Sign in to use this feature.

Years

Between: -

Subjects

remove_circle_outline
remove_circle_outline
remove_circle_outline
remove_circle_outline
remove_circle_outline
remove_circle_outline
remove_circle_outline

Journals

Article Types

Countries / Regions

Search Results (220)

Search Parameters:
Keywords = Ctgf

Order results
Result details
Results per page
Select all
Export citation of selected articles as:
17 pages, 2295 KB  
Article
The Hippo Pathway in Metaplastic Breast Carcinoma: Prognostic Significance and Therapeutic Implications
by Eleni Papamattheou, Alkistis Papatheodoridi, Ioannis Katsaros, Garyfalia Bletsa, Afroditi Nonni, Constantine Dimitrakakis, Dimitrios Haidopoulos, Angeliki Andrikopoulou, Areti Papakosta, Spyridon Marinopoulos, Aris Giannos, Sofia Koura, Eftychia Papachatzopoulou, Ioannis K. Papapanagiotou, Georgios I. Metaxas, Aikaterini-Gavriela Giannakaki, Meletios-Athanasios Dimopoulos and Flora Zagouri
Curr. Issues Mol. Biol. 2025, 47(12), 1060; https://doi.org/10.3390/cimb47121060 - 18 Dec 2025
Viewed by 21
Abstract
Background/objectives: Metaplastic breast carcinoma (MpBC) is a rare, poorly differentiated breast cancer defined by the presence of ductal carcinoma along with areas of matrix-producing, spindle-cell, sarcomatous, or squamous differentiation. It does not express hormone receptors and has a poor overall prognosis. The [...] Read more.
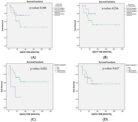
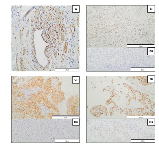
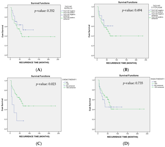
Background/objectives: Metaplastic breast carcinoma (MpBC) is a rare, poorly differentiated breast cancer defined by the presence of ductal carcinoma along with areas of matrix-producing, spindle-cell, sarcomatous, or squamous differentiation. It does not express hormone receptors and has a poor overall prognosis. The Hippo molecular pathway was recently related to cancer progression and adjuvant therapy resistance. The objective of this study was to evaluate the expression of Hippo pathway transducers, YAP/TAZ, CCND1, and CTGF, in MpBC and their relation to the clinicopathological characteristics of the disease. Methods: Specimens from patients with MpBC treated at our department from 2003 to 2021 were analyzed utilizing immunohistochemistry and real-time PCR. Results: Forty-four female patients (62.6 ± 14.7 years old) met inclusion criteria and were included in this study. Strong nuclear YAP/TAZ expression was found in 61.4% of patients, while the expressions of CCND1 and CTGF were 3.9% and 12.5%, respectively. Patients presenting at an advanced stage had a statistically worse prognosis compared to the ones diagnosed with stage IA disease. Adjuvant chemotherapy was associated with better overall survival, while disease recurrence was significantly associated with a worse prognosis. Conclusions: Advanced stage at diagnosis and disease recurrence were significantly associated with worse prognosis in MpBC. However, adjuvant chemotherapy significantly led to better overall survival. The Hippo pathway is frequently deregulated (nuclear YAP/TAZ in 61.4% of patients), suggesting it is a compelling novel therapeutic target for this aggressive disease. Full article
Show Figures

Figure 1

27 pages, 4630 KB  
Article
Caffeine Protects Against Hyperoxia-Induced Structural Lung Injury and Restores Alveolar Development in Neonatal Rats
by Stefanie Endesfelder and Christoph Bührer
Antioxidants 2025, 14(12), 1497; https://doi.org/10.3390/antiox14121497 - 12 Dec 2025
Viewed by 207
Abstract
In the developing lung, oxidative stress caused by relative hyperoxia constitutes a central pathogenic mechanism of neonatal lung injury resulting in bronchopulmonary dysplasia (BPD). The immature postnatal lung is highly susceptible to oxidative damage due to incomplete antioxidant defenses and ongoing alveolar and [...] Read more.
In the developing lung, oxidative stress caused by relative hyperoxia constitutes a central pathogenic mechanism of neonatal lung injury resulting in bronchopulmonary dysplasia (BPD). The immature postnatal lung is highly susceptible to oxidative damage due to incomplete antioxidant defenses and ongoing alveolar and vascular maturation. In a postnatal high-oxygen-induced rat model of BPD-associated lung injury, three or five days of exposure to 80% oxygen was found to disrupt developmental signaling pathways, downregulating genes essential for alveolarization and angiogenesis while inducing profibrotic mediators and collagen expression (Sirius Red staining). These changes resulted in simplified alveolar architecture, as quantified by toluidine blue staining and mean linear intercept analysis of normalized volumes of parenchyma, non-parenchyma, airspaces, septa, and edema. Acting as a multifunctional antioxidant with antifibrotic activity, caffeine mitigated structural lung damage and normalized the transcription of angiogenic and fibrotic genes. It counteracted TGF-β/CTGF-driven fibrogenic signaling and promoted recovery of normal lung morphology following hyperoxic injury. Under normoxic conditions, however, caffeine transiently upregulated profibrotic mediators. Overall, caffeine mitigates hyperoxia-induced lung injury and may actively promote physiological lung maturation, warranting future studies to define optimal dosing windows, clarify context-dependent fibrotic signaling, and translate gene-level effects into long-term clinical outcomes. Full article
(This article belongs to the Special Issue Oxidative Stress in the Newborn)
Show Figures

