Sign in to use this feature.

Years

Between: -

Subjects

remove_circle_outline
remove_circle_outline
remove_circle_outline
remove_circle_outline
remove_circle_outline

Journals

Article Types

Countries / Regions

Search Results (12)

Search Parameters:
Keywords = DABS-Cl

Order results
Result details
Results per page
Select all
Export citation of selected articles as:
19 pages, 14769 KB  
Article
Overexpression of IlMYB108 from Iris laevigata Confers Enhanced Drought and Salt Tolerance in Nicotiana tabacum
by Zhaoqian Niu, Gongfa Shi, Zhengyide Wang, Lijuan Fan and Ling Wang
Horticulturae 2026, 12(1), 3; https://doi.org/10.3390/horticulturae12010003 - 19 Dec 2025
Viewed by 657
Abstract
Drought and salinity are critical abiotic stresses that constrain plant growth. Although MYB transcription factors mediate plant responses to abiotic stresses, their functions in the monocot I. laevigata remain unexplored. Here, we identified a nuclear-localized gene, IlMYB108, which was rapidly upregulated under [...] Read more.
Drought and salinity are critical abiotic stresses that constrain plant growth. Although MYB transcription factors mediate plant responses to abiotic stresses, their functions in the monocot I. laevigata remain unexplored. Here, we identified a nuclear-localized gene, IlMYB108, which was rapidly upregulated under NaCl and PEG-6000 treatments. Overexpression of IlMYB108 in tobacco enhanced root growth under salt and drought conditions. At the seedling stage, transgenic lines maintained higher leaf growth rates and plant height with reduced wilting during 14 days of continuous stress. Physiologically, transgenic plants exhibited a higher net photosynthetic rate (Pn), maximum photochemical efficiency of photosystem II (Fv/Fm), and chlorophyll content, alongside lower stomatal conductance (Gs), intercellular CO2 concentration (Ci), and transpiration rate (Tr). They also accumulated less malondialdehyde (MDA), superoxide anion (O2), and hydrogen peroxide (H2O2), which was attributed to enhanced activities of superoxide dismutase (SOD), catalase (CAT), and peroxidase (POD), as confirmed by p-Nitro-Blue tetrazolium chloride (NBT) and 3,3′-diaminobenzidine tetrahydrochloride (DAB) staining. Moreover, IlMYB108 up-regulated stress-responsive and antioxidant genes. Collectively, IlMYB108 functions as a key gene that enhances tobacco tolerance to salt and drought stress by coordinating root development, photosynthetic efficiency, water balance and antioxidant defense, thereby providing a valuable genetic resource for breeding stress-resilient plants. Full article
(This article belongs to the Section Floriculture, Nursery and Landscape, and Turf)
Show Figures

