Sign in to use this feature.

Years

Between: -

Subjects

remove_circle_outline
remove_circle_outline
remove_circle_outline
remove_circle_outline
remove_circle_outline
remove_circle_outline
remove_circle_outline

Journals

Article Types

Countries / Regions

Search Results (36)

Search Parameters:
Keywords = Chalcidoidea

Order results
Result details
Results per page
Select all
Export citation of selected articles as:
26 pages, 7180 KB  
Article
Niche Differentiation and Predicted Functions of Microbiomes in a Tri-Trophic Willow–Gall (Euura viminalis)–Parasitoid Wasp System
by Yuhao Nie, Gaopeng Yu and Hongying Hu
Insects 2026, 17(1), 43; https://doi.org/10.3390/insects17010043 - 29 Dec 2025
Viewed by 367
Abstract
Chalcidoids (Hymenoptera: Chalcidoidea), the most important natural enemies of parasitoids, serve as a pivotal factor in the regulation and management of pest populations. Microbiotas mediate interactions among plants, herbivores, and natural enemies and shape host immunity, parasitoid development, and gall formation; however, the [...] Read more.
Chalcidoids (Hymenoptera: Chalcidoidea), the most important natural enemies of parasitoids, serve as a pivotal factor in the regulation and management of pest populations. Microbiotas mediate interactions among plants, herbivores, and natural enemies and shape host immunity, parasitoid development, and gall formation; however, the niche-specific diversity and functions of tritrophic parasitoid–host–gall systems remain unclear. Focusing on leaf galls induced on twisted willow (Salix matsudana f. tortuosa) by the willow-galling sawfly Euura viminalis and on two chalcidoids, Eurytoma aethiops and Aprostocetus sp., we profiled bacterial and fungal microbiomes across plant surfaces, gall lumen, host larval tissues, and parasitoids using HTAS. Fungal diversity peaked on parasitoids but was depleted in the gall lumen and host tissues; bacterial richness showed the opposite trend, peaking in the gall lumen and decreasing on parasitoids. In networks contrasted by kingdom, fungi showed positive interface-hub connectivity (Cladosporium, Alternaria), whereas bacteria showed negative hub-mediated associations (Pseudomonas, Acinetobacter), indicating habitat-specific replacements: exposed niches favored transport, two-component, secretion–motility and energy functions, whereas the gall lumen reduced transport/motility but selectively retained N/S metabolism; and in host tissues, information processing and nitrogen respiration were highlighted. These results inform microbiome-guided parasitoid biocontrol. Full article
(This article belongs to the Topic Diversity of Insect-Associated Microorganisms)
Show Figures

Figure 1

17 pages, 12118 KB  
Article
Integrative Taxonomy of Polynema (Doriclytus) (Hymenoptera: Mymaridae) from Oriental China: Three New Species and Five New Records Revealed by Morphological and Molecular Analyses
by Yanyan Liu, Serguei V. Triapitsyn, Dan Zhang, Jinling Wang and Zhulidezi Aishan
Insects 2025, 16(11), 1166; https://doi.org/10.3390/insects16111166 - 15 Nov 2025
Viewed by 798
Abstract
Polynema Haliday, 1833 (Hymenoptera: Chalcidoidea: Mymaridae), one of the most species-rich genera in the family, comprises egg parasitoids with diverse hosts across multiple insect orders, some serving as biological control agents for agricultural and forestry pests. The subgenus Polynema (Doriclytus Foerster, 1847), [...] Read more.
Polynema Haliday, 1833 (Hymenoptera: Chalcidoidea: Mymaridae), one of the most species-rich genera in the family, comprises egg parasitoids with diverse hosts across multiple insect orders, some serving as biological control agents for agricultural and forestry pests. The subgenus Polynema (Doriclytus Foerster, 1847), characterized by pronounced morphological conservatism, has historical taxonomic challenges due to reliance on external morphological characteristics. This study employed an integrative taxonomic approach, combining morphological and molecular analyses, to investigate P. (Doriclytus) diversity in the Oriental region of China. Eight species were identified, including three new species—P. (Doriclytus) acutum Wang & Aishan, sp. nov., P. (Doriclytus) daliense Wang & Aishan, sp. nov., and P. (Doriclytus) longicornia Wang & Aishan, sp. nov.—and five species newly recorded from China: P. (Doriclytus) alalatum Rehmat & Anis, 2016, P. (Doriclytus) bicolorigastra Rehmat & Anis, 2016, P. (Doriclytus) dhenkunde Mani & Saraswat, 1973, P. (Doriclytus) dunense Hayat & Anis, 1999, and P. (Doriclytus) tyakshiense Irfan & Anis, 2023. Comprehensive morphological descriptions and diagnostic illustrations are provided for all new taxa, with key diagnostic features detailed for the newly recorded species. Molecular analysis of COI sequences using both the Assemble Species by Automatic Partitioning (ASAP) and Generalized Mixed Yule Coalescent (GMYC) models yielded congruent species delimitation results, with genetic distances between delimited species showing maximum intraspecific divergence of 1.51% and interspecific divergences of 3–12% within the 470 bp COI barcode region. The deposition of 32 novel COI sequences in GenBank significantly enhances molecular resources for Mymaridae systematics. Full article
(This article belongs to the Section Insect Systematics, Phylogeny and Evolution)
Show Figures

