Sign in to use this feature.

Years

Between: -

Subjects

remove_circle_outline
remove_circle_outline
remove_circle_outline
remove_circle_outline
remove_circle_outline

Journals

Article Types

Countries / Regions

Search Results (13)

Search Parameters:
Keywords = DEER/PELDOR

Order results
Result details
Results per page
Select all
Export citation of selected articles as:
14 pages, 2394 KB  
Article
Pulsed Dipolar EPR for Self-Limited Complexes of Oligonucleotides Studies
by Alexey S. Chubarov, Burkhard Endeward, Maria A. Kanarskaya, Yuliya F. Polienko, Thomas F. Prisner and Alexander A. Lomzov
Biomolecules 2024, 14(8), 887; https://doi.org/10.3390/biom14080887 - 23 Jul 2024
Cited by 2 | Viewed by 1631
Abstract
Pulsed electron–electron double resonance (PELDOR) spectroscopy is a powerful method for determining nucleic acid (NA) structure and conformational dynamics. PELDOR with molecular dynamics (MD) simulations opens up unique possibilities for defining the conformational ensembles of flexible, three-dimensional, self-assembled complexes of NA. Understanding the [...] Read more.
Pulsed electron–electron double resonance (PELDOR) spectroscopy is a powerful method for determining nucleic acid (NA) structure and conformational dynamics. PELDOR with molecular dynamics (MD) simulations opens up unique possibilities for defining the conformational ensembles of flexible, three-dimensional, self-assembled complexes of NA. Understanding the diversity and structure of these complexes is vital for uncovering matrix and regulative biological processes in the human body and artificially influencing them for therapeutic purposes. To explore the reliability of PELDOR and MD simulations, we site-specifically attached nitroxide spin labels to oligonucleotides, which form self-assembled complexes between NA chains and exhibit significant conformational flexibility. The DNA complexes assembled from a pair of oligonucleotides with different linker sizes showed excellent agreement between the distance distributions obtained from PELDOR and calculated from MD simulations, both for the mean inter-spin distance and the distance distribution width. These results prove that PELDOR with MD simulations has significant potential for studying the structure and dynamics of conformational flexible complexes of NA. Full article
(This article belongs to the Section Molecular Structure and Dynamics)
Show Figures

Graphical abstract

20 pages, 6054 KB  
Article
Inner Amino Acid Contacts Are Key Factors of Multistage Structural Rearrangements of DNA and Affect Substrate Specificity of Apurinic/Apyrimidinic Endonuclease APE1
by Anatoly A. Bulygin, Victoria N. Syryamina, Aleksandra A. Kuznetsova, Darya S. Novopashina, Sergei A. Dzuba and Nikita A. Kuznetsov
Int. J. Mol. Sci. 2023, 24(14), 11474; https://doi.org/10.3390/ijms241411474 - 14 Jul 2023
Cited by 3 | Viewed by 1431
Abstract
Apurinic/apyrimidinic endonuclease 1 (APE1) is one of the most important enzymes in base excision repair. Studies on this enzyme have been conducted for a long time, but some aspects of its activity remain poorly understood. One such question concerns the mechanism of damaged-nucleotide [...] Read more.
Apurinic/apyrimidinic endonuclease 1 (APE1) is one of the most important enzymes in base excision repair. Studies on this enzyme have been conducted for a long time, but some aspects of its activity remain poorly understood. One such question concerns the mechanism of damaged-nucleotide recognition by the enzyme, and the answer could shed light on substrate specificity control in all enzymes of this class. In the present study, by pulsed electron–electron double resonance (DEER, also known as PELDOR) spectroscopy and pre–steady-state kinetic analysis along with wild-type (WT) APE1 from Danio rerio (zAPE1) or three mutants (carrying substitution N253G, A254G, or E260A), we aimed to elucidate the molecular events in the process of damage recognition. The data revealed that the zAPE1 mutant E260A has much higher activity toward DNA substrates containing 5,6-dihydro-2′-deoxyuridine (DHU), 2′-deoxyuridine (dU), alpha-2′-deoxyadenosine (αA), or 1,N6-ethenoadenosine (εA). Examination of conformational changes in DNA clearly revealed multistep DNA rearrangements during the formation of the catalytic complex. These structural rearrangements of DNA are directly associated with the capacity of damaged DNA for enzyme-induced bending and unwinding, which are required for eversion of the damaged nucleotide from the DNA duplex and for its placement into the active site of the enzyme. Taken together, the results experimentally prove the factors that control substrate specificity of the AP endonuclease zAPE1. Full article
(This article belongs to the Special Issue Chemistry of DNA Repair and DNA Replication)
Show Figures

