Sign in to use this feature.

Years

Between: -

Subjects

remove_circle_outline
remove_circle_outline
remove_circle_outline
remove_circle_outline
remove_circle_outline
remove_circle_outline
remove_circle_outline
remove_circle_outline
remove_circle_outline

Journals

remove_circle_outline
remove_circle_outline
remove_circle_outline
remove_circle_outline
remove_circle_outline
remove_circle_outline
remove_circle_outline
remove_circle_outline
remove_circle_outline
remove_circle_outline
remove_circle_outline
remove_circle_outline
remove_circle_outline
remove_circle_outline

Article Types

Countries / Regions

remove_circle_outline
remove_circle_outline
remove_circle_outline
remove_circle_outline
remove_circle_outline
remove_circle_outline

Search Results (1,424)

Search Parameters:
Keywords = Cartography

Order results
Result details
Results per page
Select all
Export citation of selected articles as:
22 pages, 8264 KB  
Article
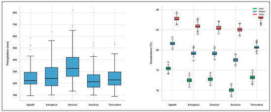
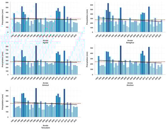
Climate Change Projections: Application of the Statistical Downscaling Model in the Souss-Massa Watershed
by Maryame El-Yazidi, Mohammed Benabdelhadi, Brahim Benzougagh, Yasmine Boukhlouf, Manal El Garouani, Malika El-Hamdouny, Hassan Tabyaoui, Zineb El Attar Soufi, Abderrahim Lahrach and Khaled Mohamed Khedher
Hydrology 2026, 13(3), 90; https://doi.org/10.3390/hydrology13030090 - 10 Mar 2026
Abstract
The research focuses on analyzing historical climate variability over the period 1982–2022, as well as future projections of climate change over the period 2025–2099, with regard to the Souss-Massa watershed, a semi-arid region with high dependency on agricultural activities. Precipitation and temperature data [...] Read more.
The research focuses on analyzing historical climate variability over the period 1982–2022, as well as future projections of climate change over the period 2025–2099, with regard to the Souss-Massa watershed, a semi-arid region with high dependency on agricultural activities. Precipitation and temperature data were collected annually from five meteorological stations, Agadir, Amaghouz, Amsoul, Aoulouz, and Taroudant, in order to analyze long-term climatic trends and predict possible scenarios of climate change. A trend analysis was carried out using a combination of the Mann–Kendall test and Sen’s slope estimator. The findings of this study indicate that there is an increase in mean annual temperature that is statistically significant (p < 0.05) across all stations, ranging from +0.28 °C per decade at Agadir, which is located along the coastal region of Morocco, to as high as +0.45 °C per decade at Taroudant, which is located inland. Conversely, the precipitation trend is decreasing and not statistically significant (p > 0.05). For projecting future climatic conditions, we used the Statistical Down-Scaling Model (SDSM v4.2.9) with global climate models using outputs from CanESM2 under two emission scenarios, namely RCP 4.5 and RCP8.5. The calibration period (1982–2001) and the validation period (2002–2022) were satisfactory, as indicated by the high values of the coefficients of determination (R2 > 0.6) for temperature and moderate values (R2 = 0.5–0.6) for precipitation. Projections indicate an increase in temperature, with the mean temperature change ranging from +4.8 °C and +8.7 °C by 2099 depending on the station’s location. Projected precipitation decreases are found under both scenarios, but with stronger decreases under RCP8.5, especially along the coastal regions, with decreases as large as −53.8% at Agadir. However, the precipitation projections have to be used with caution due to the limitations associated with the downscaling methods and the use of a single global climate model. All the projections indicate a trend towards arid conditions, emphasizing the need for adaptive water resources management and improving the ensemble models for climate projections. Full article
Show Figures

