Sign in to use this feature.

Years

Between: -

Subjects

remove_circle_outline
remove_circle_outline
remove_circle_outline
remove_circle_outline
remove_circle_outline
remove_circle_outline
remove_circle_outline
remove_circle_outline
remove_circle_outline

Journals

Article Types

Countries / Regions

remove_circle_outline
remove_circle_outline
remove_circle_outline
remove_circle_outline
remove_circle_outline
remove_circle_outline

Search Results (1,364)

Search Parameters:
Keywords = Caputo derivatives

Order results
Result details
Results per page
Select all
Export citation of selected articles as:
25 pages, 1264 KB  
Article
A Unified Framework for Cross-Coupled Delay Systems Under Generalized Power-Law Caputo Fractional Operators
by Yasir A. Madani, Mohammed Almalahi, Osman Osman, Khaled Aldwoah, Alawia Adam, Mohammed Rabih and Habeeb Ibrahim
Fractal Fract. 2026, 10(2), 87; https://doi.org/10.3390/fractalfract10020087 (registering DOI) - 26 Jan 2026
Abstract
In this study, we address a coupled system of nonlinear fractional delay differential equations subject to cross-coupled multi-point boundary conditions. By utilizing the generalized power Caputo fractional derivative, we present a unified theoretical framework that encompasses several operators—including the Atangana–Baleanu, Caputo–Fabrizio, and weighted [...] Read more.
In this study, we address a coupled system of nonlinear fractional delay differential equations subject to cross-coupled multi-point boundary conditions. By utilizing the generalized power Caputo fractional derivative, we present a unified theoretical framework that encompasses several operators—including the Atangana–Baleanu, Caputo–Fabrizio, and weighted Hattaf derivatives—as special cases. This generality ensures that our results remain applicable across a broad family of fractional kernels. We transform the complex delay system into an equivalent integral form to derive sufficient criteria for the existence and uniqueness of solutions via fixed-point theory. Furthermore, we rigorously establish the Ulam–Hyers stability of the system, a critical property for ensuring robustness in the presence of perturbations. Finally, the theoretical findings are validated through a detailed numerical study employing a predictor–corrector scheme adapted for fractional delay systems. The simulations highlight the sensitivity of solutions to the memory kernel and fractional orders and include a systematic exploration of delay effects. Full article
(This article belongs to the Section General Mathematics, Analysis)
Show Figures

