Next Article in Journal
Predicting Employee Turnover Based on Improved ADASYN and GS-CatBoost
Previous Article in Journal
Continuous Smartphone Authentication via Multimodal Biometrics and Optimized Ensemble Learning
 
 
Font Type:
Arial Georgia Verdana
Font Size:
Aa Aa Aa
Line Spacing:
Column Width:
Background:
Article

Dynamics and Solution Behavior of the Variable-Order Fractional Newton–Leipnik System

by
Rania Saadeh
1,*,
Nidal E. Taha
2,*,
Mohamed Hafez
3,4,
Ghozail Sh. Al-Mutairi
2 and
Manahil A. M. Ashmaig
2
1
Department of Applied Science, Ajlun College, Al-Balqa Applied University, Ajlun 19117, Jordan
2
Department of Mathematics, College of Science, Qassim University, Buraidah 51452, Saudi Arabia
3
Faculty of Engineering (FEQS), INTI International University, Nilai 71800, Malaysia
4
Faculty of Management, Shinawatra University, Pathum Thani 12160, Thailand
*
Authors to whom correspondence should be addressed.
Mathematics 2026, 14(2), 312; https://doi.org/10.3390/math14020312
Submission received: 11 December 2025 / Revised: 7 January 2026 / Accepted: 12 January 2026 / Published: 16 January 2026
(This article belongs to the Section C1: Difference and Differential Equations)

Abstract

This paper considers the solution behavior and dynamical properties of the variable-order fractional Newton–Leipnik system defined via Liouville–Caputo derivatives of variable order. In contrast to integer-order models, the presence of variable-order fractional operators in the Newton–Leipnik structure enriches the model by providing memory-dependent effects that vary with time; hence, it is capable of a broader and more flexible range of nonlinear responses. Numerical simulations have been conducted to study how different order functions influence the trajectory and qualitative dynamics: clear transitions in oscillatory patterns have been identified by phase portraits, time-series profiles, and three-dimensional state evolution. The work goes further by considering the development of bifurcations and chaotic regimes and stability shifts and confirms the occurrence of several phenomena unattainable in fixed-order and/or integer-order formulations. Analysis of Lyapunov exponents confirms strong sensitivity to the initial conditions and further details how the memory effects either reinforce or prevent chaotic oscillations according to the type of order function. The results, in fact, show that the variable-order fractional Newton–Leipnik framework allows for more expressive and realistic modeling of complex nonlinear phenomena and points out the crucial role played by evolving memory in controlling how the system moves between periodic, quasi-periodic, and chaotic states.
MSC:
34A08; 37D45; 65L05; 65P20

1. Introduction

In recent years, fractional calculus has received much attention as a general mathematical framework that extends the usual definition of differentiation and integration from an integer to a non-integer order. Its generalized framework offers a powerful tool to describe highly nonlinear dynamical behavior with a high degree of realism compared to conventional integer-order models [1,2,3].
Fractional-order formulations introduce better flexibility in modeling engineering, biological, and physical processes naturally possessing memory or hereditary features, or even long-range interactions [4,5,6]. Differently from classical models, fractional-order operators naturally possess history dependence, hence allowing for more accurate modeling of the true dynamical evolution of complex systems. Indeed, a significant amount of investigations has proved that fractional-order models are able to catch complicated behaviors—like chaos oscillations—with much more accuracy than their integer-order counterparts [7,8,9]. These improved modeling capabilities are also important for applications related to Industry, Innovation, and Infrastructure, where accurately representing memory-dependent dynamics is necessary for modern applications. It is well acknowledged, however, that even fixed-order fractional systems can fail if the phenomena they are supposed to describe involves time-evolving memory. A fixed derivative order cannot capture time-varying memory dynamics properly [10,11]. This deficiency was overcome using variable-order fractional derivatives, which let the order of differentiation change over time or space, as well as with other factors that affect it [12,13]. This is now enabling far more accurate modeling of nonstationarities and heterogeneities in complex processes, which previously limited the use of FC in many scientific and engineering applications [14,15,16,17].
Current mainstream research on high-impact studies has also been directed at Variable-Order Fractional Chaotic Systems, with a particular emphasis on the improved capability of Variable-Order Fractional Chaotic Systems in describing time-dependent memory effects and chaotic dynamics [18,19,20].
Most of the stability properties, the structure of bifurcations, and the chaotic dynamics of variable-order fractional systems are usually analyzed using numerical methods since closed-form solutions can rarely be obtained [21,22]. Real-world applications in which fractional and variable-order chaotic systems are increasingly employed highlight their relevance and effectiveness in practical modeling scenarios [23,24,25].
Recent research has shown that fractional-order models and different kinds of fractional derivatives have broad applicability and are still under development in various scientific fields. As an example, Caputo, Caputo–Fabrizio, and Atangana–Baleanu time-fractional nonlinear epidemic models were successfully analyzed by applying novel analytical techniques to capture the complex dynamics of smoking epidemics and, therefore, have demonstrated increased flexibility due to modeling with non-integer derivatives [26]. Advanced fractional-order computational models have also been proposed for pediculosis disease dynamics, demonstrating the practical value of fractional formulations for biological systems [27]. Regarding control theory and engineering, comprehensive frameworks for fractional-order system analysis have also been developed, providing new insight into stability, control design, and application of fractional dynamics [28]. In addition, the analytic solutions of time-fractional nonlinear chemical reaction models by hybrid integral transform techniques have also been reported, with broad applicability and development across scientific fields [29].
An overview of the methodological framework for analyzing the Variable-Order Fractional Newton–Leipnik System is given by Figure 1. The left branch of the diagram presents a logical way of approaching the system in question: stability analysis, hypothesis setting, and orderly investigation of dynamic properties. On the other hand, the right branch enumerates the most frequently used computational and analytical techniques in chaos theory research, namely the Lyapunov exponent assessment, the bifurcation diagrams, phase portrait visualization, and time-series analysis [30,31]. These elements together show a complete workflow that integrates theoretical modeling, numerical simulation, and analytical validation. Such an approach can be performed in order to gain deeper insight into the rich and memory-dependent dynamics of variable-order fractional systems [32,33,34].
The novelty of the present work is to formulate and analyze a variable-order fractional Newton–Leipnik system, whose Liouville–Caputo derivatives have time-evolving orders, hence promoting a dynamic memory structure that has not been explored so far for this class of systems. Contrasting with the standard integer-order and fixed-order fractional models, the approach put forward in this work inherently introduces time-dependent hereditary effects inducing perpetual changes in the internal response of the system, hence allowing a much richer and more versatile palette of nonlinear phenomena. In particular, variable order reveals new dynamic patterns that have no counterpart for fixed-order dynamics: memory-induced changes in how the system works as it goes from periodic to quasi-periodic to chaotic states. The key contributions of this paper are summarized below.
  • Development of the first variable-order fractional formulation of the Newton–Leipnik system, which provides an extended dynamical model with evolving memory properties.
  • Systematic study of how various variable-order functions shape the qualitative behavior of the system, unveiling oscillatory patterns and transitions that are uniquely induced by time-varying fractional order.
  • Extensive numerical investigation by means of phase portraits, time-series responses, and three-dimensional trajectories that illustrate the enriched dynamics of the variable-order model.
  • Analysis of bifurcation and Lyapunov exponent for variable-order dynamics, indicating that evolving memory can enhance or suppress chaos, hence yielding characteristics that may never be captured in fixed order or integer-order formulations.
  • Identifying parameter regimes where variable-order effects stabilize chaotic oscillations may provide potential routes to memory-based control of nonlinear systems.
  • Emphasis on the physical relevance of evolving memory effects, showing that variable-order operators produce a more realistic description of complex processes with hereditary properties changing over time.
It follows that the variable order of the fractional Newton–Leipnik system places this setting as a very powerful and expressive dynamic framework which considerably enriches the existing literature on evolving memory dictating nonlinear behaviour and chaotic transitions.
Although Variable-Order Fractional Chaotic Systems were investigated for benchmark systems such as the Lorenz system and Rössler system previously, the extension to the Newton–Leipnik system has not been well explored. In fact, the Newton–Leipnik system has a unique form for nonlinear coupling, along with symmetric properties that make a difference in the energy transferring process and birth of the attractor. Such interactions produce new effects in dynamical systems that cannot be produced by constant-order systems, as well as other variable-order systems investigated earlier for Lorenz-type systems.

