Sign in to use this feature.

Years

Between: -

Subjects

remove_circle_outline
remove_circle_outline
remove_circle_outline
remove_circle_outline
remove_circle_outline
remove_circle_outline
remove_circle_outline

Journals

Article Types

Countries / Regions

Search Results (39)

Search Parameters:
Keywords = DC fault blocking

Order results
Result details
Results per page
Select all
Export citation of selected articles as:
17 pages, 2315 KB  
Article
A Line-Mode Current Slope-Based Protection Scheme for Pole-to-Pole Short-Circuit Faults in DC Distribution Networks
by Wei Jin, Shiguang Feng and Yuping Lu
Symmetry 2025, 17(11), 1942; https://doi.org/10.3390/sym17111942 - 13 Nov 2025
Viewed by 337
Abstract
DC distribution networks exhibit inherent symmetry in their balanced power distribution and modular structure, offering high operational flexibility and making them particularly suitable for the integration of distributed generation and modern loads. This symmetric framework positions DC networks as a vital component of [...] Read more.
DC distribution networks exhibit inherent symmetry in their balanced power distribution and modular structure, offering high operational flexibility and making them particularly suitable for the integration of distributed generation and modern loads. This symmetric framework positions DC networks as a vital component of new power systems and a key development direction for future power supply systems in industrial and mining enterprises. However, pole-to-pole short-circuit faults disrupt this symmetry, characterized by low system damping, high fault currents, and extremely rapid current rise rates, which pose serious threats to system security and necessitate ultra-fast fault clearance. To address this issue, this paper proposes a novel pilot protection scheme inspired by symmetry principles, based on the slope of the line-mode current for pole-to-pole short-circuit faults in DC distribution networks. First, an equivalent circuit of the system before converter blocking under a pole-to-pole fault is established, and an analytical expression of the fault current is derived, incorporating symmetric analysis of modal components. Subsequently, the variation trends, amplitudes, and phase characteristics of the fault current under faults occurring in different zones of the DC line are analyzed from the perspective of modal symmetry, highlighting the symmetric and asymmetric behaviors of line-mode and zero-mode currents. Furthermore, considering the distinct symmetric properties of these currents during lightning disturbances and pole-to-pole faults, the least squares method is employed to perform linear fitting on the line-mode current, thereby capturing its symmetric variation trend. A pilot protection scheme utilizing the slope of the line-mode current is then proposed, leveraging symmetry in fault discrimination. Finally, simulation models built in MATLAB/Simulink (R2022a) are used for validation. The results demonstrate that the proposed protection method can quickly identify faults within 1.5 ms while exhibiting strong tolerance to a 20 Ω transitional resistance and 50 dB signal noise, indicating good feasibility and broad applicability, with symmetry-based analysis enhancing robustness. Full article
Show Figures

Figure 1

17 pages, 3119 KB  
Article
Fault Diagnosis Method Using CNN-Attention-LSTM for AC/DC Microgrid
by Qiangsheng Bu, Pengpeng Lyu, Ruihai Sun, Jiangping Jing, Zhan Lyu and Shixi Hou
Modelling 2025, 6(3), 107; https://doi.org/10.3390/modelling6030107 - 18 Sep 2025
Cited by 1 | Viewed by 1044
Abstract
From the perspectives of theoretical design and practical application, the existing fault diagnosis methods with the complex identification process owing to manual feature extraction and the insufficient feature extraction for time series data and weak fault signal is not suitable for AC/DC microgrids. [...] Read more.
From the perspectives of theoretical design and practical application, the existing fault diagnosis methods with the complex identification process owing to manual feature extraction and the insufficient feature extraction for time series data and weak fault signal is not suitable for AC/DC microgrids. Thus, this paper proposes a fault diagnosis method that integrates a convolutional neural network (CNN) with a long short-term memory (LSTM) network and attention mechanisms. The method employs a multi-scale convolution-based weight layer (Weight Layer 1) to extract features of faults from different dimensions, performing feature fusion to enrich the fault characteristics of the AC/DC microgrid. Additionally, a hybrid attention block-based weight layer (Weight Layer 2) is designed to enable the model to adaptively focus on the most significant features, thereby improving the extraction and utilization of critical information, which enhances both classification accuracy and model generalization. By cascading LSTM layers, the model effectively captures temporal dependencies within the features, allowing the model to extract critical information from the temporal evolution of electrical signals, thus enhancing both classification accuracy and robustness. Simulation results indicate that the proposed method achieves a classification accuracy of up to 99.5%, with fault identification accuracy for noisy signals under 10 dB noise interference reaching 92.5%, demonstrating strong noise immunity. Full article
Show Figures

