Sign in to use this feature.

Years

Between: -

Subjects

remove_circle_outline
remove_circle_outline
remove_circle_outline
remove_circle_outline
remove_circle_outline

Journals

Article Types

Countries / Regions

Search Results (54)

Search Parameters:
Keywords = Cr3C2/Fe-based composite coatings

Order results
Result details
Results per page
Select all
Export citation of selected articles as:
17 pages, 8194 KB  
Article
Effect of CeO2 on Microstructure and Properties of Cr3C2/Fe-Based Composite Coatings
by Zeyu Liu, Baowang Huang, Haijiang Shi, Xin Xu, Shuo Yu, Haiyang Long, Zhanshan Ma and Weichi Pei
Coatings 2026, 16(2), 187; https://doi.org/10.3390/coatings16020187 - 2 Feb 2026
Abstract
As a critical component of scraper conveyors, the middle trough operates under harsh conditions for extended periods, making it prone to failure and thus reducing the overall service life of the equipment. To address this issue and extend its service life, this study [...] Read more.
As a critical component of scraper conveyors, the middle trough operates under harsh conditions for extended periods, making it prone to failure and thus reducing the overall service life of the equipment. To address this issue and extend its service life, this study incorporated different amounts of CeO2 into Cr3C2/Fe-based composite coatings. It investigated the effects of CeO2 on the coating’s phase composition, microstructural evolution, wear resistance and corrosion resistance. Results show that CeO2 addition did not alter the coating’s phase composition. The composition remained α-Fe, M23C6 (M: Fe, Cr) and vanadium carbides. However, CeO2 promoted the transformation from columnar grains to equiaxed grains and refined the grains. With increasing CeO2 content, the composite coating’s mechanical properties gradually improved. The Ce2 coating exhibited the highest microhardness (923.08 HV0.5), the lowest friction coefficient (0.31) and the lowest wear rate (0.00217 mm3/N·m). Its dominant wear mechanisms were abrasive wear and mild adhesive wear. In 3.5% NaCl solution, the Ce2 coating showed the highest corrosion potential (−0.82 V) and the lowest corrosion current density (2.04 × 10−6 A/cm2), indicating excellent corrosion resistance. This study provides theoretical support for preparing high-performance Cr3C2/Fe-based composite coatings. It clarifies the key mechanism by which CeO2 regulates coating properties. The developed composite coating has broad application potential due to its excellent combined wear and corrosion resistance. It can be widely used for surface strengthening of vulnerable components in mining machinery such as scraper conveyors, offering important theoretical and technical support for improving the service life of scraper conveyor middle troughs. Full article
(This article belongs to the Section Corrosion, Wear and Erosion)
Show Figures

Graphical abstract

16 pages, 15928 KB  
Article
High-Temperature Tribological and Oxidation Performance of a Cr-Al-C Composite Coating on H13 Steel by Laser Cladding
by Shengshu Zuo, Shibo Li, Yixiong Zhang, Xuejin Zhang, Guoping Bei, Faqiang Chen and Dong Liu
Coatings 2026, 16(1), 88; https://doi.org/10.3390/coatings16010088 - 10 Jan 2026
Viewed by 229
Abstract
Laser cladding is an effective surface engineering technique to enhance the high-temperature performance of metallic materials. In this work, a Cr-Al-C composite coating was in situ fabricated on H13 steel by laser cladding to alleviate the performance degradation of H13 steel under severe [...] Read more.
Laser cladding is an effective surface engineering technique to enhance the high-temperature performance of metallic materials. In this work, a Cr-Al-C composite coating was in situ fabricated on H13 steel by laser cladding to alleviate the performance degradation of H13 steel under severe thermomechanical conditions, particularly in high-temperature piercing applications. The phase composition, microstructure, microhardness, high-temperature oxidation behavior, and tribological performance of the coating were systematically investigated. The coating is mainly composed of a B2-ordered Fe-Cr-Al phase reinforced by uniformly dispersed M3C2/M7C3-type carbides, which provides a synergistic combination of oxidation protection and mechanical strengthening, offering a microstructural design that differs from conventional Cr-Al or Cr3C2-based laser-clad coatings. Cyclic oxidation tests conducted at 800–1000 °C revealed that the oxidation behavior of the coating followed parabolic kinetics, with oxidation rate constants significantly lower than those of the H13 substrate, attributed to the formation of a dense and adherent Al2O3/Cr2O3 composite protective scale acting as an effective diffusion barrier. Benefiting from the stable oxide layer and the thermally stable carbide-reinforced microstructure, the wear rate of Cr-Al-C coating is significantly reduced compared to H13 steel. At room temperature, the wear rate of the coating is 6.563 × 10−6 mm3/(N·m), about two orders of magnitude lower than 8.175 × 10−4 mm3/(N·m) for the substrate. When the temperature was increased to 1000 °C, the wear rate of the coating remained as low as 5.202 × 10−6 mm3/(N·m), corresponding to only 1.9% of that of the substrate. This work demonstrates that the Cr-Al-C laser-cladded coating can effectively improve the high-temperature oxidation resistance and wear resistance of steel materials under extreme service conditions. Full article
Show Figures