Figure 1

16 pages, 281 KB  
Article
On a Time-Fractional Biharmonic Nonlocal Initial Boundary-Value Problem with Frictional and Viscoelastic Damping Terms
by Rowaida Alrajhi and Said Mesloub
Mathematics 2026, 14(2), 387; https://doi.org/10.3390/math14020387 - 22 Jan 2026
Viewed by 26
Abstract
This research work investigates the existence, uniqueness, and stability of solution for a time-fractional fourth-order partial differential equation, subject to two initial conditions and four nonlocal integral boundary conditions. The equation incorporates several key components: the Caputo fractional derivative operator, the Laplace operator, [...] Read more.
This research work investigates the existence, uniqueness, and stability of solution for a time-fractional fourth-order partial differential equation, subject to two initial conditions and four nonlocal integral boundary conditions. The equation incorporates several key components: the Caputo fractional derivative operator, the Laplace operator, the biharmonic operator, as well as terms representing frictional and viscoelastic damping. The presence of these elements, particularly the nonlocal boundary constraints, introduces new mathematical challenges that require the development of advanced analytical methods. To address these challenges, we construct a functional analytic framework based on Sobolev spaces and employ energy estimates to rigorously prove the well-posedness of the problem. Full article
(This article belongs to the Special Issue Applications of Partial Differential Equations, 2nd Edition)
14 pages, 298 KB  
Article
On Global Solutions to a ψ-Caputo Fractional Inequality
by Mohammed D. Kassim
Fractal Fract. 2026, 10(1), 67; https://doi.org/10.3390/fractalfract10010067 - 19 Jan 2026
Viewed by 158
Abstract
This paper investigates the absence of globally defined, non-trivial solutions for some fractional differential inequalities of the ψ-Caputo type, with polynomial sources involving fractional derivatives. We rigorously establish these results within an appropriate function space using properties of ψ-fractional integrals and [...] Read more.
This paper investigates the absence of globally defined, non-trivial solutions for some fractional differential inequalities of the ψ-Caputo type, with polynomial sources involving fractional derivatives. We rigorously establish these results within an appropriate function space using properties of ψ-fractional integrals and derivatives and the test function technique. To demonstrate the applicability and enhance understanding, we provide three illustrative examples. Our findings broaden the scope of previous literature, encompassing existing results as special cases. Full article
21 pages, 918 KB  
Article
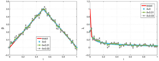
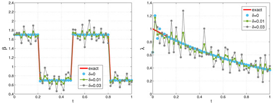
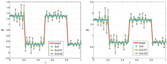
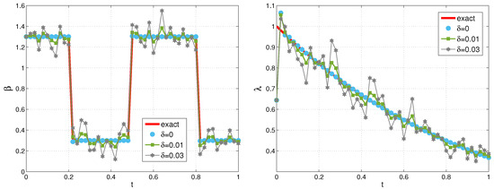
A Numerical Approach for the Simultaneous Identification of a Source Term and a Robin Boundary Coefficient in Time-Fractional Reaction–Diffusion Equations
by Miglena N. Koleva
Mathematics 2026, 14(2), 324; https://doi.org/10.3390/math14020324 - 18 Jan 2026
Viewed by 122
Abstract
In the present study, we develop numerical approaches for the simultaneous determination of a time-dependent right-hand side and a Robin boundary coefficient in linear and quasilinear Caputo time-fractional reaction–diffusion problems based on boundary and interior observations. The well-posedness of the corresponding direct problems [...] Read more.
In the present study, we develop numerical approaches for the simultaneous determination of a time-dependent right-hand side and a Robin boundary coefficient in linear and quasilinear Caputo time-fractional reaction–diffusion problems based on boundary and interior observations. The well-posedness of the corresponding direct problems is established. A temporal semidiscretization is first constructed using the L21σ scheme, and the solution is decomposed with respect to the unknown functions. The correctness of the proposed method is proved. For the nonlinear diffusion problem, a quasilinearization technique is employed, and the spatial discretization is carried out using finite difference schemes. An iterative procedure is developed to solve the resulting inverse problem. Numerical simulations with noisy data are presented and discussed to demonstrate the efficiency of the method. Full article
(This article belongs to the Special Issue Advances in Numerical Analysis of Partial Differential Equations)
Show Figures

Figure 1

12 pages, 390 KB  
Article
Numerical Solution of Fractional Third-Order Nonlinear Emden–Fowler Delay Differential Equations via Chebyshev Polynomials
by Mashael M. AlBaidani
Axioms 2026, 15(1), 64; https://doi.org/10.3390/axioms15010064 - 17 Jan 2026
Viewed by 143
Abstract
In the current study, we used Chebyshev’s Pseudospectral Method (CPM), a novel numerical technique, to solve nonlinear third-order Emden–Fowler delay differential (EF-DD) equations numerically. Fractional derivatives are defined by the Caputo operator. These kinds of equations are transformed to the linear or nonlinear [...] Read more.
In the current study, we used Chebyshev’s Pseudospectral Method (CPM), a novel numerical technique, to solve nonlinear third-order Emden–Fowler delay differential (EF-DD) equations numerically. Fractional derivatives are defined by the Caputo operator. These kinds of equations are transformed to the linear or nonlinear algebraic equations by the proposed approach. The numerical outcomes demonstrate the precision and efficiency of the suggested approach. The error analysis shows that the current method is more accurate than any other numerical method currently available. The computational analysis fully confirms the compatibility of the suggested strategy, as demonstrated by a few numerical examples. We present the outcome of the offered method in tables form, which confirms the appropriateness at each point. Additionally, the outcomes of the offered method at various non-integer orders are investigated, demonstrating that the result approaches closer to the accurate solution as a value approaches from non-integer order to an integer order. Additionally, the current study proves some helpful theorems about the convergence and error analysis related to the aforementioned technique. A suggested algorithm can effectively be used to solve other physical issues. Full article
(This article belongs to the Special Issue Advances in Differential Equations and Its Applications)
Show Figures

