Next Article in Journal
Quasi-Static Indentation and Compression Behaviors of Hybrid Woven Composite Laminates
Next Article in Special Issue
The Influence of Ni Incorporation on the Surface Porosity and Corrosion Resistance of CrBN Coatings on 45 Steel in Seawater
Previous Article in Journal
Mechanism of Friction Reduction in Surface Micro-Textured Mandrels During Hole Cold Expansion
 
 
Font Type:
Arial Georgia Verdana
Font Size:
Aa Aa Aa
Line Spacing:
Column Width:
Background:
Article

Study of the Influence of Air Plasma Spraying Parameters on the Structure, Corrosion Resistance, and Tribological Characteristics of Fe–Al–Cr Intermetallic Coatings

by
Bauyrzhan Rakhadilov
1,
Lyaila Bayatanova
2,
Aidar Kengesbekov
1,2,*,
Nurtoleu Magazov
2,
Zhanerke Toleukhanova
2 and
Didar Yeskermessov
2
1
PlasmaScience LLP, Ust-Kamenogorsk 070000, Kazakhstan
2
D. Serikbayev East Kazakhstan Technical University, Ust-Kamenogorsk 070000, Kazakhstan
*
Author to whom correspondence should be addressed.
Coatings 2025, 15(7), 790; https://doi.org/10.3390/coatings15070790
Submission received: 30 October 2024 / Revised: 21 June 2025 / Accepted: 26 June 2025 / Published: 4 July 2025

Abstract

The development of power engineering requires the introduction of new materials and technologies to improve the quality and durability of products. One promising direction is the creation of heat-protective coatings for the protection of working surfaces of turbine blades of gas turbine engines operating at temperatures up to 1000–1200 °C. Intermetallic coatings based on iron aluminides (Fe3Al, FeAl) have high resistance to oxidation due to the formation of an oxide layer: Al2O3. However, their application is limited by brittleness due to the so-called third element effect, which can be reduced through alloying with chromium. In this study the processes of formation of Fe–Al–Cr intermetallic coatings produced by air plasma spraying and the mechanisms affecting their stability at high temperatures were investigated. Experimental studies included the analysis of the microhardness, wear resistance, and corrosion resistance of coatings, as well as their phase composition and microstructure. The results showed that the optimization of sputtering parameters, especially in the FrCrAl (30_33) mode, promotes the formation of a coating with improved tribological and anticorrosion characteristics, which is associated with its dense and uniform structure. These data have an important practical significance for the creation of wear-resistant and corrosion-resistant coatings applicable in power engineering.