Figure 1

16 pages, 1695 KB  
Review
Cellular Players in Gastrointestinal Involvement of Systemic Sclerosis: Insights into Pathogenesis
by Silvia Peretti, Francesco Bonomi, Giulia Bandini, Cristiano Barbetta, Michael Hughes, Francesco Del Galdo, Marco Matucci Cerinic, Zsuzsanna H. McMahan and Silvia Bellando Randone
Cells 2025, 14(23), 1930; https://doi.org/10.3390/cells14231930 - 4 Dec 2025
Viewed by 465
Abstract
Background: Gastrointestinal (GI) involvement is the most frequent visceral complication of systemic sclerosis (SSc), affecting up to 90% of patients, yet it remains poorly understood compared to pulmonary or cutaneous manifestations. The aim of this review is to integrate current knowledge on [...] Read more.
Background: Gastrointestinal (GI) involvement is the most frequent visceral complication of systemic sclerosis (SSc), affecting up to 90% of patients, yet it remains poorly understood compared to pulmonary or cutaneous manifestations. The aim of this review is to integrate current knowledge on the cellular mechanisms underlying GI disease in SSc and to identify research priorities. Methods: A narrative literature review was conducted through a systematic PubMed search up to September 2025, complemented by manual reference screening. Results: Histopathological and functional evidence consistently demonstrates that neuromuscular alterations, including degeneration of enteric neurons, loss of interstitial cells of Cajal, and smooth muscle atrophy, can precede fibrosis, challenging the traditional “fibrosis-first” paradigm. Fibroblast and myofibroblast activation are present in gastric and colonic samples, sustained by profibrotic mediators such as TGF-β, CTGF, and endothelin-1, although the cellular origins of these stromal cells remain uncertain. Additional pathogenic contributions include autonomic dysfunction, barrier dysfunction with dysbiosis, impaired vascular reserve of vessels perfusing the gut, and functional autoantibodies targeting interneural and neuromuscular function and communication. Compared with skin and lung, the GI tract displays less fibrosis and fewer inflammatory infiltrates, but immune-derived mediators and autoantibodies suggest distinct immunopathogenic pathways are activated. Conclusions: Collectively, these findings depict GI involvement in SSc as a multi-compartmental process integrating neural, epithelial, endothelial, stromal, and immune alterations. Addressing the lack of validated biomarkers, mechanistic models, and biomarker-stratified trials will be essential to move beyond symptomatic care and toward precision medicine approaches for SSc-related GI disease. Full article
Show Figures

Figure 1

19 pages, 4737 KB  
Article
Therapeutic Modulation of Mitophagy by Cafestol in Pressure Overload-Induced Cardiac Hypertrophy and Fibrosis
by Wen-Rui Hao, Chun-Chao Chen, Guan-Ci Huang, Jia-Hong Lin, Huan-Yuan Chen, Ju-Chi Liu, Tzu-Hurng Cheng and Jin-Jer Chen
Nutrients 2025, 17(23), 3680; https://doi.org/10.3390/nu17233680 - 25 Nov 2025
Viewed by 429
Abstract
Background/Objectives: Mitophagy, the selective removal of damaged mitochondria, plays a pivotal role in regulating cardiac hypertrophy and fibrosis under pressure overload. Targeting mitophagy may help mitigate adverse cardiac remodeling. This preclinical study examined the effects of cafestol, a coffee-derived diterpene, on pressure [...] Read more.
Background/Objectives: Mitophagy, the selective removal of damaged mitochondria, plays a pivotal role in regulating cardiac hypertrophy and fibrosis under pressure overload. Targeting mitophagy may help mitigate adverse cardiac remodeling. This preclinical study examined the effects of cafestol, a coffee-derived diterpene, on pressure overload-induced cardiac hypertrophy and fibrosis in mice, with emphasis on mitophagy modulation and mitochondrial ultrastructure. Methods: Male normotensive mice underwent transverse aortic constriction (TAC) and received cafestol at 2, 10, or 50 mg/kg/day via oral gavage for 28 days. Cardiac function was assessed by echocardiography. Histological and molecular analyses quantified fibrosis, inflammation, and apoptosis. Protein expression of CD68, CTGF, DDR2, α-SMA, CD44, galectin-3 (Gal3), collagen I, GAPDH, Bcl-2, Bax, cleaved caspase-3, GRP78, p-ERK/ERK, ATF4, p-mTOR/mTOR, and p62 was evaluated. Transmission electron microscopy (TEM) was used to assess autophagosome formation and mitochondrial morphology. Results: TAC induced significant cardiac hypertrophy and fibrosis, accompanied by elevated expression of fibrotic (CTGF, DDR2, α-SMA, collagen I), inflammatory (CD68, CD44, Gal3), apoptotic (Bax, cleaved caspase-3), and endoplasmic reticulum stress markers (GRP78, ATF4). TEM revealed increased autophagosome accumulation and disrupted mitochondrial architecture. Cafestol treatment reduced collagen deposition, immune cell infiltration, and apoptotic signaling; enhanced Bcl-2 expression; and restored p62 levels. TEM findings demonstrated decreased autophagosome burden and preserved mitochondrial structure, consistent with improved mitophagic flux and mitochondrial homeostasis. Conclusions: Cafestol mitigated pressure overload-induced cardiac remodeling in mice by modulating mitophagy, suppressing fibrotic and inflammatory responses, and preserving mitochondrial integrity. These findings support further investigation of cafestol’s mechanisms and safety profile in preclinical models of cardiovascular disease. Full article
(This article belongs to the Special Issue Bioactive Ingredients in Plants Related to Human Health—2nd Edition)
Show Figures

