Sign in to use this feature.

Years

Between: -

Subjects

remove_circle_outline
remove_circle_outline
remove_circle_outline
remove_circle_outline
remove_circle_outline
remove_circle_outline
remove_circle_outline
remove_circle_outline
remove_circle_outline

Journals

Article Types

Countries / Regions

Search Results (79)

Search Parameters:
Keywords = CMOD

Order results
Result details
Results per page
Select all
Export citation of selected articles as:
15 pages, 4543 KB  
Article
Flexural Behavior of CFRP Retrofitted Steel Beams: An Experimental Study Including the Components from the Original Champlain Bridge
by Mohamadreza Delzendeh, Omar Chaallal and Brahim Benmokrane
J. Compos. Sci. 2026, 10(3), 138; https://doi.org/10.3390/jcs10030138 - 5 Mar 2026
Abstract
In this study, the flexural behavior of notched steel beams retrofitted with CFRP is investigated. Two series of tests, including W200 × 22 and W14” wide-flange notched beams rehabilitated with externally bonded (EB) CFRP are evaluated under static loading. The W200 × 22 [...] Read more.
In this study, the flexural behavior of notched steel beams retrofitted with CFRP is investigated. Two series of tests, including W200 × 22 and W14” wide-flange notched beams rehabilitated with externally bonded (EB) CFRP are evaluated under static loading. The W200 × 22 beams were received directly from a factory, whereas the W14” wide-flange beams were extracted from the Original Champlain Bridge after roughly 60 years in service. The parameters considered include the CFRP elastic modulus, CFRP configuration, notch depth, anchorage system, and adhesive type. The effect of the CFRP elastic modulus on the rehabilitation technique is examined by using Normal Modulus (NM) and Ultra-High Modulus (UHM) CFRP with approximately the same tensile capacity. Failure modes, load–deflection behavior, strain distributions along the CFRPs, and Crack Mouth Opening Displacement (CMOD) are thoroughly discussed in this study. The results reveal that both UHM and NM CFRP significantly enhance the load-carrying capacity. However, specimens retrofitted with UHM CFRP exhibit a brittle behavior, whereas those strengthened with NM CFRP show a more ductile behavior. Full article
Show Figures

Figure 1

18 pages, 3459 KB  
Article
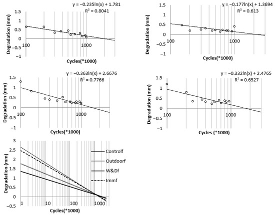
Structural Behavior and Fatigue of FRP-Reinforced Concrete Beams Exposed to Different Weathering Conditions
by Arash Rahmatian, Hussam Saleem, Farzad Hejazi, Michelle Nokken and Ashutosh Bagchi
Materials 2026, 19(5), 909; https://doi.org/10.3390/ma19050909 (registering DOI) - 27 Feb 2026
Viewed by 218
Abstract
Fiber-reinforced polymer (FRP)-reinforced concrete beams are increasingly used in infrastructure, yet their flexural behavior under fatigue and harsh environmental conditions remains insufficiently studied. This study investigates the fatigue response and structural behavior of 12 glass-FRP (GFRP)-reinforced concrete beams under four environmental regimes: indoor [...] Read more.
Fiber-reinforced polymer (FRP)-reinforced concrete beams are increasingly used in infrastructure, yet their flexural behavior under fatigue and harsh environmental conditions remains insufficiently studied. This study investigates the fatigue response and structural behavior of 12 glass-FRP (GFRP)-reinforced concrete beams under four environmental regimes: indoor control, continuous alkaline immersion, cyclic wet–dry alkaline immersion, and outdoor exposure in Montreal. Four pre-cracked beams were subjected to up to one million load cycles, while deflection and crack mouth opening displacement (CMOD) were monitored. Structural behavior was evaluated in terms of flexural capacity, load–deflection response, crack development (CMOD), stiffness degradation, and serviceability limit state (SLS) performance before and after fatigue loading. Results show that W&D and Immersion beams exhibited the largest deflections (δexp/δcode = 158% and 92%, respectively), whereas Outdoor and Control beams maintained robust load capacity with minimal fatigue effect. Flexural toughness indices varied from 8.61 to 18.45 across specimens, highlighting environmental influence on energy absorption. Serviceability limit state criteria were reached between 400,000 and 850,000 cycles, depending on conditioning. Overall, GFRP-RC beams demonstrated strong residual strength and predictable degradation patterns, providing quantitative insight into fatigue performance under combined environmental and cyclic loading. Full article
(This article belongs to the Section Construction and Building Materials)
Show Figures