Figure 1

20 pages, 4119 KB  
Article
Research on Pole-to-Ground Fault Ride-Through Strategy for Hybrid Half-Wave Alternating MMC
by Yanru Ding, Yi Wang, Yuhua Gao, Zimeng Su, Xiaoyu Song, Xiaoyin Wu and Yilei Gu
Electronics 2025, 14(14), 2893; https://doi.org/10.3390/electronics14142893 - 19 Jul 2025
Viewed by 658
Abstract
Considering the lightweight requirement of modular multilevel converter (MMC), the implementation of arm multiplexing significantly improves submodule utilization and achieves remarkable lightweight performance. However, the challenges of overvoltage and energy imbalance during pole-to-ground fault still exist. To address these issues, this paper proposes [...] Read more.
Considering the lightweight requirement of modular multilevel converter (MMC), the implementation of arm multiplexing significantly improves submodule utilization and achieves remarkable lightweight performance. However, the challenges of overvoltage and energy imbalance during pole-to-ground fault still exist. To address these issues, this paper proposes a hybrid half-wave alternating MMC (HHA-MMC) and presents its fault ride-through strategy. First, a transient equivalent model based on topology and operation principles is established to analyze fault characteristics. Depending on the arm’s alternative multiplexing feature, the half-wave shift non-blocking fault ride-through strategy is proposed to eliminate system overvoltage and fault current. Furthermore, to eliminate energy imbalance caused by asymmetric operation during non-blocking transients, dual-modulation energy balancing control based on the third-harmonic current and the phase-shifted angle is introduced. This strategy ensures capacitor voltage balance while maintaining 50% rated power transmission during the fault period. Finally, simulations and experiments demonstrate that the lightweight HHA-MMC successfully accomplishes non-blocking pole-to-ground fault ride-through with balanced arm energy distribution, effectively enhancing power supply reliability. Full article
Show Figures

Figure 1

18 pages, 2913 KB  
Article
Transient Overvoltage Prediction Method for Renewable Energy Stations via Knowledge-Embedded Enhanced Deep Neural Network
by Guangyao Wang, Jun Liu, Jiacheng Liu, Yuting Li, Tianxiao Mo and Sheng Ju
Energies 2025, 18(5), 1090; https://doi.org/10.3390/en18051090 - 24 Feb 2025
Cited by 1 | Viewed by 890
Abstract
When a line-commutated converter–high-voltage direct current (LCC-HVDC) transmission system with large-scale integration of renewable energy encounters HVDC-blocking events, the sending-end power system is prone to transient overvoltage (TOV) risks. Renewable energy units that are connected via power electronic devices are susceptible to large-scale [...] Read more.
When a line-commutated converter–high-voltage direct current (LCC-HVDC) transmission system with large-scale integration of renewable energy encounters HVDC-blocking events, the sending-end power system is prone to transient overvoltage (TOV) risks. Renewable energy units that are connected via power electronic devices are susceptible to large-scale cascading disconnections due to electrical endurance and insulation limitations when subjected to an excessively high TOV, which poses a serious threat to the safe and stable operation of the system. Therefore, the prediction of TOV at renewable energy stations (RES) under DC blocking (DCB) scenarios is crucial for developing strategies for the high-voltage ride-through of renewable energy sources and ensuring system stability. In this paper, an approximate analytical expression for the TOV at RES under DCB fault conditions is firstly derived, based on a simplified equivalent circuit of the sending-end system that includes multiple DC transmission lines and RES, which can take into consideration the multiple renewable station short-circuit ratio (MRSCR). Building on this, a knowledge-embedded enhanced deep neural network (KEDNN) approach is proposed for predicting the RES’s TOV for complex power systems. By incorporating theoretical calculation values of the TOV into the input features, the task of the deep neural network (DNN) shifts from mining relationships within large datasets to revealing the correlation patterns between theoretical calculations and real values, thereby improving the robustness of the prediction model in cases of insufficient training data and irrational feature construction. Finally, the proposed method is tested on a real-world regional power system in China, and the results validate the effectiveness of the proposed method. The approximate analytical expression for the TOV at RES and the KEDNN-based TOV prediction method proposed in this paper can provide valuable references for scholars and engineers working in the field of power system operation and control, particularly in the areas of overvoltage theoretical calculation and mitigation. Full article
(This article belongs to the Section F1: Electrical Power System)
Show Figures