Figure 1

14 pages, 1575 KB  
Article
CCN2/CTGF-Driven Myocardial Fibrosis and NT-proBNP Synergy as Predictors of Mortality in Maintenance Hemodialysis
by Wen-Chin Ko, Che-Shao Chen, Yi-Ping Chang, Chi-Sheng Wu, Hung-Chi Yang and Jia-Feng Chang
Int. J. Mol. Sci. 2025, 26(23), 11350; https://doi.org/10.3390/ijms262311350 - 24 Nov 2025
Viewed by 346
Abstract
Chronic inter-dialytic volume overload and uremic inflammation activate TGF-β/Smad3 and p38 MAPK pathways, inducing connective tissue growth factors (CCN2/CTGF)-mediated fibrosis and NT-proBNP secretion from over-stretched cardiomyocytes. The combined rise in CTGF and NT-proBNP reflects myocardial fibrosis, stiffness and remodeling, predicting cardiovascular (CV) death [...] Read more.
Chronic inter-dialytic volume overload and uremic inflammation activate TGF-β/Smad3 and p38 MAPK pathways, inducing connective tissue growth factors (CCN2/CTGF)-mediated fibrosis and NT-proBNP secretion from over-stretched cardiomyocytes. The combined rise in CTGF and NT-proBNP reflects myocardial fibrosis, stiffness and remodeling, predicting cardiovascular (CV) death in maintenance hemodialysis (MHD) patients. From molecular pathology to clinical translation, circulating CCN2/CTGF and NT-proBNP levels and bio-clinical data among MHD patients were measured in this prospective cohort. Multivariate Cox regression analysis identified independent predictors of mortality, which were incorporated into a composite risk-score model. The predictive performance for all-cause, CV, and sudden cardiac death (SCD) was assessed using receiver operating characteristic (ROC) survival analysis. CCN2/CTGF, NT-proBNP, age, serum albumin, MHD vintage, high-sensitivity C-reactive protein, smoking, and diabetes mellitus were significant predictors. The integrated model yielded areas under the curve of 0.91 for all-cause mortality, 0.88 for CV mortality, and 0.87 for SCD. Integrated complementary biomarkers and clinical parameters significantly improve mortality risk prediction in MHD patients. This synergistic model provides clinicians with a robust tool for early CV screening, individualized intervention, and precision management for high-risk populations. Full article
(This article belongs to the Special Issue Biomarkers for Cardiovascular Risk Prediction)
Show Figures