Graphical abstract

23 pages, 5965 KB  
Article
Decoding Salinity Tolerance in Salicornia europaea L.: Image-Based Oxidative Phenotyping and Histochemical Mapping of Pectin and Lignin
by Susana Dianey Gallegos Cerda, Aleksandra Orzoł, José Jorge Chanona Pérez, Josué David Hernández Varela, Agnieszka Piernik and Stefany Cárdenas Pérez
Plants 2025, 14(19), 3055; https://doi.org/10.3390/plants14193055 - 2 Oct 2025
Cited by 1 | Viewed by 1007
Abstract
Halophytes such as Salicornia europaea rely on biochemical and structural mechanisms to survive in saline environments. This study aimed to evaluate oxidative stress and structural defense responses in four inland populations—Poland (Inowrocław, Ciechocinek), Germany (Salzgraben-Salzdahlum, Salz), and Soltauquelle (Soltq)—subjected to 0, 200, 400, [...] Read more.
Halophytes such as Salicornia europaea rely on biochemical and structural mechanisms to survive in saline environments. This study aimed to evaluate oxidative stress and structural defense responses in four inland populations—Poland (Inowrocław, Ciechocinek), Germany (Salzgraben-Salzdahlum, Salz), and Soltauquelle (Soltq)—subjected to 0, 200, 400, and 1000 mM NaCl, using non-destructive, image-based approaches. Lipid peroxidation was assessed via malondialdehyde (MDA) detected with Schiff’s reagent, and hydrogen peroxide (H2O2) accumulation was visualized with 3,3′-diaminobenzidine (DAB). Roots and shoots were analyzed through colour image analysis and quantified using a computer vision system (CVS). MDA accumulation revealed population-specific differences, with Salz tending to exhibit lower peroxidation, characterized by lower L* ≈ 42–43 and higher b* ≈ 37–18 in shoots at 200–400 mM, which may reflect a potentially more effective salt-management strategy. Although H2O2 responses deviated from a direct salinity-dependent trend, particularly in the tolerant Salz and Soltq populations, both approaches effectively tracked population-specific adaptation, with German populations displaying detectable basal H2O2 levels, consistent with its multifunctional signalling role in salt management and growth regulation. Structural defences were further explored through histochemical mapping and image analysis of pectin and lignin distribution, which revealed population-specific patterns consistent with cell wall remodelling under stress. Non-destructive, image-based methods proved effective for detecting oxidative and structural responses in halophytes. Such a non-destructive, cost-efficient, and reproducible approach can accelerate the identification of salt-tolerant ecotypes for saline agriculture and reinforce S. europaea as a model species for elucidating salt-tolerance mechanisms. Full article
(This article belongs to the Special Issue Abiotic Stress Responses in Plants—Second Edition)
Show Figures

Figure 1

14 pages, 1564 KB  
Article
MtSIN1a Enhances Salinity Tolerance in Medicago truncatula and Alfalfa
by Huanyu Yue, Yuxue Zhang, Yafei Liu, Feng Yuan, Chuanen Zhou and Yang Zhao
Genes 2025, 16(10), 1156; https://doi.org/10.3390/genes16101156 - 29 Sep 2025
Viewed by 763
Abstract
Background/Objectives: Alfalfa is a widely cultivated high-quality forage crop, and salinity tolerance is one of the most important breeding goals. Glycine max SALT INDUCED NAC 1 (GmSIN1) was found to enhance salinity tolerance in soybean plants. The phylogenetic analysis showed [...] Read more.
Background/Objectives: Alfalfa is a widely cultivated high-quality forage crop, and salinity tolerance is one of the most important breeding goals. Glycine max SALT INDUCED NAC 1 (GmSIN1) was found to enhance salinity tolerance in soybean plants. The phylogenetic analysis showed there were two homologs of GmSIN1 in Medicago truncatula, MtSIN1a and MtSIN1b. This raised questions regarding the roles of MtSIN1s in alfalfa under salinity stress. Methods: From a Tnt1 mutant collection, we identified the mutants of MtSIN1a. We recorded the survival rate and plant height of mtsin1a-1 and mtsin1a-2 after 100 mM NaCl treatment. Subsequently, we generated 35S:MtSIN1a-GFP transgenic alfalfa lines via genetic transformation. Two lines with relatively high MtSIN1a expression, 35S:MtSIN1a-GFP#3 and 35S:MtSIN1a-GFP#4, were selected for gradient NaCl treatments. In addition, DAB and NBT staining were performed, and the H2O2 content and catalase (CAT) activity were determined. Then, we used RNA-seq analysis and RT-qPCR to study the mechanism of its tolerance. Results: This study found that after salt treatment, the survival rate and plant height of mtsin1a-1 and mtsin1a-2 were significantly lower than those of the WT. The mutants of MtSIN1a were sensitive to salinity stress. The transgenic alfalfa plants exhibited higher plant height, weaker DAB staining, stronger NBT staining, less H2O2 content, and enhanced CAT activity. The transgenic alfalfa constructed by transforming MtSIN1a showed enhanced salinity tolerance with elevated ROS scavenging. We identified MsSOD1 showing elevated expression levels in transcriptomic analysis. Conclusions: MtSIN1a is a positive regulator for enhancing salinity tolerance in alfalfa with activated ROS scavenging. Full article
(This article belongs to the Special Issue Genetics and Breeding of Forage)
Show Figures