Figure 1

25 pages, 4802 KB  
Article
Experimental Investigation and Numerical Modeling of Deformations in Reinforced Concrete Beams Reinforced with Hybrid Polypropylene and Steel Fibers
by Hajdar Sadiku, Fidan Salihu and Durim Sadiku
Buildings 2026, 16(3), 605; https://doi.org/10.3390/buildings16030605 - 2 Feb 2026
Viewed by 324
Abstract
This study presents an experimental and numerical investigation of reinforced concrete beams incorporating micro polypropylene, macro polypropylene, and steel fibers. Three concrete series of equal strength classes were prepared and tested to evaluate compressive strength, splitting tensile strength, flexural performance, and deformation behavior [...] Read more.
This study presents an experimental and numerical investigation of reinforced concrete beams incorporating micro polypropylene, macro polypropylene, and steel fibers. Three concrete series of equal strength classes were prepared and tested to evaluate compressive strength, splitting tensile strength, flexural performance, and deformation behavior under short-term loading. Strain development in both concrete and reinforcement was measured using strain gauges and mechanical deformometers. In parallel with the experimental program, a nonlinear finite element model was developed using the DIANA FEAsoftware 10.5 to simulate the deformation behavior and strain development of the tested beams. The concrete material was represented using a total strain-based smeared crack model with rotating crack orientation, while the contribution of fiber reinforcement was incorporated through a CMOD-based post-cracking tensile constitutive law. The numerical results showed good agreement with the experimental load–deflection and strain measurements, confirming the suitability of the adopted modeling approach. These findings demonstrate that the combined experimental–numerical framework provides a reliable tool for assessing the deformation and cracking behavior of fiber-reinforced concrete beams. The experimental results indicate that fiber type and combination strongly influence the deformation behavior and mechanical performance of reinforced concrete beams, with hybrid systems incorporating steel fibers exhibiting enhanced flexural response, improved strain compatibility, and more ductile behavior compared to polypropylene-only reinforcement. The inclusion of steel fibers led to distributed cracking, delayed stiffness degradation, increases of up to approximately 6.3% in concrete strains and 10.3% in reinforcement strains, and a substantial improvement in compressive strength (up to approximately 28.8%), confirming the synergistic effect of hybrid fiber reinforcement. Full article
(This article belongs to the Special Issue Advanced Composite Materials for Sustainable Construction)
Show Figures

Figure 1

16 pages, 3929 KB  
Article
Investigation of Fracture Process of Q245R During Single Edge Notched Tension Test with Acoustic Emission
by Chao Xu, Yanqi Liu, Le Xing, Siyu Meng and Yuan Meng
Appl. Sci. 2026, 16(3), 1359; https://doi.org/10.3390/app16031359 - 29 Jan 2026
Viewed by 171
Abstract
Acoustic emission (AE) technology, a kind of non-destructive testing method, was used in this study to monitor the fracture process of Q245R steel in the single edge notched tension (SENT) test. The obtained AE signals were first processed by the sensor gauge method [...] Read more.
Acoustic emission (AE) technology, a kind of non-destructive testing method, was used in this study to monitor the fracture process of Q245R steel in the single edge notched tension (SENT) test. The obtained AE signals were first processed by the sensor gauge method to distinguish the noise and signals related to a fracture. Based on the filtered data, it was found that the load-displacement curve and load–Crack Mouth Opening Distance (CMOD) curve of the fracture development were correlated with the characteristics of signals. In addition, an AE crack development index (CDI) was proposed to characterize different stages in the crack propagation process, and the results were verified by unloading compliance experiments. The results showed that the condition of structure can be well characterized by trends of cumulative counts and peak amplitudes of AE signals. In addition, stable cracks were found to occur when the load reached 92% of the ultimate load which produced AE signals with high counts, duration, and more high-amplitude signals. The proposed AE CDI of 40%max(CDI), 50%max(CDI), and 60%max(CDI) reflects the elastic, plastic, and stable crack propagation stages under monotonic tension, respectively, and remains stable even when the tensile loading method changes. Full article
(This article belongs to the Special Issue Advances in Structural Integrity and Failure Analysis)
Show Figures