Figure 1

9 pages, 2127 KB  
Article
Ibuprofen in a Lipid Bilayer: Nanoscale Spatial Arrangement
by Anna S. Kashnik, Denis S. Baranov and Sergei A. Dzuba
Membranes 2022, 12(11), 1077; https://doi.org/10.3390/membranes12111077 - 30 Oct 2022
Cited by 12 | Viewed by 2561
Abstract
Ibuprofen is a non-steroidal anti-inflammatory drug (NSAID) with analgesic and antipyretic effects. Understanding the molecular mechanisms of drug interaction with cell membranes is important to improving drug delivery, uptake by cells, possible side effects, etc. Double electron-electron resonance spectroscopy (DEER, also known as [...] Read more.
Ibuprofen is a non-steroidal anti-inflammatory drug (NSAID) with analgesic and antipyretic effects. Understanding the molecular mechanisms of drug interaction with cell membranes is important to improving drug delivery, uptake by cells, possible side effects, etc. Double electron-electron resonance spectroscopy (DEER, also known as PELDOR) provides information on the nanoscale spatial arrangement of spin-labeled molecules. Here, DEER was applied to study (mono-)spin-labeled ibuprofen (ibuprofen-SL) in a bilayer of palmitoyl-oleoyl-sn-glycerophosphocholine (POPC). The results obtained show that the ibuprofen-SL molecules are located within a plane in each bilayer leaflet. At their low molar concentration in the bilayer χ, the found surface concentration of ibuprofen-SL is two times higher than χ, which can be explained by alternative assembling in the two leaflets of the bilayer. When χ > 2 mol%, these assemblies merge. The findings shed new light on the nanoscale spatial arrangement of ibuprofen in biological membranes. Full article
Show Figures

Figure 1

14 pages, 1376 KB  
Article
A Low-Spin CoII/Nitroxide Complex for Distance Measurements at Q-Band Frequencies
by Angeliki Giannoulis, David B. Cordes, Alexandra M. Z. Slawin and Bela E. Bode
Magnetochemistry 2022, 8(4), 43; https://doi.org/10.3390/magnetochemistry8040043 - 11 Apr 2022
Cited by 2 | Viewed by 3998
Abstract
Pulse dipolar electron paramagnetic resonance spectroscopy (PDS) is continuously furthering the understanding of chemical and biological assemblies through distance measurements in the nanometer range. New paramagnets and pulse sequences can provide structural insights not accessible through other techniques. In the pursuit of alternative [...] Read more.
Pulse dipolar electron paramagnetic resonance spectroscopy (PDS) is continuously furthering the understanding of chemical and biological assemblies through distance measurements in the nanometer range. New paramagnets and pulse sequences can provide structural insights not accessible through other techniques. In the pursuit of alternative spin centers for PDS, we synthesized a low-spin CoII complex bearing a nitroxide (NO) moiety, where both the CoII and NO have an electron spin S of 1/2. We measured CoII-NO distances with the well-established double electron–electron resonance (DEER aka PELDOR) experiment, as well as with the five- and six-pulse relaxation-induced dipolar modulation enhancement (RIDME) spectroscopies at Q-band frequencies (34 GHz). We first identified challenges related to the stability of the complex in solution via DEER and X-ray crystallography and showed that even in cases where complex disproportionation is unavoidable, CoII-NO PDS measurements are feasible and give good signal-to-noise (SNR) ratios. Specifically, DEER and five-pulse RIDME exhibited an SNR of ~100, and while the six-pulse RIDME exhibited compromised SNR, it helped us minimize unwanted signals from the RIDME traces. Last, we demonstrated RIDME at a 10 μM sample concentration. Our results demonstrate paramagnetic CoII to be a feasible spin center in medium magnetic fields with opportunities for PDS studies involving CoII ions. Full article
(This article belongs to the Special Issue EPR Spectroscopy in Chemistry and Biology)
Show Figures