Figure 1

21 pages, 6156 KB  
Article
Cloning and Functional Analysis of ZFP5 from Amorpha fruticosa for Enhancing Drought and Saline–Alkali Resistance in Tobacco
by Ziang Liu, Yu Yang, Lihua Yang, Bochun Wang, Xiaotong Gao, Shuchao Huang, Xiufeng Li, Chengjun Yang and Qingjie Guan
Int. J. Mol. Sci. 2025, 26(8), 3792; https://doi.org/10.3390/ijms26083792 - 17 Apr 2025
Cited by 1 | Viewed by 941
Abstract
Drought and soil salinization significantly constrain agricultural productivity, driving the need for molecular breeding strategies to enhance stress resistance. Zinc finger proteins play a critical role in plant response to abiotic stress. In this study, a gene encoding a C2H2-type zinc finger protein [...] Read more.
Drought and soil salinization significantly constrain agricultural productivity, driving the need for molecular breeding strategies to enhance stress resistance. Zinc finger proteins play a critical role in plant response to abiotic stress. In this study, a gene encoding a C2H2-type zinc finger protein (AfZFP5) was cloned from Amorpha fruticosa, a species known for its strong adaptability. qRT-PCR analysis revealed that AfZFP5 expression is regulated by sorbitol, H2O2, NaCl, and NaHCO3. And all four treatments can cause upregulation of AFZFP5 expression in the roots or leaves of Amorpha fruticosa within 48 h. Transgenic tobacco lines overexpressing AfZFP5 demonstrated enhanced tolerance to drought and salt–alkali stress at germination, seedling, and vegetative stages. Compared to wild-type plants, transgenic lines exhibited significantly higher germination rates, root lengths, and fresh weights when treated with sorbitol, NaCl, and NaHCO3. Under natural drought and salt–alkali stress conditions, transgenic plants showed elevated activities of superoxide dismutase (SOD) and peroxidase (POD), and upregulated expression of oxidative stress-related kinase genes (NtSOD, NtPOD) during the vegetative stage. Additionally, transgenic tobacco displayed lower malondialdehyde (MDA) content and reduced staining levels with 3,3′diaminobenzidine (DAB) and Nitro blue tetrazolium (NBT), indicating enhanced reactive oxygen species (ROS) scavenging capacity by AfZFP5 upon salt–alkali stress. Under simulated drought with PEG6000 and salt–alkali stress, chlorophyll fluorescence intensity and Fv/Fm values in transgenic tobacco were significantly higher than in wild-type plants during the vegetative stage, suggesting that AfZFP5 mitigates stress-induced damage to the photosynthetic system. This study highlights the role of AfZFP5 in conferring drought and salt–alkali stress tolerance, providing genetic resources and a theoretical foundation for breeding stress-resistance crops. Full article
(This article belongs to the Special Issue Advanced Plant Molecular Responses to Abiotic Stresses)
Show Figures