Figure 1

15 pages, 2579 KB  
Article
Influence of Flexural Testing Parameters on the Flexural Response of Ultra-High-Performance Concrete
by Seong-Jin Woo, In-Beom Park, Dong-Hyun Kim and Jun-Mo Yang
Buildings 2026, 16(2), 319; https://doi.org/10.3390/buildings16020319 - 12 Jan 2026
Viewed by 269
Abstract
This study investigates the differences in flexural behavior of ultra-high-performance concrete (UHPC) arising from variations in test methods and key experimental parameters. Flexural tensile tests were conducted on 51 specimens representing 17 combinations of test variables, including steel fiber length (13 mm and [...] Read more.
This study investigates the differences in flexural behavior of ultra-high-performance concrete (UHPC) arising from variations in test methods and key experimental parameters. Flexural tensile tests were conducted on 51 specimens representing 17 combinations of test variables, including steel fiber length (13 mm and 19.5 mm), specimen cross-sectional dimensions (75 × 75 mm, 100 × 100 mm, and 150 × 150 mm), presence or absence of a notch, and loading configuration (three-point and four-point loading). The tests were performed in accordance with ASTM C1609 and EN 14651, and both deflection and crack mouth opening displacement (CMOD) were normalized by the span length to compare the influence of each parameter. The notched specimens demonstrated significantly improved reliability, exhibiting up to an 8.4-fold reduction in standard deviation due to the consistent initiation of cracking. Regarding size effects, the 75 × 75 mm specimens showed an overestimation of flexural performance due to the wall effect of fiber distribution, whereas the 100 × 100 mm and 150 × 150 mm specimens exhibited similar flexural responses. The comparison of loading configurations revealed that three-point loading produced up to 11.7% higher flexural tensile strength than four-point loading, attributable to concentrated moment–shear interaction and the combined effects of fiber bridging and shear resistance mechanisms. In addition, specimens with longer steel fibers (19.5 mm) exhibited 5.2–9.7% higher flexural performance than those with shorter fibers (13 mm), which is attributed to enhanced interfacial bonding and improved crack dispersion capacity. Full article
(This article belongs to the Special Issue Study on the Durability of Construction Materials and Structures)
Show Figures

Figure 1

19 pages, 1243 KB  
Article
Residual Flexural Performance and Performance-Normalized Embodied Carbon of Recycled and Commercial Steel Fibers in Slag-Blended Concrete
by Cansu Colak and Ozkan Sengul
J. Compos. Sci. 2025, 9(12), 656; https://doi.org/10.3390/jcs9120656 - 1 Dec 2025
Viewed by 451
Abstract
This study introduces a decision-oriented framework integrating fresh-state rheology, standardized post-cracking performance, and cradle-to-gate embodied carbon for steel-fiber-reinforced concretes incorporating recycled and commercial fibers. The motivation lies in achieving mechanical efficiency while reducing the environmental burden of cementitious composites. Mixtures were produced with [...] Read more.
This study introduces a decision-oriented framework integrating fresh-state rheology, standardized post-cracking performance, and cradle-to-gate embodied carbon for steel-fiber-reinforced concretes incorporating recycled and commercial fibers. The motivation lies in achieving mechanical efficiency while reducing the environmental burden of cementitious composites. Mixtures were produced with water-to-binder ratios between 0.40 and 0.60, fiber dosages of 15–45 kg/m3, and 50% GGBS replacement to mitigate binder-related carbon emissions. Equal-workability comparisons were conducted at 15 kg/m3 using ICAR-based static yield stress measurements, whereas higher dosages were evaluated without rheology-based adjustment. Post-cracking performance was assessed through residual flexural strengths at CMOD = 0.5 and 2.5 mm (fR1, fR3) and CMOD-based toughness indices. Embodied performance was quantified using the embodied-carbon-per-performance (ECP) index, normalized by fR3. Results indicate that recycled fibers exhibit greater fresh-state resistance but slightly lower residual capacities under equal workability, while commercial fibers achieve competitive ECP at 15 kg/m3. Increasing fiber dosage improved toughness yet intensified the trade-off between ECP and mechanical gain. The framework highlights that optimized binder composition and fiber type selection can yield carbon-efficient, structurally resilient composite systems. Full article
(This article belongs to the Section Fiber Composites)
Show Figures

