimizations and vibrational frequencies were performed using the PBE functional. All calculations were performed using the triple-ζ valence plus polarization basis set def2-TZVP. The optical spectra revealed strong geometry-dependent modulation of absorption, with red-shifted and broadened UV–Vis features emerging in elongated and low-symmetry geometries. IR analysis indicates a growing number and intensity of vibrational modes with increasing dimensionality, particularly in the 300–470 cm−1 range, which corresponds to Al–N stretching and bending vibrations. Testing different exchange–correlation functionals showed that CAM-B3LYP is a good choice for excited-state calculations, matching well with the EOM-CCSD functional, which, while offering higher precision, imposes significantly higher computational requirements. Overall, the results demonstrate that structural variation in AlxNx NPs leads to tunable optoelectronic and spectroscopic behavior. These findings and calculations highlight the potential of AlN-based nanomaterials for applications in ultraviolet photonics, sensors, and future nanoscale optoelectronic devices. Full article
(This article belongs to the Section Inorganic Crystalline Materials)
Show Figures

Figure 1

17 pages, 3404 KB  
Article
Photoresponsive Ru Complex–Gold Nanoparticle Hybrids for Theranostics: A Theoretical Study of Electronic Structure and Luminescence-Based Detection
by Niq Catevas and Athanassios Tsipis
Molecules 2025, 30(22), 4432; https://doi.org/10.3390/molecules30224432 - 16 Nov 2025
Viewed by 417
Abstract
Photoactivatable nitric oxide donors (photoNORMs) are promising agents for controlled NO release and real-time optical tracking in biomedical theranostics. Here, we report a comprehensive density functional theory (DFT) and time-dependent DFT (TDDFT) study on a series of hybrid ruthenium–gold nanocluster systems of the [...] Read more.
Photoactivatable nitric oxide donors (photoNORMs) are promising agents for controlled NO release and real-time optical tracking in biomedical theranostics. Here, we report a comprehensive density functional theory (DFT) and time-dependent DFT (TDDFT) study on a series of hybrid ruthenium–gold nanocluster systems of the general formula [(L)Ru(NO)(SH)@Au20], where L = salen, bpb, porphyrin, or phthalocyanine. Structural and bonding analyses reveal that the Ru–NO bond maintains a formal {RuNO}6 configuration with pronounced Ru → π*(NO) backbonding, leading to partial reduction of the NO ligand and an elongated N–O bond. Natural Bond Orbital (NBO), Natural Energy Decomposition Analysis (NEDA), and Extended Transition State–Natural Orbitals for Chemical Valence (ETS–NOCV) analyses confirm that Ru–NO bonding is dominated by charge-transfer and polarization components, while Ru–S and Au–S linkages exhibit a delocalized, donor–acceptor character coupling the molecular chromophore with the metallic cluster. TDDFT results reproduce visible–near-infrared (NIR) absorption features arising from mixed metal-to-ligand and cluster-mediated charge-transfer transitions. The calculated zero–zero transition and reorganization energies predict NIR-II emission (1.8–3.8 μm), a region of high biomedical transparency, making these systems ideal candidates for luminescence-based NO sensing and therapy. This study establishes fundamental design principles for next-generation Ru-based photoNORMs integrated with plasmonic gold nanoclusters, highlighting their potential as multifunctional, optically trackable theranostic platforms. Full article
Show Figures