Figure 1

22 pages, 2496 KB  
Article
Advanced Glycation End Products Mediate Epigenetic Alteration of H3K27me3 in Renal Proximal Tubular Cells: Potential Role in Metabolic Memory
by Lore Ludewig, Tzvetanka Bondeva, Marita Liebisch, Jonas Ihle, Ivonne Loeffler and Gunter Wolf
Cells 2025, 14(21), 1729; https://doi.org/10.3390/cells14211729 - 4 Nov 2025
Viewed by 661
Abstract
The accumulation of advanced glycation end products (AGEs) is a hallmark of prolonged high glucose levels in diabetes mellitus. We have previously reported that hypoxia and AGEs cause epigenetic modification of the repressive mark H3K27me3 in podocytes by downregulation of enhancer of zeste [...] Read more.
The accumulation of advanced glycation end products (AGEs) is a hallmark of prolonged high glucose levels in diabetes mellitus. We have previously reported that hypoxia and AGEs cause epigenetic modification of the repressive mark H3K27me3 in podocytes by downregulation of enhancer of zeste homolog 2 (EZH2) and nuclear inhibitor of protein phosphatase 1 (NIPP1). However, their impact on proximal tubular cells remains unclear. The aim of this study was to investigate the role of AGEs and diabetes on the epigenetic modifications of EZH2 and H3K27me3 in proximal tubular cells and in diabetic (db/db) mice. Our results show that AGEs reduced EZH2 expression in TKPTS cells, thereby decreasing the tri-methylation of H3K27. qRT-PCR analysis revealed upregulation of genes known to contribute to diabetic nephropathy and kidney injury as Ctgf, Snai1, and p27Kip1. Consistently, immunofluorescent staining of renal sections from db/db mice confirmed the reduction in H3K27me3 levels in proximal tubules compared to non-diabetic controls. In summary, we show that AGEs induce epigenetic changes in proximal tubular cells by suppressing EZH2, thereby facilitating the transcription of genes involved in progression of diabetic nephropathy. These results provide new insights into metabolic memory, a process in which prior poor glucose control triggers ongoing renal damage despite current normoglycemia. Full article
Show Figures

Graphical abstract

16 pages, 1307 KB  
Article
Dual Endothelin Receptor Inhibition with Bosentan Does Not Prevent the Early Formation of Post-Traumatic Joint Contracture in a Rat Model
by Erik Wegner, Dennis Warnke, Victoria Buschmann, Benedikt Hild, Alexander Pirkl, Ulrike Ritz, Austin Harper, Erol Gercek, Philipp Drees and Andreas Baranowski
J. Clin. Med. 2025, 14(19), 6975; https://doi.org/10.3390/jcm14196975 - 1 Oct 2025
Viewed by 521
Abstract
Background: Post-traumatic joint contracture (PTJC) remains one of the most prevalent and challenging complications arising from musculoskeletal trauma or surgical intervention. Conventional treatment modalities are largely reactive and address symptoms after onset, yet provide limited efficacy once contracture has developed. In contrast, pharmacological [...] Read more.
Background: Post-traumatic joint contracture (PTJC) remains one of the most prevalent and challenging complications arising from musculoskeletal trauma or surgical intervention. Conventional treatment modalities are largely reactive and address symptoms after onset, yet provide limited efficacy once contracture has developed. In contrast, pharmacological strategies targeting the underlying inflammatory and fibrotic pathways offer a promising strategy for preventing the development of PTJC altogether. Methods: A total of 26 male Sprague Dawley rats underwent standardized knee trauma followed by immobilization for a duration of two weeks. Rats were randomized into two groups. The experimental group (n = 13) received bosentan at a dosage of 50 mg/kg twice daily throughout the immobilization period. The control group (n = 13) received a placebo instead. Joint mobility was quantitatively assessed by measuring the contracture angle (CA) and resistance to extension. In addition, posterior joint capsule tissues were harvested for histological analysis and subjected to quantitative PCR (qPCR) to quantify the expression of profibrotic genes, including α-Sma, Il-6, Tgf-β1, Nfκ-b, Ctgf. Results: Bosentan had no relevant effect on the biomechanics of the contracture compared to the placebo group. The contracture angle was comparable between the groups (86.8° ± 14.1°, 84.8° ± 11.1°). Similarly, the force required to achieve knee joint extension was comparable between the groups. Gene expression analysis also provided no evidence of reduced expression of pro-inflammatory or profibrotic genes. Histological assessments revealed no change in the absolute or relative number of myofibroblasts, or in the number of vessels, in the posterior joint capsules of the rats treated with bosentan. Compared to the control group, the number of myofibroblasts significantly increased in both the bosentan and control groups (p < 0.001, one-way ANOVA). Conclusions: Bosentan’s purported antifibrotic properties do not appear to confer a preventative effect on the development of PTJC. These findings suggest that, despite its potential in modulating fibrosis, bosentan does not mitigate the progression of the fibrotic condition. Furthermore, the involvement of endothelin-1 (ET-1) in the pathophysiology of PTJC remains yet to be fully understood, warranting further investigation. Full article
(This article belongs to the Section Orthopedics)
Show Figures