Figure 1

15 pages, 5647 KB  
Article
A New Species of Aprostocetus (Hymenoptera: Eulophidae), a Parasitoid from China of the Invasive Gall Wasp Ophelimus bipolaris (Hymenoptera: Eulophidae) on Eucalyptus
by Jing-Hui Su, Yuan-Hao Li, Jin Hu, Yan Qin, Jun Li, Zoya Yefremova and Xia-Lin Zheng
Insects 2025, 16(8), 755; https://doi.org/10.3390/insects16080755 - 23 Jul 2025
Viewed by 1808
Abstract
A new species of Aprostocetus (Hymenoptera: Eulophidae), Aprostocetus bipolaris sp. nov., is recognized to be fortuitously present on a population of the invasive Eucalyptus (E. grandis × E. urophylla) gall wasp Ophelimus bipolaris Chen & Yao, in Guangxi, China. To classify [...] Read more.
A new species of Aprostocetus (Hymenoptera: Eulophidae), Aprostocetus bipolaris sp. nov., is recognized to be fortuitously present on a population of the invasive Eucalyptus (E. grandis × E. urophylla) gall wasp Ophelimus bipolaris Chen & Yao, in Guangxi, China. To classify this species, an integrated approach of morphological characteristics and molecular data was applied. The morphology of the new species is described and illustrated, and an identification key for female and male adults is also presented. Regarding phylogenetic analyses, the position of A. bipolaris sp. nov. within the Aprostocetus group of genera was reaffirmed based on 28S and COI gene sequences. All these lines of evidence indicate that A. bipolaris sp. nov. is a new species. Full article
Show Figures

Figure 1

19 pages, 17815 KB  
Review
A Review of Aphid Parasitoids, with an Identification Key to the Genera of Economic Importance
by Mar Ferrer-Suay, Marc Barreda, Ehsan Rakhshani, Eugenia Rodrigo, Jesús Selfa and Andrew Polaszek
Insects 2025, 16(7), 648; https://doi.org/10.3390/insects16070648 - 20 Jun 2025
Cited by 1 | Viewed by 3077
Abstract
Agriculture plays an essential role in meeting global food demand, and so effective pest control is crucial. Aphids (Hemiptera: Aphididae) are a significant problem for many crops worldwide, and cause crop losses. They are considered one of the most important groups of pests [...] Read more.
Agriculture plays an essential role in meeting global food demand, and so effective pest control is crucial. Aphids (Hemiptera: Aphididae) are a significant problem for many crops worldwide, and cause crop losses. They are considered one of the most important groups of pests in the world. Aphid parasitoids are very important as biological agents, both for their effectiveness and their host range selectivity. This study provides a review of these groups of parasitoids and their possible role and use in aphid biological control. Two groups of primary parasitoids, Aphelinidae and Braconidae: Aphidiinae, are the main groups that can be used in the biological control of aphids. There is also a diversity of hyperparasitoids whose hosts are these primary parasitoids and therefore are likely to be detrimental to the biological control programs: Megaspilidae in the superfamily Ceraphronoidea, the following Chalcidoidea families: Encyrtidae, Eulophidae, Moranilidae, Pteromalidae, and Signiphoridae, and Cynipoidea: Figitidae: Charipinae. Records of Mymaridae emerging from aphids, while assumed to be obligate egg-parasitoids, are discussed. Dichotomous keys are provided to identify the superfamilies, families and most important genera associated with aphids. Full article
(This article belongs to the Special Issue Protecting Field Crops from Economically Damaging Aphid Infestation)
Show Figures