Figure 1

17 pages, 7284 KB  
Article
Dynamics and Solution Behavior of the Variable-Order Fractional Newton–Leipnik System
by Rania Saadeh, Nidal E. Taha, Mohamed Hafez, Ghozail Sh. Al-Mutairi and Manahil A. M. Ashmaig
Mathematics 2026, 14(2), 312; https://doi.org/10.3390/math14020312 - 16 Jan 2026
Viewed by 188
Abstract
This paper considers the solution behavior and dynamical properties of the variable-order fractional Newton–Leipnik system defined via Liouville–Caputo derivatives of variable order. In contrast to integer-order models, the presence of variable-order fractional operators in the Newton–Leipnik structure enriches the model by providing memory-dependent [...] Read more.
This paper considers the solution behavior and dynamical properties of the variable-order fractional Newton–Leipnik system defined via Liouville–Caputo derivatives of variable order. In contrast to integer-order models, the presence of variable-order fractional operators in the Newton–Leipnik structure enriches the model by providing memory-dependent effects that vary with time; hence, it is capable of a broader and more flexible range of nonlinear responses. Numerical simulations have been conducted to study how different order functions influence the trajectory and qualitative dynamics: clear transitions in oscillatory patterns have been identified by phase portraits, time-series profiles, and three-dimensional state evolution. The work goes further by considering the development of bifurcations and chaotic regimes and stability shifts and confirms the occurrence of several phenomena unattainable in fixed-order and/or integer-order formulations. Analysis of Lyapunov exponents confirms strong sensitivity to the initial conditions and further details how the memory effects either reinforce or prevent chaotic oscillations according to the type of order function. The results, in fact, show that the variable-order fractional Newton–Leipnik framework allows for more expressive and realistic modeling of complex nonlinear phenomena and points out the crucial role played by evolving memory in controlling how the system moves between periodic, quasi-periodic, and chaotic states. Full article
(This article belongs to the Section C1: Difference and Differential Equations)
Show Figures

Figure 1

18 pages, 1014 KB  
Article
New Fractional Hermite–Hadamard-Type Inequalities for Caputo Derivative and MET-(p, s)-Convex Functions with Applications
by Muhammad Sajid Zahoor, Amjad Hussain and Yuanheng Wang
Fractal Fract. 2026, 10(1), 62; https://doi.org/10.3390/fractalfract10010062 - 15 Jan 2026
Viewed by 149
Abstract
This article investigates fractional Hermite–Hadamard integral inequalities through the framework of Caputo fractional derivatives and MET-(p,s)-convex functions. In particular, we introduce new modifications to two classical fractional extensions of Hermite–Hadamard-type inequalities, formulated for both MET- [...] Read more.
This article investigates fractional Hermite–Hadamard integral inequalities through the framework of Caputo fractional derivatives and MET-(p,s)-convex functions. In particular, we introduce new modifications to two classical fractional extensions of Hermite–Hadamard-type inequalities, formulated for both MET-(p,s)-convex functions and logarithmic (p,s)-convex functions. Moreover, we obtain enhancements of inequalities like the Hermite–Hadamard, midpoint, and Fejér types for two extended convex functions by employing the Caputo fractional derivative. The research presents a numerical example with graphical representations to confirm the correctness of the obtained results. Full article
(This article belongs to the Special Issue Advances in Fractional Integral Inequalities: Theory and Applications)
Show Figures

Figure 1

28 pages, 652 KB  
Article
A Generalized Fractional Legendre-Type Differential Equation Involving the Atangana–Baleanu–Caputo Derivative
by Muath Awadalla and Dalal Alhwikem
Fractal Fract. 2026, 10(1), 54; https://doi.org/10.3390/fractalfract10010054 - 13 Jan 2026
Viewed by 90
Abstract
This paper introduces a fractional generalization of the classical Legendre differential equation based on the Atangana–Baleanu–Caputo (ABC) derivative. A novel fractional Legendre-type operator is rigorously defined within a functional framework of continuously differentiable functions with absolutely continuous derivatives. The associated initial value problem [...] Read more.
This paper introduces a fractional generalization of the classical Legendre differential equation based on the Atangana–Baleanu–Caputo (ABC) derivative. A novel fractional Legendre-type operator is rigorously defined within a functional framework of continuously differentiable functions with absolutely continuous derivatives. The associated initial value problem is reformulated as an equivalent Volterra integral equation, and existence and uniqueness of classical solutions are established via the Banach fixed-point theorem, supported by a proved Lipschitz estimate for the ABC derivative. A constructive solution representation is obtained through a Volterra–Neumann series, explicitly revealing the role of Mittag–Leffler functions. We prove that the fractional solutions converge uniformly to the classical Legendre polynomials as the fractional order approaches unity, with a quantitative convergence rate of order O(1α) under mild regularity assumptions on the Volterra kernel. A fully reproducible quadrature-based numerical scheme is developed, with explicit kernel formulas and implementation algorithms provided in appendices. Numerical experiments for the quadratic Legendre mode confirm the theoretical convergence and illustrate the smooth interpolation between fractional and classical regimes. An application to time-fractional diffusion in spherical coordinates demonstrates that the operator arises naturally in physical models, providing a mathematically consistent tool for extending classical angular analysis to fractional settings with memory. Full article
Show Figures