Figure 1

16 pages, 23262 KB  
Article
A Comparison of Cysteine-Conjugated Nitroxide Spin Labels for Pulse Dipolar EPR Spectroscopy
by Katrin Ackermann, Alexandra Chapman and Bela E. Bode
Molecules 2021, 26(24), 7534; https://doi.org/10.3390/molecules26247534 - 13 Dec 2021
Cited by 16 | Viewed by 4896
Abstract
The structure-function and materials paradigms drive research on the understanding of structures and structural heterogeneity of molecules and solids from materials science to structural biology. Functional insights into complex architectures are often gained from a suite of complementary physicochemical methods. In the context [...] Read more.
The structure-function and materials paradigms drive research on the understanding of structures and structural heterogeneity of molecules and solids from materials science to structural biology. Functional insights into complex architectures are often gained from a suite of complementary physicochemical methods. In the context of biomacromolecular structures, the use of pulse dipolar electron paramagnetic resonance spectroscopy (PDS) has become increasingly popular. The main interest in PDS is providing long-range nanometre distance distributions that allow for identifying macromolecular topologies, validating structural models and conformational transitions as well as docking of quaternary complexes. Most commonly, cysteines are introduced into protein structures by site-directed mutagenesis and modified site-specifically to a spin-labelled side-chain such as a stable nitroxide radical. In this contribution, we investigate labelling by four different commercial labelling agents that react through different sulfur-specific reactions. Further, the distance distributions obtained are between spin-bearing moieties and need to be related to the protein structure via modelling approaches. Here, we compare two different approaches to modelling these distributions for all four side-chains. The results indicate that there are significant differences in the optimum labelling procedure. All four spin-labels show differences in the ease of labelling and purification. Further challenges arise from the different tether lengths and rotamers of spin-labelled side-chains; both influence the modelling and translation into structures. Our comparison indicates that the spin-label with the shortest tether in the spin-labelled side-group, (bis-(2,2,5,5-Tetramethyl-3-imidazoline-1-oxyl-4-yl) disulfide, may be underappreciated and could increase the resolution of structural studies by PDS if labelling conditions are optimised accordingly. Full article
Show Figures

Figure 1

21 pages, 1770 KB  
Review
DEER Analysis of GPCR Conformational Heterogeneity
by Matthias Elgeti and Wayne L. Hubbell
Biomolecules 2021, 11(6), 778; https://doi.org/10.3390/biom11060778 - 22 May 2021
Cited by 34 | Viewed by 7313
Abstract
G protein-coupled receptors (GPCRs) represent a large class of transmembrane helical proteins which are involved in numerous physiological signaling pathways and therefore represent crucial pharmacological targets. GPCR function and the action of therapeutic molecules are defined by only a few parameters, including receptor [...] Read more.
G protein-coupled receptors (GPCRs) represent a large class of transmembrane helical proteins which are involved in numerous physiological signaling pathways and therefore represent crucial pharmacological targets. GPCR function and the action of therapeutic molecules are defined by only a few parameters, including receptor basal activity, ligand affinity, intrinsic efficacy and signal bias. These parameters are encoded in characteristic receptor conformations existing in equilibrium and their populations, which are thus of paramount interest for the understanding of receptor (mal-)functions and rational design of improved therapeutics. To this end, the combination of site-directed spin labeling and EPR spectroscopy, in particular double electron–electron resonance (DEER), is exceedingly valuable as it has access to sub-Angstrom spatial resolution and provides a detailed picture of the number and populations of conformations in equilibrium. This review gives an overview of existing DEER studies on GPCRs with a focus on the delineation of structure/function frameworks, highlighting recent developments in data analysis and visualization. We introduce “conformational efficacy” as a parameter to describe ligand-specific shifts in the conformational equilibrium, taking into account the loose coupling between receptor segments observed for different GPCRs using DEER. Full article
(This article belongs to the Special Issue GPCRs: Structure, Biology and Potential Applications)
Show Figures