2. Definition and Analysis of the Variable-Order Fractional Newton–Leipnik System

This section introduces the formulations of constant-order, analytical, and variable-order fractional derivatives in the Liouville–Caputo framework, which form the theoretical basis of the proposed mode.

2.1. Definitions

Definition 1
([35]). The Liouville–Caputo (LC) fractional derivative of a fixed order α is given by
D t α LC σ ( t ) = 1 Γ ( 1 α ) 0 t σ ( ξ ) ( t ξ ) α d ξ , 0 < α < 1 .
Definition 2
([36]). For a time-dependent order α ( t ) , the Liouville–Caputo variable-order derivative (LCV) is expressed as
D 0 α ( t ) 0   LCV σ ( t ) = 1 Γ ( 1 α ( t ) ) 0 t ( t ξ ) α ( t ) σ ( ξ ) d ξ , 0 < α ( t ) < 1 .

2.2. Variable-Order Fractional Newton–Leipnik System

This subsection considers the Newton–Leipnik model under a fractional framework in which the differentiation order varies with time. In contrast to the classical constant-order formulation, the use of α ( t ) introduces a memory effect that evolves as the system progresses, thereby altering the qualitative nature of the resulting dynamics.
The variable-order fractional Newton–Leipnik system is considered in this paper because its relatively simple mathematical structure allows for the generation of rich chaotic and hyperchaotic dynamics, ideally setting the benchmark to test new advanced fractional modeling techniques. The time-dependent fractional order thus imposed offers considerable benefit compared to either classical integer-order or constant-order fractional forms. Indeed, it allows the system to capture, in a natural way, the evolving memory and adaptability effects which naturally occur in realistic physical and engineering processes. Enhanced dynamical flexibility is also observed, together with improved control over the transition between different motion regimes, with an increased accuracy in modeling systems featuring a nonstationary hereditary behavior. In such a case, the simplicity and symmetry of the Newton–Leipnik model allow for easy generalization of the proposed variable-order fractional framework to other nonlinear dynamical systems, therefore supplying a very systematic pathway to extend this approach to other interesting topics like secure communication, signal processing, control design, and generally to other applied fractional-order models.
A fractional-order Newton–Leipnik system incorporating memory effects was introduced in [37]. The variable-order fractional representation of the Newton–Leipnik system takes the form
D α ( t ) x 1 ( t ) = a x 1 ( t ) + x 2 ( t ) + 10 x 2 ( t ) x 3 ( t ) , D α ( t ) x 2 ( t ) = x 1 ( t ) 0.4 x 2 ( t ) + 5 x 1 ( t ) x 3 ( t ) , D α ( t ) x 3 ( t ) = b x 3 ( t ) 5 x 1 ( t ) x 2 ( t ) ,
where ( x 1 ( t ) , x 2 ( t ) , x 3 ( t ) ) denote the system states. Following the classical setup in [38], we adopt the parameter values a = 0.4, b = 0.175, and the initial condition vector ( 0.349 , 0 , 0.16 ) .
This is used because it matches the well-known pair of coexisting attractors in the Newton–Leipnik dynamics. As shown in Figure 1, introduction of the time-varying fractional order α ( t ) results in significant alterations to the attractor structure, underscoring the critical influence of variable memory effects on the system’s overall behavior.
The Newton–Leipnik system is particularly suitable for the variable-order model because its nonlinear properties are very sensitive to memory effects, which can change with time when dealing with practical systems, for example, electric circuits or systems involving exchanges of energy. The variable-order fractional derivative is used to model these memory properties because it can effectively describe its memory-sensitive chaotic dynamics.

2.3. Dynamic Analysis of the Newton–Leipnik Model with Variable-Order Fractional Derivatives

This part looks at how the variable-order fractional Newton–Leipnik system from (3) behaves in a qualitative way. We want to learn how the trajectories change, find the equilibrium points, check their stability, and see how memory effects can start chaotic dynamics by changing the initial conditions, system parameters, and the time-dependent fractional order α ( t ) .
The system’s Jacobian matrix is (3) at a general point, and ( x 1 , x 2 , x 3 ) is
J ( x 1 , x 2 , x 3 ) = a 1 + 10 x 3 10 x 2 1 + 5 x 3 0.4 + 5 x 1 5 x 2 5 x 2 5 x 1 b .
Setting the right-hand sides of (3) equal to zero yields the equilibrium points. A trivial equilibrium always exists as follows:
E 0 = ( 0 , 0 , 0 ) .
The Jacobian at E 0 becomes
J ( E 0 ) = 0.4 1 0 1 0.4 0 0 0 0.175 .
The characteristic polynomial is
( λ 0.175 ) λ 2 + 0.8 λ + 1 = 0 ,
with eigenvalues
λ 1 = 0.175 , λ 2 , 3 = 0.4 ± i .
Since one eigenvalue is positive ( λ 1 > 0 ), the equilibrium E 0 is an unstable saddle-focus for the integer-order case.
For variable-order fractional systems, the stability is determined by the argument of the eigenvalues. The system is stable if the eigenvalues λ j of the linearization satisfy conditions [39]:
| arg ( λ j ) | > π 2 α max , j ,
where α max = sup t α ( t ) .
If this inequality fails, then memory effects destabilize the system. Thus, chaos may occur when
π 2 α max min j | arg ( λ j ) | 0 .
Since λ 1 = 0.175 > 0 has argument 0, instability occurs whenever
0 π 2 α max ,
which is always satisfied for α max 1 . Therefore, the Newton–Leipnik system naturally produces chaotic oscillations in both integer-order and fractional-order settings.
System (3) can be written in compact form as
D t α ( t ) LC x ( t ) = A x ( t ) + F ( x ( t ) ) ,
where x ( t ) = ( x 1 , x 2 , x 3 ) T ,
A = a 1 0 1 0.4 0 0 0 b , F ( x ( t ) ) = 10 x 2 x 3 5 x 1 x 3 5 x 1 x 2 .
The linear part A governs local stability, while F ( x ( t ) ) generates the nonlinear oscillatory and chaotic dynamics of the system.
The Newton–Leipnik system is known to exhibit strong sensitivity to the fractional order. Numerical experiments shown in [40] demonstrate that
  • For α ( t ) 1 , the system produces the classic double-scroll Newton–Leipnik attractor.
  • For 0.85 α ( t ) < 1 , chaos persists but the attractor becomes more compressed due to the memory-induced damping.
  • For α ( t ) < 0.8 , oscillations decay and trajectories converge to the unstable manifold of E 0 , leading to weaker chaotic activity.
This demonstrates that memory effects significantly influence long-term dynamics: smaller orders introduce damping, while orders close to one promote full chaotic oscillations. Although the linear analysis of stability based on eigenvalue analysis around α max provides some useful information, the variable order of the system leads to more complex dynamics beyond the outcome of classical fractional-order systems. Simulation results indicate that memory effects in the form of time-dependent phenomena have a strong impact on chaos appearance and its amplitude, with α ( t ) 1 resulting in the classical Newton–Leipnik double-scroll attractor system, while decreasing α ( t ) leads to an effective damping of the system with an attractor compression likely resulting in a suppression of chaotic dynamics. Furthermore, memory effects induced by the variable order of α ( t ) can lead to transitions in periodic, quasiperiodic, or chaotic flows, implying the contribution of variable-order systems not only in determining local stability analysis but also in the route of chaos in these systems.