Figure 1

29 pages, 5068 KB  
Article
Two-Stage Locating and Capacity Optimization Model for the Ultra-High-Voltage DC Receiving End Considering Carbon Emission Trading and Renewable Energy Time-Series Output Reconstruction
by Lang Zhao, Zhidong Wang, Hao Sheng, Yizheng Li, Tianqi Zhang, Yao Wang and Haifeng Yu
Energies 2024, 17(21), 5508; https://doi.org/10.3390/en17215508 - 4 Nov 2024
Viewed by 1291
Abstract
With the load center’s continuous expansion and development of the AC power grid’s scale and construction, the recipient grid under the multi-feed DC environment is facing severe challenges of DC commutation failure and bipolar blocking due to the high strength of AC-DC coupling [...] Read more.
With the load center’s continuous expansion and development of the AC power grid’s scale and construction, the recipient grid under the multi-feed DC environment is facing severe challenges of DC commutation failure and bipolar blocking due to the high strength of AC-DC coupling and the low level of system inertia, which brings many complexities and uncertainties to economic scheduling. In addition, the large-scale grid integration of wind power, photovoltaic, and other intermittent energy sources makes the ultra-high-voltage (UHV) DC channel operation state randomized. The deterministic scenario-based timing power simulation is no longer suitable for the current complex and changeable grid operation state. In this paper, we first start with the description and analysis of the uncertainty in renewable energy (RE) sources, such as wind and solar, and reconstruct the time-sequence power model by using the stochastic differential equation model. Then, a carbon emission trading cost (CET) model is constructed based on the CET mechanism, and the two-stage locating and capacity optimization model for the UHV DC receiving end is proposed under the constraint of dispatch safety and stability. Among them, the first stage starts with the objective of maximizing the carrying capacity of the UHV DC receiving end grid; the second stage checks its dynamic safety under the basic and fault modes according to the results of the first stage and corrects the drop point and capacity of the UHV DC line with the objective of achieving safe and stable UHV DC operation at the lowest economic investment. In addition, the two-stage model innovatively proposes UHV DC relative inertia constraints, peak adjustment margin constraints, transient voltage support constraints under commutation failure conditions, and frequency support constraints under a DC blocking state. In addition, to address the problem that the probabilistic constraints of the scheduling model are difficult to solve, the discrete step-size transformation and convolution sequence operation methods are proposed to transform the chance-constrained planning into mixed-integer linear planning for solving. Finally, the proposed model is validated with a UHV DC channel in 2023, and the results confirm the feasibility and effectiveness of the model. Full article
(This article belongs to the Section F6: High Voltage)
Show Figures