Figure 1

23 pages, 15039 KB  
Article
Impact of Atmospheric Turbulence on Data Quality During BVLOS UAV Missions in Antarctic Conditions
by Anna Zmarz and Mirosław Rodzewicz
Drones 2026, 10(3), 187; https://doi.org/10.3390/drones10030187 - 9 Mar 2026
Viewed by 165
Abstract
This article presents an analysis of the impact of atmospheric turbulence on the quality of images obtained during photogrammetric missions in Antarctica using a fixed-wing UAV operating in BVLOS mode. Image quality was evaluated primarily by the degree of blurring, which served as [...] Read more.
This article presents an analysis of the impact of atmospheric turbulence on the quality of images obtained during photogrammetric missions in Antarctica using a fixed-wing UAV operating in BVLOS mode. Image quality was evaluated primarily by the degree of blurring, which served as the main assessment criterion. In the Antarctic region, turbulence is a frequent phenomenon and can occur even under very light wind conditions, which formed the basis of this study. Autopilot log data were used to conduct a series of analyses, resulting in maps of areas where turbulence symptoms were recorded. In parallel, the quality of images captured during the mission was examined, producing a map of blurring levels assessed on a five-point scale. The study shows that UAV image blurring is mainly caused by sudden camera movements, mechanical vibrations from the propulsion system, and atmospheric turbulence that disrupts flight stability and overloads image stabilization. Additional factors such as low-light conditions, fog, haze, precipitation, glare, and moving shadows further reduce image clarity. Full article
(This article belongs to the Section Drones in Ecology)
Show Figures

Graphical abstract

19 pages, 4815 KB  
Article
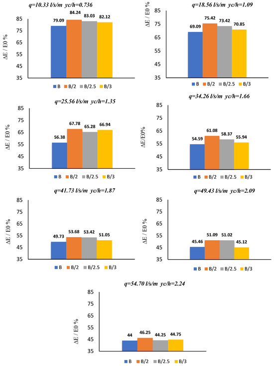
Comparison of Hydraulic Behavior of Single-Baffled Block Stepped Spillways Between Regular and Irregular Designs
by Hassan Jasim Alrikaby, Abdul-Hassan K. Al-Shukur, Ahmed Mageed Hussein, Halah Kadhim Tayyeh, Brahim Benzougagh, Qosai S. Radi Marshdi, Amnah Alasqah and Khaled Mohamed Khedher
Water 2026, 18(5), 629; https://doi.org/10.3390/w18050629 - 6 Mar 2026
Viewed by 194
Abstract
This study evaluated the hydraulic performance of regular and irregular stepped spillways experimentally to reduce the hydraulic leap length and enhance energy dissipation. The study tested fourteen physical models with 40° and 45° slopes and step numbers of 5 and 10, analyzing the [...] Read more.
This study evaluated the hydraulic performance of regular and irregular stepped spillways experimentally to reduce the hydraulic leap length and enhance energy dissipation. The study tested fourteen physical models with 40° and 45° slopes and step numbers of 5 and 10, analyzing the effect of a single barrier block and its horizontal position through 98 rectangular flume experiments to evaluate energy dissipation and hydraulic jump length. The results showed that when the nappe flow transitioned to the skimming flow, energy dissipation decreased as discharge increased. Irregular stepped spillways achieved higher energy dissipation than regular ones by about 10–25%, with five-step models outperforming ten-step models due to increased turbulence. A strong positive relationship between discharge and hydraulic jump length was also observed, with jump length increasing by approximately 30–45% at 40° and 45° slopes. Five-degree irregular stepped spillways produced the shortest hydraulic jump lengths, confirming that step irregularity reduces downstream residual energy. Adding a single barrier block improved performance by shortening the hydraulic jump by about 20–35%, especially at higher discharges, with the optimal position at B/2. Overall, an irregular stepped spillway with a barrier block at B/2 was identified as the most effective configuration, enabling shorter hydraulic jumps, smaller stilling basins, and more efficient and economical spillway designs. Full article
(This article belongs to the Special Issue Advances in Open-Channel Flow Hydrodynamics)
Show Figures