Figure 1

15 pages, 5937 KB  
Article
Effect of Mn Content and Heat Treatment on Microstructure and Properties of Laser Cladding of FeCoNiCrTi High-Entropy Alloy Coating
by Shibang Ma, Yicheng Zhou, Congzheng Zhang, Zhengchun Xu and Chengguo Fu
Materials 2025, 18(22), 5160; https://doi.org/10.3390/ma18225160 - 13 Nov 2025
Viewed by 459
Abstract
In this study, the effects of different Mn content and heat treatment on the microstructure and properties of CoCrFeNiTi coatings by laser cladding technology were investigated. Scanning electron microscopy, energy-dispersive spectrometry, and X-ray diffraction were used to analyze the structure and composition. The [...] Read more.
In this study, the effects of different Mn content and heat treatment on the microstructure and properties of CoCrFeNiTi coatings by laser cladding technology were investigated. Scanning electron microscopy, energy-dispersive spectrometry, and X-ray diffraction were used to analyze the structure and composition. The hardness and wear resistance were tested by a microhardness tester and a friction-wear tester. The results show that there are many intermetallic compounds rich in Ti and Ni between the grains. As the Mn content increases, the coating gradually transitions from a dual-phase structure of BCC and FCC to a single FCC structure. The hardness of the coating decreases gradually with the increase in Mn content due to the change in the phase structure, while the friction coefficient decreases slightly at first and then increases significantly. The main wear mechanisms of the coating are adhesive wear and abrasive wear. After heat treatment at 600 °C, petal-like Laves precipitates appear. The average microhardness of CoCrFeNiTi coatings after heat treatment is lower than before treatment, and the friction coefficient is higher than before treatment. The average microhardness of the coating increases slightly with the increase in the treatment temperature. The average friction coefficient of the coating obtained after heat treatment at 600 °C is only 0.5941 because of its uniform microstructure. Therefore, it is reduced by approximately 15% compared with the base metal. Full article
(This article belongs to the Section Metals and Alloys)
Show Figures

Figure 1

12 pages, 2769 KB  
Article
Structural and Phase Transformations in Detonation Coatings Made of Eutectic Fe–TiB2–CrB2 Alloy After Pulsed Plasma Exposure
by Dauir Kakimzhanov, Bauyrzhan Rakhadilov, Ainur Seitkhanova, Arystanbek Kussainov, Zhangabay Turar and Nuraly Bazarov
Coatings 2025, 15(11), 1291; https://doi.org/10.3390/coatings15111291 - 4 Nov 2025
Viewed by 644
Abstract
Coatings based on the eutectic alloy Fe–TiB2–CrB2 were obtained by detonation spraying and subjected to pulsed plasma treatment. Comprehensive studies of the microstructure, phase composition, and mechanical and electrochemical properties of the coatings were carried out using SEM, TEM, and [...] Read more.
Coatings based on the eutectic alloy Fe–TiB2–CrB2 were obtained by detonation spraying and subjected to pulsed plasma treatment. Comprehensive studies of the microstructure, phase composition, and mechanical and electrochemical properties of the coatings were carried out using SEM, TEM, and XRD methods. The initial coatings are characterized by a typical lamellar structure with interlamellar pores and defects. After pulsed plasma treatment, pronounced compaction of the surface layer, grain refinement, and sealing of interlamellar voids and cracks are observed. The thickness of the modified zone is about 15–30 μm, and the structure becomes fine-grained and more uniform. According to XRD and TEM data, the main boride phases (TiB2, CrB2) remain stable, while the intensity of γ-Fe decreases and weak Cr23C6 peaks appear, indicating phase stabilization and diffusion hardening. After treatment, the microhardness of the near-surface zone increases from ~14 GPa to 17–18 GPa, confirming the strengthening effect. Electrochemical tests showed an increase in corrosion resistance: the corrosion potential shifts to the positive side by approximately 0.15 V, and the corrosion current density decreases by almost two times. Thus, the use of pulsed plasma treatment significantly improves the density, phase stability, hardness, and corrosion resistance of Fe–TiB2–CrB2 detonation coatings, making this duplex approach promising for use in conditions of intense wear and exposure to aggressive environments. Full article
Show Figures