Figure 1

15 pages, 3305 KB  
Article
A Knockout of the OsGAPDHC6 Gene Encoding a Cytosolic Glyceraldehyde-3-Phosphate Dehydrogenase Reacts Sensitively to Abiotic Stress in Rice
by Jin-Young Kim, Ye-Ji Lee, Hye-Mi Lee, Yoo-Seob Jung, Jiyun Go, Hyo-Ju Lee, Ki-Sun Nam, Jong-Hee Kim, Kwon-Kyoo Kang and Yu-Jin Jung
Genes 2025, 16(4), 436; https://doi.org/10.3390/genes16040436 - 6 Apr 2025
Cited by 2 | Viewed by 1510
Abstract
Background/Objectives: The glyceraldehyde-3-phosphate dehydrogenase (GAPDH) enzyme, encoded by OsGAPDHC6, plays a crucial role in glycolysis while participating in various physiological and stress response pathways. Methods: In this study, the expression levels of the OsGAPDHC1 and OsGAPDHC6 genes were investigated over time by [...] Read more.
Background/Objectives: The glyceraldehyde-3-phosphate dehydrogenase (GAPDH) enzyme, encoded by OsGAPDHC6, plays a crucial role in glycolysis while participating in various physiological and stress response pathways. Methods: In this study, the expression levels of the OsGAPDHC1 and OsGAPDHC6 genes were investigated over time by treating various abiotic stresses (ABA, PEG, NaCl, heat, and cold) in rice seedlings. Results: As a result, the expression levels of both genes in the ABA-treated group increased continuously for 0–6 h and then de-creased sharply from 12 h onwards. The mutational induction of the GAPDHC6 gene by the CRISPR/Cas9 system generated a stop codon through a 1 bp insertion into protein production. The knockout (KO) lines showed differences in seed length, seed width, and seed thickness compared to wild-type (WT) varieties. In addition, KO lines showed a lower germination rate, germination ability, and germination index of seeds under salt treatment compared to WT, and leaf damage due to 3,3′-diaminobenzidine (DAB) staining was very high due to malondialdehyde (MDA) accumulation. The KO line was lower regarding the expression level of stress-related genes compared to WT. Conclusions: Therefore, the OsGAPDHC6 gene is evaluated as a gene that can increase salt resistance in rice as it actively responds to salt stress in the early stages of growth, occurring from seed germination to just before the tilling stage. Full article
(This article belongs to the Section Plant Genetics and Genomics)
Show Figures

Figure 1

16 pages, 6337 KB  
Article
Preparation of Crown Ether-Containing Polyamide Membranes via Interfacial Polymerization and Their Desalination Performance
by Liqing Xing, Liping Lin, Jiaxin Guo, Xinping He and Chunhai Yi
Membranes 2025, 15(3), 77; https://doi.org/10.3390/membranes15030077 - 3 Mar 2025
Cited by 3 | Viewed by 2211
Abstract
The large-scale application of aromatic polyamide (PA) thin-film composite (TFC) membranes for reverse osmosis has provided an effective way to address worldwide water scarcity. However, the water permeability and salt rejection capabilities of the PA membrane remain limited. In this work, cyclic micropores [...] Read more.
The large-scale application of aromatic polyamide (PA) thin-film composite (TFC) membranes for reverse osmosis has provided an effective way to address worldwide water scarcity. However, the water permeability and salt rejection capabilities of the PA membrane remain limited. In this work, cyclic micropores based on crown ether were introduced into the PA layer using a layer-by-layer interfacial polymerization (LbL-IP) method. After interfacial polymerization between m-phenylenediamine (MPD) and trimesoyl chloride (TMC), the di(aminobenzo)-18-crown-6 (DAB18C6) solution in methanol was poured on the membrane to react with the residual TMC. The cyclic micropores of DAB18C6 provided the membrane with rapid water transport channels and improved ion rejection due to its hydrophilicity and size sieving effect. The membranes were characterized by FTIR, XPS, SEM, and AFM. Compared to unmodified membranes, the water contact angle decreased from 54.1° to 31.6° indicating better hydrophilicity. Moreover, the crown ether-modified membrane exhibited both higher permeability and enhanced rejection performance. The permeability of the crown ether-modified membrane was more than ten times higher than unmodified membranes with a rejection above 95% for Na2SO4, MgSO4, MgCl2, and NaCl solution. These results highlight the potential of this straightforward surface grafting strategy and the modified membranes for advanced water treatment technologies, particularly in addressing seawater desalination challenges. Full article
(This article belongs to the Section Membrane Fabrication and Characterization)
Show Figures