Figure 1

20 pages, 7678 KB  
Article
Protection and Fault Isolation Scheme for DC Distribution Network Based on Active Current-Limiting Control
by Langheng Cao, Jiawen Lv, Jing Chen, Feng Zheng and Ning Liang
Symmetry 2024, 16(10), 1275; https://doi.org/10.3390/sym16101275 - 27 Sep 2024
Cited by 3 | Viewed by 1768
Abstract
Aiming at the problems of high peak value fault current, fast rising speed, and being unable to ensure the reliability of the power supply in the non-fault zone in a multi-terminal DC system, a new cascade flexible current limiter and mechanical DC circuit [...] Read more.
Aiming at the problems of high peak value fault current, fast rising speed, and being unable to ensure the reliability of the power supply in the non-fault zone in a multi-terminal DC system, a new cascade flexible current limiter and mechanical DC circuit breaker for medium- and high-voltage distribution networks are proposed. Firstly, the flexible current limiter is triggered by differential under-voltage protection to achieve the effect of interpole voltage clamping, suppressing the fault current and improving the dynamic recovery characteristics of the DC system after fault clearing. Secondly, according to the breaking speed of the DC circuit breaker, the action time of the current limiter can be set flexibly. The directional pilot protection signal of the circuit breaker is used to ensure the continuous action of the current limiter at the converter station side in the fault zone, until the circuit breaker acts to isolate the fault. The protection strategy can also avoid the blocking of the converter station and reduce the requirements for the breaking speed and breaking capacity of the circuit breaker. Finally, a four-terminal medium voltage distribution network model is built in MATLAB/SIMULINK, and the effect of the current limiter and the feasibility of the proposed protection strategy are verified by simulation. Full article
(This article belongs to the Section Computer)
Show Figures

Figure 1

21 pages, 4257 KB  
Article
Design of Series-Connected Novel Large-Scale Offshore Wind Power All-DC System with Fault Blocking Capability
by Yalun Ru, Haiyun Wang and Zhanlong Li
Electronics 2024, 13(10), 1943; https://doi.org/10.3390/electronics13101943 - 15 May 2024
Viewed by 1661
Abstract
The utilization of wind power all-DC systems with DC collection and transmission is an effective solution for the extensive development of wind power in deep-sea areas. However, in the event of faults occurring in wind power all-DC systems, the fault propagation speed is [...] Read more.
The utilization of wind power all-DC systems with DC collection and transmission is an effective solution for the extensive development of wind power in deep-sea areas. However, in the event of faults occurring in wind power all-DC systems, the fault propagation speed is extremely rapid, with a wide-ranging impact, and to date, there are no complete DC engineering references available. It is crucial to research the topology and fault isolation methods applicable to large-scale offshore wind power all-DC systems in deep-sea areas. This paper proposes a novel series-connected all-DC system topology and presents corresponding fault isolation methods for internal faults in wind turbine units and faults in high-voltage DC transmission lines. The system simulation model was constructed using PSCAD/EMTDC (v4.6.3), and simulations were conducted for internal faults in the wind turbine units and DC transmission line short-circuit faults. The simulation results demonstrate that the proposed system can isolate various DC faults while maintaining stable operation, thereby validating the effectiveness of the control strategies and fault isolation methods proposed in this paper. Full article
(This article belongs to the Section Electronic Materials, Devices and Applications)
Show Figures