Figure 1

20 pages, 926 KB  
Article
Exploring Molecular and Clinical Dimensions of Glaucoma as a Neurodegenerative Disease
by Sandra Carolina Durán-Cristiano, Gloria L. Duque-Chica, Viviana Torres-Osorio, Juan David Ospina-Villa, Alba Martin-Gil, Geysson Javier Fernandez and Gonzalo Carracedo
Int. J. Mol. Sci. 2025, 26(18), 9109; https://doi.org/10.3390/ijms26189109 - 18 Sep 2025
Viewed by 1180
Abstract
Glaucoma is traditionally defined as an ocular disease characterized by progressive retinal ganglion cell degeneration, in some cases with elevated intraocular pressure (IOP), and optic nerve damage. However, growing evidence indicates that glaucoma shares critical features with neurodegenerative disorders, including Alzheimer’s and Parkinson’s [...] Read more.
Glaucoma is traditionally defined as an ocular disease characterized by progressive retinal ganglion cell degeneration, in some cases with elevated intraocular pressure (IOP), and optic nerve damage. However, growing evidence indicates that glaucoma shares critical features with neurodegenerative disorders, including Alzheimer’s and Parkinson’s diseases. This study aimed to explore the systemic nature of primary open-angle glaucoma (POAG) by integrating visual function, cognitive performance, and transcriptomic profiling. We conducted a multidimensional assessment of POAG patients and age-matched controls, accounting for demographic factors. Structural parameters included retinal nerve fiber layer (RNFL) thickness, measured using optical coherence tomography (OCT), and visual field indices mean deviation (MD) and pattern standard deviation (PSD). Cognitive function was evaluated across multiple domains, encompassing visual memory, executive function, processing speed, and verbal fluency. Additionally, transcriptomic analysis was performed from conjunctival samples to identify differentially expressed genes (DEGs) and enriched pathways. POAG patients exhibited significant RNFL thinning, which correlated with both visual field loss and cognitive impairments, particularly in terms of visual memory and executive function. Transcriptomic profiling revealed a distinct gene expression signature in POAG, including upregulation of TTBK1 and CCN2 (CTGF), genes associated with tau phosphorylation and extracellular matrix remodeling. Functional enrichment analysis indicated the involvement of neurodegenerative pathways, such as glutamate signaling, calcium signaling, and cell adhesion. Our findings support the reclassification of glaucoma as a neurodegenerative disease with both ocular and cognitive manifestations. Furthermore, biomarkers such as TTBK1 and CCN2 may serve as potential targets for early detection and neuroprotective therapy. Full article
(This article belongs to the Section Molecular Pathology, Diagnostics, and Therapeutics)
Show Figures

Figure 1

13 pages, 2571 KB  
Article
Exploratory Analysis of Differentially Expressed Genes for Distinguishing Adipose-Derived Mesenchymal Stroma/Stem Cells from Fibroblasts
by Masami Kanawa, Katsumi Fujimoto, Tania Saskianti, Ayumu Nakashima and Takeshi Kawamoto
Appl. Sci. 2025, 15(18), 9881; https://doi.org/10.3390/app15189881 - 9 Sep 2025
Viewed by 793
Abstract
Adipose-derived mesenchymal stromal/stem cells (AT-MSCs) can be typically isolated from adipose tissue using a minimally invasive procedure. However, since AT-MSCs are usually obtained from subcutaneous tissue, there is a risk of contamination with fibroblasts (FBs), which can reduce the differentiation potential of AT-MSCs. [...] Read more.
Adipose-derived mesenchymal stromal/stem cells (AT-MSCs) can be typically isolated from adipose tissue using a minimally invasive procedure. However, since AT-MSCs are usually obtained from subcutaneous tissue, there is a risk of contamination with fibroblasts (FBs), which can reduce the differentiation potential of AT-MSCs. To avoid this contamination, it is crucial to identify specific markers to effectively distinguish AT-MSCs from FBs. Analysis of microarray data obtained from three studies (GSE9451, GSE66084, GSE94667, and GSE38947) revealed 123 genes expressed at levels more than 1.5-fold higher in AT-MSCs compared to FBs. Using STRING, a protein-protein interaction (PPI) network consisting of 80 nodes and 197 edges was identified within the 123 genes. Further investigation using Molecular Complex Detection in Cytoscape identified a module of 12 genes: COL3A1, FBN1, COL4A1, COL5A2, POSTN, CTGF, SPARC, HSPG2, FSTL1, LAMA2, LAMC1, COL16A1. Gene Ontology analysis revealed that these genes were enriched in extracellular region (GO: 0005576). Additionally, these 12 genes corresponded to the top 12 of the 15 hub genes calculated using the Maximal Clique Centrality algorithm. The results of this study suggest that these 12 genes may serve as markers for distinguishing AT-MSCs from FBs, offering potential applications in regenerative medicine. Full article
Show Figures