3. Numerical Algorithm for the Variable-Order Fractional Newton–Leipnik System

This section presents the numerical approximation procedure used to solve the variable-order Liouville–Caputo fractional system. The method follows the numerical framework developed in [41]. We apply it here to the variable-order Newton–Leipnik model. A general variable-order Liouville–Caputo fractional system has the form
* D 0 , t α ( t ) ϱ ( t ) = Q ( ϱ ( t ) ) , t [ 0 , T ] , ϱ ( 0 ) = ϱ 0 .
Here, * D α ( t ) represents the chosen variable-order fractional operator, and ϱ r denotes the numerical value approximating ϱ ( t r ) using a fixed step size h = Δ t = 0.05 .
An equivalent integral formulation of (4) can be expressed as
ϱ ( t ) ϱ ( 0 ) = 1 Γ ( α ( t ) ) 0 t ϕ ( ξ , ϱ ( ξ ) ) ( t ξ ) α ( t ) 1 d ξ ,
where
ϕ ( ξ , ϱ ( ξ ) ) = Q ( ϱ ( ξ ) ) .
Evaluating this representation at the discrete time t n + 1 leads to
ϱ n + 1 ϱ 0 = 1 Γ ( α ( t n + 1 ) ) r = 0 n t r t r + 1 ϕ ( ξ , ϱ ( ξ ) ) ( t n + 1 ξ ) α ( t n + 1 ) 1 d ξ .

3.1. Second-Order Lagrange Approximation

To approximate the integrand over the interval [ t r , t r + 1 ] , we apply a second-order Lagrange interpolation:
ϕ ( ξ , ϱ ( ξ ) ) L r ( ξ ) = ϕ ( t r , ϱ r ) h ( ξ t r 1 ) ϕ ( t r 1 , ϱ r 1 ) h ( ξ t r ) ,
where h = t r + 1 t r .
Substituting (7) into (6) yields the fully discrete form
ϱ n + 1 = ϱ 0 + 1 Γ ( α ( t n + 1 ) ) r = 0 n [ ϕ ( t r , ϱ r ) h t r t r + 1 ( ξ t r 1 ) ( t n + 1 ξ ) α ( t n + 1 ) 1 d ξ ϕ ( t r 1 , ϱ r 1 ) h t r t r + 1 ( ξ t r ) ( t n + 1 ξ ) α ( t n + 1 ) 1 d ξ ] .
Using Lagrange polynomial interpolation, the numerical solution of is as follows:

3.2. Closed-Form Quadrature Coefficients

Define the following convenient auxiliary terms:
A α , r , 1 = h α + 1 α Γ ( α + 1 ) ( n + 1 r ) α ( n r + 2 + α ) ( n r ) α ( n r + 2 + 2 α ) ,
A α , r , 2 = h α + 1 α Γ ( α + 1 ) ( n + 1 r ) α + 1 ( n r ) α ( n r + 1 + α ) ,
where α = α ( t n + 1 ) .
Using (9) and (10), the numerical update becomes
ϱ n + 1 = ϱ 0 + 1 Γ ( α ) r = 0 n ϕ ( t r , ϱ r ) A α , r , 1 ϕ ( t r 1 , ϱ r 1 ) A α , r , 2 .

3.3. Application to the Newton–Leipnik System

For system (3), define
ϕ = ( ϑ 1 , ϑ 2 , ϑ 3 ) T ,
with the nonlinear components
ϑ 1 = a x 1 + x 2 + 10 x 2 x 3 , ϑ 2 = x 1 0.4 x 2 + 5 x 1 x 3 , ϑ 3 = b x 3 5 x 1 x 2 .
Thus, the numerical approximation for each state variable is
x j , n + 1 = x j ( 0 ) + 1 Γ ( α ( t n + 1 ) ) r = 0 n ϑ j ( t r , x 1 , r , x 2 , r , x 3 , r ) A α , r , 1 ϑ j ( t r 1 , x 1 , r 1 , x 2 , r 1 , x 3 , r 1 ) A α , r , 2 , j = 1 ,   2 ,   3 .

3.4. Remarks on the Variable-Order Effects

There are three functional options for the variable fractional order α ( t ) . These options chosen for this case study are not random. For Case 1, α ( t ) = 0.95 + 0.03 ( s i n ( t / 5 ) ) , a periodic variation is considered for the fractional order. This enables the researcher to analyze the impact of periodic fractional order variation on the dynamics of a system. For Case 2, α ( t ) = 0.97 + 1 . / ( 1 + 3 e x p ( 6 t ) ) , a monotonic variation based on an exponential function is considered for the fractional order. This represents a case when a certain phenomenon reaches a saturation state. For Case 3, α ( t ) = 0.99 + 0.05 c o s ( t / 10 ) , a bounded variation based on a harmonic function is considered, assuming that the mean value for the fractional order is higher. This indicates that the variation is relatively mild.
In the beginning, all of the paths are almost the same, but they start to split up when t = 0.1. The hyperbolic-tangent fractional order produces smooth responses with well-regulated damping, in contrast to the logistic order, which results in light attenuation in the amplitude. The cosine-modulated case amplifies periodic variations, and at t = 1 , the state x 2 attains its lowest value, indicating stronger oscillatory forcing. For step size Δ t = 0.1 , the numerical scheme remains stable across all cases.