Figure 1

21 pages, 4348 KB  
Article
Numerical and Experimental Investigation on Time-Dependent Crack Extension in Concrete Under Sustained Loads
by Zheng Yao, Jiacheng Dong, Linmei Wu, Zetong Li, Ziheng Chang, Zhuohui Yu and Binze Jiang
Buildings 2025, 15(22), 4180; https://doi.org/10.3390/buildings15224180 - 19 Nov 2025
Viewed by 436
Abstract
For concrete structures dominated by fracture failure, e.g., containment and gravity dams, sustained load deformations primarily arise from crack extension and concrete viscoelasticity. As cracks progressively grow under sustained loads, accurate prediction of the time-dependent fracture process in concrete accounting for crack-viscoelasticity interactions [...] Read more.
For concrete structures dominated by fracture failure, e.g., containment and gravity dams, sustained load deformations primarily arise from crack extension and concrete viscoelasticity. As cracks progressively grow under sustained loads, accurate prediction of the time-dependent fracture process in concrete accounting for crack-viscoelasticity interactions are crucial for the stability and safe design of concrete structures. This paper presents an initial fracture toughness (KICini)-based numerical model to predict the time-dependent crack extension in concrete under sustained loads. The model integrates a time-dependent tension-softening constitutive relation, the generalized Kelvin chain model for viscoelastic behavior and KICini-based criterion for crack extension. The accuracy of the model was verified with two sets of experimental data available in the literature. The results indicated that the tension-softening constitutive law that quantifies the relation cohesive stress (sw), loading time (t), and COD can be successfully implemented in the numerical model. The predicted CMOD versus time and crack length versus time curves show good agreements with the test results regardless of loading level, specimen configuration and material property, demonstrating the predictive capability of the model in describing the crack extension in concrete exposed to sustained loads. Full article
Show Figures

Figure 1

21 pages, 2533 KB  
Article
A New Mesoscopic Parameter Inverse Analysis Method of Hydraulic Concrete Based on the SVR-HGWO Intelligent Algorithm
by Qingshuai Zhu, Yuling Wang and Xing Li
Materials 2025, 18(18), 4274; https://doi.org/10.3390/ma18184274 - 12 Sep 2025
Viewed by 554
Abstract
Accurate identification of mesoscopic parameters is critical for understanding the cracking and failure mechanisms of hydraulic concrete and for improving the reliability of numerical simulations. Traditional trial-and-error methods for parameter calibration are inefficient and often lack robustness. To address this issue, this study [...] Read more.
Accurate identification of mesoscopic parameters is critical for understanding the cracking and failure mechanisms of hydraulic concrete and for improving the reliability of numerical simulations. Traditional trial-and-error methods for parameter calibration are inefficient and often lack robustness. To address this issue, this study proposes a novel inversion method combining Support Vector Regression (SVR) with a Hybrid Grey Wolf Optimization (HGWO) algorithm. First, a mesoscopic simulation dataset of three-point bending (TPB) tests was constructed using 3D numerical models with varying mesoscopic parameters. Then, an SVR-based surrogate model was trained to learn the nonlinear mapping between mesoscopic parameters and load–CMOD (Crack Mouth Opening Displacement) curves. The HGWO algorithm was employed to optimize the SVR hyperparameters (penalty factor C and kernel coefficient g) and subsequently used to invert the mesoscopic parameters by minimizing the discrepancy between experimental and predicted CMOD values. The proposed method was validated through inversion of the mortar parameters of a tertiary hydraulic concrete beam. The results demonstrate that the HGWO-SVR model achieves high prediction accuracy (R2 = 0.944, MAE = 1.220, MAPE = 0.041) and significantly improves computational efficiency compared to traditional methods. The simulation based on the inversed parameters yields load–CMOD curves that agree well with experimental results. This approach provides a promising and efficient tool for mesoscopic parameter identification of heterogeneous materials in hydraulic structures. Full article
Show Figures