1. Introduction

Currently, the main source of electricity in the world is thermal power plants (TPPs). Increasing the steam temperature to 580–600 °C in new power units became possible more than 20 years ago due to the replacement of bainitic steels in high-temperature parts with high-chromium (9–12% Cr) martensitic steels of a new generation, which demonstrate high long-term strength at these temperatures. The development of new power units at elevated steam parameters is possible only through heat engineering high-chromium martensitic steels, which can operate at temperatures 70–100 °C higher than those for existing materials [1,2,3].
Existing steels and superalloys, even with 10 to 25 wt% Cr, perform quite poorly in coal-fired boilers and fluidized beds for converting coal to clean energy and in industrial environments where coking and carburization predominate. The high temperatures and excess air required for complete combustion in a coal-fired boiler produce significant amounts of SO2, SO3, and HCl, in addition to alkali sulfate and alkali chloride vapors. Due to the attractive properties of Fe3Al, porous filter technology has been successfully introduced to separate unburned coal from the coal gasifier before it enters the gas turbine chamber. The filtered coal is returned to the gasifier to reduce pollution, increase the efficiency of the power plant, and enable clean coal technology to reduce greenhouse gas emissions [4]. In industrial environments, coking can lead to pressure increase, and carburization can lead to the deterioration of mechanical properties; combined coking and carburizing can lead to catastrophic failure and become a safety hazard. Many solutions have been proposed to address the problem of coke formation and carburization in thermal cracking processes. Many of them are associated with the use of new types of steel and alloys or the use of protective coatings against high-temperature oxidation [5,6,7].
Therefore, the development of effective technologies for modifying the surface of heat-resistant steels is a practically significant technical problem. The results of experimental and theoretical studies of the kinetics and mechanisms of creating protective coatings will allow us to develop technological modes that provide the optimal physical and mechanical properties of heat-resistant steels [8].
The need to apply new materials, the complexity of designs, and the increased requirements for the quality and durability of new power engineering products necessitate the development of new technological processes based on the results of fundamental research, which provides a basis for widespread use in industry. The improvement of technological equipment for plasma spraying opens up new opportunities for creating heat-shielding coatings with improved performance properties. These coatings are designed to protect the working surfaces of turbine blades of gas turbine engines operating under the influence of working gases at high temperatures [9]. The tendency to increase the operating temperature (up to 1000–1200 °C) of turbine blades tightens the requirements for the high-temperature resistance of heat-shielding coatings. The limitations of traditional engineering materials can be overcome by applying coatings with intermetallic iron aluminides, such as Fe3Al and FeAl, due to their unique ability to form an alumina layer and protect base materials from high-temperature corrosion [10,11]. The intermetallic compounds of the Fe3Al- and FeAl-based iron aluminides exhibit the following attractive properties compared to steels and superalloys: higher Al content (in the range of 15–30 wt% depending on the intermetallic compounds) compared to steels and superalloys (Al content 6 wt.% or less), excellent oxidation resistance at 1000 °C, and better corrosion resistance in oxidizing and reducing environments [12]. The resistance to the oxidation of iron aluminides is due to the formation of a stable protective layer of aluminum oxide on the surface of FeAl. Unfortunately, the high concentration of Al makes these alloys brittle. The solution to this problem is to introduce additional elements, such as Cr, which contributes to an increase in the oxidation resistance of the alloys. The addition of chromium to the Fe-Al alloy is an example of the so-called third element effect [13]. The essence of this phenomenon is that when a third element is added to a binary alloy, with oxygen affinity between Fe and Al, the oxidation resistance of the Fe-Al alloy improves. It is reported in [14] that FeAl doped with 20 wt% Cr has long-term stability in a high-temperature sulfide-containing medium. Thus, micro- or macro-alloying is used to improve the plasticity, microstructure, and mechanical properties of intermetallic systems.
Recently, interest in studying the properties of coatings obtained by the air plasma spraying of powder materials has increased. The advantages of this method include the high temperature of the plasma jet, which makes it possible to form coatings even from refractory materials and coat surfaces of any complexity, all at a low cost. However, with an increase in the efficiency of powder heating due to an increase in the temperature of the plasma flow and the residence time of the sprayed particles in it, it should be remembered that part of the material evaporates. The possibility of obtaining coatings of complex composition is associated with the problem of the co-dissolution of powders having different melting points. Based on this, in this project, in order to reduce the problem of aluminum loss and improve the quality of coatings, preliminary mechanical alloying of the Fe–Al–Cr system piercings is proposed [15]. In the process of mechanical alloying, repeated processes of destruction of powder particles and cold welding take place, which makes it possible to obtain a homogeneous powder. Longer treatment is accompanied not only by particle refinement, but also by the formation of intermetallic compounds and/or solid solutions. It is reported in [16] that during air plasma spraying, nanostructured powders provide a constant, uniform powder flow compared to conventional powders, which have an angular and block structure. This property of nanostructured powders is due to the morphology of the powders, i.e., sphericity, which improves the quality of the resulting coatings.
The FeAlCr ternary system is crucial for high-temperature applications, yet its thermodynamic modeling is limited by sparse data. To address this, researchers have employed Knudsen Effusion Mass Spectrometry (KEMS) to measure activity in compositions 45.1Fe–39.8Al–15.1Cr and 49.9Fe–19.9Al–30.2Cr over 1150–1550 K, integrating results with CALPHAD modeling to predict thermodynamic properties. The findings indicate that additional iron activity measurements are necessary in the Fe–Al binary system, and on-diagonal thermodynamic factors decrease in the order Al > Fe > Cr [17]. Complementary phase transition studies revealed a Cr-induced decrease in the A2/B2 transition temperature, partial solidus/liquidus projections, and Fe solubility (22 at.%) in AlCr2 at 973 K [18]. Techniques like XRD, EPMA, and diffusion couples further refined isothermal sections at multiple temperatures. These findings enhance thermodynamic databases but highlight the need for further high-temperature phase equilibrium studies to optimize Fe–Al–Cr-based coatings for oxidation and corrosion resistance.
The analysis of the research status on structure formation in the Fe–Al–Cr system revealed issues requiring resolution or refinement: the structure of Fe3Al-based coatings alloyed with a third component is insufficiently studied; data on the effect of the third element—chromium—on the brittleness of iron aluminide is almost absent; and the application of preliminary mechanical alloying for air plasma spraying has not been thoroughly studied and requires systematic research and validation [19,20].
Thus, the task of studying the formation processes of Fe–Al–Cr intermetallic coatings through air plasma spraying and identifying mechanisms that influence structural stability at high temperatures and the development of their operational properties remains relevant [21,22].
The objective of this study is to obtain the scientific data necessary for developing air plasma spraying technologies for Fe–Al–Cr-based intermetallic coatings, aimed at improving the reliability and durability of energy engineering components.

2. Materials and Methods

The substrate material used was AISI 420 steel. To enhance the adhesion between the coating and the substrate, the flat surface of a 40 mm × 40 mm × 4 mm steel sample was cleaned with acetone and sandblasted before coating. Fe–Al–Cr powders with a particle size of 15–40 μm were used for the coating process. The experiment employed an air plasma spraying system, where the substrate was preheated to 200 °C using a plasma jet, with the temperature monitored by an NT-819 pyrometer. The FrCrAl coatings were applied to the preheated substrate using a plasma torch. The surface morphology of the coatings was analyzed using scanning electron microscope JEOL JSM 6390 (JEOL Ltd., Tokyo, Japan) with an attachment for element analysis (EDS INCA of Oxford) [23].
The phase composition of the samples under investigation was analyzed using a Philips X’pertpro X-ray diffractometer from the Netherlands, employing CuKα X-ray radiation. The imaging was performed under the following conditions: tube voltage set to 40 kV, tube current at 30 mA, exposure time of 1 s, and a scanning step size of 0.02°. The study of phase composition and structural parameters of the samples was carried out on a diffractometer XRD-6000 on Cu Kα-radiation. The analysis of the phase composition was carried out using PDF 4+ databases and POWDER CELL 2.4 full-profile analysis program.
The microhardness of the structural components of the coatings was measured in accordance with GOST 9450-76. A Metolab 502 microhardness tester (Metolab, Moscow, Russia) was used for the measurements. The method involved the indentation of a diamond pyramid indenter (Vickers geometry, square base) into the sample surface under a load of 200 g with a dwell time of 10 s. The tests were conducted on cross-sectional polished specimens prepared according to standard metallographic procedures. For each sample, ten indentations were performed to ensure measurement accuracy.
Wear resistance was evaluated using a high-temperature tribometer TRB3 (Anton Paar, Graz, Austria) with the “ball-on-disk” method, as per international standard ASTM G99 [24]. The counterbody was a 6.0 mm diameter ball made from Si3N4-coated steel. The tests were conducted with a load of 6 N, a linear velocity of 3 cm/s, a wear radius with curvature of 4 mm, and a friction path of 100 m. The wear track profile after a sliding distance of 100 m was measured using a built-in contact profilometer integrated into the Anton Paar TRB3 tribometer (Anton Paar, Austria). The profilometer employs a stylus with a tip radius of 5 μm, providing high-resolution surface scanning. For each wear track, six profilometric scans were taken at different positions along the wear scar to account for possible local variations. The average wear track depth and profile parameters were calculated to evaluate the wear performance of the coatings.
Electrochemical corrosion properties of the coated samples were evaluated using the potentiodynamic polarization method. A 0.5 M NaCl aqueous solution served as the corrosion medium for all experiments. A CS300M Potentiostat/Galvanostat (Wuhan Corrtest Instruments Corp., Ltd., Wuhan, China) was used for the measurements (Figure 1), consisting of a working electrode (coated sample), counter electrode (graphite) and reference electrode (flow-through silver chloride electrode). The samples were cut into 10 mm × 10 mm pieces with an exposed surface area of 1 cm2 in contact with the corrosive medium. Before each test, open circuit potential measurements were taken for 30 min to allow the corrosion potential to stabilize and reach steady state. This procedure provided accurate and reproducible measurement conditions for potentiodynamic polarization analysis [25,26].