4. Discussion of Numerical Results for Different Variable-Order Functions

Numerical solutions of the system using the NVOF, for three different choices of the time dependent fractional order α ( t ) , are given by Table 1, Table 2 and Table 3. Although all simulations start from the same initial conditions
x 1 ( 0 ) = 0.19 ,   x 2 ( 0 ) = 0 ,   x 3 ( 0 ) = 0.18 ,
the solution curves are highly sensitive to the concrete form of α ( t ) , which indicates that the time-varying fractional order plays an important role in how the system remembers things and responds to changes in its environment.

4.1. Case 1: α ( t ) = 0.95 + 0.03 ∗ (sin(t/5))

In this case, the fractional order approaches unity very rapidly, since tanh ( t 2 + 3 ) 1 for t > 0 . Thus, it acts like a classical first-order (integer-order) system with a very weak memory effect.
Numerical results indicate that the solution u 1 ( t ) decreases sharply while oscillating between negative and positive values. The component u 2 ( t ) is the strongest in response, reaching as high as 2 at t = 1 , indicating a relatively unstable behavior. Meanwhile, u 3 ( t ) remains positive and increases steadily over time. This case demonstrates that when α ( t ) is close to 1, the system produces strong oscillations and rapid energy amplification, especially in u 2 ( t ) .

4.2. Case 2: α ( t ) = 0.97 + 1./(1 + 3 ∗ exp(6 ∗ t))

The logistic function increases smoothly from 0.5 at t = 0 to about 0.73 at t = 1 ; hence, the solution maintains a rather strong memory effect during the entire simulation. Compared to Case 1, oscillations of x 1 ( t ) and x 2 ( t ) are considerably less aggressive. The solutions evolve more smoothly, and amplitudes of oscillation are moderately reduced.
The component x 3 ( t ) exhibits a steady increase but for the entire simulation stays much below its counterpart in the tanh ( t 2 + 3 ) simulation. This indicates that a continuous fractional damping due to a moderate α ( t ) causes the system to dampen its oscillatory components and inhibits a quick rise in energy.

4.3. Case 3: α ( t ) = 0.99 + 0.05 ∗ cos(t/10)

Here, α ( t ) periodically oscillates between 0.875 and 1, introducing a periodically varying memory effect. This means that the system has a hybrid behavior, where weak-memory (near-integer order) and strong-memory phases are changing alternately. The numerical values reflect this oscillatory structure. Compared with the previous two cases, at early times, x 1 ( t ) is less negative because of the smaller initial value of α ( t ) . As time progresses and α ( t ) approaches 1, the oscillations in both x 1 ( t ) and u 2 ( t ) grow stronger. At t = 1 , u 2 ( t ) reaches its most negative value of approximately 2.16 , showing that when the order periodically approaches unity, there is strong amplification. At the same time, although still positive, x 3 ( t ) has the smallest growth of all three cases. A comparison of the three variable-order functions provides a number of important observations:
  • If α ( t ) 1 (Case 1), the system demonstrates the properties of an integer-order model showing high amplitudes of oscillations and divergence.
  • If α ( t ) grows moderately (Case 2), the memory effect becomes more influential, resulting in smoother and more damped trajectories.
  • When α ( t ) is oscillatory (Case 3), the solutions have alternating phases of damping and amplification, yielding intermediate behavior.
Finally, u 2 ( t ) exhibits the largest amplitude variations in all cases and therefore is the most sensitive component related to variations in α ( t ) ; while u 3 ( t ) is always positive and relatively stable, it can be considered as the stabilizing component of the system. Numerical simulations show that the NVOF method captures the way different variable-order functions influence the system dynamics. The role of α ( t ) is central in determining the strength of oscillations, damping properties, and the long-time limit of solutions. Hereafter, presented results suggest that the proper choice of order function is a crucial point when modeling real-world processes with memory effects.

5. Bifurcation

Figure 2 represents the bifurcation diagram of the system with respect to the fractional order α , showing the extrema of the state variable x 1 when α is varied between 0.90 and 1: clearly, one can see how the system undergoes transitions among different dynamical regimes due to changes in the memory effect encoded by α . Indeed, for 0.90 α 0.915 , the system displays a stable periodic behavior, as witnessed by a few well-defined extrema related to periodic orbits; then, increasing α beyond this threshold causes the destabilization of the periodic branch and makes the system fall into a chaotic dynamics characterized by a dense cloud of extrema spread over a wider vertical range: this is indicative of a strong sensitivity to initial conditions and of the loss of periodicity. Eventually, for α 0.94 , chaotic dynamics persist, so that no restabilization is observed while approaching α = 1 : this underlines the leading role played by the fractional-order parameter as a controller of nonlinear oscillations ruled by memory effects. Larger fractional orders (i.e., closer to the classical integer-order limit) preserve and even enhance chaotic motions, while smaller orders, close to the threshold, promote trajectory regularizations: the bifurcation plot therefore confirms that the fractional order α represents the fundamental tuning parameter governing the transition from stable motion to fully developed chaos.
In Figure 3 and Figure 4, the state variables transition from periodic or stable behavior to chaotic attractors as α ( t ) increases, highlighting that the system’s complexity and sensitivity to initial conditions are strongly influenced by the memory effects of the variable fractional-order derivative.

6. Chaos Analysis

The dynamic behaviors shown in Figure 5, Figure 6, Figure 7, Figure 8, Figure 9 and Figure 10 display the role of the time-varying parameter α ( t ) in switching between chaotic and stable regimes for the nonlinear system. For α ( t ) = 0.95 + 0.03 sin ( t / 5 ) , in Figure 3 and Figure 4, the system maintains its natural chaos: the double-scroll attractor is evident in the phase portraits, and the time-series plots are dominated by irregular, non-periodic oscillations. For the exponential decay function α ( t ) = 0.97 + 1 / ( 1 + 3 e 6 t ) , Figure 5 and Figure 6, the trajectories are drawn inward toward a stable equilibrium with the time-series amplitudes rapidly decaying, as effective chaos suppression arises when α ( t ) approaches 0.97 . However, for α ( t ) = 0.99 + 0.05 cos ( t / 10 ) , in Figure 7 and Figure 8, the chaotic attractor and aperiodic fluctuations recur with this slow periodic modulation failing to shift the dynamics away from the chaotic regime. The results confirm that system stability is highly sensitive to the evolution of α ( t ) , where only parameter trajectories approaching values near 0.97 produce stabilization, while oscillations around 0.95 or 0.99 maintain fully chaotic dynamics.
The reasons for the diverse chaos responses for different variable-order functions can be attributed to the time-dependent memory strength induced by the variable-order functions. For fractional-order dynamics, lower values of α ( t ) imply a greater memory strength, which has a damping effect that causes the accumulation of past states, thus dampening the rapid growth of oscillations. For the exponential function, with a monotonically decreasing α ( t ) , the increasing memory strength outcompetes the nonlinear effects, thus suppressing chaos and stabilizing the orbits. For periodic changes of α ( t ) around values close to one, a weaker memory strength with periodic variation is induced, which is incapable of overcoming the inherent chaos mechanism present in the Newton–Leipnik system. Hence, chaos orbits and aperiodic motions are maintained. From this explanation, it is made clear that chaos suppression/rise is dependent not only on the value of α ( t ) but also on its time dependence.