Graphical abstract

16 pages, 2973 KB  
Article
Determination of Amino Acids of Novel Food in Food by HPLC Coupled with Pre-Column Derivatization
by Cenjun Xiao, Jing Xiao, Yuan Wu, Jie Pang, Fuhong Chen, Wenhua Zhang and Dunming Xu
Foods 2024, 13(24), 4012; https://doi.org/10.3390/foods13244012 - 12 Dec 2024
Cited by 4 | Viewed by 5738
Abstract
A method for simultaneous determination of Theanine and γ-aminobutyric acid (GABA), as the novel food of amino acids, which was established using pre-column derivatization and high-performance liquid chromatography (HPLC). 4-Dimethylaminoazobe nzene-4′-sulfonyl chloride (DABS-Cl) is employed as the derivatization reagent with chromophore linked to [...] Read more.
A method for simultaneous determination of Theanine and γ-aminobutyric acid (GABA), as the novel food of amino acids, which was established using pre-column derivatization and high-performance liquid chromatography (HPLC). 4-Dimethylaminoazobe nzene-4′-sulfonyl chloride (DABS-Cl) is employed as the derivatization reagent with chromophore linked to Theanine and GABA, which lacks chromophore for DAD analysis in its pristine structure. After the detection wavelength was confirmed, the chromatographic and derivatization conditions were also optimized, including the chromatographic column, mobile phases and their gradient, derivatization temperature and time, the additive amount of buffer solution and derivatization reagent. Methodological verification showed that the derivant of Theanine (DABS-Theanine) and derivant of GABA (DABS-GABA) have good linearity in the range of 1–100 μg/mL, with correlation coefficients of 0.9996 and 0.9995, respectively. The recoveries for both amino acids were between 93.95% and 103.90%, with RSDs ranging from 0.99% to 3.93%. The limit of detection (LOD) was 0.6 mg/kg for Theanine and 0.2 mg/kg for GABA. The limit of quantification (LOQ) was 1.7 mg/kg for Theanine and 0.6 mg/kg for GABA. Furthermore, five commercial products containing Theanine or GABA in two matrices (candy and beverage) were analyzed by the proposed method for validation. The average contents of Theanine and GABA were in the range of 307.49–1312.13 mg/kg and 22.98–6744.55 mg/kg, respectively. The developed method features easy sample pretreatment, a simple derivatization system, good separation specificity, good repeatability, accuracy and reliability, and can meet the large-scale determination Theanine and GABA in various food substrates. Full article
(This article belongs to the Section Food Analytical Methods)
Show Figures

Figure 1

20 pages, 3147 KB  
Article
Investigating Safety and Technological Traits of a Leading Probiotic Species: Lacticaseibacillus paracasei
by Andrea Colautti, Federica Ginaldi, Lucia Camprini, Giuseppe Comi, Anna Reale and Lucilla Iacumin
Nutrients 2024, 16(14), 2212; https://doi.org/10.3390/nu16142212 - 10 Jul 2024
Cited by 7 | Viewed by 4320
Abstract
Lacticaseibacillus spp. are genetically close lactic acid bacteria species widely used in fermented products for their technological properties as well as their proven beneficial effects on human and animal health. This study, the first to include such a large collection of heterogeneous isolates [...] Read more.
Lacticaseibacillus spp. are genetically close lactic acid bacteria species widely used in fermented products for their technological properties as well as their proven beneficial effects on human and animal health. This study, the first to include such a large collection of heterogeneous isolates (121) obtained from international collections belonging to Lacticaseibacillus paracasei, aimed to characterize the safety traits and technological properties of this important probiotic species, also making comparisons with other genetically related species, such as Lacticaseibacillus casei and Lacticaseibacillus zeae. These strains were isolated from a variety of heterogeneous sources, including dairy products, sourdoughs, wine, must, and human body excreta. After a preliminary molecular characterization using repetitive element palindromic PCR (Rep-PCR), Random Amplification of Polymorphic DNA (RAPD), and Sau-PCR, particular attention was paid to safety traits, evaluating antibiotic resistance profiles, biogenic amine (BA) production, the presence of genes related to the production of ethyl carbamate and diaminobenzidine (DAB), and multicopper oxidase activity (MCO). The technological characteristics of the strains, such as the capability to grow at different NaCl and ethanol concentrations and different pH values, were also investigated, as well as the production of bacteriocins. From the obtained results, it was observed that strains isolated from the same type of matrix often shared similar genetic characteristics. However, phenotypic traits were strain-specific. This underscored the vast potential of the different strains to be used for various purposes, from probiotics to bioprotective and starter cultures for food and feed production, highlighting the importance of conducting comprehensive evaluations to identify the most suitable strain for each purpose with the final aim of promoting human health. Full article
(This article belongs to the Section Prebiotics, Probiotics and Postbiotics)
Show Figures