Figure 1

23 pages, 838 KB  
Article
Stability for Caputo–Hadamard Fractional Uncertain Differential Equation
by Shida Peng, Zhi Li, Jun Zhang, Yuncong Zhu and Liping Xu
Fractal Fract. 2026, 10(1), 50; https://doi.org/10.3390/fractalfract10010050 - 12 Jan 2026
Viewed by 139
Abstract
This paper focuses on the Caputo-Hadamard fractional uncertain differential equations (CH-FUDEs) governed by Liu processes, which combine the Caputo–Hadamard fractional derivative with uncertain differential equations to describe dynamic systems involving memory characteristics and uncertain information. Within the framework of uncertain theory, this Liu [...] Read more.
This paper focuses on the Caputo-Hadamard fractional uncertain differential equations (CH-FUDEs) governed by Liu processes, which combine the Caputo–Hadamard fractional derivative with uncertain differential equations to describe dynamic systems involving memory characteristics and uncertain information. Within the framework of uncertain theory, this Liu process serves as the counterpart to Brownian motion. We establish some new Bihari type fractional inequalities that are easy to apply in practice and can be considered as a more general tool in some situations. As applications of those inequalities, we establish the well-posedness of a proposed class of equations under specified non-Lipschitz conditions. Building upon this result, we establish the notions of stability in distribution and stability in measure solutions to CH-FUDEs, deriving sufficient conditions to ensure these stability properties. Finally, the theoretical findings are verified through two numerical examples. Full article
(This article belongs to the Section General Mathematics, Analysis)
Show Figures

Figure 1

23 pages, 1537 KB  
Article
An Inverse Problem for a Fractional Space–Time Diffusion Equation with Fractional Boundary Condition
by Rafał Brociek, Agata Wajda, Christian Napoli, Giacomo Capizzi and Damian Słota
Entropy 2026, 28(1), 81; https://doi.org/10.3390/e28010081 - 10 Jan 2026
Viewed by 177
Abstract
This article presents an algorithm for solving the direct and inverse problem for a model consisting of a fractional differential equation with non-integer order derivatives with respect to time and space. The Caputo derivative was taken as the fractional derivative with respect to [...] Read more.
This article presents an algorithm for solving the direct and inverse problem for a model consisting of a fractional differential equation with non-integer order derivatives with respect to time and space. The Caputo derivative was taken as the fractional derivative with respect to time, and the Riemann–Liouville derivative in the case of space. On one of the boundaries of the considered domain, a fractional boundary condition of the third kind was adopted. In the case of the direct problem, a differential scheme was presented, and a metaheuristic optimization algorithm, namely the Group Teaching Optimization Algorithm (GTOA), was used to solve the inverse problem. The article presents numerical examples illustrating the operation of the proposed methods. In the case of inverse problem, a function occurring in the fractional boundary condition was identified. The presented approach can be an effective tool for modeling the anomalous diffusion phenomenon. Full article
(This article belongs to the Special Issue Inverse Problems: Advanced Methods and Innovative Applications)
Show Figures