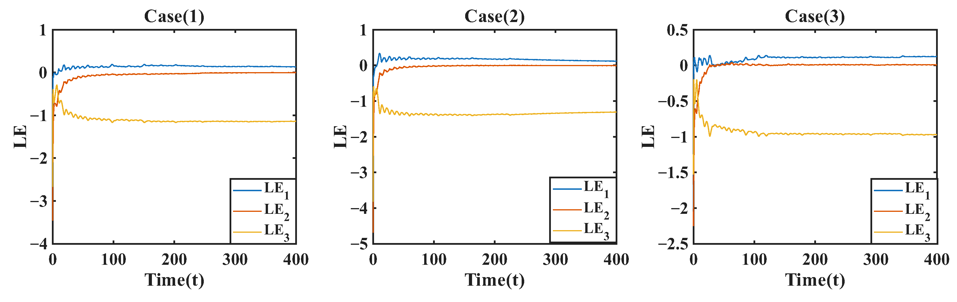
7. Lyapunov Exponents

Figure 11 shows the evolution of the three Lyapunov exponents (LEs) for the three considered cases of the time-varying fractional-order parameter α ( t ) . Each of these results produces a rigorous quantitative assessment of the system’s stability and chaoticity under each parameter scenario. For Case (1), in which α ( t ) = 0.95 + 0.03 sin ( t / 5 ) , the largest Lyapunov exponent LE 1 remains positive throughout the entire simulation time, while LE 2 approaches zero and LE 3 stays negative. Such a classical signature of one positive, one zero, and one negative exponent confirms that a robust chaotic attractor exists, consistent with the earlier phase portraits showing irregular time-series behaviors. In Case (2), for the exponentially stabilizing function α ( t ) = 0.97 + 1 / ( 1 + 3 e 6 t ) , all three LEs converge to negative values after a short transient period. This means that the system crosses over from weakly unstable dynamics to the fully stable regime. Indeed, this validates that the gradual decrease in α ( t ) suppresses chaos and forces the convergence toward a fixed point or periodic orbit. For Case (3), with α ( t ) = 0.99 + 0.05 cos ( t / 10 ) , the largest exponent LE 1 stays positive and LE 2 is close to zero; LE 3 stays negative. This again characterizes a chaotic system. It has been confirmed that slow oscillatory variation of α ( t ) does not succeed in shifting the dynamics into a nonchaotic (stable) region. In short, the Lyapunov exponent analysis perfectly corroborates earlier phasespace and time-series observations: only Case (2) succeeds in driving the system outside chaos, while Cases (1) and (3) both correspond to the persistent chaotic behavior with sustained sensitivity to initial conditions.

8. Discussion

The outcome of this research provides a thorough insight into the dynamical properties of a variable-order fractional Newton–Leipnik system, as well as the monumental influence brought about by employing memory operators that are time-dependent. Contrary to classical models with integer orders and traditional fractional models with constant orders, this variable-order model has a hereditary memory that can either enhance or reduce with progression in time, enabling a wide range of dynamical performances that are more realistic due to a flexible internal memory that is not constant.
The numerical experiments run for various values of α ( t ) showed a consistent qualitative passage in the behavior of the system orbits. When the orders are near unity, the orbits in these systems move in a manner similar to that of the classical Newton–Leipnik system but with reduced oscillations due to memory effects. With a decrease in all orders, oscillations become further suppressed, and a certain delay in passage from one dynamical state to another of the system becomes prominent. Thus, it has been ensured that a decrease in orders results in enhanced memory effects, which cause a corresponding retardation in the response of the system. In the hybrid system, where different memory effects are employed for various components, the resulting hybrid memory effects cause a passage from a uniformly low-memory to a uniformly high-memory system.
The time-series of reveals that the oscillations are affected in terms of amplitude as well as oscillation frequencies due to order variation. There appears a slow progression of orbit expansion in the initial period, and this expansion of orbit seems affected due to functional variation in the order. These effects are found to be important when the system comes near to chaos. A small variation in the fractional order has a major impact on oscillation bursts of size, timing, and intensity, which imply that memory effects are competing with nonlinear components for influencing the system’s temporal development.
These observations are also confirmed in the phase portraits. Irrespective of the choice of orders of variables, the resulting system proceeds towards a known double-scroll attractor, akin to conventional Newton–Leipnik systems and Lorenz systems. Yet as a function of different values of the fractional order, there are large variations in the shape of the lobes, and their extent, as well as their transition time from and into a certain zone. This, in a way, showcases a distinctive property of order-variable systems. There are properties of these attractors which, in addition to being determined by a nonlinear vector field, are also determined by a certain updating of past states.
The Lyapunov exponent calculation further certifies this result. In all cases, the largest Lyapunov exponent remains positive, which ensures that there is chaos in the system. The Lyapunov spectrum delineates that as a result of a decrease in the order value, there will be a corresponding decrease in the largest Lyapunov exponent, which certifies that higher memory reduces chaos. On the other hand, as the value of order rises, there will be chaos in the oscillations, which certifies that due to a lack of memory, chaos will increase. The correlation between chaos and memory, as described above, is a major finding of this study.
Bifurcation properties were indirectly discerned in relation to the transition of orbits from a periodic to a quasi-periodic and then to a chaotic orbit. This transition takes place on different scales of time, depending upon the order function, hence proving that a variable-order mechanism affects the boundaries of dynamical states. This property of adjustable modulation has proved to be a powerful advantage of variable-order systems for certain distinct application tasks.
The results make it clear that fractional operators of a variable order provide a powerful mathematical tool for describing various engineering and physical phenomena with a memory that changes rather than being constant in time. Such phenomena involve, for example, materials with an aging memory, adaptation of control systems, a time-varying diffusion mechanism, as well as neuron/biological systems with memory that changes in time. The detailed analysis above confirms that a Newton–Leipnik system of fractional order with a variable order has a highly complex form of dynamical behavior, and the adaptation of internal memory in this system has a significant role in defining transition processes. This article has shown that variable order has a significant role in modeling chaos-related studies.

9. Conclusions

In this paper, we investigated the solution behavior and nonlinear dynamics of the variable-order fractional Newton–Leipnik system described by Liouville–Caputo derivatives of variable order. By involving time-dependent fractional operators, the system acquires added flexibility and expresses a richer variety of dynamical responses than its classical or fixed-order counterparts. Numerical simulations indicated that the choice of the variable-order function has significant effects on the system trajectories by changing oscillation amplitudes, transient responses, and long-term stability. In all examined cases, the variable-order mechanism brought about observable differences in the evolution of the three state variables, especially at the beginning of the dynamics. Phase portraits and time-series profiles confirmed that the interplay among nonlinear terms and evolving memory effects generates dynamic patterns unreachable for integer-order models. Moreover, changes in behavior as the system goes from periodic to quasi-periodic and then to chaotic regimes became more striking since variable order modulated the effective memory of the system. The computations of Lyapunov exponents further confirmed the presence of strong sensitivity to initial conditions, emphasizing the fact that the time-dependent order either amplifies or reduces chaotic oscillations in dependence on its functional form. Such findings provide evidence that variable-order operators offer a formidable modeling tool for capturing memory-driven phenomena, yielding more realistic representations of engineering and physical processes characterized by evolving hereditary effects. In total, the results confirm that the variable-order fractional Newton–Leipnik system can exhibit complex and diverse dynamical behaviors, where its intrinsic memory adaptation determines qualitative transitions in the system. Possible future work includes parameter estimations, control strategies, synchronization studies, and extension to higher-dimensional or noise-perturbed systems.