Figure 1

17 pages, 7213 KB  
Article
Deep Learning-Based Wind Speed Retrieval from Sentinel-1 SAR Wave Mode Data
by Ruixuan Sun, Chen Wang, Zhuhui Jiang and Xiaojuan Kong
J. Mar. Sci. Eng. 2025, 13(9), 1751; https://doi.org/10.3390/jmse13091751 - 11 Sep 2025
Cited by 1 | Viewed by 1398
Abstract
Sea surface wind has been listed as an essential climate variable, playing crucial roles in regulating the global and regional weather and climate. Spaceborne synthetic aperture radar (SAR) has demonstrated the advantages in observing the wind field given its all-weather measurement capability. In [...] Read more.
Sea surface wind has been listed as an essential climate variable, playing crucial roles in regulating the global and regional weather and climate. Spaceborne synthetic aperture radar (SAR) has demonstrated the advantages in observing the wind field given its all-weather measurement capability. In this study, we present a convolutional neural network (CNN)-based framework for retrieving 10 m wind speed (U10) from Sentinel-1 SAR wave mode (WV) imagery. The model is trained on SAR data acquired in 2017 using collocated ERA5 reanalysis wind vectors as the reference, with final performance evaluated against a temporally independent dataset from 2016 and in situ wind measurements. The CNN approach demonstrates improved retrieval accuracy compared to the conventional CMOD5.N-based result, achieving lower root mean square error (RMSE) and bias across both WV1 and WV2 incidence angle modes. Residual diagnostics show a systematic overestimation at low wind speeds and a slight underestimation at higher wind speeds. Spatial analyses of retrieval bias reveal regional variations, particularly in areas characterized by ocean swell or convective atmospheric activity, highlighting the importance of geophysical features in retrieval accuracy. These results support the viability of deep learning approaches for SAR-based ocean surface wind estimation and suggest a path forward for the development of more accurate, data-driven wind products suitable for both scientific research and operational marine forecasting. Full article
Show Figures

Figure 1

17 pages, 6189 KB  
Article
Research on Crack Resistance of Foamed Rubber Asphalt Cold Recycled Mixtures Based on Semi-Circular Bending Test
by Zhen Shen, Shikun Wang, Zhe Hu and Xiaokang Zhao
Materials 2025, 18(12), 2684; https://doi.org/10.3390/ma18122684 - 6 Jun 2025
Cited by 2 | Viewed by 977
Abstract
Foamed asphalt cold recycled mixtures can provide an effective approach for the reutilization of reclaimed asphalt pavement (RAP), but conventional asphalt foaming technology primarily exploits matrix asphalt as the raw material. To address this issue, this study explores rubberized asphalt with cold recycling [...] Read more.
Foamed asphalt cold recycled mixtures can provide an effective approach for the reutilization of reclaimed asphalt pavement (RAP), but conventional asphalt foaming technology primarily exploits matrix asphalt as the raw material. To address this issue, this study explores rubberized asphalt with cold recycling technology to develop a foamed rubber asphalt cold recycled mixture (FRCM). The semi-circular bending (SCB) test was employed to investigate its cracking resistance. Load–crack mouth opening displacement (CMOD)–time curves under various temperatures were analyzed, and digital image technique was resorted to monitor crack propagation and growth rates. Fracture toughness, fracture energy, and flexibility index were compared with those of traditional foamed matrix asphalt cold recycled mixture (FMCM). The results show that, under the same test temperature, the FRCM exhibits slower crack propagation; larger peak load; and higher fracture toughness, fracture energy, and flexibility index in comparison with the FMCM. These improvements are more pronounced at low temperatures. For both mixtures, fracture toughness and fracture energy are decreased with increasing the temperature, while the flexibility index shows the opposite trend. The rigid zone accounts for a larger portion of fracture energy at low temperatures. The findings provide technical references for improving the cracking resistance of cold recycled asphalt layers using rubberized asphalt. Full article
(This article belongs to the Special Issue Innovative Approaches in Asphalt Binder Modification and Performance)
Show Figures

Figure 1

16 pages, 3907 KB  
Article
Application of Pipe Ring Notched Tensile (PRNT) Specimens to Fracture Mechanics Testing of Ductile Metallic Materials
by Isaak Trajković, Jovan Tanasković, Zoran Radosavljević, Miloš Milošević, Bojan Medjo and Jasmina Lozanović
Metals 2025, 15(4), 410; https://doi.org/10.3390/met15040410 - 4 Apr 2025
Viewed by 1103
Abstract
This paper presents the results of experimental and numerical analysis of fracture mechanics testing of ductile metallic materials using a non-standard procedure with PRNT (pipe ring notched tensile) ring-shaped specimens, introduced in previous publications through analysis of 3D-printed polymer rings. The main focus [...] Read more.
This paper presents the results of experimental and numerical analysis of fracture mechanics testing of ductile metallic materials using a non-standard procedure with PRNT (pipe ring notched tensile) ring-shaped specimens, introduced in previous publications through analysis of 3D-printed polymer rings. The main focus of this research is the determination of the values of the plastic geometry factor ηpl since the specimen is not a standard one. Toward this aim, the finite element software package Simulia Abaqus was applied to evaluate the J-integral (by using the domain integral method) and the F-CMOD curve so that the plastic geometry factor ηpl can be evaluated for different values of the ratio of crack length to specimen width (a0/W = 0.45 ÷ 0.55). In this way, a procedure and the possibility of practical implementation on the thin-walled pipelines are established. Full article
Show Figures