Figure 1

30 pages, 3091 KB  
Article
Classification and Characterization of Vegetation Dynamics in Northeastern Mexico from 25-Year EVI Time Series
by Alejandra Nahiely Espinoza-Coronado, Ángela P. Cuervo-Robayo, Jorge Víctor Horta-Vega, Arturo Mora-Olivo, Ausencio Azuara-Domínguez and Crystian S. Venegas-Barrera
Remote Sens. 2026, 18(5), 787; https://doi.org/10.3390/rs18050787 - 4 Mar 2026
Viewed by 514
Abstract
Vegetation indices are used to analyze vegetation dynamics and primary productivity. However, most studies rely on short time series and peak or integral metrics, which limit the understanding of long-term vegetation dynamics in heterogeneous areas. This study aimed to classify a subarea of [...] Read more.
Vegetation indices are used to analyze vegetation dynamics and primary productivity. However, most studies rely on short time series and peak or integral metrics, which limit the understanding of long-term vegetation dynamics in heterogeneous areas. This study aimed to classify a subarea of northeastern Mexico using a 25-year EVI time series and to characterize the resulting groups using growth parameters derived from temporal analysis. MODIS EVI mosaics from 2000 to 2024 were averaged and classified using the ISODATA algorithm, resulting in 16 groups. Smoothed EVI time series were analyzed with TIMESAT to extract growth parameters, which were compared among groups using Discriminant Function Analysis with cross-validation. Minimum primary productivity expressed as EVI base value (BVAL) explained most of the observed variance among groups (70.7%). The classification exhibited robust statistical separability, achieving a cross-validated accuracy of 75.1% (κ = 0.73), and showed mesoscale spatial structure (~12.5 km). The groups had moderate but significant associations (Cramer’s V = 0.33) with existing vegetation and climate cartography. The results suggest that long-term BVAL is a stable and ecologically meaningful descriptor of landscape functioning. Overall, the proposed classification captures gradients and transition zones not represented in static cartographic products, revealing vegetation dynamics across heterogeneous landscapes. Full article
(This article belongs to the Section Biogeosciences Remote Sensing)
Show Figures

Figure 1

23 pages, 2380 KB  
Article
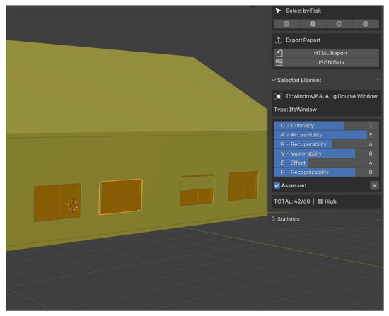
Integrating CARVER Matrix with BIM for Security by Design in Critical Infrastructure Projects
by Andrzej Szymon Borkowski and Gabriela Buniewicz
Sustainability 2026, 18(5), 2492; https://doi.org/10.3390/su18052492 - 4 Mar 2026
Viewed by 133
Abstract
This paper presents the concept and implementation of the BIM–CARVER tool, which integrates the CARVER matrix (Criticality, Accessibility, Recuperability, Vulnerability, Effect, Recognizability) with an open BIM environment based on the IFC standard. Originally developed by the US military for target analysis, the CARVER [...] Read more.
This paper presents the concept and implementation of the BIM–CARVER tool, which integrates the CARVER matrix (Criticality, Accessibility, Recuperability, Vulnerability, Effect, Recognizability) with an open BIM environment based on the IFC standard. Originally developed by the US military for target analysis, the CARVER matrix has evolved into a defensive tool for protecting critical infrastructure. Traditionally, physical security assessments of buildings are performed manually, separately from the digital model, contradicting the principles of Security by Design, which assume that security aspects should be taken into account at the early stages of design. As part of research conducted in accordance with the Design Science Research methodology, a plugin for the Bonsai platform (BlenderBIM) was developed, enabling the assignment of vulnerability assessments to individual elements of the IFC model according to six CARVER criteria on a scale of 1–10, the visualization of results directly in the modeling environment, and the generation of security reports in HTML format. The tool was validated on a set of ten building models of varying purpose and complexity. The results confirmed the effectiveness of the tool in systematically identifying and classifying building elements into four risk categories: critical, important, significant, and insignificant. The developed semi-automated solution supports designers and security specialists in the proactive identification of threats and enables the comparison of design variants in terms of the aggregated risk level, contributing to the implementation of Security by Design principles in design practice. By reducing the need for costly security retrofits and enabling resource-efficient design decisions, the proposed approach also contributes to the sustainability objectives in the built environment. Full article
Show Figures