Figure 1

15 pages, 2768 KB  
Article
Darunavir-Resistant HIV-1 Protease Constructs Uphold a Conformational Selection Hypothesis for Drug Resistance
by Zhanglong Liu, Trang T. Tran, Linh Pham, Lingna Hu, Kyle Bentz, Daniel A. Savin and Gail E. Fanucci
Viruses 2020, 12(11), 1275; https://doi.org/10.3390/v12111275 - 8 Nov 2020
Cited by 12 | Viewed by 3678
Abstract
Multidrug resistance continues to be a barrier to the effectiveness of highly active antiretroviral therapy in the treatment of human immunodeficiency virus 1 (HIV-1) infection. Darunavir (DRV) is a highly potent protease inhibitor (PI) that is oftentimes effective when drug resistance has emerged [...] Read more.
Multidrug resistance continues to be a barrier to the effectiveness of highly active antiretroviral therapy in the treatment of human immunodeficiency virus 1 (HIV-1) infection. Darunavir (DRV) is a highly potent protease inhibitor (PI) that is oftentimes effective when drug resistance has emerged against first-generation inhibitors. Resistance to darunavir does evolve and requires 10–20 amino acid substitutions. The conformational landscapes of six highly characterized HIV-1 protease (PR) constructs that harbor up to 19 DRV-associated mutations were characterized by distance measurements with pulsed electron double resonance (PELDOR) paramagnetic resonance spectroscopy, namely double electron–electron resonance (DEER). The results show that the accumulated substitutions alter the conformational landscape compared to PI-naïve protease where the semi-open conformation is destabilized as the dominant population with open-like states becoming prevalent in many cases. A linear correlation is found between values of the DRV inhibition parameter Ki and the open-like to closed-state population ratio determined from DEER. The nearly 50% decrease in occupancy of the semi-open conformation is associated with reduced enzymatic activity, characterized previously in the literature. Full article
(This article belongs to the Special Issue Diversity and Evolution of HIV and HCV)
Show Figures

Figure 1

12 pages, 1955 KB  
Article
Electron Spin Relaxation of Photoexcited Porphyrin in Water—Glycerol Glass
by Natalya Sannikova, Ivan Timofeev, Elena Bagryanskaya, Michael Bowman, Matvey Fedin and Olesya Krumkacheva
Molecules 2020, 25(11), 2677; https://doi.org/10.3390/molecules25112677 - 9 Jun 2020
Cited by 7 | Viewed by 3531
Abstract
Recently, the photoexcited triplet state of porphyrin was proposed as a promising spin-label for pulsed dipolar electron paramagnetic resonance (EPR). Herein, we report the factors that determine the electron spin echo dephasing of the photoexcited porphyrin in a water–glycerol matrix. The electron spin [...] Read more.
Recently, the photoexcited triplet state of porphyrin was proposed as a promising spin-label for pulsed dipolar electron paramagnetic resonance (EPR). Herein, we report the factors that determine the electron spin echo dephasing of the photoexcited porphyrin in a water–glycerol matrix. The electron spin relaxation of a water-soluble porphyrin was measured by Q-band EPR, and the temperature dependence and the effect of solvent deuteration on the relaxation times were studied. The phase memory relaxation rate (1/Tm) is noticeably affected by solvent nuclei and is substantially faster in protonated solvents than in deuterated solvents. The Tm is as large as 13–17 μs in deuterated solvent, potentially expanding the range of distances available for measurement by dipole spectroscopy with photoexcited porphyrin. The 1/Tm depends linearly on the degree of solvent deuteration and can be used to probe the environment of a porphyrin in or near a biopolymer, including the solvent accessibility of porphyrins used in photodynamic therapy. We characterized the noncovalent binding of porphyrin to human serum albumin (HSA) from 1/Tm and electron spin echo envelope modulation (ESEEM) and found that porphyrin is quite exposed to solvent on the surface of HSA. The 1/Tm and ESEEM are equally effective and provide complementary methods to determine the solvent accessibility of a porphyrin bound to protein or to determine the location of the porphyrin. Full article
Show Figures