Figure 1

18 pages, 12804 KB  
Article
Effects of WC Addition on Microstructure and Properties of Plasma-Cladded AlCoCrFeNi High-Entropy Alloy Coatings
by Xinbin Liu, Juangang Zhao, Tiansheng Li, Zhengbing Meng, Jinbiao Qing, Wen Xu, Youxuan Ouyang and Yuanyuan Zeng
Lubricants 2025, 13(9), 407; https://doi.org/10.3390/lubricants13090407 - 12 Sep 2025
Cited by 1 | Viewed by 821
Abstract
In order to enhance the performance of 20# steel, this study successfully fabricated AlCoCrFeNi high-entropy alloy coatings with different WC contents (x = 0, 10, 20, 30 wt%) on its surface using plasma cladding technology. The effects of WC content on the microstructure, [...] Read more.
In order to enhance the performance of 20# steel, this study successfully fabricated AlCoCrFeNi high-entropy alloy coatings with different WC contents (x = 0, 10, 20, 30 wt%) on its surface using plasma cladding technology. The effects of WC content on the microstructure, mechanical properties, and corrosion resistance of the coatings were systematically investigated. The results indicate that without WC addition, the coating consists of a dual-phase structure comprising BCC and FCC phases. With the incorporation of WC, the FCC phase disappears, and the coating evolves into a composite structure based on the BCC matrix, embedded with multiple carbide phases such as W2C, M7C3, MxCγ, and Co6W6C. These carbides are predominantly distributed along grain boundaries. As the WC content increases, significant grain refinement occurs and the volume fraction of carbides rises. The coating exhibits a mixed microstructure of equiaxed and columnar crystals, with excellent metallurgical bonding to the substrate. The microhardness of the coating increases markedly with higher WC content; however, the rate of enhancement slows when WC exceeds 20 wt%. The hardness of 1066.36 HV is achieved at 30 wt% WC. Wear test results show that both the friction coefficient and wear rate first decrease and then increase with increasing WC content. The optimal wear resistance is observed at 20 wt% WC, with a friction coefficient of 0.549 and a wear mass loss of only 0.25 mg, representing an approximately 40% reduction compared to the WC-free coating. Electrochemical tests demonstrate that the coating with 20 wt% WC facilitates the formation of a dense and stable passive film in NaCl solution, effectively inhibiting Cl ion penetration. This coating exhibits the best corrosion resistance, characterized by the lowest corrosion current density of 1.349 × 10−6 A·cm−2 and the highest passive film resistance of 2764 Ω·cm2. Full article
Show Figures