Graphical abstract

18 pages, 3619 KB  
Article
Symmetry-Guided Theoretical Study on Photoexcitation Characteristics of CdSe Quantum Dots Hybridized with Graphene and BN
by Yinuo Du, Zeng Du, Jianjun Sun, Junping Wang and Shuo Cao
Symmetry 2025, 17(11), 1972; https://doi.org/10.3390/sym17111972 - 15 Nov 2025
Viewed by 353
Abstract
This study employs density functional theory (DFT) and time-dependent DFT (TD-DFT) to systematically investigate the ground- and excited-state properties of hybrid systems composed of CdSe quantum dots (QDs) with graphene and boron nitride (BN). Through Multiwfn wavefunction analysis, we calculated the highest occupied [...] Read more.
This study employs density functional theory (DFT) and time-dependent DFT (TD-DFT) to systematically investigate the ground- and excited-state properties of hybrid systems composed of CdSe quantum dots (QDs) with graphene and boron nitride (BN). Through Multiwfn wavefunction analysis, we calculated the highest occupied molecular orbital–lowest unoccupied molecular orbital (HOMO–LUMO) gaps and density of states (DOS), revealing distinct symmetry-dependent electronic characteristics. The HOMO–LUMO gap analysis demonstrates graphene’s superior charge transfer capability compared to BN, attributed to its higher structural symmetry enabling more efficient orbital overlap. DOS analysis further confirms the enhanced electrical conductivity in symmetry-matched graphene hybrids. The independent gradient model (IGM) and reduced density gradient (RDG) analyses reveal fundamentally different interfacial interaction patterns: the graphene hybrid exhibits uniform van der Waals interactions, consistent with its hexagonal symmetry, while the BN system shows heterogeneous interactions with localized hydrogen bonding due to symmetry reduction from heteroatomic composition. Binding energy calculations indicate greater stability in the graphene-based hybrid, reflecting optimal symmetry matching at the interface. UV–Vis spectra analysis shows that graphene dominates the optical response in its hybrid system, maintaining its symmetric spectral characteristics, while CdSe QDs govern the BN hybrid’s absorption. Electrostatic potential distributions remain essentially unchanged post-hybridization, preserving the intrinsic charge symmetry of components. Two-photon absorption (TPA) characterization reveals significant nonlinear optical properties in CdSe QDs, particularly at the first excited state. This work provides the first systematic comparison of charge transfer dynamics in CdSe QDs hybridized with graphene versus BN, demonstrating how material symmetry governs optoelectronic modulation mechanisms. The findings establish symmetry–property relationships that inform the design of low-dimensional hybrid materials for photonic applications. Full article
(This article belongs to the Topic Advances in Computational Materials Sciences)
Show Figures

Figure 1

16 pages, 2496 KB  
Article
Introduction of a 4-Hexyl-2-thienyl Substituent on Pyridine Rings as a Route for Brightly Luminescent 1,3-Di-(2-pyridyl)benzene Platinum(II) Complexes
by Alessia Colombo, Claudia Dragonetti, Francesco Fagnani, Dominique Roberto, Simona Fantacci and Daniele Marinotto
Molecules 2025, 30(22), 4410; https://doi.org/10.3390/molecules30224410 - 14 Nov 2025
Viewed by 463
Abstract
The synthesis and characterization of two new complexes, namely Pt(1,3-bis(4-(4-hexyl-2-thienyl)-pyridin-2-yl)-5-mesitylbenzene)Cl and Pt(1,3-bis(4-(4-hexyl-2-thienyl)-pyridin-2-yl)-5-(2-thienyl)benzene)Cl, are reported. Both exhibit luminescence quantum yields approaching unity (Φlum = 0.96–0.99) in the green region of the visible spectrum (534–554 nm) in diluted degassed dichloromethane solution. Similarly to other N^C^N [...] Read more.
The synthesis and characterization of two new complexes, namely Pt(1,3-bis(4-(4-hexyl-2-thienyl)-pyridin-2-yl)-5-mesitylbenzene)Cl and Pt(1,3-bis(4-(4-hexyl-2-thienyl)-pyridin-2-yl)-5-(2-thienyl)benzene)Cl, are reported. Both exhibit luminescence quantum yields approaching unity (Φlum = 0.96–0.99) in the green region of the visible spectrum (534–554 nm) in diluted degassed dichloromethane solution. Similarly to other N^C^N platinum(II) complexes, a broad emission band grows in the deep red region (738–752 nm) upon increasing the concentration, due to the creation of bi-molecular emissive excited states. Interestingly, it appears that the introduction of a 2-thienyl group on the pyridine rings is a route to maintain excellent quantum yields even in concentrated solution. In order to have an insight into the electronic properties of the novel compounds, density functional theory (DFT) and time-dependent (TD)DFT approaches were employed to calculate the molecular geometry, the ground state, the electronic structure and the excited electronic states of the complexes, both as a monomers and dimers in solution. Full article
Show Figures