3. Results and Discussion

The quality of coatings depends on several air plasma spraying factors, including plasma jet parameters, the composition and physical properties of the powder used for spraying, and substrate surface preparation conditions. Key parameters that significantly impact coating characteristics include the temperature and speed of powder particles, particle size and shape, and plasma jet density. These factors determine coating uniformity, adhesion, cohesion, and mechanical strength.
Substrate surface preparation also plays a crucial role in ensuring high coating quality. Before coating application, the surface is often subjected to mechanical or chemical treatment to remove contaminants and create micro-roughness, which improves the coating’s adhesion to the substrate. Additionally, controlling spraying parameters such as the distance between the plasma torch and the surface, spraying speed, and feed angle allows for the optimization of the coating’s structure and properties [27].
Based on the above, the following spraying modes were selected for the study, considering electrical voltage parameters, powder fraction, argon and nitrogen flow rates, and the distance between the plasma torch and the substrate (Table 1).
These parameters were chosen to analyze the effect of varying the voltage (U) on the structure and properties of the coating at fixed parameters of powder fraction and gas flow rate. Such systematic variation allows for a more accurate assessment of the influence of each parameter on the adhesion, density, and microstructure of the coating, which is of key importance to ensure its quality application and further operation under increased loads.
Figure 2 shows FeCrAl powder, which was chosen as a material for the study and subsequent coating. Analysis of the powder particles by scanning electron microscopy shows that the particles have a spherical shape with a size in the range from 100 to 200 μm. Microphotographs show their smooth surface with few agglomerates.
The element mapping in the image demonstrates a uniform distribution of the main elements of the powder: iron (Fe), chromium (Cr), and aluminum (Al). The color maps confirm the presence of these elements, which indicates the homogeneity of the powder composition. Yellow indicates the distribution of iron, purple indicates chromium, and green indicates aluminum. The accompanying maps confirm the absence of significant impurities, indicating the purity of the starting material and its suitability for further application in the air plasma spraying process.