Figure 1

27 pages, 9202 KB  
Article
Enhancement in Corrosion and Wear Resistance of FeCoNiCrAl High-Entropy Alloy Coating Through Dual Heat Treatment with 3:1 N2/H2 Atmosphere
by Miqi Wang, Buxiang Li, Chi He, Jing Sun, Liyuan Li, Aihui Liu and Fang Shi
Coatings 2025, 15(9), 986; https://doi.org/10.3390/coatings15090986 - 23 Aug 2025
Viewed by 974
Abstract
This work investigated the effect of high-nitrogen/low-hydrogen mixed atmosphere heat treatment on the electrochemical corrosion and wear resistance of plasma-sprayed FeCoNiCrAl high-entropy alloy (HEA) coatings. The HEA coatings were sequentially prepared through annealing at 400, 600, and 800 °C for 6 h. The [...] Read more.
This work investigated the effect of high-nitrogen/low-hydrogen mixed atmosphere heat treatment on the electrochemical corrosion and wear resistance of plasma-sprayed FeCoNiCrAl high-entropy alloy (HEA) coatings. The HEA coatings were sequentially prepared through annealing at 400, 600, and 800 °C for 6 h. The heat treatment method was conducted in a vacuum tube furnace under 0.1 MPa total pressure, with gas flow rates set to 300 sccm N2 and 100 sccm H2. The XRD results indicated that the as-deposited coating exhibited α-Fe (BBC) and Al0.9Ni4.22 (FCC) phases, with an Fe0.64N0.36 nitride phase generated after 800 °C annealing. The electrochemical measurements suggested that an exceptional corrosion performance with higher thicknesses of passive film and double-layer capacitance can be detected based on the point defect model (PDM) and effective capacitance model. Wear tests revealed that the friction coefficient at 800 °C decreased by 3.84% compared to that in the as-sprayed state due to the formation of a dense nitride layer. Molecular orbital theory pointed out that the formation of bonding molecular orbitals, resulting from the overlap of valence electron orbitals of different atomic species in the HEA coating system, stabilized the structure by promoting atomic interactions. The wear mechanism associated with stress redistribution and energy balance from compositional synergy is proposed in this work. Full article
(This article belongs to the Section Corrosion, Wear and Erosion)
Show Figures

Figure 1

14 pages, 5234 KB  
Article
Study of the Influence of Air Plasma Spraying Parameters on the Structure, Corrosion Resistance, and Tribological Characteristics of Fe–Al–Cr Intermetallic Coatings
by Bauyrzhan Rakhadilov, Lyaila Bayatanova, Aidar Kengesbekov, Nurtoleu Magazov, Zhanerke Toleukhanova and Didar Yeskermessov
Coatings 2025, 15(7), 790; https://doi.org/10.3390/coatings15070790 - 4 Jul 2025
Cited by 2 | Viewed by 1008
Abstract
The development of power engineering requires the introduction of new materials and technologies to improve the quality and durability of products. One promising direction is the creation of heat-protective coatings for the protection of working surfaces of turbine blades of gas turbine engines [...] Read more.
The development of power engineering requires the introduction of new materials and technologies to improve the quality and durability of products. One promising direction is the creation of heat-protective coatings for the protection of working surfaces of turbine blades of gas turbine engines operating at temperatures up to 1000–1200 °C. Intermetallic coatings based on iron aluminides (Fe3Al, FeAl) have high resistance to oxidation due to the formation of an oxide layer: Al2O3. However, their application is limited by brittleness due to the so-called third element effect, which can be reduced through alloying with chromium. In this study the processes of formation of Fe–Al–Cr intermetallic coatings produced by air plasma spraying and the mechanisms affecting their stability at high temperatures were investigated. Experimental studies included the analysis of the microhardness, wear resistance, and corrosion resistance of coatings, as well as their phase composition and microstructure. The results showed that the optimization of sputtering parameters, especially in the FrCrAl (30_33) mode, promotes the formation of a coating with improved tribological and anticorrosion characteristics, which is associated with its dense and uniform structure. These data have an important practical significance for the creation of wear-resistant and corrosion-resistant coatings applicable in power engineering. Full article
Show Figures