Figure 1

8 pages, 3597 KB  
Proceeding Paper
The Sers Analysis of the Interaction Between Ag8 Cluster and Adenine for Optical Sensor Applications Using DFT Calculations
by Tuong Lam Vo Pham, My Phuong Nguyen Thi, Huy Phu Chu, Thuy Duong Nguyen Thi, Nhu Y Duong Thi, Quoc Dat Ho and Van Hong Nguyen
Chem. Proc. 2025, 18(1), 18; https://doi.org/10.3390/ecsoc-29-26853 - 12 Nov 2025
Viewed by 127
Abstract
The Raman spectrum of adenine and the surface-enhanced Raman spectrum (SERS) upon adsorption of adenine on an Ag8 cluster in aqueous solution were calculated using the DFT/PBE0/Def2-TZVP method with the IEF-PCM solvent model. TD-DFT calculations were performed to determine the excitation wavelengths [...] Read more.
The Raman spectrum of adenine and the surface-enhanced Raman spectrum (SERS) upon adsorption of adenine on an Ag8 cluster in aqueous solution were calculated using the DFT/PBE0/Def2-TZVP method with the IEF-PCM solvent model. TD-DFT calculations were performed to determine the excitation wavelengths of adenine and the Ag8•A complex, thereby selecting excitation wavelengths compatible with available experimental Raman spectroscopy instruments. In addition, excitation wavelengths with the maximum oscillator strength were chosen to propose characteristic spectra for experimental studies. The calculated Raman activities were converted into Raman scattering intensities, and the enhancement factor EF_int was determined. The results show that an excitation wavelength of 325 nm gives the strongest and most distinct SERS signal, 532 nm provides stable signals suitable for commercial instruments, while 442 nm significantly reduces several characteristic vibrational bands. Moreover, the Ag8 cluster exhibits excellent enhancement of the Raman signal for adenine. This study provides a basis for selecting excitation wavelengths and characteristic vibrational modes to identify adenine, supporting the development of label-free biosensors based on silver clusters. Full article
Show Figures

Figure 1

20 pages, 4378 KB  
Article
Structural and Magneto-Optical Study on the Tetrahedrally Configured [CoCl2(1-allylimidazole)2] and Molecular Docking to Hypoxia-Inducible Factor-1α
by Hela Ferjani, Bruno Poti e Silva, Faizul Azam, Yasmeen G. Abou El-Reash, Tarek Yousef, Nahal Rouzbeh, Leonhard Rochels, Sabrina Disch, Sascha A. Schäfer and Axel Klein
Inorganics 2025, 13(11), 344; https://doi.org/10.3390/inorganics13110344 - 23 Oct 2025
Viewed by 671
Abstract
The Co(II) complex [CoCl2(AImd)2] (AImd = 1-allylimidazole) was reinvestigated using a combination of experimental and theoretical methods. The previously reported crystal structure was redetermined and Hirshfeld surface analysis and enrichment ratios were added showing that intermolecular H⋯Cl and π⋯π [...] Read more.
The Co(II) complex [CoCl2(AImd)2] (AImd = 1-allylimidazole) was reinvestigated using a combination of experimental and theoretical methods. The previously reported crystal structure was redetermined and Hirshfeld surface analysis and enrichment ratios were added showing that intermolecular H⋯Cl and π⋯π interactions are the primary forces in the crystal structure, while H⋯H interactions dominate the surface of the molecule, making it rather hydrophobic in keeping with a low solubility in water. A Quantum Theory of Atoms in Molecules (QTAIM)/Non-Covalent Interactions (NCI)-Reduced Density Gradient (RDG) analysis on a dimeric model showed that the energies V(r) of the classical H⋯Cl hydrogen bonds range from −3.64 kcal/mol to −0.75 kcal/mol and were augmented by hydrophobic H⋯C interactions of >1 kcal/mol. T-dependent magnetization measurements reveal paramagnetic behavior with an effective magnetic moment of µeff = 4.66(2) µB. UV-vis absorption spectra in solution showed intense absorptions peaking at 240 nm, corresponding to intraligand π→π* transitions within the 1-allylimidazole moiety and a structured absorption around 600 nm, which is attributed to the spin-allowed d→d transitions of the high-spin Co(II) d7 ion in a distorted tetrahedral geometry. Both assignments were confirmed through TD-DFT calculations on the electronic transitions and agree with the DFT-calculated compositions of the frontier molecular orbitals. Molecular docking to hypoxia-inducible factor-1 alpha (HIF-1α) gave a docking score of −5.48 kcal/mol and showed hydrophobic⋯hydrophobic π-stacking interactions with the Ile233, Leu243, Val338, and Leu262 residues. A higher docking score of −6.11 kcal/mol and predominant hydrophobic⋯hydrophobic interactions with Trp296, His279, and Ile281 were found for HIF-1 inhibiting factor (FIH-1). Full article
Show Figures