Figure 1

18 pages, 14879 KB  
Article
Optimizing the Composition of the Substrate Enhances the Performance of Peroxidase-like Nanozymes in Colorimetric Assays: A Case Study of Prussian Blue and 3,3′-Diaminobenzidine
by Pavel Khramtsov, Artem Minin, Zarina Galaeva, Elena Mukhlynina, Maria Kropaneva and Mikhail Rayev
Molecules 2023, 28(22), 7622; https://doi.org/10.3390/molecules28227622 - 16 Nov 2023
Cited by 11 | Viewed by 4226
Abstract
One of the emerging trends in modern analytical and bioanalytical chemistry involves the substitution of enzyme labels (such as horseradish peroxidase) with nanozymes (nanoparticles possessing enzyme-like catalytic activity). Since enzymes and nanozymes typically operate through different catalytic mechanisms, it is expected that optimal [...] Read more.
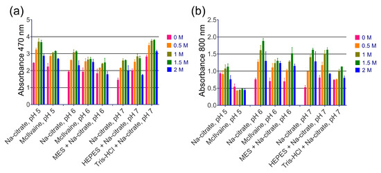
One of the emerging trends in modern analytical and bioanalytical chemistry involves the substitution of enzyme labels (such as horseradish peroxidase) with nanozymes (nanoparticles possessing enzyme-like catalytic activity). Since enzymes and nanozymes typically operate through different catalytic mechanisms, it is expected that optimal reaction conditions will also differ. The optimization of substrates for nanozymes usually focuses on determining the ideal pH and temperature. However, in some cases, even this step is overlooked, and commercial substrate formulations designed for enzymes are utilized. This paper demonstrates that not only the pH but also the composition of the substrate buffer, including the buffer species and additives, significantly impact the analytical signal generated by nanozymes. The presence of enhancers such as imidazole in commercial substrates diminishes the catalytic activity of nanozymes, which is demonstrated herein through the use of 3,3′-diaminobenzidine (DAB) and Prussian Blue as a model chromogenic substrate and nanozyme. Conversely, a simple modification to the substrate buffer greatly enhances the performance of nanozymes. Specifically, in this paper, it is demonstrated that buffers such as citrate, MES, HEPES, and TRIS, containing 1.5–2 M NaCl or NH4Cl, substantially increase DAB oxidation by Prussian Blue and yield a higher signal compared to commercial DAB formulations. The central message of this paper is that the optimization of substrate composition should be an integral step in the development of nanozyme-based assays. Herein, a step-by-step optimization of the DAB substrate composition for Prussian Blue nanozymes is presented. The optimized substrate outperforms commercial formulations in terms of efficiency. The effectiveness of the optimized DAB substrate is affirmed through its application in several commonly used immunostaining techniques, including tissue staining, Western blotting assays of immunoglobulins, and dot blot assays of antibodies against SARS-CoV-2. Full article
Show Figures