Figure 1

20 pages, 5261 KB  
Article
Influence of Test Configuration on the Bond–Slip Behavior of Hooked-End Steel Fibers in Concrete: Quantity, Inclination, and Spacing
by Jonatas Santana Maia, Ramoel Serafini, Maria Luísa Ribeiro Mineiro, Alicia Martinez Batista and Ronney Rodrigues Agra
Buildings 2025, 15(6), 868; https://doi.org/10.3390/buildings15060868 - 11 Mar 2025
Viewed by 1271
Abstract
The objective of this study is to assess the influence of test configuration on the pullout response of hooked-end steel fibers embedded in a cementitious matrix and to analyze how variations in quantity, inclination, and spacing affect discrete–explicit numerical simulations. The experimental campaign [...] Read more.
The objective of this study is to assess the influence of test configuration on the pullout response of hooked-end steel fibers embedded in a cementitious matrix and to analyze how variations in quantity, inclination, and spacing affect discrete–explicit numerical simulations. The experimental campaign was conducted using dog-bone-shaped specimens with variables of number of fibers (one, two, and four), fiber inclination (0°, 15°, and 30°), and spacing (7 mm and 14 mm), with 133 specimens tested (19 per configuration). The results obtained showed that fiber inclination significantly influences pullout behavior, with higher inclinations (up to 30°) increasing pullout loads (PL1 and PL2 being the maximum pullout and the intermediate pullout load values, respectively) but also leading to fiber rupture in approximately 21% of cases. Closely spaced fibers (7 mm) demonstrated enhanced load transfer compared to wider spacing (14 mm), particularly in setups with multiple fibers. Increasing the number of fibers reduced variability in pullout results, providing more consistent data. Numerical simulations effectively capture fiber–matrix interactions, with load–CMOD curves generally aligning with experimental data. However, discrepancies in the fR1 parameter highlighted the need for further calibration to improve accuracy in modeling early cracking stages. These findings underscore the importance of fiber configuration in optimizing pullout performance and the potential for refining numerical models to better predict post-cracking behavior in steel fiber-reinforced concrete. Full article
Show Figures

Figure 1

23 pages, 5693 KB  
Article
Sea Surface Wind Speed Retrieval Using Gaofen-3-02 SAR Full Polarization Data
by Kuo Zhang, Yuxin Hu, Junxin Yang and Xiaochen Wang
Remote Sens. 2025, 17(4), 591; https://doi.org/10.3390/rs17040591 - 9 Feb 2025
Cited by 2 | Viewed by 1368
Abstract
The primary payload onboard the Gaofen-3-02 (GF3-02) satellite is a C-band Synthetic Aperture Radar (SAR) capable of achieving a maximum resolution of 1 m. This instrument is critical to monitor the marine environment, particularly for tracking sea surface wind speeds, an important marine [...] Read more.
The primary payload onboard the Gaofen-3-02 (GF3-02) satellite is a C-band Synthetic Aperture Radar (SAR) capable of achieving a maximum resolution of 1 m. This instrument is critical to monitor the marine environment, particularly for tracking sea surface wind speeds, an important marine environmental parameter. In this study, we utilized 192 sets of GF3-02 SAR data, acquired in Quad-Polarization Strip I (QPSI) mode in March 2022, to retrieve sea surface wind speeds. Prior to wind speed retrieval for vertical-vertical (VV) polarization, radiometric calibration accuracy was analyzed, yielding good performance. The results showed a bias and root mean square errors (RMSEs) of 0.02 m/s and 1.36 m/s, respectively, when compared to the European Centre for Medium-Range Weather Forecasts (ECMWF) Reanalysis V5 (ERA5) data. For horizontal–horizontal (HH) polarization, two types of polarization ratio (PR) models were introduced based on the GF3-02 SAR data. Combining these refitted PR models with CMOD5.N, the results for HH polarization exhibited a bias of −0.18 m/s and an RMSE of 1.25 m/s in comparison to the ERA5 data. Regarding vertical–horizontal (VH) polarization, two linear models based on both measured normalized radar cross sections (NRCSs) and denoised NRCSs were developed. The findings indicate that denoising significantly enhances the accuracy of wind speed measurements for VH polarization when dealing with low wind speeds. When compared against buoy data, the wind speed retrieval results demonstrated a bias of 0.23 m/s and an RMSE of 1.77 m/s. Finally, a comparative analysis of the above retrieval results across all three polarizations was conducted to further understand their respective performances. Full article
Show Figures