Graphical abstract

13 pages, 2306 KB  
Article
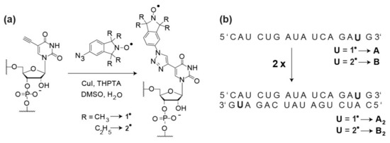
Site-Directed Spin Labeling of RNA with a Gem-Diethylisoindoline Spin Label: PELDOR, Relaxation, and Reduction Stability
by Christine Wuebben, Simon Blume, Dinar Abdullin, Dominik Brajtenbach, Florian Haege, Stephanie Kath-Schorr and Olav Schiemann
Molecules 2019, 24(24), 4482; https://doi.org/10.3390/molecules24244482 - 6 Dec 2019
Cited by 16 | Viewed by 4244
Abstract
Ribonucleic acid function is governed by its structure, dynamics, and interaction with other biomolecules and influenced by the local environment. Thus, methods are needed that enable one to study RNA under conditions as natural as possible, possibly within cells. Site-directed spin-labeling of RNA [...] Read more.
Ribonucleic acid function is governed by its structure, dynamics, and interaction with other biomolecules and influenced by the local environment. Thus, methods are needed that enable one to study RNA under conditions as natural as possible, possibly within cells. Site-directed spin-labeling of RNA with nitroxides in combination with, for example, pulsed electron–electron double resonance (PELDOR or DEER) spectroscopy has been shown to provide such information. However, for in-cell measurements, the usually used gem-dimethyl nitroxides are less suited, because they are quickly reduced under in-cell conditions. In contrast, gem-diethyl nitroxides turned out to be more stable, but labeling protocols for binding these to RNA have been sparsely reported. Therefore, we describe here the bioconjugation of an azide functionalized gem-diethyl isoindoline nitroxide to RNA using a copper (I)-catalyzed azide–alkyne cycloaddition (“click”-chemistry). The labeling protocol provides high yields and site selectivity. The analysis of the orientation selective PELDOR data show that the gem-diethyl and gem-dimethyl labels adopt similar conformations. Interestingly, in deuterated buffer, both labels attached to RNA yield TM relaxation times that are considerably longer than observed for the same type of label attached to proteins, enabling PELDOR time windows of up to 20 microseconds. Together with the increased stability in reducing environments, this label is very promising for in-cell Electron Paramagnetic Resonance (EPR) studies. Full article
(This article belongs to the Section Physical Chemistry)
Show Figures

Figure 1

14 pages, 11873 KB  
Article
rDEER: A Modified DEER Sequence for Distance Measurements Using Shaped Pulses
by Thorsten Bahrenberg, Yin Yang, Daniella Goldfarb and Akiva Feintuch
Magnetochemistry 2019, 5(1), 20; https://doi.org/10.3390/magnetochemistry5010020 - 8 Mar 2019
Cited by 17 | Viewed by 5274
Abstract
The DEER (double electron-electron resonance, also called PELDOR) experiment, which probes the dipolar interaction between two spins and thus reveals distance information, is an important tool for structural studies. In recent years, shaped pump pulses have become a valuable addition to the DEER [...] Read more.
The DEER (double electron-electron resonance, also called PELDOR) experiment, which probes the dipolar interaction between two spins and thus reveals distance information, is an important tool for structural studies. In recent years, shaped pump pulses have become a valuable addition to the DEER experiment. Shaped pulses offer an increased excitation bandwidth and the possibility to precisely adjust pulse parameters, which is beneficial especially for demanding biological samples. We have noticed that on our home built W-band spectrometer, the dead-time free 4-pulse DEER sequence with chirped pump pulses suffers from distortions at the end of the DEER trace. Although minor, these are crucial for Gd(III)-Gd(III) DEER where the modulation depth is on the order of a few percent. Here we present a modified DEER sequence—referred to as reversed DEER (rDEER)—that circumvents the coherence pathway which gives rise to the distortion. We compare the rDEER (with two chirped pump pulses) performance values to regular 4-pulse DEER with one monochromatic as well as two chirped pulses and investigate the source of the distortion. We demonstrate the applicability and effectivity of rDEER on three systems, ubiquitin labeled with Gd(III)-DOTA-maleimide (DOTA, 1,4,7,10-Tetraazacyclododecane-1,4,7,10-tetraacetic acid) or with Gd(III)-DO3A (DO3A, 1,4,7,10-Tetraazacyclododecane-1,4,7-triyl) triacetic acid) and the multidrug transporter MdfA, labeled with a Gd(III)-C2 tag, and report an increase in the signal-to-noise ratio in the range of 3 to 7 when comparing the rDEER with two chirped pump pulses to standard 4-pulse DEER. Full article
(This article belongs to the Special Issue Electron Paramagnetic Resonance)
Show Figures