Figure 1

16 pages, 4390 KB  
Article
An Optimized Fault-Ride-Through Control Strategy of Hybrid MMC with Fewer FBSMs
by Yue Chen, Chenglin Ren, Junyi Sheng, Jinyu Wang, Yuebin Zhou, Wanyu Cao, Runtian Ding and Wujun Wang
Electronics 2024, 13(10), 1797; https://doi.org/10.3390/electronics13101797 - 7 May 2024
Cited by 4 | Viewed by 2040
Abstract
The modular multilevel converter (MMC) has many advantages of low switching losses, good harmonic performance and high modularity structure in state-of-the-art HVDC applications. The full-bridge submodules (FBSMs) of the hybrid MMC can inherently output negative voltage to absorb fault currents, and consequently the [...] Read more.
The modular multilevel converter (MMC) has many advantages of low switching losses, good harmonic performance and high modularity structure in state-of-the-art HVDC applications. The full-bridge submodules (FBSMs) of the hybrid MMC can inherently output negative voltage to absorb fault currents, and consequently the hybrid MMC can ride through severe DC faults without blocking. During the DC fault-ride-through process, the submodule capacitor voltage and arm current of the MMC will be temporarily increased. These characteristics limit the proportion of the FBSMs, which should not be too low and thus increase the cost and operating losses of the hybrid MMC. In this paper, an improved sorting algorithm of SM capacitor voltage is established, and a novel virtual damping control strategy is proposed that can effectively suppress the increase in submodule capacitor voltage and arm current of the hybrid MMC during the DC fault-ride-through process. By adopting this optimization control, the proportion of FBSMs can be reduced significantly without deteriorating the fault-ride-through capability or safety of the MMC. The effectiveness of the proposed control is verified by careful theoretical analysis and detailed simulation results. Full article
Show Figures

Figure 1

20 pages, 3639 KB  
Article
An Emergency Coordinated Control Strategy to Improve the Transient Stability of a Single-Ended Distribution Network with Flexible Interconnection Channel Blocking
by Rui Ma, Haichang Sun and Liang Qin
Sensors 2023, 23(20), 8467; https://doi.org/10.3390/s23208467 - 14 Oct 2023
Cited by 1 | Viewed by 1244
Abstract
Based on the scenario of high-penetration distributed photovoltaic connected to an AC/DC distribution network, this paper analyzes the dynamic characteristics of frequency and voltage in a distribution network after the blocking failure of the flexible interconnection channel. In order to enhance the transient [...] Read more.
Based on the scenario of high-penetration distributed photovoltaic connected to an AC/DC distribution network, this paper analyzes the dynamic characteristics of frequency and voltage in a distribution network after the blocking failure of the flexible interconnection channel. In order to enhance the transient stability of the system after the fault, this paper comprehensively considers the active regulation ability of photovoltaic units, and puts forward an emergency coordinated control strategy for a single-ended distribution network with flexible interconnection channel blocking. Firstly, the non-fault channel is overloaded for a short time, then the comprehensive influence of factors such as electrical distance, response time and adjustment cost on the frequency modulation effect of the system is quantitatively evaluated; according to the evaluation results, the photovoltaic and synchronous units are controlled by “control instead of tripping”, and finally, the high-frequency tripping is carried out, based on the principle of “photovoltaics first”. After the frequency control is completed, the reactive power optimization model of the system is established, and the improved tabu–particle swarm optimization algorithm is used to solve it, so as to optimize the voltage of the distribution network nodes. Finally, an equivalent simulation model is established to verify the coordinated control strategy. Full article
(This article belongs to the Section Internet of Things)
Show Figures

Figure 1

20 pages, 3396 KB  
Article
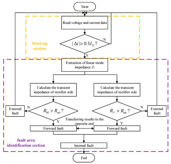
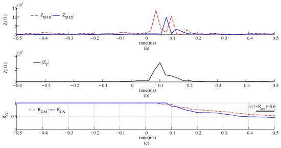
Protection Scheme for Transient Impedance Dynamic-Time-Warping Distance of a Flexible DC Distribution System
by Pinghao Ni, Jinghan He, Chuanjian Wu, Dahai Zhang, Zhaoxiang Yuan and Zhihong Xiao
Sustainability 2023, 15(17), 12745; https://doi.org/10.3390/su151712745 - 23 Aug 2023
Cited by 1 | Viewed by 1370
Abstract
Flexible DC power distribution systems have characteristics such as rapid fault occurrence and fragile power electronics. DC faults usually result in rapid converter blocking (2–5 ms). However, existing protection schemes are susceptible to distributed capacitance, cannot tolerate long communication delays, and require artificial [...] Read more.
Flexible DC power distribution systems have characteristics such as rapid fault occurrence and fragile power electronics. DC faults usually result in rapid converter blocking (2–5 ms). However, existing protection schemes are susceptible to distributed capacitance, cannot tolerate long communication delays, and require artificial boundaries, among other features that make it impossible to combine speediness, selectivity, and reliability. A technique based on normalized transient impedance dynamic-time-warping (DTW) distance is proposed to improve the performance of the protection scheme. First, the fault equivalent circuit of the flexible DC distribution system (±10 kV) is established, and its transient impedance expression is derived accordingly. Subsequently, the expression components are split and their fault characteristics are resolved separately. Finally, the protection scheme for normalized DTW distance is proposed based on the transient impedance fault characteristics. A flexible DC distribution system (±10 kV) is established to verify the performance of the scheme. Full article
Show Figures