Figure 1

22 pages, 4608 KB  
Article
Enhancing Ecosystem Service Value Through Land Use Optimization: A Multi-Objective Particle Swarm Optimization (PSO) Approach in Wuhan, China
by Yan Zhang, Lu Wei, Yasi Tian, Yiheng Wang, Fanjie Kong, Yang Zhang, Yiyun Chen and Xu Zhou
ISPRS Int. J. Geo-Inf. 2026, 15(3), 103; https://doi.org/10.3390/ijgi15030103 - 1 Mar 2026
Viewed by 245
Abstract
Integrating ecosystem service value (ESV) into land use optimization is crucial for achieving sustainable development goals. Unlike traditional “post-evaluation” approaches that assess ESV after generating land use plans, this study pioneers a “goal-oriented” method by embedding ESV as an objective to guide land [...] Read more.
Integrating ecosystem service value (ESV) into land use optimization is crucial for achieving sustainable development goals. Unlike traditional “post-evaluation” approaches that assess ESV after generating land use plans, this study pioneers a “goal-oriented” method by embedding ESV as an objective to guide land use optimization. A multi-objective particle swarm optimization (PSO) framework, which incorporates ESV with land quantity error, spatial aggregation of farmland and construction land, and economic benefits, was constructed for the research study. Applied to Wuhan, China, for the periods of 2005–2015 and 2010–2020, the results demonstrate the feasibility of the proposed framework in: (1) reducing construction land area while increasing farmland and ecological land; (2) spatially aggregating construction land towards urban functional areas while protecting farmland and ecological land in peri-urban and outer suburban areas; (3) improving spatial aggregation of farmland, construction land, and ecological land; and (4) slightly increasing ESV, particularly in peri-urban and outer suburban areas. The proposed PSO framework provides a valuable tool for optimizing land use layout, enhancing ecosystem service provision, and promoting balanced socio-ecological development. Full article
(This article belongs to the Topic Spatial Decision Support Systems for Urban Sustainability)
Show Figures

Figure 1

18 pages, 5279 KB  
Article
Coastal Communities Exposed to Storm Surge and Tsunami Events at Licantén, Maule, Chile: Evidence Through Remote Sensing Data
by Joaquín Valenzuela-Jara, Idania Briceño de Urbaneja, Waldo Pérez-Martínez and Isidora Díaz-Quijada
Land 2026, 15(3), 404; https://doi.org/10.3390/land15030404 - 1 Mar 2026
Viewed by 374
Abstract
The Licantén coastal area in central Chile was severely impacted by the 2010 Mw 8.8 Cobquecura earthquake and subsequent tsunami, exposing the high vulnerability of coastal communities. Over the past decade, urban expansion has advanced toward the shoreline, increasing exposure to coastal hazards. [...] Read more.
The Licantén coastal area in central Chile was severely impacted by the 2010 Mw 8.8 Cobquecura earthquake and subsequent tsunami, exposing the high vulnerability of coastal communities. Over the past decade, urban expansion has advanced toward the shoreline, increasing exposure to coastal hazards. This study aims to quantify shoreline dynamics and urban growth in Licantén between 2010 and 2025. We integrated satellite-derived shorelines (SDSs) from Landsat and Sentinel-2 imagery, ERA5 ocean reanalysis to characterize extreme wave events, and an open-source building footprint dataset with high-resolution imagery for urban mapping. Results indicate a post-earthquake acceleration in shoreline erosion up to 5 m per year and a rise in extreme wave events linked to climate variability. Urbanized areas expanded by an average of 46.3%, intensifying risk in hazard-prone zones. These findings highlight the urgent need for evidence-based coastal planning, including zoning and land-use restrictions, to reduce exposure and enhance resilience. This research contributes to climate adaptation strategies and sustainable coastal management in Chile. Full article
Show Figures