Figure 1

26 pages, 48912 KB  
Article
Beneath the Bark and Beyond the Known: The First Record of Tineobius Ashmead (Hymenoptera: Chalcidoidea: Eupelmidae) in China with a Description of Two New Species
by Zixuan Li, Haoran Liao, Shirui Xu, Haitian Song and Lingfei Peng
Insects 2025, 16(6), 597; https://doi.org/10.3390/insects16060597 - 5 Jun 2025
Viewed by 4151
Abstract
The genus Tineobius Ashmead (Hymenoptera: Eupelmidae) is recorded for the first time in China based on two new species, Tineobius (Tineobius) elpisios Li & Peng sp. nov. and Tineobius (Tineobius) victor Li & Peng sp. nov., along with two [...] Read more.
The genus Tineobius Ashmead (Hymenoptera: Eupelmidae) is recorded for the first time in China based on two new species, Tineobius (Tineobius) elpisios Li & Peng sp. nov. and Tineobius (Tineobius) victor Li & Peng sp. nov., along with two newly recorded species, Tineobius (Tineobius) brachartonae (Gahan, 1927) and Tineobius (Tineobius) longicauda (Ferrière, 1938). Descriptions and illustrations are provided for all female specimens of the four species. Additionally, the males of T. victor sp. nov. and T. brachartonae are described and illustrated in detail, and a key to Asian species based on females is provided. Full article
(This article belongs to the Special Issue Revival of a Prominent Taxonomy of Insects)
Show Figures

Figure 1

17 pages, 2427 KB  
Article
Mitogenomic Characterization and Comparative Analysis of Three Egg Parasitoid Wasps Parasitizing Nilaparvata lugens (Stål)
by Wei He, Tingting Li, Liyang Wang, Hongxuan Wu, Jie Wang and Qiang Zhou
Insects 2025, 16(5), 543; https://doi.org/10.3390/insects16050543 - 20 May 2025
Viewed by 1127
Abstract
This study reports the first complete mitochondrial genomes of three egg parasitoid wasps parasitizing Nilaparvata lugensPseudoligosita nephotetticum, Anagrus frequens, and Anagrus nilaparvatae. Genome sizes ranged from 15,429 to 15,889 bp, with all three mitogenomes displaying strong A + [...] Read more.
This study reports the first complete mitochondrial genomes of three egg parasitoid wasps parasitizing Nilaparvata lugensPseudoligosita nephotetticum, Anagrus frequens, and Anagrus nilaparvatae. Genome sizes ranged from 15,429 to 15,889 bp, with all three mitogenomes displaying strong A + T bias, standard gene content, and characteristic strand asymmetries. While A. frequens and A. nilaparvatae exhibited conserved gene orders, extensive gene rearrangements, including multiple inversions in both protein-coding genes (PCGs) and tRNAs, were observed in P. nephotetticum. Codon usage analyses revealed a preference for codons ending in A or U. The non-synonymous (Ka) to synonymous (Ks) substitution ratio analysis identified signs of positive selection in multiple PCGs, particularly in atp8, nad6, and nad3, suggesting possible adaptive evolution related to host-searching behavior. Secondary structure analyses showed the loss of trnL1 in all Anagrus species, while trnS1 and trnR lacked the DHU arm, indicating possible derived traits in Mymaridae. Phylogenetic analysis was the first time to describe the relationship of the genus Anagrus within Mymaridae from the perspective of 13 protein genes. Furthermore, the grouping of (Pseudoligosita + Megaphragma) + Trichogramma was supporting the distinct evolutionary lineage of Pseudoligosita. This work provides new molecular resources and phylogenetic insight for Chalcidoidea, with implications for parasitoid evolution and biological control strategies. Full article
(This article belongs to the Section Insect Molecular Biology and Genomics)
Show Figures