Figure 1

13 pages, 4614 KB  
Article
Corrosion Resistance and Wear Properties of CoCrFeNiMn/TiC High-Entropy Alloy-Based Composite Coatings Prepared by Laser Cladding
by Qiang Zhan, Fangyan Luo, Jiang Huang, Zhanshan Wang, Bin Ma and Chengpu Liu
Lubricants 2025, 13(5), 210; https://doi.org/10.3390/lubricants13050210 - 10 May 2025
Cited by 1 | Viewed by 1453
Abstract
CoCrFeNiMn high-entropy alloy (HEA) composite coatings with 0, 10, and 20 wt% TiC are synthesized through laser cladding technology, and their corrosion and wear resistance are systematically investigated. The X-ray diffraction (XRD) results show that with the addition of TiC, the phases of [...] Read more.
CoCrFeNiMn high-entropy alloy (HEA) composite coatings with 0, 10, and 20 wt% TiC are synthesized through laser cladding technology, and their corrosion and wear resistance are systematically investigated. The X-ray diffraction (XRD) results show that with the addition of TiC, the phases of TiC and M23C6 are introduced, and lattice distortion occurs simultaneously (accompanied by the broadening and leftward shift of the main Face-Centered Cubic (FCC) peak). Scanning electron microscopy (SEM) reveals that the incompletely melted TiC particles in the coating (S2) are uniformly distributed in the matrix with 20 wt% TiC, while in the coating (S1) with 10 wt% TiC, due to gravitational sedimentation and decomposition during laser processing, the distribution of the reinforcing phase is insufficient. When rubbed against Si3N4, with the addition of TiC, S2 exhibits the lowest friction coefficient of 0.699 and wear volume of 0.0398 mm3. The corrosion resistance of S2 is more prominent in the simulated seawater (3.5 wt% NaCl). S2 shows the best corrosion resistance: it has the largest self-corrosion voltage (−0.425 V vs. SCE), the lowest self-corrosion current density (1.119 × 10−7 A/cm2), and exhibits stable passivation behavior with a wide passivation region. Electrochemical impedance spectroscopy (EIS) confirms that its passivation film is denser. This study shows that the addition of 20 wt% TiC optimizes the microstructural homogeneity and synergistically enhances the mechanical strengthening and electrochemical stability of the coating, providing a new strategy for the making of HEA-based layers in harsh wear-corrosion coupling environments. Full article
(This article belongs to the Special Issue Wear-Resistant Coatings and Film Materials)
Show Figures

Figure 1

16 pages, 7961 KB  
Article
Process Optimization and Wear Performance of Plasma-Cladding Fe5 Coatings on Rotary Tillage Blades
by Jiang Zeng, Yinggang Ma, Zhichao Fang, Mingliang Wu, Zhili Wu and Mingkai Lei
Appl. Sci. 2025, 15(1), 77; https://doi.org/10.3390/app15010077 - 26 Dec 2024
Cited by 2 | Viewed by 1345
Abstract
Objective: This study was conducted to address the harsh working environment of agricultural machinery and improve the wear resistance of soil-contacting components such as rotary tiller blades, thereby extending their service life. Method: Plasma-cladding technology was employed to prepare an iron-based wear-resistant coating [...] Read more.
Objective: This study was conducted to address the harsh working environment of agricultural machinery and improve the wear resistance of soil-contacting components such as rotary tiller blades, thereby extending their service life. Method: Plasma-cladding technology was employed to prepare an iron-based wear-resistant coating on the surface of rotary tiller blades. The following parameter combination was optimized using response surface methodology (RSM): a cladding current of 144A, a cladding speed of 23 mm/s, a powder feeding rate of 23 g/min, and a cladding distance of 12 mm. The microstructure morphology, phase composition, microhardness, and wear resistance of the wear-resistant cladding layer were investigated. Results: The results indicate that the interface of the cladding layer is clean and free from significant porosity or defects, exhibiting good metallurgical bonding with the substrate. The primary phases identified in the cladding layer include α-Fe, Cr7C3, Cr2Fe14C, and Cr-Ni-Fe-C solid solutions. The average hardness of the cladding layer is 1171 Hv0.5, approximately 2.9 times that of the substrate. In wet sand–rubber wheel wear tests under identical conditions, the weight loss of the cladding layer is only 1/21 that of 65Mn steel, with minimal wear morphology. Field trials showed that the wear of the cladding layer rotary tiller blade was reduced by 24.5% compared with the unclad blade. The presence of the cladding layer significantly protected the integrity of the cutting edge, ensuring the functionality of the rotary tiller blade in cutting and throwing soil; thus, its original appearance was maintained even after prolonged wear. The findings of this study can provide a valuable reference for the enhancement of wear resistance for other soil-contacting components. Full article
(This article belongs to the Section Agricultural Science and Technology)
Show Figures