Figure 1

22 pages, 14552 KB  
Article
Shallow Water Bathymetry Inversion Method Based on Spatiotemporal Coupling Correlation Adaptive Spectroscopy
by Jiaxing Du, Houpu Li, Shuaidong Jia, Gaixiao Li, Jian Dong, Bing Liu and Shaofeng Bian
Remote Sens. 2026, 18(5), 741; https://doi.org/10.3390/rs18050741 - 28 Feb 2026
Viewed by 192
Abstract
Shallow water bathymetry data underpins maritime shipping and marine resource survey/protection, but its accuracy is constrained by water heterogeneity and spectral interference. To address this, this study proposes a Spatio-Temporal Coupling and Correlation Adaptive Spectral (STCCAS) inversion method, integrating four machine learning models: [...] Read more.
Shallow water bathymetry data underpins maritime shipping and marine resource survey/protection, but its accuracy is constrained by water heterogeneity and spectral interference. To address this, this study proposes a Spatio-Temporal Coupling and Correlation Adaptive Spectral (STCCAS) inversion method, integrating four machine learning models: Random Forest (RF), XGBoost, Support Vector Regression (SVR), and Multi-Layer Perceptron (MLP). Experiments were conducted in Tampa Bay’s nearshore waters, using Sentinel-2 imagery and Airborne LiDAR Bathymetry (ALB) data. Core to STCCAS, the Temporal Stability Index (TSI) quantifies spectral temporal consistency, while the Normalized Difference Turbidity Index (NDTI) characterizes water turbidity, and the two indices synergistically form a dual-scale “spectral reliability-turbidity stability” evaluation system for pixel-level feature quality assessment—coupled with spectral fusion features and spatial location, they jointly realize pixel-level feature reliability weighting and dynamic filtering to build a water condition-adaptive input set. Comparative analysis of inversion performance under the original spectral features (OSFs) inversion method vs. STCCAS inversion method confirms STCCAS significantly boosts accuracy. XGBoost outperforms others, achieving a coefficient of determination (R2) of 0.93, root mean square error (RMSE) of 0.16 m, and mean absolute error (MAE) of 0.12 m. STCCAS breaks the limitations of traditional fixed feature combinations, effectively adapting to nearshore water heterogeneity. It provides a novel method for high-frequency, high-precision shallow water bathymetry inversion, with important practical value for marine environmental monitoring and resource management. Full article
Show Figures

Figure 1

30 pages, 1477 KB  
Review
Application of Beneficial Bacteria to Enhance Plant Drought Resilience
by Yryszhan Zhakypbek, Bekzhan D. Kossalbayev, Serik Tursbekov, Galiya Tursbekova, Zhansulu Berdaliyeva and Ayaz M. Belkozhayev
Plants 2026, 15(5), 753; https://doi.org/10.3390/plants15050753 - 28 Feb 2026
Viewed by 349
Abstract
Drought stress is one of the most severe abiotic constraints limiting crop productivity worldwide, a challenge that is intensifying under ongoing climate change. In recent years, beneficial microorganisms have emerged as sustainable, nature-based tools to enhance plant drought tolerance and stabilize agricultural production [...] Read more.
Drought stress is one of the most severe abiotic constraints limiting crop productivity worldwide, a challenge that is intensifying under ongoing climate change. In recent years, beneficial microorganisms have emerged as sustainable, nature-based tools to enhance plant drought tolerance and stabilize agricultural production under water-limited conditions. This review synthesizes current knowledge on the major groups of beneficial bacteria involved in drought stress mitigation, including plant growth-promoting rhizobacteria (PGPR), a functional subgroup of rhizosphere-associated microbes, endophytic bacteria, rhizosphere-associated microbes, and cyanobacteria, highlighting their primary physiological, biochemical, and soil-mediated mechanisms. These microorganisms enhance drought resilience through multiple complementary pathways, such as modulation of abscisic acid (ABA) and auxin (IAA) signaling, ACC deaminase activity, osmotic adjustment, antioxidant defense, improved nutrient acquisition, and enhancement of soil structure and water retention. The review further discusses practical application strategies, including seed inoculation, soil and root application, foliar spraying, the use of single strains versus microbial consortia, and advances in bioformulations and carrier materials that improve microbial survival and field efficacy. Emphasis is placed on recent experimental and field studies demonstrating the effectiveness of microbial inoculants under drought conditions. Collectively, the evidence highlights the potential of beneficial bacteria as key components of climate-resilient agriculture and underscores the need for integrated, formulation-driven approaches to translate laboratory success into consistent field performance. Full article
Show Figures