Figure 1

17 pages, 4576 KB  
Article
Sublingual Dripping Pill Formulation of Ganoderma amboinense Fruiting Body Extract Attenuates CCl4-Induced Liver Fibrosis via Multi-Pathway Regulation
by Chin-Feng Liu, Chong-Ming Pan and Chun-Lin Lee
Curr. Issues Mol. Biol. 2025, 47(9), 697; https://doi.org/10.3390/cimb47090697 - 28 Aug 2025
Viewed by 1099
Abstract
Liver fibrosis remains difficult to treat, in part because many hepatoprotective triterpenoids suffer from poor oral bioavailability and lack of optimized delivery formats. Ganoderma amboinense is a rare “antler” reishi species long valued in Eastern traditions yet scarcely studied for its phytochemical and [...] Read more.
Liver fibrosis remains difficult to treat, in part because many hepatoprotective triterpenoids suffer from poor oral bioavailability and lack of optimized delivery formats. Ganoderma amboinense is a rare “antler” reishi species long valued in Eastern traditions yet scarcely studied for its phytochemical and pharmacological potential. Here, we report the first investigation of an ethanol-extracted G. amboinense sublingual dripping pill formulation (GDP) in a carbon-tetrachloride (CCl4)–induced mouse model of liver fibrosis. Mice treated with GDP at one- and five-times the human equivalent dose were compared to groups receiving unprocessed G. amboinense powder (GP) or purified ganoderic acid A (GA-A). GDP significantly prevented CCl4-induced weight loss and hepatomegaly, normalizing liver-to-body weight ratios and serum AST/ALT activities (p < 0.05). Histological evaluation showed that GDP markedly reduced hepatocellular necrosis and collagen deposition, restoring tissue architecture. Furthermore, GDP suppressed hepatic expression of pro-inflammatory cytokines (TNF-α, IL-6, IL-1β, COX-2) and profibrotic markers (TGF-β1, CTGF, α-SMA) to levels comparable with or superior to GA-A. These results demonstrate that a dripping pill dosage form can effectively deliver G. amboinense triterpenoids and unlock their hepatoprotective activity, supporting further development of GDP as a novel liver-support nutraceutical. Full article
Show Figures

Figure 1

22 pages, 6273 KB  
Article
Profibrotic Molecules Are Reduced in CRISPR-Edited Emery–Dreifuss Muscular Dystrophy Fibroblasts
by Eleonora Cattin, Elisa Schena, Elisabetta Mattioli, Stefania Marcuzzo, Silvia Bonanno, Paola Cavalcante, Federico Corradi, Daniela Benati, Giorgia Farinazzo, Marco Cattaneo, Veronica De Sanctis, Roberto Bertorelli, Lorenzo Maggi, Melania Giannotta, Antonella Pini, Gaetano Vattemi, Denise Cassandrini, Marco Cavallo, Cristina Manferdini, Gina Lisignoli, Beatrice Fontana, Ilaria Pace, Claudio Bruno, Roberta Roncarati, Chiara Fiorillo, Manuela Ferracin, Eric C. Schirmer, Alessandra Recchia and Giovanna Lattanziadd Show full author list remove Hide full author list
Cells 2025, 14(17), 1321; https://doi.org/10.3390/cells14171321 - 27 Aug 2025
Viewed by 1686
Abstract
Emery–Dreifuss muscular dystrophy (EDMD) is caused by mutations in EMD, LMNA, SYNE1, SYNE2, and other related genes. The disease is characterized by joint contractures, muscle weakening and wasting, and heart conduction defects associated with dilated cardiomyopathy. Previous studies demonstrated the [...] Read more.
Emery–Dreifuss muscular dystrophy (EDMD) is caused by mutations in EMD, LMNA, SYNE1, SYNE2, and other related genes. The disease is characterized by joint contractures, muscle weakening and wasting, and heart conduction defects associated with dilated cardiomyopathy. Previous studies demonstrated the activation of fibrogenic molecules such as TGFbeta 2 and CTGF in preclinical models of EDMD2 and increased secretion of TGFbeta 2 in patient serum. A wide screening of patient cells suggested fibrosis, metabolism, and myogenic signaling as the most affected pathways in various EDMD forms. In this study, we show that alpha-smooth muscle actin-positive myofibroblasts are overrepresented in patient fibroblast cultures carrying EMD, LMNA, or SYNE2 mutations, and profibrotic miRNA-21 is upregulated. Upon CRISPR/Cas correction of the mutated EMD or LMNA sequence in EDMD1 or EDMD2 fibroblasts, respectively, we observe a reduced expression of fibrogenic molecules. However, in patient myoblasts, neither fibrogenic proteins nor miRNA-21 were upregulated; instead, miRNA-21-5p was downregulated along with muscle-specific miRNA-133b and miRNA-206, which have a crucial role in muscle cell homeostasis. These observations suggest that the conversion of laminopathic fibroblasts into a profibrotic phenotype is a determinant of EDMD-associated muscle fibrosis, while miRNA-206-dependent defects of laminopathic myoblasts, including altered regulation of VEGF levels, contribute to muscle cell deterioration. Notably, our study provides a proof-of-principle for the application of gene correction to EDMD1 and EDMD2 and presents EDMD1 isogenic cells that exhibit an almost complete rescue of a disease-specific miRNA signature. These cells can be used as experimental models for studying muscular laminopathies. Full article
Show Figures