Figure 1

11 pages, 1941 KB  
Article
AtSIBP1, a Novel BTB Domain-Containing Protein, Positively Regulates Salt Signaling in Arabidopsis thaliana
by Xia Wan, Lu Peng, Jie Xiong, Xiaoyi Li, Jianmei Wang, Xufeng Li and Yi Yang
Plants 2019, 8(12), 573; https://doi.org/10.3390/plants8120573 - 5 Dec 2019
Cited by 28 | Viewed by 4220
Abstract
Because they are sessile organisms, plants need rapid and finely tuned signaling pathways to adapt to adverse environments, including salt stress. In this study, we identified a gene named Arabidopsis thaliana stress-induced BTB protein 1 (AtSIBP1), which encodes a nucleus protein [...] Read more.
Because they are sessile organisms, plants need rapid and finely tuned signaling pathways to adapt to adverse environments, including salt stress. In this study, we identified a gene named Arabidopsis thaliana stress-induced BTB protein 1 (AtSIBP1), which encodes a nucleus protein with a BTB domain in its C-terminal side and is induced by salt and other stresses. The expression of the β-glucuronidase (GUS) gene driven by the AtSIBP1 promoter was found to be significantly induced in the presence of NaCl. The sibp1 mutant that lost AtSIBP1 function was found to be highly sensitive to salt stress and more vulnerable to salt stress than the wild type WT, while the overexpression of AtSIBP1 transgenic plants exhibited more tolerance to salt stress. According to the DAB staining, the sibp1 mutant accumulated more reactive oxygen species (ROS) than the WT and AtSIBP1 overexpression plants after salt stress. In addition, the expression levels of stress-induced marker genes in AtSIBP1 overexpression plants were markedly higher than those in the WT and sibp1 mutant plants. Therefore, our results demonstrate that AtSIBP1 was a positive regulator in salinity responses in Arabidopsis. Full article
Show Figures

Figure 1

21 pages, 4156 KB  
Article
The Role of Sugarcane Catalase Gene ScCAT2 in the Defense Response to Pathogen Challenge and Adversity Stress
by Tingting Sun, Feng Liu, Wenju Wang, Ling Wang, Zhuqing Wang, Jing Li, Youxiong Que, Liping Xu and Yachun Su
Int. J. Mol. Sci. 2018, 19(9), 2686; https://doi.org/10.3390/ijms19092686 - 10 Sep 2018
Cited by 25 | Viewed by 5726
Abstract
Catalases, which consist of multiple structural isoforms, catalyze the decomposition of hydrogen peroxide in cells to prevent membrane lipid peroxidation. In this study, a group II catalase gene ScCAT2 (GenBank Accession No. KF528830) was isolated from sugarcane genotype Yacheng05-179. ScCAT2 encoded a predicted [...] Read more.
Catalases, which consist of multiple structural isoforms, catalyze the decomposition of hydrogen peroxide in cells to prevent membrane lipid peroxidation. In this study, a group II catalase gene ScCAT2 (GenBank Accession No. KF528830) was isolated from sugarcane genotype Yacheng05-179. ScCAT2 encoded a predicted protein of 493 amino acid residues, including a catalase active site signature (FARERIPERVVHARGAS) and a heme-ligand signature (RVFAYADTQ). Subcellular localization experiments showed that the ScCAT2 protein was distributed in the cytoplasm, plasma membrane, and nucleus of Nicotiana benthamiana epidermal cells. Quantitative real-time polymerase chain reaction (qRT-PCR) analysis indicated that the ScCAT2 gene was ubiquitously expressed in sugarcane tissues, with expression levels from high to low in stem skin, stem pith, roots, buds, and leaves. ScCAT2 mRNA expression was upregulated after treatment with abscisic acid (ABA), sodium chloride (NaCl), polyethylene glycol (PEG), and 4 °C low temperature, but downregulated by salicylic acid (SA), methyl jasmonate (MeJA), and copper chloride (CuCl2). Moreover, tolerance of Escherichia coli Rosetta cells carrying pET-32a-ScCAT2 was enhanced by NaCl stress, but not by CuCl2 stress. Sporisorium scitamineum infection of 10 different sugarcane genotypes showed that except for YZ03-258, FN40, and FN39, ScCAT2 transcript abundance in four smut-resistant cultivars (Yacheng05-179, YZ01-1413, YT96-86, and LC05-136) significantly increased at the early stage (1 day post-inoculation), and was decreased or did not change in the two smut-medium-susceptibility cultivars (ROC22 and GT02-467), and one smut-susceptible cultivar (YZ03-103) from 0 to 3 dpi. Meanwhile, the N. benthamiana leaves that transiently overexpressed ScCAT2 exhibited less severe disease symptoms, more intense 3,3′-diaminobenzidine (DAB) staining, and higher expression levels of tobacco immune-related marker genes than the control after inoculation with tobacco pathogen Ralstonia solanacearum or Fusarium solani var. coeruleum. These results indicate that ScCAT2 plays a positive role in immune responses during plant–pathogen interactions, as well as in salt, drought, and cold stresses. Full article
(This article belongs to the Special Issue Plant–Fungal Interactions)
Show Figures