Author Contributions

Conceptualization, R.S., N.E.T., M.H., G.S.A.-M. and M.A.M.A.; methodology, R.S., N.E.T., M.H., G.S.A.-M. and M.A.M.A.; software, R.S., N.E.T., M.H., G.S.A.-M. and M.A.M.A.; validation, R.S., N.E.T., M.H., G.S.A.-M. and M.A.M.A.; formal analysis, R.S., N.E.T., M.H., G.S.A.-M. and M.A.M.A.; investigation, R.S., N.E.T., M.H., G.S.A.-M. and M.A.M.A.; resources, R.S., N.E.T., M.H., G.S.A.-M. and M.A.M.A.; data curation, R.S., N.E.T., M.H., G.S.A.-M. and M.A.M.A.; writing—original draft, R.S., N.E.T., M.H., G.S.A.-M. and M.A.M.A.; writing—review and editing, R.S., N.E.T., M.H., G.S.A.-M. and M.A.M.A.; visualization, R.S., N.E.T., M.H., G.S.A.-M. and M.A.M.A.; supervision, R.S., N.E.T., M.H., G.S.A.-M. and M.A.M.A.; project administration, R.S., N.E.T., M.H., G.S.A.-M. and M.A.M.A.; funding acquisition, R.S., N.E.T., M.H., G.S.A.-M. and M.A.M.A. All authors have read and agreed to the published version of the manuscript.

Funding

This research received no external funding.

Data Availability Statement

The original contributions presented in this study are included in the article. Further inquiries can be directed to the corresponding authors.

Acknowledgments

The Researchers would like to thank the Deanship of Graduate Studies and Scientific Research at Qassim University for financial support (QU-APC-2026).

Conflicts of Interest

The authors declare no conflicts of interest.