Figure 1

16 pages, 7290 KB  
Article
Transfer Learning Fractional-Order Recurrent Neural Network for MPPT Under Weak PV Generation Conditions
by Umair Hussan, Mudasser Hassan, Umar Farooq, Huaizhi Wang and Muhammad Ahsan Ayub
Fractal Fract. 2026, 10(1), 41; https://doi.org/10.3390/fractalfract10010041 - 8 Jan 2026
Viewed by 305
Abstract
Photovoltaic generation systems (PVGSs) face significant efficiency challenges under partial shading conditions and rapidly changing irradiance due to the limitations of conventional maximum power point tracking (MPPT) methods. To address these challenges, this paper proposes a Transfer Learning-based Fractional-Order Recurrent Neural Network (TL-FRNN) [...] Read more.
Photovoltaic generation systems (PVGSs) face significant efficiency challenges under partial shading conditions and rapidly changing irradiance due to the limitations of conventional maximum power point tracking (MPPT) methods. To address these challenges, this paper proposes a Transfer Learning-based Fractional-Order Recurrent Neural Network (TL-FRNN) for robust global maximum power point (GMPP) tracking across diverse operating conditions. The incorporation of fractional-order dynamics introduces long-term memory and non-local behavior, enabling smoother state evolution and improved discrimination between local and global maxima, particularly under weak and partially shaded conditions. The proposed approach leverages Caputo fractional derivatives with Grünwald–Letnikov approximation to capture the history-dependent behavior of PVGSs while implementing a parameter-partitioning strategy that separates shared features from task-specific parameters. The architecture employs a multi-head design with GMPP regression and partial shading classification capabilities, trained through a two-stage process of pretraining on general PV data followed by efficient fine-tuning on target systems with limited site-specific data. The TL-FRNN achieved 99.2% tracking efficiency with 98.7% GMPP detection accuracy, reducing convergence time by 53% compared to state-of-the-art alternatives while requiring 72% less retraining time through transfer learning. This approach represents a significant advancement in adaptive, intelligent MPPT control for real-world photovoltaic energy-harvesting systems. Full article
Show Figures

Figure 1

19 pages, 9151 KB  
Article
On a Friction Oscillator of Integer and Fractional Order; Stick–Slip Attractors
by Marius-F. Danca
Fractal Fract. 2026, 10(1), 38; https://doi.org/10.3390/fractalfract10010038 - 7 Jan 2026
Viewed by 144
Abstract
This paper investigates a friction oscillator model in both its Integer-Order and Fractional-Order formulations. The lack of classical solutions for the governing differential equations with discontinuous right-hand sides is addressed by adopting a Differential Inclusion framework. Using Filippov regularization, the discontinuity is replaced [...] Read more.
This paper investigates a friction oscillator model in both its Integer-Order and Fractional-Order formulations. The lack of classical solutions for the governing differential equations with discontinuous right-hand sides is addressed by adopting a Differential Inclusion framework. Using Filippov regularization, the discontinuity is replaced by a set-valued map satisfying appropriate regularity conditions. Selection theory is then applied to construct a Lipschitz-continuous, single-valued function that approximates the set-valued map. This procedure reformulates the discontinuous initial value problem as a continuous, single-valued one, thereby providing a rigorous justification for the proposed approximation method. Numerical simulations are performed to study stick–slip attractors in both the Integer-Order and Fractional-Order cases. The results demonstrate that, in contrast to the Integer-Order system, periodic attractors cannot occur in the Fractional-Order regime. Full article
Show Figures