Graphical abstract

25 pages, 2988 KB  
Article
White Oaks Genetic and Chemical Diversity Affect the Community Structure of Canopy Insects Belonging to Two Trophic Levels
by Elgar Castillo-Mendoza, Leticia Valencia-Cuevas, Patricia Mussali-Galante, Fernando Ramos-Quintana, Alejandro Zamilpa, Miriam Serrano-Muñoz, Juli Pujade-Villar and Efraín Tovar-Sánchez
Diversity 2025, 17(1), 62; https://doi.org/10.3390/d17010062 - 17 Jan 2025
Cited by 1 | Viewed by 1700
Abstract
The hybridization phenomenon increases genetic diversity and modifies recombinant individuals’ secondary metabolite (SMs) content, affecting the canopy-dependent community. Hybridization events occur when Quercus rugosa and Q. glabrescens oaks converge in sympatry. Here, we analyzed the effect of the genetic diversity (He) [...] Read more.
The hybridization phenomenon increases genetic diversity and modifies recombinant individuals’ secondary metabolite (SMs) content, affecting the canopy-dependent community. Hybridization events occur when Quercus rugosa and Q. glabrescens oaks converge in sympatry. Here, we analyzed the effect of the genetic diversity (He) and SMs of Q. rugosa, Q. glabrescens and hybrids on the community of gall-inducing wasps (Cynipidae) and their parasitoids on 100 oak canopy trees in two allopatric and two hybrid zones. Eighteen gall wasp species belonging to six genera and six parasitoid genera contained in four families were identified. The most representative parasitoid genera belonged to the Chalcidoidea family. Abundance, infestation levels and richness of gall wasps and their parasitoids registered the next pattern: Q. rugosa higher than the hybrids, and the hybrids equal to Q. glabrescens. Oak host genetic diversity was the variable with the highest influence on the quantitative SMs expression, richness and abundance of gall wasps and their parasitoids. The influence of SMs on gall wasps and their parasitoids showed the next pattern: scopoletin > quercitrin > rutin = caffeic acid = quercetin glucoside. Our findings indicate that genetic diversity may be a key factor influencing the dynamics of tri-trophic interactions that involve oaks. Full article
Show Figures

Figure 1

15 pages, 3878 KB  
Article
Conflicting Dynamics of Galling and Pollination: Arastichus gallicola (Hymenoptera, Eulophidae), a Specialized Parasitic Galler in Pistillate Flowers of Thaumatophyllum bipinnatifidum (Araceae)
by Sergio Jansen-González, Simone P. Teixeira and Rodrigo A. S. Pereira
Plants 2024, 13(24), 3520; https://doi.org/10.3390/plants13243520 - 17 Dec 2024
Viewed by 1232
Abstract
In the complex dynamics of plant–insect interactions, the specialized galling of reproductive structures presents unique evolutionary adaptations. This study investigates the parasitic relationship between Arastichus gallicola (Hymenoptera, Eulophidae), an ovary-galling wasp, and the inflorescences of Thaumatophyllum bipinnatifidum (Araceae). We employed field experiments and [...] Read more.
In the complex dynamics of plant–insect interactions, the specialized galling of reproductive structures presents unique evolutionary adaptations. This study investigates the parasitic relationship between Arastichus gallicola (Hymenoptera, Eulophidae), an ovary-galling wasp, and the inflorescences of Thaumatophyllum bipinnatifidum (Araceae). We employed field experiments and histological analyses to investigate the mechanisms driving this interaction. We reveal that ovule fertilization is not required for gall formation; however, pollination substantially enhances gall retention by reducing inflorescence abscission. Inflorescences exposed solely to galling presented a 64% abscission rate, whereas those with both galling and pollination experienced 33% abscission, underscoring pollination’s role in mitigating inflorescence loss. Detailed observations of A. gallicola oviposition and larval development reveal the intricate gall formation process characterized by progressive tissue hypertrophy surrounding the larva. Galling and seed development were mutually exclusive, with only 9% of fruits containing both. This mutual exclusivity suggests a competitive interaction for developmental resources within the ovary. Our findings underscore the specialized larval biology of galling chalcid wasps, illustrating how interactions between gall formation and host reproductive strategies shape the evolution of gall induction in floral tissues. Our study advances the understanding of ovary-galling adaptations and the selective pressures shaping antagonistic and mutualistic interactions in plant reproductive structures. Full article
(This article belongs to the Special Issue Plant–Insect Interactions—2nd edition)
Show Figures