Figure 1

18 pages, 5890 KB  
Article
Targeting Hippo Signaling Pathway with a Boron Derivative, Sodium Pentaborate Pentahydrate (NaB): Therapeutic Strategies in Colorectal Cancer
by Büşra Yüksel, Fikrettin Şahin and Nezaket Türkel
Pharmaceuticals 2025, 18(8), 1171; https://doi.org/10.3390/ph18081171 - 8 Aug 2025
Viewed by 868
Abstract
Background/Objectives: Colorectal cancer (CRC) remains a leading cause of cancer-related mortality globally, highlighting the urgent need for novel therapeutic strategies. This study aimed to investigate the anticancer potential of sodium pentaborate pentahydrate (NaB) in CRC by evaluating its effects on human colorectal [...] Read more.
Background/Objectives: Colorectal cancer (CRC) remains a leading cause of cancer-related mortality globally, highlighting the urgent need for novel therapeutic strategies. This study aimed to investigate the anticancer potential of sodium pentaborate pentahydrate (NaB) in CRC by evaluating its effects on human colorectal cancer cell lines and elucidating underlying molecular mechanisms. Methods: The cytotoxic and molecular effects of NaB were assessed in three human CRC cell lines (HCT-116, HT-29, and COLO-205) and one normal colon epithelial cell line (CCD-18CO). Cell viability assays were conducted to determine time- and dose-dependent responses. Apoptosis, cell cycle progression, colony formation, and migration capacity were evaluated. Gene and protein expression analyses were performed to examine apoptosis-related, DNA damage response, cell cycle, and Hippo signaling pathway components. Results: NaB significantly reduced cancer cell viability in a time- and dose-dependent manner, with minimal cytotoxicity to normal colon cells. It induced marked apoptosis, especially in HCT-116 and COLO-205 cells, and caused G2/M cell cycle arrest. In HCT-116 cells, NaB suppressed proliferation by downregulating PCNA and MKI-67 and reduced colony formation and migration. Molecular analyses revealed upregulation of pro-apoptotic BAX and downregulation of BCL-2, ATM, ATR, and cell cycle–related genes. NaB also inhibited oncogenic Hippo signaling by enhancing YAP1 phosphorylation and decreasing CTGF and CYR61 expression. Conclusions: These findings demonstrate that sodium pentaborate pentahydrate exerts selective anticancer effects on colorectal cancer cells through the induction of apoptosis, cell cycle arrest, and suppression of key oncogenic pathways. NaB represents a promising candidate for further development as a therapeutic agent in CRC treatment. Full article
Show Figures

Graphical abstract

21 pages, 3526 KB  
Article
Prenatal Bisphenol A Exposure Impairs Fetal Heart Development: Molecular and Structural Alterations with Sex-Specific Differences
by Alessandro Marrone, Anna De Bartolo, Vittoria Rago, Francesco Conforti, Lidia Urlandini, Tommaso Angelone, Rosa Mazza, Maurizio Mandalà and Carmine Rocca
Antioxidants 2025, 14(7), 863; https://doi.org/10.3390/antiox14070863 - 14 Jul 2025
Cited by 1 | Viewed by 1586
Abstract
Cardiovascular diseases (CVDs) remain the leading cause of morbidity and mortality worldwide, with increasing evidence suggesting that their origins may lie in prenatal life. Endocrine-disrupting chemicals (EDCs), such as bisphenol A (BPA), have been implicated in the alteration of fetal programming mechanisms that [...] Read more.
Cardiovascular diseases (CVDs) remain the leading cause of morbidity and mortality worldwide, with increasing evidence suggesting that their origins may lie in prenatal life. Endocrine-disrupting chemicals (EDCs), such as bisphenol A (BPA), have been implicated in the alteration of fetal programming mechanisms that cause a predisposition to long-term cardiovascular vulnerability. However, the impact of prenatal endocrine disruption on fetal heart development and its sex-specific nature remains incompletely understood. This study investigates the molecular and structural effects of low-dose prenatal BPA exposure on fetal rat hearts. Our results reveal that BPA disrupts estrogen receptor (ER) signaling in a sex-dependent manner, with distinct alterations in ERα, ERβ, and GPER expression. BPA exposure also triggers significant inflammation, oxidative stress, and ferroptosis; this is evidenced by elevated NF-κB, IL-1β, TNF-α, and NLRP3 inflammasome activation, as well as impaired antioxidant defenses (SOD1, SOD2, CAT, and SELENOT), increased lipid peroxidation (MDA) and protein oxidation, decreased GPX4, and increased ACSL4 levels. These alterations are accompanied by increased markers of cardiac distension (ANP, BNP), extracellular matrix remodeling mediators, and pro-fibrotic regulators (Col1A1, Col3A1, TGF-β, and CTGF), with a more pronounced response in males. Histological analyses corroborated these molecular findings, revealing structural alterations as well as glycogen depletion in male fetal hearts, consistent with altered cardiac morphogenesis and metabolic stress. These effects were milder in females, reinforcing the notion of sex-specific vulnerability. Moreover, prenatal BPA exposure affected myocardial fiber architecture and vascular remodeling in a sex-dependent manner, as evidenced by reduced expression of desmin alongside increased levels of CD34 and Ki67. Overall, our findings provide novel insights into the crucial role of prenatal endocrine disruption during fetal heart development and its contribution to the early origins of CVD, underscoring the urgent need for targeted preventive strategies and further research into the functional impact of BPA-induced alterations on postnatal cardiac function and long-term disease susceptibility. Full article
Show Figures