Graphical abstract

23 pages, 1221 KB  
Article
ScChi, Encoding an Acidic Class III Chitinase of Sugarcane, Confers Positive Responses to Biotic and Abiotic Stresses in Sugarcane
by Yachun Su, Liping Xu, Zhiwei Fu, Yuting Yang, Jinlong Guo, Shanshan Wang and Youxiong Que
Int. J. Mol. Sci. 2014, 15(2), 2738-2760; https://doi.org/10.3390/ijms15022738 - 18 Feb 2014
Cited by 77 | Viewed by 10071
Abstract
Chitinases (EC 3.2.2.14), expressed during the plant-pathogen interaction, are associated with plant defense against pathogens. In the present study, a positive correlation between chitinase activity and sugarcane smut resistance was found. ScChi (GenBank accession no. KF664180), a Class III chitinase gene, encoded a [...] Read more.
Chitinases (EC 3.2.2.14), expressed during the plant-pathogen interaction, are associated with plant defense against pathogens. In the present study, a positive correlation between chitinase activity and sugarcane smut resistance was found. ScChi (GenBank accession no. KF664180), a Class III chitinase gene, encoded a 31.37 kDa polypeptide, was cloned and identified. Subcellular localization revealed ScChi targeting to the nucleus, cytoplasm and the plasma membrane. Real-time quantitative PCR (RT-qPCR) results showed that ScChi was highly expressed in leaf and stem epidermal tissues. The ScChi transcript was both higher and maintained longer in the resistance cultivar during challenge with Sporisorium scitamineum. The ScChi also showed an obvious induction of transcription after treatment with SA (salicylic acid), H2O2, MeJA (methyl jasmonate), ABA (abscisic acid), NaCl, CuCl2, PEG (polyethylene glycol) and low temperature (4 °C). The expression levels of ScChi and six immunity associated marker genes were upregulated by the transient overexpression of ScChi. Besides, histochemical assay of Nicotiana benthamiana leaves overexpressing pCAMBIA 1301-ScChi exhibited deep DAB (3,3'-diaminobenzidinesolution) staining color and high conductivity, indicating the high level of H2O2 accumulation. These results suggest a close relationship between the expression of ScChi and plant immunity. In conclusion, the positive responses of ScChi to the biotic and abiotic stimuli reveal that this gene is a stress-related gene of sugarcane. Full article
(This article belongs to the Section Biochemistry)
Show Figures

Graphical abstract

Back to TopTop