3.1. Microstructural Characterization and Mechanical Properties

Figure 3 shows the diffractograms of FeCrAl powder and coatings deposited at different conditions (33, 30, 27 V). Analysis of the diffractograms shows the presence of FeCr and Al main phases. The peaks corresponding to these phases are highlighted in each graph, which confirm the presence of structural elements in the samples. The main peaks of FeCr are observed at diffraction angles corresponding to the planes (110), (200), and (211), indicating the presence of a ferritic phase with an OCC lattice. Aluminum (Al) peaks are also present, but their intensity is lower compared to FeCr, indicating its lower content in the composition.
From the presented data, it can be seen that the change in voltage during the sputtering process does not significantly affect the phase composition, since the peaks of the main phases remain unchanged. However, changes in peak intensities can indicate variations in the relative concentrations of phases in the coating, as well as possible changes in crystal structure and grain size.
Decreased peak intensities in coatings deposited in the FeCrAl mode (27_33) may indicate higher defect levels or reduced crystallinity in the structure. In contrast, coatings obtained at higher voltages show clearer and more intense peaks, indicating better crystallinity and possibly denser phase packing.
The study confirms that controlling the coating conditions, such as voltage, allows the structure and properties of FeCrAl coatings to be controlled. This is in agreement with studies by other authors who emphasize the importance of optimizing process parameters to minimize defects and improve the mechanical properties of coatings [27].
Figure 4 shows the microstructures of FeCrAl coatings obtained under different sputtering conditions and their elemental composition. All coatings have a layered structure characteristic of air plasma spraying, but the density and uniformity of the layers differ. The coating obtained in the mode. FeCrAl (33_33), higher voltage, shows denser layer adhesion, which may indicate more uniform particle deposition and better adhesion to the substrate. Coatings obtained under less optimal conditions exhibit a relatively higher number of pores and micro-cracks, which may result from the inadequate heating of the powder particles or abrupt cooling. These defects can reduce the mechanical strength of the coating. The elemental mapping results show differences in the distribution of iron (Fe), chromium (Cr) and aluminum (Al) in different samples. The green areas indicate the FeCrAl main phase, and the blue and red areas show the concentration of chromium and aluminum, which may indicate the formation of intermetallic phases, such as FeCr, that increase the hardness of the coating. The pink areas associated with the presence of oxygen indicate the possible formation of oxide phases such as Fe+2Cr2O4 or Fe2O3, as confirmed by X-ray diffraction data (Figure 3).
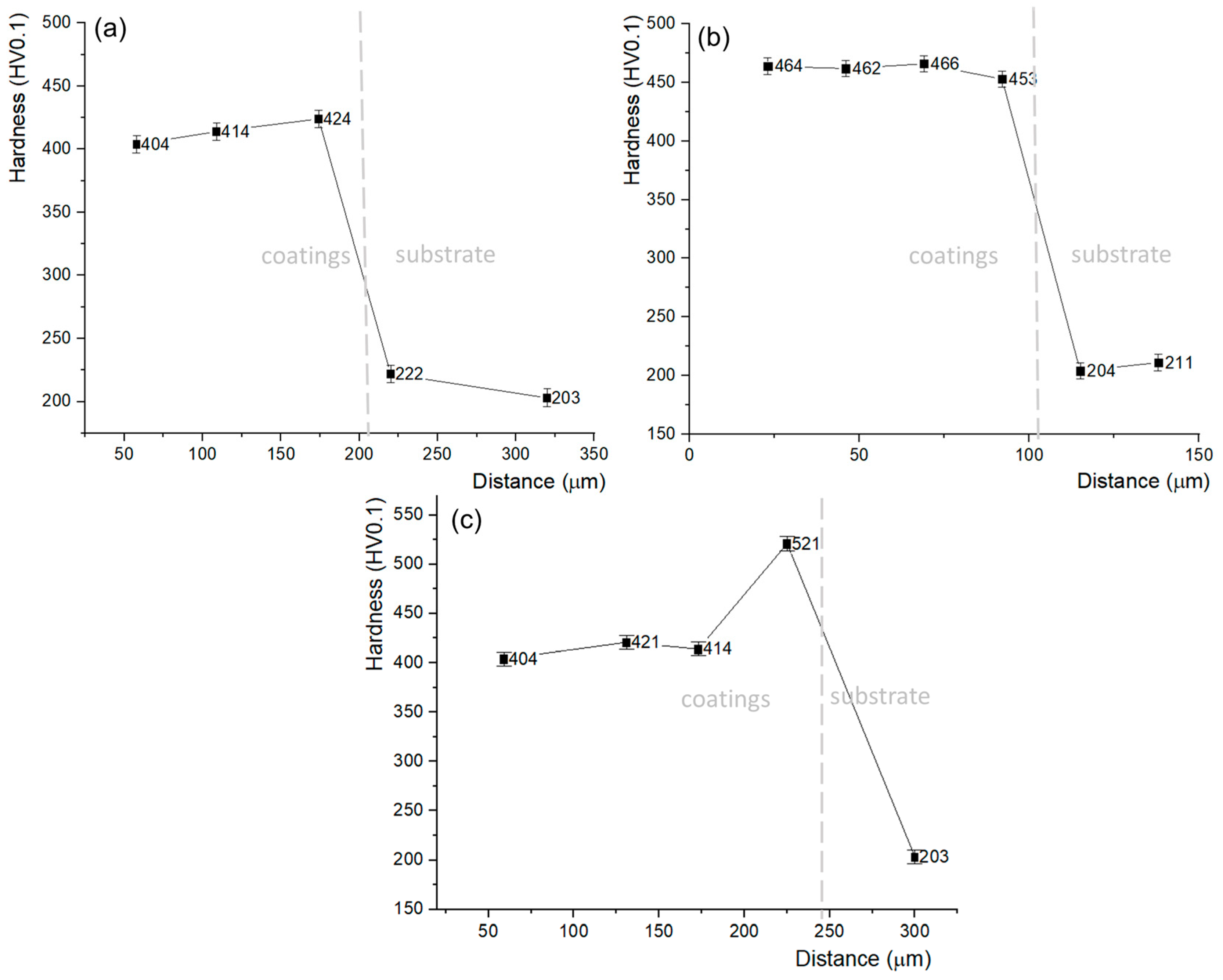
Figure 5 shows the results of microhardness measurements through the thickness of the coating and substrate for three different FeCrAl samples deposited by air plasma spraying. All three plots show a significant decrease in hardness at the coating-to-substrate transition interface, indicating a sharp contrast in mechanical properties between the coating and substrate materials. The sample treated in FeCrAl (30_33) mode showed the relatively best hardness value with an average hardness value of 462 HV. This result can be attributed to the optimal particle sputtering conditions in this mode, which favors the formation of a denser and more homogeneous coating structure.
As can be seen from Figure 5a, zones with altered hardness are observed near the coating–substrate boundary, which is probably due to thermal effects occurring during the sputtering process. Such zones may be a consequence of the rapid cooling of the molten coating particles upon contact with the substrate, which leads to residual stresses and local microstructure changes. These changes can significantly affect the mechanical strength and adhesion properties of the coating, highlighting the need to optimize sputtering conditions to reduce thermal effects and improve the uniformity of the coating structure.