Graphical abstract

19 pages, 2840 KB  
Article
Methods for Mitochondrial DNA Damage and Depletion in Immortalized Trabecular Meshwork Cells
by Shane P. Kennedy, Emily Tsaturian, Linlin Zhao and Joshua T. Morgan
Int. J. Mol. Sci. 2025, 26(13), 6255; https://doi.org/10.3390/ijms26136255 - 28 Jun 2025
Viewed by 1615
Abstract
Mitochondrial DNA (mtDNA) damage in trabecular meshwork (TM) cells occurs in open-angle glaucoma (OAG). However, current in vitro models for OAG-like changes in TM cells do not explicitly incorporate mtDNA damage. This work validated two methods of mtDNA damage in immortalized TM cells [...] Read more.
Mitochondrial DNA (mtDNA) damage in trabecular meshwork (TM) cells occurs in open-angle glaucoma (OAG). However, current in vitro models for OAG-like changes in TM cells do not explicitly incorporate mtDNA damage. This work validated two methods of mtDNA damage in immortalized TM cells and assessed OAG-associated expression changes. mtDNA was depleted in TM-1 cells via both ethidium bromide (EtBr) treatment and doxycycline (Dox) induction of a mutant (Y147A) version of Uracil DNA Glycosylase 1 (UNG1) in TM-1 cells (TM-1rtTAadv-TRE-UNG1Y147A). Levels of mitochondrial proteins (ATP5F1A, COXII, and COXIV) were measured via western blot. mtDNA levels and mRNA for OAG-associated transcripts (CTGF, FN1, PAI1, and SFRP1) were measured by qPCR. There was a statistically significant decrease in mtDNA levels per cell at all treatment times in both EtBr-treated TM-1 cells and induced TM-1rtTAadv-TRE-UNG1Y147A cells. Protein levels of ATP5F1A were not significantly changed; COXII and COXIV showed significant decreases after both EtBr and Dox induction. Both models resulted in upregulation of CTGF, FN1, and PAI1; additionally, EtBr treatment but not Dox induction resulted in SFRP1 upregulation. In conclusion, two models of mitochondrial depletion were demonstrated in immortalized TM cells; damage was associated with increases in OAG-associated transcripts, supporting a link between mitochondrial damage and glaucoma phenotypes. Full article
(This article belongs to the Special Issue Mitochondrial Biology and Human Diseases)
Show Figures

Figure 1

21 pages, 13904 KB  
Article
Cold Atmospheric Plasma Enhances TGF-β1, CTGF Protein Expression, and Healing in Full-Thickness Skin Burns: An Animal Study
by Sahar M. Gebril, Fakhr El din M. Lasheen, Mohamed Khalaf, Amr Abdelhamed, Manal I. Bahkali, Fayez El Hossary and Mahmoud Rezk Abdelwahed Hussein
Biomolecules 2025, 15(7), 924; https://doi.org/10.3390/biom15070924 - 24 Jun 2025
Viewed by 1427
Abstract
Cold atmospheric plasma (CAP) interacts with tissues, leading to fast wound disinfection. Given the frequent global burden of burn injuries and the risks of infection associated with acute full-thickness burns (FTBs), this investigation examined CAP as a potential therapeutic method for wound healing [...] Read more.
Cold atmospheric plasma (CAP) interacts with tissues, leading to fast wound disinfection. Given the frequent global burden of burn injuries and the risks of infection associated with acute full-thickness burns (FTBs), this investigation examined CAP as a potential therapeutic method for wound healing due to its antimicrobial and pro-healing effects. Here, we examined the impacts of CAP on the healing of wounds resulting from acute FTSBs. We established an animal model that included four groups: (1) healthy control animals without burns, (2) untreated animals with acute FTSBs, (3) animals with acute FTSBs treated with CAP for 5 s per day for 21 days, and (4) animals with acute FTSBs treated with CAP for 10 s per day for 21 days. Wound healing was assessed using immunohistological methods. In animals with FTSBs, CAP therapy was accompanied by (i) accelerated wound closure, (ii) enhanced regeneration of the dermis and epidermis, and (iii) increased protein expression of transforming growth factor-β1 (TGF-β1) and connective tissue growth factor (CTGF). These changes were more pronounced following CAP treatment for 10 s per day compared to CAP treatment for 5 s per day. Full article
(This article belongs to the Section Cellular Biochemistry)
Show Figures

Figure 1

Back to TopTop