Figure 1

15 pages, 738 KB  
Article
Regional Cartography as Planning Infrastructure: Implications for Spatial Planning and Governance
by Dimitris Kourkouridis and Asimenia Salepaki
Land 2026, 15(3), 381; https://doi.org/10.3390/land15030381 - 27 Feb 2026
Viewed by 336
Abstract
Regional cartography has traditionally supported the representation and organization of territorial space; however, its role within contemporary spatial planning and governance systems has evolved alongside the growing emphasis on evidence-based and multi-level governance. This paper examines how regional cartographic frameworks are integrated into [...] Read more.
Regional cartography has traditionally supported the representation and organization of territorial space; however, its role within contemporary spatial planning and governance systems has evolved alongside the growing emphasis on evidence-based and multi-level governance. This paper examines how regional cartographic frameworks are integrated into spatial planning processes and how they contribute to coordination, monitoring, and implementation capacity. The study adopts a qualitative research design based on systematic document analysis of key European and national planning and policy documents, using an analytical framework that conceptualizes cartography as a structural component of planning and governance systems. The findings indicate that, although cartographic tools, spatial indicators, and territorial monitoring instruments are widely employed, particularly within European analytical initiatives, their institutional integration within planning frameworks remains limited and uneven. Cartography is primarily positioned as an analytical or communicative resource rather than as a binding element of planning architecture. Drawing on the Greek planning experience within a broader European context, the paper concludes that strengthening the institutional embedding of regional cartography as a planning infrastructure may contribute to improved monitoring, multi-level coordination, and a more coherent translation of strategic objectives into spatial policy frameworks. Full article
(This article belongs to the Section Land Planning and Landscape Architecture)
Show Figures