Graphical abstract

85 pages, 10354 KB  
Review
Biomolecular EPR Meets NMR at High Magnetic Fields
by Klaus Möbius, Wolfgang Lubitz, Nicholas Cox and Anton Savitsky
Magnetochemistry 2018, 4(4), 50; https://doi.org/10.3390/magnetochemistry4040050 - 6 Nov 2018
Cited by 27 | Viewed by 13406
Abstract
In this review on advanced biomolecular EPR spectroscopy, which addresses both the EPR and NMR communities, considerable emphasis is put on delineating the complementarity of NMR and EPR regarding the measurement of interactions and dynamics of large molecules embedded in fluid-solution or solid-state [...] Read more.
In this review on advanced biomolecular EPR spectroscopy, which addresses both the EPR and NMR communities, considerable emphasis is put on delineating the complementarity of NMR and EPR regarding the measurement of interactions and dynamics of large molecules embedded in fluid-solution or solid-state environments. Our focus is on the characterization of protein structure, dynamics and interactions, using sophisticated EPR spectroscopy methods. New developments in pulsed microwave and sweepable cryomagnet technology as well as ultrafast electronics for signal data handling and processing have pushed the limits of EPR spectroscopy to new horizons reaching millimeter and sub-millimeter wavelengths and 15 T Zeeman fields. Expanding traditional applications to paramagnetic systems, spin-labeling of biomolecules has become a mainstream multifrequency approach in EPR spectroscopy. In the high-frequency/high-field EPR region, sub-micromolar concentrations of nitroxide spin-labeled molecules are now sufficient to characterize reaction intermediates of complex biomolecular processes. This offers promising analytical applications in biochemistry and molecular biology where sample material is often difficult to prepare in sufficient concentration for NMR characterization. For multifrequency EPR experiments on frozen solutions typical sample volumes are of the order of 250 μL (S-band), 150 μL (X-band), 10 μL (Q-band) and 1 μL (W-band). These are orders of magnitude smaller than the sample volumes required for modern liquid- or solid-state NMR spectroscopy. An important additional advantage of EPR over NMR is the ability to detect and characterize even short-lived paramagnetic reaction intermediates (down to a lifetime of a few ns). Electron–nuclear and electron–electron double-resonance techniques such as electron–nuclear double resonance (ENDOR), ELDOR-detected NMR, PELDOR (DEER) further improve the spectroscopic selectivity for the various magnetic interactions and their evolution in the frequency and time domains. PELDOR techniques applied to frozen-solution samples of doubly spin-labeled proteins allow for molecular distance measurements ranging up to about 100 Å. For disordered frozen-solution samples high-field EPR spectroscopy allows greatly improved orientational selection of the molecules within the laboratory axes reference system by means of the anisotropic electron Zeeman interaction. Single-crystal resolution is approached at the canonical g-tensor orientations—even for molecules with very small g-anisotropies. Unique structural, functional, and dynamic information about molecular systems is thus revealed that can hardly be obtained by other analytical techniques. On the other hand, the limitation to systems with unpaired electrons means that EPR is less widely used than NMR. However, this limitation also means that EPR offers greater specificity, since ordinary chemical solvents and matrices do not give rise to EPR in contrast to NMR spectra. Thus, multifrequency EPR spectroscopy plays an important role in better understanding paramagnetic species such as organic and inorganic radicals, transition metal complexes as found in many catalysts or metalloenzymes, transient species such as light-generated spin-correlated radical pairs and triplets occurring in protein complexes of photosynthetic reaction centers, electron-transfer relays, etc. Special attention is drawn to high-field EPR experiments on photosynthetic reaction centers embedded in specific sugar matrices that enable organisms to survive extreme dryness and heat stress by adopting an anhydrobiotic state. After a more general overview on methods and applications of advanced multifrequency EPR spectroscopy, a few representative examples are reviewed to some detail in two Case Studies: (I) High-field ELDOR-detected NMR (EDNMR) as a general method for electron–nuclear hyperfine spectroscopy of nitroxide radical and transition metal containing systems; (II) High-field ENDOR and EDNMR studies of the Oxygen Evolving Complex (OEC) in Photosystem II, which performs water oxidation in photosynthesis, i.e., the light-driven splitting of water into its elemental constituents, which is one of the most important chemical reactions on Earth. Full article
(This article belongs to the Special Issue Electron Paramagnetic Resonance)
Show Figures