3.2. Tribological Performance and Wear Resistance

Tribology is an important area of research in materials science because it allows us to evaluate the wear resistance and friction resistance of various materials and coatings, which is of key importance for improving their durability and performance. In this study, the tribological characteristics of FeCrAl coatings (Figure 6) applied by air plasma spraying in three different modes, FrCrAl (27_33), FrCrAl (30_33) and FrCrAl (33_33), were obtained. The results show that each sputtering mode has a significant effect on the friction coefficient and wear resistance of the coating.
At the initial stage of the experiment, all samples had a run-in stage accompanied by unstable values of the coefficient of friction. Analysis of tribological characteristics of FeCrAl coatings obtained under different modes of air plasma spraying showed that the FrCrAl (30_33) mode provides the best properties with a minimum and stable coefficient of friction at the level of 0.8–0.7, indicating high hardness and homogeneity of the coating, contributing to increased wear resistance. The FrCrAl (27_33) mode exhibited a medium coefficient of friction, indicating sufficient coating density, with minor structural defects possible. The FrCrAl (33_33) mode showed the highest coefficient of friction, which may be a consequence of the porosity and less dense structure of the coating, reducing its wear resistance. These data emphasize that the optimization of sputtering parameters in FrCrAl (30_33) sample leads to better tribological characteristics, which significantly increases the durability of the coating and its resistance to friction.
By analyzing the frequency of friction coefficient oscillations, it is possible to assess the stability and uniformity of the coating structure. High-frequency oscillations may indicate the presence of microstructural defects or inhomogeneities, such as pores or microcracks, leading to fluctuations in frictional behavior during contact. In contrast, more stable curves with low oscillation frequency, as observed for the FeCrAl (33_33) sample, suggest a denser and more homogeneous coating, which improves wear stability. Therefore, the frequency of friction coefficient oscillations can serve as an additional indicator of coating quality: lower oscillation frequency reflects better microstructural integrity and, consequently, higher wear resistance and durability under operating conditions.
Overall, the results emphasize the importance of controlling sputtering parameters to improve the tribological performance of the coating, since the slightest changes in process conditions can significantly affect the coefficient of friction and wear resistance, which determine the durability and performance of protective coatings in service conditions [28].
The wear volume of the coatings was measured using a profilometer to accurately assess the degree of wear from tribological testing (Figure 7). Evaluating the wear resistance of the samples by wear geometry, it can be said that the wear volume of FrCrAl (30_33) sample is significantly lower compared to FrCrAl (27_33) and FrCrAl (33_33). The wear volume confirms the improved tribological characteristics of the FrCrAl (33_33) sample.

3.3. Electrochemical Corrosion Performance

Corrosion research is of great importance to many industries because it focuses on the degradation of materials, especially metals, in response to environmental exposure. This degradation can lead to structural failure, safety hazards, and economic losses. Understanding the mechanisms of corrosion and developing coatings to prevent it is essential to extend the life of components in industries such as energy, transportation, and manufacturing. Corrosion usually begins when a metal surface is exposed to an electrolyte, such as moisture in the atmosphere, resulting in electrochemical reactions. In this process, metal atoms lose electrons and turn into ions, leading to an anodic reaction that dissolves the metal. Simultaneously, a cathodic reaction occurs, usually involving oxygen and water, which leads to the formation of corrosive compounds such as oxides and hydroxides. Over time, these reactions result in visible damage such as rust, scaling or pitting. Anti-corrosion coatings such as FeCrAl applied by air plasma spraying form a protective barrier, slowing down the diffusion of corrosive agents to the metal surface. This study investigates the effect of different plasma voltage parameters on the corrosion resistance of FeCrAl coatings, focusing on how different sputtering regimes affect the microstructure of the coating and hence its ability to inhibit corrosion.
Figure 8 shows the results for the corrosion rates and electrochemical characteristics of the FeCrAl coatings obtained at different plasma voltages. The histogram shows the corrosion rate for each coating, with FeCrAl (30_33) applied at 30 V showing the lowest corrosion rate of 0.16813 mm/yr, indicating high corrosion resistance compared to FeCrAl (27_33) and FeCrAl (33_33), which have higher corrosion rates of 0.33991 mm/yr and 0.29181 mm/yr, respectively. The accompanying polarization curves also confirm these results; the lowest corrosion current density (1.4332 × 10−5 A/cm2) was observed for FeCrAl (30_33), indicating a slower corrosion reaction. The corrosion potential (E0) also varies among the samples: it is higher in FeCrAl (33_33), which may indicate a more stable surface despite the higher corrosion rate. Taken together, these results indicate that the use of the FeCrAl (30_33) mode during coating optimizes the microstructure of the FeCrAl coating, improving its corrosion resistance and making it more effective for protecting AISI 420 steel.
The corrosion behavior of the FeCrAl coatings was evaluated using Tafel extrapolation, and the corrosion rates are presented in Figure 8. Among the investigated samples, the FeCrAl (30_33) coating exhibited the lowest corrosion rate (0.16813 mm/a), indicating superior corrosion resistance, while FeCrAl (27_33) demonstrated the highest corrosion rate (0.33991 mm/a). The residual values obtained from the Tafel fitting support the reliability of the measurements, with the FeCrAl (30_33) coating showing the lowest residual (6.986 × 10−8), suggesting excellent model conformity and stable electrochemical behavior. These results confirm that the plasma spraying parameters used for FeCrAl (30_33) optimize the coating structure and promote the formation of a protective oxide layer, enhancing both corrosion resistance and measurement consistency [29].
Taking into account the results of the tests, the scientific and technological basis for the creation of intermetallic coatings of the Fe–Al–Cr system by air plasma spraying for the protection of AISI 420 steel used in power machine building was developed. This technology is based on the method of air plasma spraying, in which powder particles are heated and accelerated by high-temperature plasma, evenly distributed over the steel surface and forming a dense, adhesion-resistant coating. This method allows the temperature and powder feed rate to be controlled, which minimizes the thermal impact on the steel, preventing its deformation and the change in mechanical properties compared to other gas-thermal spraying methods.