Figure 1

17 pages, 16568 KB  
Article
Thermally Sprayed Coatings for the Protection of Industrial Fan Blades
by Maria Richert
Materials 2024, 17(16), 3903; https://doi.org/10.3390/ma17163903 - 7 Aug 2024
Cited by 6 | Viewed by 1907
Abstract
This paper presents a study on thermally sprayed coatings. Coatings produced by high-velocity oxygen–fuel spraying HVOF and plasma spraying deposited on the A03590 aluminum casting alloy are tested. The subject of this research concerns coatings based on tungsten carbide WC, chromium carbide Cr [...] Read more.
This paper presents a study on thermally sprayed coatings. Coatings produced by high-velocity oxygen–fuel spraying HVOF and plasma spraying deposited on the A03590 aluminum casting alloy are tested. The subject of this research concerns coatings based on tungsten carbide WC, chromium carbide Cr3C2, composite coatings NiCrSiB + 2.5%Fe + 2.5%Cr, mixtures of tungsten and chromium powders WC-CrC-Ni, mixtures of carbide powders with the Cr3C2-NiCr + the composite 5% NiCrBSi and WC-Co + 5% NiCrBSi. The aim of this research is to find a coating most resistant to the erosive impact of particles contained in the medium centrifuged by industrial rotors. The suitability of the coating is determined by its high level of microhardness. The hardest coatings are selected from the coatings tested and subjected to abrasion tests against a sand particle impact jet and the centrifugation of a medium with corundum particles. It is found that the most favorable anti-erosion properties are demonstrated by a coating composed of a mixture of tungsten carbide and chromium carbide WC-CrC-Ni powders. It is concluded that the greatest resistance of this coating to the erosive impact of the particle jet results from the synergistic enhancement of the most favorable features of both cermets. Full article
(This article belongs to the Special Issue Recent Advances and Emerging Challenges in Functional Coatings)
Show Figures

Figure 1

12 pages, 3515 KB  
Article
Effect of Crystallization on Electrochemical and Tribological Properties of High-Velocity Oxygen Fuel (HVOF)-Sprayed Fe-Based Amorphous Coatings
by Abdul Qadir Abbas, Muhammad Arslan Hafeez, Cheng Zhang, Muhammad Atiq-ur-Rehman and Muhammad Yasir
AppliedChem 2024, 4(3), 270-281; https://doi.org/10.3390/appliedchem4030017 - 29 Jul 2024
Cited by 2 | Viewed by 2585
Abstract
An Fe-based amorphous coating, with the composition Fe48Cr15Mo14C15B6Y2, was synthesized by the high-velocity oxygen fuel spray (HVOF) process on a substrate of AISI 1035. The effect of crystallization on the electrochemical [...] Read more.
An Fe-based amorphous coating, with the composition Fe48Cr15Mo14C15B6Y2, was synthesized by the high-velocity oxygen fuel spray (HVOF) process on a substrate of AISI 1035. The effect of crystallization on the electrochemical and tribological properties of the HVOF-sprayed Fe-based coating was systematically studied. The XRD results validated the fully amorphous nature of the as-sprayed coating by showing a broad peak at 43.44° and crystallization of this coating after heat-treatment at 700 °C by demonstrating sharp peaks of Fe-, Mo-, and Cr-based carbides. After crystallization, an increase in the corrosion current density from 4.95 μAcm−2 to 11.57 μAcm−2 and in the corrosion rate from 4.28 mpy to 9.99 mpy, as well as a decrease in the polarization resistance from 120 Ωcm2 to 65.12 Ωcm2, were observed, indicating the deterioration of the corrosion resistance of the as-sprayed Fe-based coating. This can be attributed to the formation of porous ferrous oxide, providing an easy channel for charge transfer and promoting pit formation. However, a decrease in the coefficient of friction from 0.1 to 0.05 was observed, highlighting the significant improvement in the wear resistance of the Fe-based coating after crystallization. This can be associated with the precipitation of hard carbides (MxCy) at the boundaries of the crystallized regions. Full article
Show Figures