Figure 1

18 pages, 4960 KB  
Article
Synthesis of Nanometer Sized Bis- and Tris-trityl Model Compounds with Different Extent of Spin–Spin Coupling
by J. Jacques Jassoy, Andreas Meyer, Sebastian Spicher, Christine Wuebben and Olav Schiemann
Molecules 2018, 23(3), 682; https://doi.org/10.3390/molecules23030682 - 17 Mar 2018
Cited by 20 | Viewed by 7265
Abstract
Tris(2,3,5,6-tetrathiaaryl)methyl radicals, so-called trityl radicals, are emerging as spin labels for distance measurements in biological systems based on Electron Paramagnetic Resonance (EPR). Here, the synthesis and characterization of rigid model systems carrying either two or three trityl moieties is reported. The monofunctionalized trityl [...] Read more.
Tris(2,3,5,6-tetrathiaaryl)methyl radicals, so-called trityl radicals, are emerging as spin labels for distance measurements in biological systems based on Electron Paramagnetic Resonance (EPR). Here, the synthesis and characterization of rigid model systems carrying either two or three trityl moieties is reported. The monofunctionalized trityl radicals are connected to the molecular bridging scaffold via an esterification reaction employing the Mukaiyama reagent 2-chloro-methylpyridinium iodide. The bis- and tris-trityl compounds exhibit different inter-spin distances, strength of electron–electron exchange and dipolar coupling and can give rise to multi-spin effects. They are to serve as benchmark systems in comparing EPR distance measurement methods. Full article
(This article belongs to the Special Issue Radical Chemistry)
Show Figures

Graphical abstract

28 pages, 414 KB  
Review
New Developments in Spin Labels for Pulsed Dipolar EPR
by Alistair J. Fielding, Maria Grazia Concilio, Graham Heaven and Michael A. Hollas
Molecules 2014, 19(10), 16998-17025; https://doi.org/10.3390/molecules191016998 - 23 Oct 2014
Cited by 62 | Viewed by 13639
Abstract
Spin labelling is a chemical technique that enables the integration of a molecule containing an unpaired electron into another framework for study. Given the need to understand the structure, dynamics, and conformational changes of biomacromolecules, spin labelling provides a relatively non-intrusive technique and [...] Read more.
Spin labelling is a chemical technique that enables the integration of a molecule containing an unpaired electron into another framework for study. Given the need to understand the structure, dynamics, and conformational changes of biomacromolecules, spin labelling provides a relatively non-intrusive technique and has certain advantages over X-ray crystallography; which requires high quality crystals. The technique relies on the design of binding probes that target a functional group, for example, the thiol group of a cysteine residue within a protein. The unpaired electron is typically supplied through a nitroxide radical and sterically shielded to preserve stability. Pulsed electron paramagnetic resonance (EPR) techniques allow small magnetic couplings to be measured (e.g., <50 MHz) providing information on single label probes or the dipolar coupling between multiple labels. In particular, distances between spin labels pairs can be derived which has led to many protein/enzymes and nucleotides being studied. Here, we summarise recent examples of spin labels used for pulse EPR that serve to illustrate the contribution of chemistry to advancing discoveries in this field. Full article
(This article belongs to the Special Issue Free Radicals and Radical Ions)
Show Figures

Figure 1

Back to TopTop