Figure 1

19 pages, 2253 KB  
Article
Optimal Configuration of Battery Energy Storage for AC/DC Hybrid System Based on Improved Power Flow Exceeding Risk Index
by Yanming Tu, Libo Jiang, Bo Zhou, Xinwei Sun, Tianwen Zheng, Yunyang Xu and Shengwei Mei
Electronics 2023, 12(14), 3169; https://doi.org/10.3390/electronics12143169 - 21 Jul 2023
Cited by 1 | Viewed by 1727
Abstract
After the fault disturbance (DC bi-polar blocking) in the AC/DC hybrid system, when the battery energy storage system (BESS) near the fault location is used to eliminate the power transfer, some sensitive and vulnerable transmission lines still have the problem of power flow [...] Read more.
After the fault disturbance (DC bi-polar blocking) in the AC/DC hybrid system, when the battery energy storage system (BESS) near the fault location is used to eliminate the power transfer, some sensitive and vulnerable transmission lines still have the problem of power flow exceeding the limit value. Therefore, an optimal configuration of BESS for AC/DC hybrid systems based on power flow exceeding risk index is proposed, which is used to eliminate the impact of power transfer on transmission lines. Firstly, considering the line outage distribution factor, the power flow exceeding risk index is established, which is used to judge the sensitive and vulnerable transmission lines on the shortest path power flow after the fault in the AC/DC hybrid system. The shortest path power flow is found by using the Dijkstra algorithm; the transmission lines nodes of the shortest path power flow are selected as candidate nodes for BESS configuration. Secondly, considering the safe and stable operation capability of the transmission lines, a multi-objective optimal mathematical model of BESS configuration for the AC/DC hybrid system is established, which minimizes the annual investment cost of BESS and maximizes the sum of the power flow exceeding risk index. Finally, the CEPRI36V7 power grid model in Power System Analysis Software Package (PSASP) is used for simulation analysis to verify the effectiveness of the proposed method. Full article
(This article belongs to the Topic Advances in Renewable Energy and Energy Storage)
Show Figures