Figure 1

27 pages, 375 KB  
Article
An Efficient and Accurate Numerical Approach for Fractional Bagley–Torvik Equations: Hermite Polynomials Combined with Least Squares
by Heba S. Osheba, Mohamed A. Ramadan and Taha Radwan
Fractal Fract. 2026, 10(1), 37; https://doi.org/10.3390/fractalfract10010037 - 7 Jan 2026
Viewed by 150
Abstract
This paper proposes an efficient and accurate numerical framework for solving fractional Bagley–Torvik equations, which model viscoelastic and memory-dependent dynamic systems. The method combines the Hermite polynomial approximation with a least-squares optimization scheme to achieve high-accuracy solutions. By leveraging the analytical properties of [...] Read more.
This paper proposes an efficient and accurate numerical framework for solving fractional Bagley–Torvik equations, which model viscoelastic and memory-dependent dynamic systems. The method combines the Hermite polynomial approximation with a least-squares optimization scheme to achieve high-accuracy solutions. By leveraging the analytical properties of Hermite polynomials, Caputo fractional derivatives were computed efficiently, avoiding the complexities of direct fractional differentiation. The resulting weighted least-squares formulation transforms the problem into a stable algebraic system. Numerical results confirm the method’s superior accuracy, rapid convergence, and robustness compared with existing techniques, demonstrating its potential for broader applications in fractional-order boundary value problems. Full article
(This article belongs to the Special Issue Advanced Numerical Methods for Fractional Functional Models)
22 pages, 394 KB  
Article
A Fractional Calculus Approach to Energy Balance Modeling: Incorporating Memory for Responsible Forecasting
by Muath Awadalla and Abulrahman A. Sharif
Mathematics 2026, 14(2), 223; https://doi.org/10.3390/math14020223 - 7 Jan 2026
Viewed by 172
Abstract
Global climate change demands modeling approaches that are both computationally efficient and physically faithful to the system’s long-term dynamics. Classical Energy Balance Models (EBMs), while valuable, are fundamentally limited by their memoryless exponential response, which fails to represent the prolonged thermal inertia of [...] Read more.
Global climate change demands modeling approaches that are both computationally efficient and physically faithful to the system’s long-term dynamics. Classical Energy Balance Models (EBMs), while valuable, are fundamentally limited by their memoryless exponential response, which fails to represent the prolonged thermal inertia of the climate system—particularly that associated with deep-ocean heat uptake. In this study, we introduce a fractional Energy Balance Model (fEBM) by replacing the classical integer-order time derivative with a Caputo fractional derivative of order α(0<α1), thereby embedding long-range memory directly into the model structure. We establish a rigorous mathematical foundation for the fEBM, including proofs of existence, uniqueness, and asymptotic stability, ensuring theoretical well-posedness and numerical reliability. The model is calibrated and validated against historical global mean surface temperature data from NASA GISTEMP and radiative forcing estimates from IPCC AR6. Relative to the classical EBM, the fEBM achieves a substantially improved representation of observed temperatures, reducing the root mean square error by approximately 29% during calibration (1880–2010) and by 47% in out-of-sample forecasting (2011–2023). The optimized fractional order α=0.75±0.03 emerges as a physically interpretable measure of aggregate climate memory, consistent with multi-decadal ocean heat uptake and observed persistence in temperature anomalies. Residual diagnostics and robustness analyses further demonstrate that the fractional formulation captures dominant temporal dependencies without overfitting. By integrating mathematical rigor, uncertainty quantification, and physical interpretability, this work positions fractional calculus as a powerful and responsible framework for reduced-order climate modeling and long-term projection analysis. Full article
Show Figures

Figure 1

30 pages, 813 KB  
Article
Fractional Bi-Susceptible Approach to COVID-19 Dynamics with Sensitivity and Optimal Control Analysis
by Azhar Iqbal Kashif Butt, Waheed Ahmad, Muhammad Rafiq, Ameer Hamza Mukhtar, Fatemah H. H. Al Mukahal and Abeer S. Al Elaiw
Fractal Fract. 2026, 10(1), 35; https://doi.org/10.3390/fractalfract10010035 - 6 Jan 2026
Viewed by 160
Abstract
This study introduces a nonlinear fractional bi-susceptible model for COVID-19 using the Atangana–Baleanu derivative in Caputo sense (ABC). The fractional framework captures nonlocal effects and temporal decay, offering a realistic presentation of persistent infection cycles and delayed recovery. Within this setting, we investigate [...] Read more.
This study introduces a nonlinear fractional bi-susceptible model for COVID-19 using the Atangana–Baleanu derivative in Caputo sense (ABC). The fractional framework captures nonlocal effects and temporal decay, offering a realistic presentation of persistent infection cycles and delayed recovery. Within this setting, we investigate multiple transmission modes, determine the major risk factors, and analyze the long-term dynamics of the disease. Analytical results are obtained at equilibrium states, and fundamental properties of the model are validated. Numerical simulations based on the Toufik–Atangana method further endorse the theoretical results and emphasize the effectiveness of the ABC derivative. Bifurcation analysis illustrates that adjusting time-invariant treatment and awareness efforts can accelerate pandemic control. Sensitivity analysis identifies the most significant parameters, which are used to construct an optimal control problem to determine effective disease control strategies. The numerical results reveal that the proposed control interventions minimize both infection levels and associated costs. Overall, this research work demonstrates the modeling strength of the ABC derivative by integrating fractional calculus, bifurcation theory, and optimal control for efficient epidemic management. Full article
Show Figures

Figure 1

Back to TopTop