Figure 1

18 pages, 9817 KB  
Article
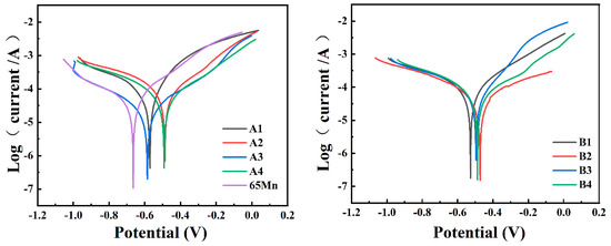
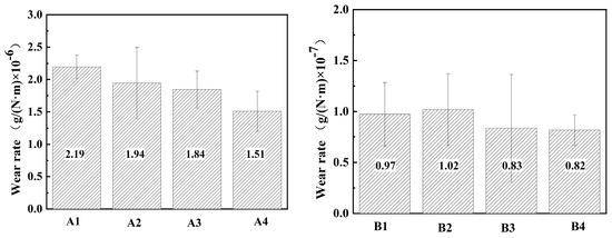
Effects of TiC on the Microstructure and Mechanical Properties of Four Fe-Based Laser Cladding Coatings
by Bin Wang, Yun Li, Chun Guo, Guangcan Huang and Wenqing Li
Coatings 2024, 14(7), 872; https://doi.org/10.3390/coatings14070872 - 11 Jul 2024
Cited by 2 | Viewed by 1760
Abstract
This study focuses on Fe-based laser cladding coatings containing varying levels of four elements, and the objective is to investigate the influence of TiC addition on the microstructural evolution, microhardness, wear resistance, and corrosion resistance of these Fe-based composite coatings. Fe/TiC composite coatings [...] Read more.
This study focuses on Fe-based laser cladding coatings containing varying levels of four elements, and the objective is to investigate the influence of TiC addition on the microstructural evolution, microhardness, wear resistance, and corrosion resistance of these Fe-based composite coatings. Fe/TiC composite coatings were prepared by incorporating 20 wt.% TiC into four types of Fe-based coatings. The coatings were characterized using X-ray diffraction (XRD), optical microscopy for microstructural observation, microhardness testing, friction and wear tests, and electrochemical analysis. The results indicate that the phases of the coatings are primarily composed of α-Fe and Cr7C3. Upon the addition of TiC, the TiC and Ni3Ti phases were observed in the coatings. The coatings mainly consist of columnar crystals, dendritic structures, equiaxed grains, and cellular structures, with petal-shaped TiC particles distributed within the coating matrix. TiC effectively enhances the microhardness and wear resistance of the coatings. The average microhardness of the coatings increased from 455.8 ± 20.8 HV0.2 to 802.8 ± 41.6 HV0.2 with TiC addition. Simultaneously, the wear rate of coating A2 decreased from 1.51 × 10−6 g/(N·m) to 1.02 × 10−7 g/(N·m), indicating an order of magnitude improvement in wear resistance. However, TiC destroys the denseness of the Fe coating, the current corrosion density increases by 28% on average, and the corrosion resistance decreases significantly. Full article
(This article belongs to the Section Laser Coatings)
Show Figures

Figure 1

18 pages, 10945 KB  
Article
Optimizing FeSiCr-Based Soft Magnetic Composites Using the Deionized Water as the Phosphating Solvent
by Xiangdong Li, Hongya Yu, Hongxiang Wang, Tongxin Yuan and Zhongwu Liu
Materials 2024, 17(7), 1631; https://doi.org/10.3390/ma17071631 - 2 Apr 2024
Cited by 5 | Viewed by 2377
Abstract
To prepare a soft magnetic powder core, the magnetic powder surface has to be insulated by phosphating treatment. Organic chemicals such as ethanol and acetone are generally used as solvents for phosphoric acid, which may cause serious environmental problems. This work proposed deionized [...] Read more.
To prepare a soft magnetic powder core, the magnetic powder surface has to be insulated by phosphating treatment. Organic chemicals such as ethanol and acetone are generally used as solvents for phosphoric acid, which may cause serious environmental problems. This work proposed deionized water as the environmentally friendly phosphating solvent for FeSiCr powder. The soft magnetic composites (SMCs) were prepared using phosphoric acid for inorganic coating and modified silicon polymer for organic coating. The effect of different phosphating solvents, including deionized water, ethanol, and acetone, on the structure and magnetic properties of SMCs were investigated. It is found that the solvent affects the phosphating solution’s stability and the phosphoric acid’s ionization. The phosphoric acid is more stable in deionized water than in ethanol and acetone. The phosphating reaction in deionized water is also more stable in deionized water, resulting in a dense phosphate coating on the particle surface. The effects of phosphoric acid concentration and temperature on the magnetic properties of FeSiCr-based SMCs were further studied. With the increase in phosphoric acid concentration and temperature, the magnetic permeability and saturation magnetization of the powder core decrease, and the core loss decreases, followed by an increase. The optimized combination of properties was obtained for the SMCs phosphated with 0.2 wt.% phosphoric acid in deionized water at 35 °C, including a high effective permeability μe of 25.7, high quality factor Q of 80.2, low core loss Pcv of 709.5 mW/cm3 measured at 0.05 T @ 100 kHz, and high withstanding voltage of 276 V, due to the formation of uniform and dense insulating coating layers. In addition, the SMCs prepared with phosphated powder show good corrosion resistance. The anti-corrosion properties of the SMCs using deionized water as a phosphating solvent are better than those using ethanol and acetone. Full article
(This article belongs to the Special Issue Design and Applications of Functional Materials, Volume II)
Show Figures