Figure 1

21 pages, 6512 KB  
Article
Spatial Footprint of Anthropogenic Activities in the Lubumbashi Charcoal Production Basin (DR Congo): Insights from Local Community Perceptions
by Dieu-donné N’tambwe Nghonda, Héritier Khoji Muteya, Sylvestre Cabala Kaleba, François Malaisse, Amisi Mwana Yamba, Wilfried Masengo Kalenga, Jan Bogaert and Yannick Useni Sikuzani
Geographies 2026, 6(1), 24; https://doi.org/10.3390/geographies6010024 - 25 Feb 2026
Viewed by 281
Abstract
Village landscapes within an 80 km radius of Lubumbashi (south-eastern Democratic Republic of the Congo) are undergoing rapid spatial transformation driven by subsistence agriculture, charcoal production, and mining activities. This study analyzes how these transformations are spatially perceived and organized across five village [...] Read more.
Village landscapes within an 80 km radius of Lubumbashi (south-eastern Democratic Republic of the Congo) are undergoing rapid spatial transformation driven by subsistence agriculture, charcoal production, and mining activities. This study analyzes how these transformations are spatially perceived and organized across five village territories of the Lubumbashi Charcoal Production Basin using an adapted version of Kevin Lynch’s perceptual model. Landscape elements were independently identified by trained cartographic observers and by local community members. A comparison of the resulting maps yields a Sørensen similarity index ranging between 70% and 75% across villages, indicating strong convergence in spatial interpretation despite differences in expertise. Among the perceptual components, districts and landmarks account for nearly half of all identified elements and comprise the most perceptible anthropogenic disturbances. Spatial analysis shows that areas perceived as negatively impacted represent between 40% and 79% of total village surfaces. Deforestation associated with post-cultivation fallow dominates in Makisemu (47.6%) and Texas (64.4%), while woodland degradation linked to charcoal production is particularly pronounced in Mwawa (39.0%) and Luisha (25.1%). Mining-related disturbances, including soil and water alteration, are especially evident in Nsela (24.6%). These findings demonstrate that Lynch’s framework, although originally developed for urban systems, can effectively structure perception in diffuse rural woodland environments when methodologically adapted. Perception-based cartography therefore provides a robust complementary tool to biophysical monitoring for understanding the spatial footprint of anthropogenic pressures at the village scale and informing ecosystem restoration strategies. Full article
(This article belongs to the Special Issue Geography as a Transdisciplinary Science in a Changing World)
Show Figures

Figure 1

20 pages, 2582 KB  
Article
Management of Common Land in the Context of Climate Change: A Multi-Scenario Simulation
by Katarzyna Kocur-Bera
Resources 2026, 15(3), 36; https://doi.org/10.3390/resources15030036 - 25 Feb 2026
Viewed by 269
Abstract
Reducing greenhouse gas emissions and promoting biodiversity are currently among the key orientations of European climate policy. The increase in atmospheric greenhouse gas concentrations (including carbon dioxide) is caused, among others, by the environmental impacts of human activities. Carbon capture and storage are [...] Read more.
Reducing greenhouse gas emissions and promoting biodiversity are currently among the key orientations of European climate policy. The increase in atmospheric greenhouse gas concentrations (including carbon dioxide) is caused, among others, by the environmental impacts of human activities. Carbon capture and storage are at the heart of climate and energy security. This study aimed to analyze scenarios that assume various ways of using and managing common land. Common land is found in many countries. However, the legal status of these lands varies. This status often determines how the land can be managed. The article uses online surveys (CAWI), the land morphology concept (LMC), the scenario method, and an analysis of precedent events. The scenarios considered the stakeholders in the process. The results demonstrated that the optimal approach is to use regenerative agriculture with cover cropping. The diagnosis of precedent events showed that this method of use may be difficult to apply under local conditions due to low social involvement in the process of obtaining autonomy and self-determination by the parties entitled to common land, as well as by national-level authorities. Full article
Show Figures

Figure 1

48 pages, 20267 KB  
Article
Recent Climate-Induced Changes in Glaciers, Biota, Land Use Types and Population Adaptation Models in the South-Eastern Altai Highlands
by Dmitry A. Ganyushkin, Ekaterina S. Derkach, Alexander A. Erofeev, Andrey I. Pyak, Igor V. Volkov, Irina I. Volkova, Zoya N. Kvasnikova, Irina V. Kuzhevskaya, Yury N. Kurochkin, Svetlana G. Maksimova, Dmitry V. Bantcev, Daria A. Omelchenko, Oksana E. Noyanzina, Olga V. Surtaeva, Aldynay O. Khovalyg, Sergey O. Ondar, Andrey S. Babenko, Sayana D. Mongush, Mariya I. Dongak, Otgonbayar Demberel, Buyan A. Adygbai, Bogdan A. Mikhaleiko, Yuri Y. Kolesnichenko, Irina A. Gammershmidt, Pradip K. Kar and Sergey N. Kirpotinadd Show full author list remove Hide full author list
Environments 2026, 13(3), 128; https://doi.org/10.3390/environments13030128 - 25 Feb 2026
Viewed by 518
Abstract
This article provides the first comprehensive description and assessment of environmental changes in a unique natural transboundary region—South-Eastern Altai, which is located in the arid territories of Russia and Mongolia. This region of Asia is rightfully included in the high-mountain Third Pole (Roof [...] Read more.
This article provides the first comprehensive description and assessment of environmental changes in a unique natural transboundary region—South-Eastern Altai, which is located in the arid territories of Russia and Mongolia. This region of Asia is rightfully included in the high-mountain Third Pole (Roof of the World). In three key areas, Tsambagarav Massif (Mongolia), Mongun-Taiga Massif, and North-Chuya Ridge (Russia), the following are considered: (1) the latest dynamics of glaciers from the early 1960s (beginning of regular instrumental observations) to the present day; (2) climate change and land use systems; and (3) the characteristics of the biota and the causes of its dynamics. The article concludes with a consideration of (4) population adaptation models. Full article
Show Figures