Figure 1

24 pages, 6495 KB  
Article
Seven New Species of Anastatus Motschulsky (Hymenoptera: Chalcidoidea: Eupelmidae) from China Identified Based on Morphological and Molecular Data
by Zongying Wang, Yihang Zhou, Yaxuan Zou, Qifei Liu and Lingfei Peng
Insects 2024, 15(11), 893; https://doi.org/10.3390/insects15110893 - 15 Nov 2024
Cited by 4 | Viewed by 2519
Abstract
Anastatus is the second-largest genus in the family Eupelmidae, with 150 species found worldwide and fourteen known species in China. Most species in this genus are the primary parasitoids of insect eggs, particularly those of Lepidoptera and Hemiptera, and several species have been [...] Read more.
Anastatus is the second-largest genus in the family Eupelmidae, with 150 species found worldwide and fourteen known species in China. Most species in this genus are the primary parasitoids of insect eggs, particularly those of Lepidoptera and Hemiptera, and several species have been used for the biological control of various insect pests. In this paper, seven new species of Anastatus Motschulsky, 1859 (Hymenoptera: Eupelmidae) from China are described, of which A. caeruleus Wang and Peng n. sp. and A. garygibsoni Zhou and Peng n. sp. were reared from the eggs of Tessaratoma papillosa (Hemiptera: Tessaratomidae), while A. daiyunensis Wang and Peng n. sp., A. makrysourus Zhou and Peng n. sp., A. polikiarkoudus Wang and Peng n. sp., A. taibaiensis Wang and Peng n. sp., and A. zdenekbouceki Zhou and Peng n. sp. were collected by malaise traps or sweeping. The new species are all described and illustrated based on female specimens, and the key to all 21 Chinese Anastatus species, based on females, is provided. Partial COI sequences of A. caeruleus n. sp., A. garygibsoni n. sp., and A. taibaiensis n. sp. are provided, and a phylogenetic reconstruction based on maximum likelihood analyses, while showing similar results at high taxonomic levels to our morphological feature classification results, provides additional information on the placement of Anastatus at the species level. Full article
(This article belongs to the Special Issue Revival of a Prominent Taxonomy of Insects)
Show Figures

Figure 1

19 pages, 4469 KB  
Article
Geometric Morphometrics and Genetic Diversity Analysis of Chalcidoidea (Diglyphus and Pachyneuron) at Various Elevations
by Ouyan Xi, Shuli Zhang, Jinzhe Li, Hongying Hu and Ming Bai
Insects 2024, 15(7), 497; https://doi.org/10.3390/insects15070497 - 3 Jul 2024
Cited by 3 | Viewed by 2074
Abstract
Eulophidae and Pteromalidae are parasitic wasps with a global distribution and import for the biological control of pests. They can be distributed in different altitude regions, but their morphological and genetic adaptations to different altitudes are unclear. Here, we collected specimens that belong [...] Read more.
Eulophidae and Pteromalidae are parasitic wasps with a global distribution and import for the biological control of pests. They can be distributed in different altitude regions, but their morphological and genetic adaptations to different altitudes are unclear. Here, we collected specimens that belong to Eulophidae and Pteromalidae from various altitudinal gradients, based on integrated taxonomic approaches to determine the species composition, and we analyzed their body shape and size from different altitudes using geometric morphometrics. Then, we performed an analysis of the D. isaea population’s haplotype genes to illustrate their genetic diversity. As a result, eight species that belong to two genera, Diglyphus Walker (Eulophidae) and Pachyneuron Walker (Pteromalidae), were identified, including two newly recorded species from China (D. chabrias and D. sabulosus). Through a geometric morphometrics analysis of body shape, we found that a narrow forewing shape and a widened thorax are the significant characteristics of adaptation to high-altitude environments in D. isaea and P. aphidis. Additionally, the body size studies showed a principal relationship between centroid size and altitude; the size of the forewings and thorax increases at higher altitudes. Next, using haplotype analysis, 32 haplotypes were found in seven geographic populations with high genetic diversity of this species. Our research provides preliminary evidence for the morphological and genetic diversity adaptation of parasitic wasps to extreme environments, and these data can provide important references for investigations on the ecological adaptability of parasitic wasps. Full article
(This article belongs to the Section Insect Systematics, Phylogeny and Evolution)
Show Figures