Figure 1

13 pages, 4344 KB  
Article
Effect of Process Parameters on the Microstructure and Wear Resistance of Fe3Al/Cr3C2 Composites
by Yaohui Wang, Yingkai Feng, Xiaohu Sun, Shaoquan Liu and Guoqiang Chen
Coatings 2024, 14(4), 384; https://doi.org/10.3390/coatings14040384 - 25 Mar 2024
Cited by 6 | Viewed by 1663
Abstract
In this paper, a brake cylinder coating comprising a composite material of an Fe3Al and Cr3C2 mixed powder was prepared by adding laser cladding onto carbon structural steel. We studied the influence of process parameters on the microstructure [...] Read more.
In this paper, a brake cylinder coating comprising a composite material of an Fe3Al and Cr3C2 mixed powder was prepared by adding laser cladding onto carbon structural steel. We studied the influence of process parameters on the microstructure and tribological properties of the cladding materials using scanning electron microscopy (SEM), energy-dispersive spectroscopy (EDS), and 3D white light interferometer and wear tests. The influence of different processes on the morphology of the carbide strengthening phase was found to be relatively small with a Cr3C2 content of 15 wt.%. The carbides mainly exhibited a network structure in each group of cladding layers. The area of the network strengthening phase varied under different processes. Of the cladding layers formed with different processes, the scanning speed of the 0.003 m/s cladding layer had the lowest wear rate. When the laser power was too low or the powder feed rate was too high, unmelted Cr3C2 particles could be found in the cladding layer. During the wear process, the particles peeled off, causing severe abrasive wear. When the powder feeding rate was too low, more materials in the base material entered the cladding layer. This made the composition of the cladding layer similar to that of the grinding material, resulting in severe adhesive wear. Full article
Show Figures

Figure 1

14 pages, 11407 KB  
Article
Effect of In Situ NbC-Cr7C3@graphene/Fe Nanocomposite Inoculant Modification and Refinement on the Microstructure and Properties of W18Cr4V High-Speed Steel
by Lina Bai, Guixing Zheng, Lijie Zhang, Shuangjin Liu, Laichun Xu, Haowen Zheng and Jie Liu
Materials 2024, 17(5), 976; https://doi.org/10.3390/ma17050976 - 20 Feb 2024
Cited by 1 | Viewed by 1634
Abstract
A novel graphene-coated nanocrystalline ceramic particle, iron-based composite inoculant was developed in this study to optimize the as-cast microstructure and mechanical properties of W18Cr4V high-speed steel (HSS). The effects of the composite inoculant on the microstructure, crystal structure, and mechanical properties of HSS [...] Read more.
A novel graphene-coated nanocrystalline ceramic particle, iron-based composite inoculant was developed in this study to optimize the as-cast microstructure and mechanical properties of W18Cr4V high-speed steel (HSS). The effects of the composite inoculant on the microstructure, crystal structure, and mechanical properties of HSS were analyzed using transmission electron microscopy, scanning electron microscopy, energy dispersive spectroscopy, and X-ray diffraction. The (002-) and (020) crystal planes of the Fe3C and Cr7C3 phases, respectively, were collinear at two points in the reciprocal space, indicating a coherent relationship between the Fe3C and Cr7C3 phases in the tempered modified HSS. This contributed to an improved non-uniform nucleation rate and refining of the HSS grains. The mechanical properties of the modified steel exhibited a general improvement. Specifically, the modification treatment enhanced the hardness of HSS from HRC 63.2 to 66.4 and the impact toughness by 48.3%. Full article
Show Figures

Figure 1

Back to TopTop