Figure 1

20 pages, 3217 KB  
Article
Computational Analysis of Electron-Donating and Withdrawing Effects on Asymmetric Viologens for Enhanced Electrochromic Performance
by Gulzat Nuroldayeva and Mannix P. Balanay
Int. J. Mol. Sci. 2025, 26(20), 10137; https://doi.org/10.3390/ijms262010137 - 18 Oct 2025
Viewed by 632
Abstract
Viologens are promising candidates for next-generation electrochromic devices due to their reversible color changes, low operating voltages, and structural tunability. However, their practical performance is often constrained by limited color range, stability issues, and poor charge delocalization. In this study, we present a [...] Read more.
Viologens are promising candidates for next-generation electrochromic devices due to their reversible color changes, low operating voltages, and structural tunability. However, their practical performance is often constrained by limited color range, stability issues, and poor charge delocalization. In this study, we present a detailed density functional theory (DFT) and time-dependent DFT (TD-DFT) investigation of asymmetric viologens based on the Benzyl-4,4′-dipyridyl-R (BnV-R) framework. A series of electron-donating and electron-withdrawing substituents (CN, COOH, PO3H2, CH3, OH, NH2) were introduced via either benzyl or phenyl linkers. Geometry optimizations for neutral, radical cationic, and dicationic states were performed at the CAM-B3LYP/6-31+G(d,p) level with C-PCM solvent modeling. Electronic structure, frontier orbital distributions, and redox potentials were correlated with substituent type and linkage mode. Natural Bond Orbital analysis showed that electron-withdrawing groups stabilize reduced states, while electron-donating groups enhance intramolecular charge transfer and switching kinetics. TD-DFT calculations revealed significant bathochromic and hyperchromic shifts dependent on substitution patterns, with phenyl linkers promoting extended conjugation and benzyl spacers minimizing aggregation. Radical cation stability, quantified via ΔEred and comproportionation constants, highlighted cyano- and amine-substituted systems as particularly promising. These insights provide predictive design guidelines for tuning optical contrast, coloration efficiency, and electrochemical durability in advanced electrochromic applications. Full article
(This article belongs to the Section Physical Chemistry and Chemical Physics)
Show Figures

Figure 1

12 pages, 6410 KB  
Article
Design and Color Prediction of Anthracene-Based Dyes Based on Quantum Chemical Calculations
by Yanyi Li, Jiahao Zhang, Mei Bai, Hao Li, Zengbo Ke and Chunsheng Zhou
Molecules 2025, 30(19), 3975; https://doi.org/10.3390/molecules30193975 - 3 Oct 2025
Viewed by 616
Abstract
We systematically investigated the parent anthracene (abbreviated as en-1, C14H10) and three N,N′-disubstituted derivatives: the 1,5-diethylanthracene (en-2, C18H18), the 1,5-divinylanthracene (en-3, C18H14), and the 1,5-diphenylanthracene (en-4, C26 [...] Read more.
We systematically investigated the parent anthracene (abbreviated as en-1, C14H10) and three N,N′-disubstituted derivatives: the 1,5-diethylanthracene (en-2, C18H18), the 1,5-divinylanthracene (en-3, C18H14), and the 1,5-diphenylanthracene (en-4, C26H18), using a rigorous density functional theory (DFT)/time-dependent density functional theory (TD-DFT) approach. Following full geometric optimization and frequency validation (no imaginary frequencies), frontier molecular orbital analysis revealed an inverse correlation between conjugation extent and the HOMO-LUMO energy gap. Electrostatic potential (ESP) analysis further indicated a progressive increase in surface potential variance upon substitution, reflecting charge redistribution. TD-DFT calculations yielded vertical excitation wavelengths of 438 nm, 441 nm, 464 nm, and 496 nm for en-1, en-2, en-3, and en-4, respectively. Complementary color theory predicts visual colors of yellow, yellow, red, and orange for these compounds based on their absorption characteristics. This work establishes a closed-loop “computation-spectra-color” model for anthracene-based dyes, providing a transferable design paradigm for novel functional pigments with high molar extinction coefficients. Full article
(This article belongs to the Section Physical Chemistry)
Show Figures

Figure 1

Back to TopTop