References

  1. Hasan, F.; Abdoon, M.A.; Saadeh, R.; Berir, M.; Qazza, A. A new perspective on the stochastic fractional order materialized by the exact solutions of allen-cahn equation. Int. J. Math. Eng. Manag. Sci. 2023, 8, 912. [Google Scholar] [CrossRef]
  2. Abdoon, M.A.; Alzahrani, A.B. Comparative analysis of influenza modeling using novel fractional operators with real data. Symmetry 2024, 16, 1126. [Google Scholar] [CrossRef]
  3. Allogmany, R.; Alzahrani, S. Dynamic, Bifurcation, and Lyapunov Analysis of Fractional Rössler Chaos Using Two Numerical Methods. Mathematics 2025, 13, 3642. [Google Scholar] [CrossRef]
  4. Saadeh, R.; Abdoon, M.A.; Qazza, A.; Berir, M.; Guma, F.E.; Al-Kuleab, N.; Degoot, A.M. Mathematical modeling and stability analysis of the novel fractional model in the Caputo derivative operator: A case study. Heliyon 2024, 10, e26611. [Google Scholar] [CrossRef] [PubMed]
  5. Wang, X.; Ma, W.; Zou, J. Synchronization of Short-Memory Fractional Directed Higher-Order Networks. Fractal Fract. 2025, 9, 440. [Google Scholar] [CrossRef]
  6. Hussein, H.M.; Esoofally, M.; Donekal, A.; Rafin, S.S.H.; Mohammed, O. Comparative study-based data-driven models for lithium-ion battery state-of-charge estimation. Batteries 2024, 10, 89. [Google Scholar] [CrossRef]
  7. Kadri, I.; Saadeh, R.S.; AlMutairi, D.M.; Dafaalla, M.E.; Berir, M.; Abdoon, M.A. Analytical and Numerical Investigation of a Fractional Order 4D Chaotic System via Caputo Fractional Derivative. Eur. J. Pure Appl. Math. 2025, 18, 6381. [Google Scholar] [CrossRef]
  8. Allogmany, R.; Almuallem, N.A.; Alsemiry, R.D.; Abdoon, M.A. Exploring Chaos in Fractional Order Systems: A Study of Constant and Variable-Order Dynamics. Symmetry 2025, 17, 605. [Google Scholar] [CrossRef]
  9. Alzkari, T.; Jan, H.U.; Fiza, M.; Ullah, H.; Jan, A.U.; Akgül, A.; Hendy, A.; Khan, I.; Albidah, A.; Koh, W.S. Optimal Solutions of the Time-Fractional Wave Models. Int. J. Anal. Appl. 2025, 23, 129. [Google Scholar] [CrossRef]
  10. Patnaik, S.; Hollkamp, J.P.; Semperlotti, F. Applications of variable-order fractional operators: A review. Proc. R. Soc. A 2020, 476, 20190498. [Google Scholar] [CrossRef]
  11. Fantaye, A.K.; Ergete, K.T.; Alshowaikh, F.; Hafez, M.; Niu, B.W. Atangana Baleanu Caputo Fractional Order Modeling and Analysis for the Transmission of Coffee Berry. Progr. Fract. Differ. Appl. 2025, 11, 229–243. [Google Scholar]
  12. Cui, W.; Kang, Q.; Li, X.; Zhao, K.; Tay, W.P.; Deng, W.; Li, Y. Neural variable-order fractional differential equation networks. In Proceedings of the AAAI Conference on Artificial Intelligence, Philadelphia, PA, USA, 25 February–4 March 2025; Volume 39, pp. 16109–16117. [Google Scholar]
  13. Bashir, Z.; Malik, M.A.; Hussain, S. A computational study of fractional variable-order nonlinear Newton–Leipnik chaotic system with radial basis function network. J. Supercomput. 2025, 81, 152. [Google Scholar] [CrossRef]
  14. Almutairi, D.; AlMutairi, D.M.; Taha, N.E.; Dafaalla, M.E.; Abdoon, M.A. Variable-Fractional-Order Nosé–Hoover System: Chaotic Dynamics and Numerical Simulations. Fractal Fract. 2025, 9, 277. [Google Scholar] [CrossRef]
  15. Elbadri, M.; AlMutairi, D.M.; Almutairi, D.; Hassan, A.A.; Hdidi, W.; Abdoon, M.A. Efficient numerical techniques for investigating chaotic behavior in the fractional-order inverted Rössler system. Symmetry 2025, 17, 451. [Google Scholar] [CrossRef]
  16. Elbadri, M. An approximate solution of a time fractional Burgers’ equation involving the Caputo-Katugampola fractional derivative. Partial Differ. Equ. Appl. Math. 2023, 8, 100560. [Google Scholar] [CrossRef]
  17. Abdoon, M.A. Fractional Derivative Approach for Modeling Chaotic Dynamics: Applications in Communication and Engineering Systems. In Advances in Mathematical Modelling, Applied Analysis and Computation; Springer Nature: Cham, Switzerland, 2025; pp. 82–95. [Google Scholar] [CrossRef]
  18. Ahmed, A.I.; Elbadri, M.; Al-kuleab, N.; AlMutairi, D.M.; Taha, N.E.; Dafaalla, M.E. Chaos and Bifurcations in the Dynamics of the Variable-Order Fractional Rössler System. Mathematics 2025, 13, 3695. [Google Scholar] [CrossRef]
  19. Calgan, H. Variable Fractional-Order Dynamics in Dark Matter–Dark Energy Chaotic System: Discretization, Analysis, Hidden Dynamics, and Image Encryption. Symmetry 2025, 17, 1655. [Google Scholar] [CrossRef]
  20. Alhawael, G.; Abdoon, M.A.; Khashan, K.H.; Elgezouli, D.E. Chaos Analysis of the Fractional Genesio-Tesi System with Constant and Variable-Order Dynamics. Mathematics 2025, 13, 3992. [Google Scholar] [CrossRef]
  21. Dhakshinamoorthy, V.; Wu, G.C.; Banerjee, S. Dynamical Analysis of Variable Order Discrete-Time Plasma Perturbation Model. In Chaotic Dynamics of Fractional Discrete Time Systems; CRC Press: Boca Raton, FL, USA, 2024; pp. 152–177. [Google Scholar] [CrossRef]
  22. Shi, X.; Li, Y.; Wang, Y.; Gao, Y. Sliding Mode Control of Variable-Order Fractional-Order Chaotic Systems with Uncertainties and Perturbations. In Proceedings of the 2024 43rd Chinese Control Conference (CCC), Kunming, China, 28–31 July 2024; IEEE: New York, NY, USA, 2024; pp. 369–374. [Google Scholar] [CrossRef]
  23. Clemente-López, D.; Munoz-Pacheco, J.M.; Rangel-Magdaleno, J.d.J. A review of the digital implementation of continuous-time fractional-order chaotic systems using FPGAs and embedded hardware. Arch. Comput. Methods Eng. 2023, 30, 951. [Google Scholar] [CrossRef]
  24. Karaca, Y.; Baleanu, D. Evolutionary mathematical science, fractional modeling and artificial intelligence of nonlinear dynamics in complex systems. Chaos Theory Appl. 2022, 4, 111–118. [Google Scholar]
  25. Abdoon, M.A.; Hasan, F.L.; Taha, N.E. Computational Technique to Study Analytical Solutions to the Fractional Modified KDV-Zakharov-Kuznetsov Equation. In Abstract and Applied Analysis; Wiley Online Library: Hoboken, NJ, USA, 2022; Volume 2022, p. 2162356. [Google Scholar]
  26. Pavani, K.; Raghavendar, K. A novel technique to study the solutions of time fractional nonlinear smoking epidemic model. Sci. Rep. 2024, 14, 4159. [Google Scholar] [CrossRef]
  27. Iqbal, N.; Archana, D.; Prakasha, D.; Khan, M.A.; Haseeb, A.; Al-Dayel, I. Fractional-order computational modeling of pediculosis disease dynamics with predictor–corrector approach. Sci. Rep. 2025, 15, 11559. [Google Scholar] [CrossRef]
  28. Dinh, T.N.; Kamal, S.; Pandey, R.K. Fractional-order system: Control theory and applications. Fractal Fract. 2022, 7, 48. [Google Scholar] [CrossRef]
  29. Aruna, K.; Okposo, N.; Raghavendar, K.; Inc, M. Analytical solutions for the Noyes Field model of the time fractional Belousov Zhabotinsky reaction using a hybrid integral transform technique. Sci. Rep. 2024, 14, 25015. [Google Scholar] [CrossRef]
  30. Al-Zhour, Z. The General Exact Solutions Of Linear Fractional Time-Varying Descriptor Systems In Caputo Sense. J. Qassim Univ. Sci. 2016, 9, 135–151. [Google Scholar]
  31. Elmahi, M.; Taha, N.E.; Alanzi, A.M.; Ashmaig, M.A.M.; Ahmed Juma, M.Y. Ion Acoustic Solitary Wave Solutions in the Context of the Nonlinear Fractional KdV Equation. Sch. J. Sci. Technol. 2025, 2, 85. [Google Scholar]
  32. Alhazmi, M.; Aljohani, A.; Taha, N.E.; Abdel-Khalek, S.; Bayram, M.; Saber, S. Application of a fractal fractional operator to nonlinear glucose–insulin systems: Adomian decomposition solutions. Comput. Biol. Med. 2025, 196, 110453. [Google Scholar] [CrossRef] [PubMed]
  33. Abdulrhman, T. Stability Analysis of Fractional Chaotic and Fractional-Order Hyperchain Systems Using Lyapunov Functions. Eur. J. Pure Appl. Math. 2025, 18, 5576. [Google Scholar] [CrossRef]
  34. Elbadri, M.; Abdoon, M.A.; Berir, M.; Almutairi, D.K. A symmetry chaotic model with fractional derivative order via two different methods. Symmetry 2023, 15, 1151. [Google Scholar] [CrossRef]
  35. Oldham, K.; Spanier, J. The Fractional Calculus Theory and Applications of Differentiation and Integration to Arbitrary Order; Elsevier: Amsterdam, The Netherlands, 1974; Volume 111. [Google Scholar]
  36. Solís-Pérez, J.; Gómez-Aguilar, J.; Atangana, A. Novel numerical method for solving variable-order fractional differential equations with power, exponential and Mittag-Leffler laws. Chaos Solitons Fractals 2018, 114, 175–185. [Google Scholar] [CrossRef]
  37. Sheu, L.J.; Chen, H.K.; Chen, J.H.; Tam, L.M.; Chen, W.C.; Lin, K.T.; Kang, Y. Chaos in the Newton–Leipnik system with fractional order. Chaos Solitons Fractals 2008, 36, 98–103. [Google Scholar] [CrossRef]
  38. Leipnik, R.; Newton, T. Double strange attractors in rigid body motion with linear feedback control. Phys. Lett. A 1981, 86, 63–67. [Google Scholar] [CrossRef]
  39. Matignon, D. Stability results for fractional differential equations with applications to control processing. In Proceedings of the Computational Engineering in Systems Applications, Lille, France, 9–12 July 1996; Volume 2, pp. 963–968. [Google Scholar]
  40. Petráš, I. Fractional-Order Nonlinear Systems: Modeling, Analysis and Simulation; Springer Science & Business Media: Berlin/Heidelberg, Germany, 2011. [Google Scholar]
  41. Alqahtani, A.M.; Chaudhary, A.; Dubey, R.S.; Sharma, S. Comparative analysis of the chaotic behavior of a five-dimensional fractional hyperchaotic system with constant and variable order. Fractal Fract. 2024, 8, 421. [Google Scholar] [CrossRef]
Figure 1. Framework for analyzing the dynamic behavior of the Newton–Leipnik system.
Figure 1. Framework for analyzing the dynamic behavior of the Newton–Leipnik system.
Mathematics 14 00312 g001
Figure 2. Bifurcation diagram of x 1 versus the fractional order α ( t ) .
Figure 2. Bifurcation diagram of x 1 versus the fractional order α ( t ) .
Mathematics 14 00312 g002
Figure 3. Bifurcation diagram of x 2 versus the fractional order α ( t ) .
Figure 3. Bifurcation diagram of x 2 versus the fractional order α ( t ) .
Mathematics 14 00312 g003
Figure 4. Bifurcation diagram of x 3 versus the fractional order α ( t ) .
Figure 4. Bifurcation diagram of x 3 versus the fractional order α ( t ) .
Mathematics 14 00312 g004
Figure 5. Phase portraits of the system under α = 0.95 + 0.03 ∗ (sin(t/5)).
Figure 5. Phase portraits of the system under α = 0.95 + 0.03 ∗ (sin(t/5)).
Mathematics 14 00312 g005
Figure 6. Time-series plots of x 1 ( t ) , x 2 ( t ) , and x 3 ( t ) for α = 0.95 + 0.03 ∗ (sin(t/5)).
Figure 6. Time-series plots of x 1 ( t ) , x 2 ( t ) , and x 3 ( t ) for α = 0.95 + 0.03 ∗ (sin(t/5)).
Mathematics 14 00312 g006
Figure 7. Phase portraits of the system for α = 0.97 + 1./(1 + 3 ∗ exp(6 ∗ t)).
Figure 7. Phase portraits of the system for α = 0.97 + 1./(1 + 3 ∗ exp(6 ∗ t)).
Mathematics 14 00312 g007
Figure 8. Time-series responses of the state variables for α = 0.97 + 1./(1 + 3 ∗ exp(6 ∗ t)).
Figure 8. Time-series responses of the state variables for α = 0.97 + 1./(1 + 3 ∗ exp(6 ∗ t)).
Mathematics 14 00312 g008
Figure 9. Phase portraits of the system under α = 0.99 + 0.05 ∗ cos(t/10).
Figure 9. Phase portraits of the system under α = 0.99 + 0.05 ∗ cos(t/10).
Mathematics 14 00312 g009
Figure 10. Time-series responses of the state variables for α = 0.99 + 0.05 ∗ cos(t/10).
Figure 10. Time-series responses of the state variables for α = 0.99 + 0.05 ∗ cos(t/10).
Mathematics 14 00312 g010
Figure 11. Lyapunov exponents (LE1, LE2, and LE3) for different cases.
Figure 11. Lyapunov exponents (LE1, LE2, and LE3) for different cases.
Mathematics 14 00312 g011
Table 1. System outcomes with α = 0.95 + 0.03 ∗ (sin(t/5)) using NVOF.
Table 1. System outcomes with α = 0.95 + 0.03 ∗ (sin(t/5)) using NVOF.
Time x 1 ( t ) x 2 ( t ) x 3 ( t )
0.000.1000000000000.1000000000000.100000000000
0.010.105699173922−0.173050481824−0.087756206671
0.020.004920932259−0.163945537374−0.046400004441
0.03−0.035976354707−0.080402177506−0.070116986357
0.04−0.028582047804−0.017204172322−0.090617835424
0.05−0.0185064136160.013274836437−0.105996750695
0.06−0.0149301294200.027012717383−0.122324826987
0.07−0.0187678954560.038651276358−0.140513629606
0.08−0.0330540656930.061186098393−0.158077654814
0.09−0.0660553796800.112972250996−0.162650342268
0.10−0.0960627807800.194619244740−0.117588214431
Table 2. System outcomes with α = 0.97 + 1./(1 + 3 ∗ exp(6 ∗ t)) using NVOF.
Table 2. System outcomes with α = 0.97 + 1./(1 + 3 ∗ exp(6 ∗ t)) using NVOF.
Time x 1 ( t ) x 2 ( t ) x 3 ( t )
0.000.1000000000000.1000000000000.100000000000
0.010.127255473390−0.203019099455−0.085553009918
0.02−0.014693392327−0.185502340092−0.031142884979
0.03−0.059305644461−0.070512019549−0.069692978124
0.04−0.0421051988170.009829499567−0.089817555126
0.05−0.0267964683200.044231348909−0.100438427360
0.06−0.0207960127720.056357971033−0.112101829875
0.07−0.0236057697760.064855757535−0.125295167272
0.08−0.0349633943430.082160270763−0.136648127735
0.09−0.0545868061370.116921318689−0.137493984591
0.10−0.0668006527750.162058883548−0.114367473064
Table 3. System outcomes with α = 0.99 + 0.05 ∗ cos(t/10) using NVOF.
Table 3. System outcomes with α = 0.99 + 0.05 ∗ cos(t/10) using NVOF.
Time x 1 ( t ) x 2 ( t ) x 3 ( t )
0.000.1000000000000.1000000000000.100000000000
0.010.151594539445−0.237165816095−0.079595144107
0.02−0.048157136885−0.204213326446−0.015882842587
0.03−0.087423243411−0.049289444732−0.074524448231
0.04−0.0572762034820.049496396814−0.087235477945
0.05−0.0306256585290.082117169630−0.087275808295
0.06−0.0139586092270.078800121867−0.094095380958
0.07−0.0098722282460.065802919461−0.107456770617
0.08−0.0147344849360.059462454263−0.123752297728
0.09−0.0267957491950.067999153947−0.140182420968
0.10−0.0497007975480.099787032442−0.149801194757
Disclaimer/Publisher’s Note: The statements, opinions and data contained in all publications are solely those of the individual author(s) and contributor(s) and not of MDPI and/or the editor(s). MDPI and/or the editor(s) disclaim responsibility for any injury to people or property resulting from any ideas, methods, instructions or products referred to in the content.