Figure 1

20 pages, 10641 KB  
Article
Public Transport Accessibility Level and Public Perceptions: A Framework for Urban Mobility Analysis
by Adelina Camelia Tarko, Marius Lupșa Matichescu, Maria-Raluca Răducan and Alexandru Dragan
Urban Sci. 2026, 10(2), 122; https://doi.org/10.3390/urbansci10020122 - 21 Feb 2026
Viewed by 331
Abstract
This study investigates the influence of public transport on the quality of urban life through a combined approach that includes both an objective and a subjective assessment. The objective quality of the public transport network in Timișoara was measured using the Public Transport [...] Read more.
This study investigates the influence of public transport on the quality of urban life through a combined approach that includes both an objective and a subjective assessment. The objective quality of the public transport network in Timișoara was measured using the Public Transport Accessibility Level (PTAL) index, whose values were recalibrated to better fit the context of an Eastern European post-communist city, while citizens’ perceptions were analyzed based on a public opinion survey in Timișoara, conducted over 5 years on 9490 respondents. The research methods used combine cartography and statistics, with tools such as ArcGIS Pro, IBM SPSS Statistics v27, and R v4.5.2. The results highlight a correlation between accessibility levels and user satisfaction, emphasizing spatial disparities between the city center, which enjoys excellent accessibility, and the periphery, where accessibility is much lower. The integration of these two dimensions provides a holistic perspective on urban mobility and makes relevant contributions to sustainable planning strategies and the development of smart city initiatives. Full article
Show Figures

Figure 1

13 pages, 283 KB  
Article
Odysseus and the Siren Song of Knowledge
by Vincent Barletta
Humanities 2026, 15(2), 32; https://doi.org/10.3390/h15020032 - 17 Feb 2026
Viewed by 445
Abstract
This article rereads Odysseus’s encounter with the Sirens in the Odyssey through the lens of sound, arguing that the episode stages a foundational tension between knowledge and alterity in Western thought. Drawing on Emmanuel Levinas’s notion of the “temptation of temptation,” the essay [...] Read more.
This article rereads Odysseus’s encounter with the Sirens in the Odyssey through the lens of sound, arguing that the episode stages a foundational tension between knowledge and alterity in Western thought. Drawing on Emmanuel Levinas’s notion of the “temptation of temptation,” the essay shows how Odysseus’s famous stratagem—hearing the Sirens while bound to the mast—models a form of mediated proximity that allows sound to be collected without ethical exposure. Close readings of Homeric Greek, especially the Sirens’ claim to knowledge of ὅσσα γένηται, reveal that their song gestures not merely toward retrospective epic knowledge but toward natality and coming-into-being, a dimension Homer pointedly withholds. By placing the Sirens alongside early colonial soundscapes and modern reflections on cartography, the article argues that Western listening practices privilege mastery over vulnerability. Against this tradition, the Sirens’ unheard song marks a suppressed alternative: listening as openness, risk, and ethical relation. Full article
(This article belongs to the Special Issue Literature and Sound)
Back to TopTop