Figure 1

19 pages, 5046 KB  
Article
Calculation Method of DC Fault Overvoltage Peak Value for Multi-Send HVDC Systems with Wind Power
by Fan Li, Dong Liu, Xiaonan Han, Boyu Qin, Zhongjian Liu, Haoyang Yu, De Zhang, Xiaofan Su and Mingjie Wang
Electronics 2023, 12(14), 3157; https://doi.org/10.3390/electronics12143157 - 20 Jul 2023
Viewed by 2150
Abstract
Commutation failure (CF) and DC blocking (DCB) faults are common occurrences in high-voltage direct current (HVDC) systems, and their impact on the power grid can be significant due to sudden power fluctuations. These issues pose particular challenges in multi-send HVDC systems due to [...] Read more.
Commutation failure (CF) and DC blocking (DCB) faults are common occurrences in high-voltage direct current (HVDC) systems, and their impact on the power grid can be significant due to sudden power fluctuations. These issues pose particular challenges in multi-send HVDC systems due to the intricate interaction between AC and DC components. To tackle these challenges, this paper proposes a method for analyzing the peak overvoltage at the converter bus resulting from DC faults in multi-send HVDC systems. The proposed method comprehensively considers the influence of DC/DC coupling and wind turbine low-voltage ride through (LVRT) characteristics on overvoltage. It offers a straightforward approach to calculate the peak overvoltage following a DC fault without the need for complex modeling or dynamic simulation software. By leveraging the equivalent parameters of the AC system and operational parameters of the DC system, the method effectively quantifies the overvoltage. The primary objective of this study is to address multi-send HVDC systems and establish computational formulas that enable a quantitative assessment of transient overvoltage resulting from DC faults. The analysis explores several influencing factors, uncovering that fault-induced overvoltage is influenced by aspects such as system strength and wind turbine reactive power dynamics. In a single-send HVDC system, the level of overvoltage in the system is primarily affected by the short-circuit ratio. A higher short-circuit ratio results in a lower overvoltage level. On the other hand, in multi-send HVDC systems, the overvoltage level is determined by the equivalent impedance of the individual systems. In DC systems where turbines are present in the DC near zone, the overvoltage level at the converter bus is influenced by the power characteristics of the turbines during the LVRT. To validate the accuracy of the proposed method, a comprehensive verification process is conducted. Through this research, the paper aims to contribute to the understanding and management of transient overvoltage in multi-send HVDC systems. By considering relevant factors and employing an equivalent model, the proposed method offers a practical approach for assessing overvoltage and facilitating the design and operation of such systems. Full article
(This article belongs to the Special Issue AI-Based Power System Stability and Control Analysis)
Show Figures

Figure 1

19 pages, 5932 KB  
Article
Enhancing Single-Phase Grid Integration Capability of PMSG-Based Wind Turbines to Support Grid Operation under Adverse Conditions
by Syed Wajahat Ali, Chun-Lien Su, Anant Kumar Verma, Claudio Burgos Mellado and Catalina Gonzalez-Castano
Sustainability 2023, 15(13), 10662; https://doi.org/10.3390/su151310662 - 6 Jul 2023
Cited by 3 | Viewed by 2162
Abstract
The proposed work delivers a robust control solution for a single-phase permanent magnet synchronous generator-based wind power conversion system (PMSG-WPCS) to enhance grid integration capability. The proposed control approach also offers an extended facility to fulfill low-voltage fault ride-through (LVRT) requirements under adverse [...] Read more.
The proposed work delivers a robust control solution for a single-phase permanent magnet synchronous generator-based wind power conversion system (PMSG-WPCS) to enhance grid integration capability. The proposed control approach also offers an extended facility to fulfill low-voltage fault ride-through (LVRT) requirements under adverse grid conditions. Unlike the conventional observer-based PLL (O-PLL) approach, the proposed improved Lyapunov theory-based prefilter (ILP) is helpful in yielding a quadrature signal to solve the single-phase grid synchronization problem. Moreover, the proposed prefilter can leverage delayed signal operation, which improves the harmonic and the DC-offset component rejection abilities while eliminating the need for internal feedback-based submodule blocks for the case of an O-PLL. Consequently, the proposed ILP-PLL exhibits better dynamic behavior to rapidly synchronize a grid-tied power converter and can accurately track the fundamental amplitude information that is required for inverter control to meet the fault ride-through requirements. In addition, the suggested LVRT controller ensures smooth transition between the unity and non-unity power factor modes for superior converter control over reactive current injection into the grid to recover the grid from faults while maintaining a lower amount of total harmonic current distortions. The dynamic performance of the proposed control scheme is experimentally validated in view of the existing O-PLL approach for lower-rating wind-turbine-based PMSG-WPCS. Full article
(This article belongs to the Special Issue Applications and Advanced Control of Microgrids)
Show Figures