Figure 1

20 pages, 8986 KB  
Article
Experimental and Numerical Research on Fracture Properties of Mass Concrete Under Quasi-Static and Dynamic Loading
by Yazhou Zhang, Hong Zhong, Deyu Li, Chunlei Li, Haibo Wang, Zhiyuan Li and Wei Dong
Buildings 2024, 14(10), 3312; https://doi.org/10.3390/buildings14103312 - 20 Oct 2024
Cited by 1 | Viewed by 2181
Abstract
The dynamic fracture behavior of mass concrete is crucial to the dynamic analysis and safety evaluation of concrete dams subjected to strong earthquake shocks in the framework of fracture mechanics. In the presented research, cylindrical specimens with a ring of preset cracks were [...] Read more.
The dynamic fracture behavior of mass concrete is crucial to the dynamic analysis and safety evaluation of concrete dams subjected to strong earthquake shocks in the framework of fracture mechanics. In the presented research, cylindrical specimens with a ring of preset cracks were cast by three-graded mass concrete, and direct tension tests were performed with two loading rates considered, i.e., 10−6/s for quasi-static loading and 10−3/s for dynamic loading. The load–crack mouth opening displacement (P-CMOD) curves were obtained, from which the fracture toughness, fracture energy, and characteristic length of the mass concrete were obtained. In this process, the influence of the eccentricity in the tests was compensated by the numerical modeling of the tests. Next, the crack propagation process of the mass concrete was modeled using the extended finite element method. From the test results, it is found that, under quasi-static loading, the crack generally propagates along the interface between the aggregates and the matrix, while, under dynamic loading, more aggregates are fractured. As compared to the case of quasi-static loading, the energy absorption capacity, fracture energy, and fracture toughness increase for dynamic loading, while the characteristic length decreases. Moreover, the numerically predicted P-CMOD curves agree reasonably well with the experimental measurements. Full article
(This article belongs to the Section Building Structures)
Show Figures

Figure 1

18 pages, 7440 KB  
Article
A Novel Method for the Estimation of Sea Surface Wind Speed from SAR Imagery
by Zahra Jafari, Pradeep Bobby, Ebrahim Karami and Rocky Taylor
J. Mar. Sci. Eng. 2024, 12(10), 1881; https://doi.org/10.3390/jmse12101881 - 20 Oct 2024
Cited by 6 | Viewed by 2303
Abstract
Wind is one of the important environmental factors influencing marine target detection as it is the source of sea clutter and also affects target motion and drift. The accurate estimation of wind speed is crucial for developing an efficient machine learning (ML) model [...] Read more.
Wind is one of the important environmental factors influencing marine target detection as it is the source of sea clutter and also affects target motion and drift. The accurate estimation of wind speed is crucial for developing an efficient machine learning (ML) model for target detection. For example, high wind speeds make it more likely to mistakenly detect clutter as a marine target. This paper presents a novel approach for the estimation of sea surface wind speed (SSWS) and direction utilizing satellite imagery through innovative ML algorithms. Unlike existing methods, our proposed technique does not require wind direction information and normalized radar cross-section (NRCS) values and therefore can be used for a wide range of satellite images when the initial calibrated data are not available. In the proposed method, we extract features from co-polarized (HH) and cross-polarized (HV) satellite images and then fuse advanced regression techniques with SSWS estimation. The comparison between the proposed model and three well-known C-band models (CMODs)—CMOD-IFR2, CMOD5N, and CMOD7—further indicates the superior performance of the proposed model. The proposed model achieved the lowest Root Mean Squared Error (RMSE) and Mean Absolute Error (MAE), with values of 0.97 m/s and 0.62 m/s for calibrated images, and 1.37 and 0.97 for uncalibrated images, respectively, on the RCM dataset. Full article
(This article belongs to the Special Issue Remote Sensing Applications in Marine Environmental Monitoring)
Show Figures

Figure 1

Back to TopTop