4. Conclusions

The results of the FeCrAl coating study, obtained by air plasma spraying, show that controlling technological parameters, such as voltage, significantly influences its structure, phase composition, and tribological properties. Diffractometric analysis confirmed the presence of the primary phases, FeCr and Al, regardless of the spraying mode; however, the peak intensity varied, reflecting changes in phase concentrations and potential modifications in the crystalline structure. The optimal spraying mode was found to be FrCrAl (30_33), where the coating demonstrated the best crystallinity, minimal porosity, and high wear resistance, as evidenced by a low and stable friction coefficient.
It was established that the hardness of the FeCrAl coating and substrate across the thickness of three air-plasma-sprayed samples decreased sharply at the coating–substrate interface, indicating a significant difference in the mechanical properties of the coating and substrate materials. The highest average hardness, 462 HV, was demonstrated by the sample treated in the FrCrAl (30_33) mode, which is attributed to optimal spraying conditions that promoted the formation of a denser and more uniform coating structure.
It was determined that optimizing the FeCrAl coating parameters using air plasma spraying significantly affected its tribological properties, such as friction coefficient and wear resistance. Studies showed that the FrCrAl (30_33) mode yielded the best results, demonstrating a minimal and stable friction coefficient (0.8–0.7) and low wear volume compared to other modes, indicating a high density and uniform coating structure. Analysis of the friction coefficient fluctuations confirmed that more stable friction curves correspond to structures with fewer micro-defects, which also contributes to improved wear resistance. This data emphasizes the importance of precise control over spraying conditions to enhance the operational durability and mechanical strength of the coating.
It was further determined that the FeCrAl coating, applied at a plasma voltage of 30 V (FeCrAl (30_33)), exhibited the best corrosion characteristics among the samples studied. The low corrosion rate (0.16813 mm/year) and minimal corrosion current density (1.4332 × 10−5 A/cm2) indicate the high corrosion resistance of the FeCrAl (30_33) coating compared to samples applied at other plasma voltages, (FeCrAl (27_33) and FeCrAl (33_33)), which showed corrosion rates of 0.33991 mm/year and 0.29181 mm/year, respectively.

Author Contributions

B.R. and A.K. designed the experiments; L.B. and Z.T. performed the experiments; B.R., A.K. and N.M. analyzed the data; B.R., A.K. and D.Y. wrote, reviewed and edited the paper. All authors have read and agreed to the published version of the manuscript.

Funding

This research has been funded by the Committee of Science of the Ministry of Science and Higher Education of the Republic of Kazakhstan. (Grant No. BR24992864).

Institutional Review Board Statement

Not applicable.

Informed Consent Statement

Not applicable.

Data Availability Statement

Data is contained within the article.

Conflicts of Interest

The authors declare that there are no conflicts of interest regarding the publication of this manuscript.