Figure 1

18 pages, 5010 KB  
Article
Advanced Fault-Detection Technique for DC-Link Aluminum Electrolytic Capacitors Based on a Random Forest Classifier
by Acácio M. R. Amaral, Khaled Laadjal and Antonio J. Marques Cardoso
Electronics 2023, 12(12), 2572; https://doi.org/10.3390/electronics12122572 - 7 Jun 2023
Cited by 13 | Viewed by 2299
Abstract
In recent years, significant technological advances have emerged in renewable power generation systems (RPGS), making them more economical and competitive. On the other hand, for the RPGS to achieve the highest level of performance possible, it is important to ensure the healthy operation [...] Read more.
In recent years, significant technological advances have emerged in renewable power generation systems (RPGS), making them more economical and competitive. On the other hand, for the RPGS to achieve the highest level of performance possible, it is important to ensure the healthy operation of their main building blocks. Power electronic converters (PEC), which are one of the main building blocks of RPGS, have some vulnerable components, such as capacitors, which are responsible for more than a quarter of the failures in these converters. Therefore, it is of paramount importance that the design of fault diagnosis techniques (FDT) assess the capacitor’s state of health so that it is possible to implement predictive and preventive maintenance plans in order to reduce unexpected stoppage of these systems. One of the most commonly used capacitors in power converters is the aluminum electrolytic capacitor (AEC) whose aging manifests itself through an increase in its equivalent series resistance (ESR). Several advanced intelligent techniques have been proposed for assessing AEC health status, many of which require the use of a current sensor in the capacitor branch. However, the introduction of a current sensor in the capacitor branch imposes practical restrictions; in addition, it introduces unwanted resistive and inductive effects. This paper presents an FDT based on the random forest classifier (RFC), which triggers an alert mechanism when the DC-link AEC reaches its ESR threshold value. The great advantage of the proposed solution is that it is non-invasive; therefore, it is not necessary to introduce any sensor inside the converter. The validation of the proposed FDT will be carried out using several computer simulations carried out in Matlab/Simulink. Full article
Show Figures

Figure 1

23 pages, 9423 KB  
Article
Enhanced Power Quality in Single-Phase Grid-Connected Photovoltaic Systems: An Experimental Study
by Abdellah Benabdelkader, Azeddine Draou, Abdulrahman AlKassem, Toufik Toumi, Mouloud Denai, Othmane Abdelkhalek and Marwa Ben Slimene
Energies 2023, 16(10), 4240; https://doi.org/10.3390/en16104240 - 22 May 2023
Cited by 4 | Viewed by 2515
Abstract
The main aim of the research work presented in this paper consists of proposing an effective control scheme for a grid-connected single-phase photovoltaic (PV) system to enhance not only the power quality at the point of common coupling (PCC) but also to operate [...] Read more.
The main aim of the research work presented in this paper consists of proposing an effective control scheme for a grid-connected single-phase photovoltaic (PV) system to enhance not only the power quality at the point of common coupling (PCC) but also to operate with a maximum power point tracking (MPPT) controller. Moreover, an orthogonal signal generator (OSG) module for effective grid synchronization, a current reference generation controller, and a PWM generating block have also been designed and included in this paper. The proposed control strategy allows the MPPT controller to switch to faulty mode and maintains the voltage according to network requirements using an adaptive neuro-fuzzy inference system (ANFIS)-based control whenever a fault occurs at the PCC. The performance of the analyzed control strategy, which is based on the static compensation of the DC-link voltage fluctuations in a grid-connected inverter powered by PV, is further explored through simulations in MATLAB, and the results are included in this paper. Moreover, the control scheme is implemented experimentally using a dSPACE DS 1104 control board and then assessed on a small laboratory-scale single-phase PV system that is subjected to some fault scenarios. The simulation and experimental results have shown improved power quality and robustness against grid fluctuations, resulting in better dynamic performance. Full article
Show Figures

Figure 1

Back to TopTop