Figure 1

15 pages, 8611 KB  
Article
Importance of Host Feeding in the Biological Control of Insect Pests: Case Study of Egg Parasitoid Species (Hymenoptera: Chalcidoidea: Trichogrammatidae)
by Tomas Cabello, Juan Ramón Gallego, Inmaculada Lopez, Manuel Gamez and Jozsef Garay
Insects 2024, 15(7), 496; https://doi.org/10.3390/insects15070496 - 3 Jul 2024
Cited by 4 | Viewed by 3353
Abstract
Over recent decades, intraguild predation (IGP) has attracted special attention, both from the theoretical and practical standpoints. The present paper addresses the interference competition between two Trichogramma species (egg parasitoids)—on the one hand, the extrinsic interactions (i.e., the indirect competition between female T. [...] Read more.
Over recent decades, intraguild predation (IGP) has attracted special attention, both from the theoretical and practical standpoints. The present paper addresses the interference competition between two Trichogramma species (egg parasitoids)—on the one hand, the extrinsic interactions (i.e., the indirect competition between female T. achaeae and T. brassicae), and on the other, the intrinsic interactions between the larvae of both species. Furthermore, T. achaeae is a better competitor than T. brassicae due to a dual mechanism—the former acts as a facultative hyperparasitoid of the latter, exclusively considering parasitism relationships as well as presenting predation activity by host feeding, which gives preference to eggs previously parasitized by T. brassicae over non-parasitized eggs. Both mechanisms are dependent on the prey density, which is demonstrated by a change in the functional response (i.e., the relationship between the numbers of prey attacked at different prey densities) of T. achaeae adult female—it changes from type II (i.e., initial phase in which the number of attacked targets increases hyperbolically and then reaches an asymptote, reflecting the handling capacity of the predator), in the absence of competition (an instantaneous search rate of a′ = 9.996 ± 4.973 days−1 and a handling time of Th = 0.018 ± 0.001 days), to type I (i.e., linear increase in parasitism rate as host densities rise, until reaching a maximum parasitism rate, and an instantaneous search rate of a′ = 0.879 ± 0.072 days−1 and a handling time of Th ≈ 0) when interference competition is present. These results show that there is a greater mortality potential of this species, T. achaeae, in conditions of competition with other species, T. brassicae in this case. Based on this, their implications in relation to the biological control of pests by parasitoid species are discussed. Full article
(This article belongs to the Section Insect Pest and Vector Management)
Show Figures

Graphical abstract

17 pages, 3640 KB  
Article
One Step beyond Species Description: Unveiling a Fine-Scale Diversity within the Genus Dzhanokmenia Kostjukov (Hymenoptera: Eulophidae)
by Bolormaa Ganbaatar, Qin Li, Ouyan Xi, Huanxi Cao and Chaodong Zhu
Insects 2024, 15(6), 406; https://doi.org/10.3390/insects15060406 - 1 Jun 2024
Viewed by 2358
Abstract
Although Chalcidoidea is one of the megadiverse superfamilies in Hymenoptera, numerous species are still being discovered and described. However, the difficulties in delimiting intra- and interspecific variation hinder this process. In this study, DNA barcoding methods using the COI gene were employed to [...] Read more.
Although Chalcidoidea is one of the megadiverse superfamilies in Hymenoptera, numerous species are still being discovered and described. However, the difficulties in delimiting intra- and interspecific variation hinder this process. In this study, DNA barcoding methods using the COI gene were employed to investigate the morphological variation within Dzhanokmenia Kostjukov, 1977. The nuclear locus, 28S D2, was used to infer a phylogeny to gain an understanding of the relationship of Dzhanokmenia with other potentially close genera. Through a preliminary DNA barcode library established here, including eight species, we calibrated the intraspecific variation in certain diagnostic characters for the new species described here, D. brevifunis Ganbaatar & Cao sp. nov. Maximum likelihood results show that Dzhanokmenia is clustered with the genera associated with Tetrastichus, such as Chaenotetrastichus Graham, 1987, Baryscapus Förster, 1856, Tetrastichus Haliday, 1844, and Oomyzus Rondani, 1870 involved in this study. Our results indicate that the species diversity of Dzhanokmenia is understudied and tentatively confirm that Dzhanokmenia has a potential close relationship with Baryscapus. Along with the DNA barcode library, the referenced phylogeny datasets improve the understanding of the systematic position of Dzhanokmenia within the subfamily Tetrastichinae and the definition of this genus in terms of morphology, thereby facilitating species delimitation, discovery, and description within Dzhanokmenia. Full article
(This article belongs to the Collection Hymenoptera: Biology, Taxonomy and Integrated Management)
Show Figures