References

  1. Vivas, J.; San-Martin, D.; Caballero, F.G.; Capdevila, C. High-Chromium (9-12Cr) Steels: Creep Enhancement by. In Welding: Modern Topics; Goodheart-Wilcox: Tinley Park, IL, USA, 2021; p. 163. [Google Scholar]
  2. Zhang, W.; Zhong, Y.; Qiu, X.; Li, Q.; Yue, H.; Zhou, Y.; Deng, J.; Yang, J.; Liu, H.; Li, Q.; et al. Screening of the FeCrAl LBE corrosion-resistant coatings: The effect of Cr and Al contents. Surf. Coatings Technol. 2023, 462, 129477. [Google Scholar] [CrossRef]
  3. Luo, B.; Wang, W.; Lin, S.; Wu, Y.; Lu, K.; Yang, H.; Huang, H. A study of Fe-Al coating as transition layer on FeCrAl substrate by pack aluminizing. Fusion Eng. Des. 2024, 201, 114266. [Google Scholar] [CrossRef]
  4. Kołodziejczak, P.; Bober, M.; Chmielewski, T.M.; Baranowski, M. Structure and Selected Properties of Coatings Deposited by Arc Spraying Under in Inert Atmosphere Containing In Situ Fabricated Fe-Al Intermetallic Phases. Materials 2025, 18, 646. [Google Scholar] [CrossRef]
  5. Pivdiablyk, I.; Di Goh, Z.; Chye, L.K.; Shandro, R.; Lefebvre, F. Residual creep life assessment of high-temperature components in power industry. Sensors 2023, 23, 2163. [Google Scholar] [CrossRef]
  6. Li, N.; Chen, L.-Y.; Chai, L.; Xuan, H.-N.; Wang, Z.; Zhang, L.; Oleksandr, D.; Zhang, J.; Lu, S. A novel plasma-sprayed Cr/FeCrAl dual-layer coating on Zr alloy for potential high-temperature applications. J. Mater. Res. Technol. 2024, 30, 5569–5581. [Google Scholar] [CrossRef]
  7. Hussain, T.; Simms, N.; Nicholls, J.; Oakey, J. Fireside corrosion degradation of HVOF thermal sprayed FeCrAl coating at 700–800 °C. Surf. Coatings Technol. 2015, 268, 165–172. [Google Scholar] [CrossRef]
  8. Shinsky, O.; Kvasnytska, I.; Shalevska, I.; Kaliuzhnyi, P.; Neima, O. Devising a technology for manufacturing hollow cast steel structures with composite and reinforced non-metallic functional filler. East. Eur. J. Enterp. Technol. 2024, 6, 6–14. [Google Scholar] [CrossRef]
  9. Ou, Y.; Wang, H.; Zhao, Y.; Zhou, Q.; Luo, C.; Hua, Q.; Ouyang, X.; Zhang, S. Recent advances and strategies for high-performance coatings. Prog. Mater. Sci. 2023, 136, 101125. [Google Scholar] [CrossRef]
  10. Silva, A.; Brito, P.; Martins, N. Corrosion Behavior of FeAl and Fe3Al Based Fe-Al-C Alloys in Sulfuric Acid. Arch. Foundry Eng. 2022, 22, 77–82. [Google Scholar] [CrossRef]
  11. Bai, Y.; Zhou, J.; Li, J.; Yang, Z. B2-ordered NiAl content on microstructure, mechanical and oxidation properties of FeAl intermetallic compounds. J. Mater. Res. Technol. 2022, 16, 1875–1888. [Google Scholar] [CrossRef]
  12. Deevi, S.C. Advanced Intermetallic Iron Aluminide Coatings for High Temperature Applications. Prog. Mater. Sci. 2021, 118, 100769. [Google Scholar] [CrossRef]
  13. Niu, Y.; Wang, S.; Gao, F.; Zhang, Z.G.; Gesmundo, F. The nature of the third-element effect in the oxidation of Fe–xCr–3 at.% Al alloys in 1 atm O2 at 1000 °C. Corros. Sci. 2008, 50, 345–356. [Google Scholar] [CrossRef]
  14. Zhang, H.; Liu, X.; Jiang, Y.; Gao, L.; Yu, L.; Lin, N.; He, Y.; Liu, C.T. Direct separation of arsenic and antimony oxides by high-temperature filtration with porous FeAl intermetallic. J. Hazard. Mater. 2017, 338, 364–371. [Google Scholar] [CrossRef]
  15. Korzhyk, V.; Burlachenko, O.; Strohonov, D.; Fialko, N.; Kharlamov, M.; Grishchenko, O.; Peleshenko, S. Effect of the Technological Parameters of Plasma-Arc Spraying of Flux-Cored Wire on the Structure and Properties of Intermetallide Coatings Based on Fe3Al. East. Eur. J. Enterp. Technol. 2023, 1, 6–15. [Google Scholar] [CrossRef]
  16. Basha, G.M.T.; Srikanth, A.; Venkateshwarlu, B. A critical review on nano structured coatings for alumina-titania (Al2O3-TiO2) deposited by air plasma spraying process (APS). Mater. Today: Proc. 2020, 22, 1554–1562. [Google Scholar] [CrossRef]
  17. Jacobs, M.H.G.; Schmid-Fetzer, R.; Markus, T.; Motalov, V.; Borchardt, G.; Spitzer, K.H. Thermodynamics and diffusion in ternary Fe–Al–Cr alloys, Part I: Thermodynamic modeling. Intermetallics 2008, 16, 995–1005. [Google Scholar] [CrossRef]
  18. Rank, M.; Franke, P.; Hoffmann, J.; Seifert, H.J. Experimental investigation of phase equilibria in the Al–Cr–Fe system. Calphad 2019, 66, 101638. [Google Scholar] [CrossRef]
  19. Wang, H.; Li, C.; Yang, G.; Gao, P.; Zhang, Q. Deposition characteristics of Fe/Al composite coating fabricated by cold spraying. In ITSC2008; ASM International: Almere, The Netherlands, 2008; pp. 1213–1219. [Google Scholar]
  20. Zamanzade, M.; Barnoush, A.; Motz, C. A review on the properties of iron aluminide intermetallics. Crystals 2016, 6, 10. [Google Scholar] [CrossRef]
  21. Rakhadilov, B.; Kenesbekov, A.; Skakov, M.; Miniyzov, A. Hydrogen and deuterium storage in tungsten when irradiation with Plasma beam. In Proceedings of the METAL 2018—27th International Conference on Metallurgy and Materials, Brno, Czech Republic, 23–25 May 2018; pp. 1216–1221. [Google Scholar]
  22. Kharlamov, M.Y.; Krivtsun, I.V.; Korzhyk, V.N.; Ryabovolyk, Y.V.; Demyanov, O.I. Simulation of Motion, Heating, and Breakup of Molten Metal Droplets in the Plasma Jet at Plasma-Arc Spraying. J. Therm. Spray Technol. 2015, 24, 659–670. [Google Scholar] [CrossRef]
  23. Rahadilov, B.K.; Zhurerova, L.G.; Sagdoldina, Z.B.; Kenesbekov, A.B.; Bayatanova, L.B. Morphological changes in the dislocation structure of structural steel 20GL after electrolytic-plasma hardening of the surface. J. Surf. Investig. X-Ray Synchrotron Neutron Tech. 2021, 15, 408–413. [Google Scholar] [CrossRef]
  24. ASTM G99; Test Method for Wear Testing with a Pin-on-Disk Apparatus. ASTM: West Conshohocken, PA, USA, 2017.
  25. Rakhadilov, B.; Kengesbekov, A.; Zhurerova, L.; Kozhanova, R.; Sagdoldina, Z. Impact of electronic radiation on the morphology of the fine structure of the surface layer of R6M5 steel. Machines 2021, 9, 24. [Google Scholar] [CrossRef]
  26. Kengesbekov, A.; Sagdoldina, Z.; Torebek, K.; Baizhan, D.; Kambarov, Y.; Yermolenko, M.; Abdulina, S.; Maulet, M. Synthesis and Formation Mechanism of Metal Oxide Compounds. Coatings 2022, 12, 1511. [Google Scholar] [CrossRef]
  27. Sahab, A.R.M.; Saad, N.H.; Kasolang, S.; Saedon, J. Impact of Plasma Spray Variables Parameters on Mechanical and Wear Behaviour of Plasma Sprayed Al2O3 3%wt TiO2 Coating in Abrasion and Erosion Application. Procedia Eng. 2012, 41, 1689–1695. [Google Scholar] [CrossRef]
  28. Rakhadilov, B.; Kurbanbekov, S.; Kilishkhanov, M.; Kenesbekov, A. Changing the structure and phasestates and the microhardness of the R6M5 steel surface layer after electrolytic-plasma nitriding. Eurasian J. Phys. Funct. Mater. 2018, 2, 259–266. [Google Scholar] [CrossRef]
  29. Pougoum, F.; Qian, J.; Martinu, L.; Klemberg-Sapieha, J.; Zhou, Z.; Li, K.Y.; Savoie, S.; Lacasse, R.; Potvin, E.; Schulz, R. Study of corrosion and tribocorrosion of Fe3Al-based duplex PVD/HVOF coatings against alumina in NaCl solution. Surf. Coat. Technol. 2019, 357, 774–783. [Google Scholar] [CrossRef]
Figure 1. CS300M Potentiostat/Galvanostat and connection diagram of the measuring cell of the potentiostat: 1—sample; 2—working graphite electrode; 3—flowing silver chloride electrode (reference electrode).
Figure 1. CS300M Potentiostat/Galvanostat and connection diagram of the measuring cell of the potentiostat: 1—sample; 2—working graphite electrode; 3—flowing silver chloride electrode (reference electrode).
Coatings 15 00790 g001
Figure 2. SEM image (a) and EDS elemental mapping (b) of FeCrAl powder.
Figure 2. SEM image (a) and EDS elemental mapping (b) of FeCrAl powder.
Coatings 15 00790 g002
Figure 3. Diffractograms of FeCrAl powder and coatings obtained by different sputtering modes.
Figure 3. Diffractograms of FeCrAl powder and coatings obtained by different sputtering modes.
Coatings 15 00790 g003
Figure 4. Microstructure and elemental mapping of FeCrAl coatings analyzed by SEM and EDS: (a,b) FeCrAl (27_33); (c,d) FeCrAl (33_33); (e,f) FeCrAl (30_30).
Figure 4. Microstructure and elemental mapping of FeCrAl coatings analyzed by SEM and EDS: (a,b) FeCrAl (27_33); (c,d) FeCrAl (33_33); (e,f) FeCrAl (30_30).
Coatings 15 00790 g004
Figure 5. Zones with altered hardness near the coating–substrate interface: (a) FeCrAl (27_33); (b) FeCrAl (30_33); (c) FeCrAl (33_33).
Figure 5. Zones with altered hardness near the coating–substrate interface: (a) FeCrAl (27_33); (b) FeCrAl (30_33); (c) FeCrAl (33_33).
Coatings 15 00790 g005
Figure 6. Dependence of the friction coefficient of coatings on the length of the friction path.
Figure 6. Dependence of the friction coefficient of coatings on the length of the friction path.
Coatings 15 00790 g006
Figure 7. Graph of the wear volume of FeCrAl coatings obtained under different sputtering modes.
Figure 7. Graph of the wear volume of FeCrAl coatings obtained under different sputtering modes.
Coatings 15 00790 g007
Figure 8. Results of corrosion tests.
Figure 8. Results of corrosion tests.
Coatings 15 00790 g008
Table 1. Spraying modes.
Table 1. Spraying modes.
SampleVoltage (volt)Fraction of Powder (µm)Argon Flow (L/min)Nitrogen Flow (L/min)Spray Distance (mm)
FrCrAl (27_33)27100–2003312150
FrCrAl (30_33)30100–2003312150
FrCrAl (33_33)33100–2003312150
Disclaimer/Publisher’s Note: The statements, opinions and data contained in all publications are solely those of the individual author(s) and contributor(s) and not of MDPI and/or the editor(s). MDPI and/or the editor(s) disclaim responsibility for any injury to people or property resulting from any ideas, methods, instructions or products referred to in the content.