Share and Cite

MDPI and ACS Style

Saadeh, R.; Taha, N.E.; Hafez, M.; Al-Mutairi, G.S.; Ashmaig, M.A.M. Dynamics and Solution Behavior of the Variable-Order Fractional Newton–Leipnik System. Mathematics 2026, 14, 312. https://doi.org/10.3390/math14020312

AMA Style

Saadeh R, Taha NE, Hafez M, Al-Mutairi GS, Ashmaig MAM. Dynamics and Solution Behavior of the Variable-Order Fractional Newton–Leipnik System. Mathematics. 2026; 14(2):312. https://doi.org/10.3390/math14020312

Chicago/Turabian Style

Saadeh, Rania, Nidal E. Taha, Mohamed Hafez, Ghozail Sh. Al-Mutairi, and Manahil A. M. Ashmaig. 2026. "Dynamics and Solution Behavior of the Variable-Order Fractional Newton–Leipnik System" Mathematics 14, no. 2: 312. https://doi.org/10.3390/math14020312

APA Style

Saadeh, R., Taha, N. E., Hafez, M., Al-Mutairi, G. S., & Ashmaig, M. A. M. (2026). Dynamics and Solution Behavior of the Variable-Order Fractional Newton–Leipnik System. Mathematics, 14(2), 312. https://doi.org/10.3390/math14020312

Note that from the first issue of 2016, this journal uses article numbers instead of page numbers. See further details here.

Article Metrics

Back to TopTop