Figure 1

14 pages, 2598 KB  
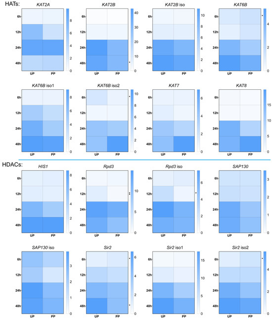
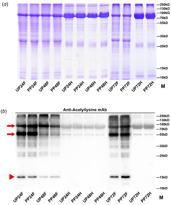
Article
Histone Acetylation Enhancing Host Melanization in Response to Parasitism by an Endoparasitoid Wasp
by Kun Jiang, Yan Zhou, Wen Cui, Yan-Wei Han, Pei Chen, Gui-Ming Liao, You-Ming Hou and Bao-Zhen Tang
Insects 2024, 15(3), 161; https://doi.org/10.3390/insects15030161 - 27 Feb 2024
Cited by 2 | Viewed by 2644
Abstract
Endoparasitoids are insects that develop within other insects, employing unique strategies to enhance their offspring’s survival. They inject polydnavirus and/or venom into their hosts along with eggs, effectively suppressing the host’s immune system. Polydnavirus from Braconidae and Ichneumonidae wasps can integrate into the [...] Read more.
Endoparasitoids are insects that develop within other insects, employing unique strategies to enhance their offspring’s survival. They inject polydnavirus and/or venom into their hosts along with eggs, effectively suppressing the host’s immune system. Polydnavirus from Braconidae and Ichneumonidae wasps can integrate into the host’s genome to express viral genes using the host’s transcription systems. However, the ability of parasitoids without polydnavirus to manipulate host gene expression remains unclear. Lysine acetylation (LysAc), a post-translational modification critical for gene regulation, is hypothesized to be used by endoparasitoids lacking polydnavirus. We utilized the Chalcidoidea wasp Tetrastichus brontispae, which lacks polydnavirus, as an idiobiont endoparasitoid model to test this hypothesis, with pupae of the nipa palm hispid beetle Octodonta nipae as the host. Parasitism by T. brontispae resulted in the reduced expression of histone deacetylase Rpd3 and elevated levels of LysAc modification at histones H3.3K9 and H3.3K14 through proteomics and LysAc modification omics. The knockdown of Rpd3 increased the expression level of OnPPAF1 and OnPPO involved in the phenoloxidase cascade, leading to melanization in the host body whereby it resembled a mummified parasitized pupa and ultimately causing pupa death. This study enhances our understanding of how endoparasitoids employ histone acetylation to regulate immunity-related genes, offering valuable insights into their survival strategies. Full article
(This article belongs to the Section Insect Molecular Biology and Genomics)
Show Figures