Share and Cite

MDPI and ACS Style

Rakhadilov, B.; Bayatanova, L.; Kengesbekov, A.; Magazov, N.; Toleukhanova, Z.; Yeskermessov, D. Study of the Influence of Air Plasma Spraying Parameters on the Structure, Corrosion Resistance, and Tribological Characteristics of Fe–Al–Cr Intermetallic Coatings. Coatings 2025, 15, 790. https://doi.org/10.3390/coatings15070790

AMA Style

Rakhadilov B, Bayatanova L, Kengesbekov A, Magazov N, Toleukhanova Z, Yeskermessov D. Study of the Influence of Air Plasma Spraying Parameters on the Structure, Corrosion Resistance, and Tribological Characteristics of Fe–Al–Cr Intermetallic Coatings. Coatings. 2025; 15(7):790. https://doi.org/10.3390/coatings15070790

Chicago/Turabian Style

Rakhadilov, Bauyrzhan, Lyaila Bayatanova, Aidar Kengesbekov, Nurtoleu Magazov, Zhanerke Toleukhanova, and Didar Yeskermessov. 2025. "Study of the Influence of Air Plasma Spraying Parameters on the Structure, Corrosion Resistance, and Tribological Characteristics of Fe–Al–Cr Intermetallic Coatings" Coatings 15, no. 7: 790. https://doi.org/10.3390/coatings15070790

APA Style

Rakhadilov, B., Bayatanova, L., Kengesbekov, A., Magazov, N., Toleukhanova, Z., & Yeskermessov, D. (2025). Study of the Influence of Air Plasma Spraying Parameters on the Structure, Corrosion Resistance, and Tribological Characteristics of Fe–Al–Cr Intermetallic Coatings. Coatings, 15(7), 790. https://doi.org/10.3390/coatings15070790

Note that from the first issue of 2016, this journal uses article numbers instead of page numbers. See further details here.

Article Metrics

Back to TopTop