Figure 1

20 pages, 3186 KB  
Article
A New Species of Megastigmus and First Record of the Genus and Megastigmidae Family from the Paradise of the Maldives Archipelago
by Irinel Eugen Popescu and Irina Neta Gostin
Insects 2023, 14(8), 677; https://doi.org/10.3390/insects14080677 - 31 Jul 2023
Cited by 4 | Viewed by 3112
Abstract
Megastigmidae comprises more than 200 species in 12 genera. Megastigmus has a worldwide distribution with more than 150 species. Over 80% of these species are recorded from the Australian and Palearctic region, with a few from Afrotropical and Oriental regions, but none from [...] Read more.
Megastigmidae comprises more than 200 species in 12 genera. Megastigmus has a worldwide distribution with more than 150 species. Over 80% of these species are recorded from the Australian and Palearctic region, with a few from Afrotropical and Oriental regions, but none from the Neotropical region. We describe a new species of Megastigmus obtained from the seeds of Pemphis acidula in the Maldives Archipelago. This is the first mention of Megastigmidae having as a host plant a species from Lythraceae. It is also the first recorded association of Chalcidoidea with the genus Pemphis and the first mention of Megastigmidae and Megastigmus in the Maldives Archipelago. We provide a detailed description of the species, focusing on its morphology, using both light microscopy and scanning electron microscopy (SEM). Megastigmus irinae Popescu n. sp. is a strictly phytophagous species, with each larva consuming a single seed. Currently, M. irinae is an endemic species found only in the Maldives Archipelago. However, considering the distribution of its host plant, P. acidula, which ranges from East Africa to Southeast Asia, Australia, Micronesia, and French Polynesia, we anticipate that future research could significantly expand the known range of this interesting new species. Full article
(This article belongs to the Special Issue Arthropod Diversity and Conservation in Islands)
Show Figures

Figure 1

19 pages, 5160 KB  
Article
Novel Gene Rearrangement Pattern in Pachycrepoideus vindemmiae Mitochondrial Genome: New Gene Order in Pteromalidae (Hymenoptera: Chalcidoidea)
by Yixin Huang, Yuanhan Yang, Liqing Qi, Haoyuan Hu, Jean-Yves Rasplus and Xu Wang
Animals 2023, 13(12), 1985; https://doi.org/10.3390/ani13121985 - 14 Jun 2023
Cited by 2 | Viewed by 2088
Abstract
The mitochondrial genomes of Muscidifurax similadanacus, M. sinesensilla, Nasonia vitripennis, and Pachycrepoideus vindemmiae were sequenced to better understand the structural evolution of Pteromalidae mitogenomes. These newly sequenced mitogenomes all contained 37 genes. Nucleotide composition was AT-biased and the majority of [...] Read more.
The mitochondrial genomes of Muscidifurax similadanacus, M. sinesensilla, Nasonia vitripennis, and Pachycrepoideus vindemmiae were sequenced to better understand the structural evolution of Pteromalidae mitogenomes. These newly sequenced mitogenomes all contained 37 genes. Nucleotide composition was AT-biased and the majority of the protein-coding genes exhibited a negative AT skew. All 13 protein-coding genes (PCGs) initiated with the standard start codon of ATN, excepted for nad1 of N. vitripennis, which started with TTG, and terminated with a typical stop codon TAA/TAG or an incomplete stop codon T. All transfer RNA (tRNA) genes were predicted to fold into the typical clover-leaf secondary structures, except for trnS1, which lacks the DHU arm in all species. In P. vindemmiae, trnR and trnQ lack the DHU arm and TΨC arm, respectively. Although most genes evolved under a strong purifying selection, the Ka/Ks value of the atp8 gene of P. vindemmiae was greater than 1, indicating putative positive selection. A novel transposition of trnR in P. vindemmiae was revealed, which was the first of this kind to be reported in Pteromalidae. Two kinds of datasets (PCG12 and AA) and two inference methods (maximum likelihood and Bayesian inference) were used to reconstruct a phylogenetic hypothesis for the newly sequenced mitogenomes of Pteromalidae and those deposited in GenBank. The topologies obtained recovered the monophyly of the three subfamilies included. Pachyneurinae and Pteromalinae were recovered as sister families, and both appeared sister to Sycophaginae. The pairwise breakpoint distances of mitogenome rearrangements were estimated to infer phylogeny among pteromalid species. The topology obtained was not totally congruent with those reconstructed using the ML and BI methods. Full article
(This article belongs to the Section Animal Genetics and Genomics)
Show Figures

Figure 1

Back to TopTop