Sign in to use this feature.

Years

Between: -

Subjects

remove_circle_outline
remove_circle_outline
remove_circle_outline
remove_circle_outline
remove_circle_outline
remove_circle_outline
remove_circle_outline
remove_circle_outline
remove_circle_outline

Journals

Article Types

Countries / Regions

Search Results (14)

Search Parameters:
Keywords = CLPSO

Order results
Result details
Results per page
Select all
Export citation of selected articles as:
22 pages, 8682 KB  
Article
Predicting EGFRL858R/T790M/C797S Inhibitory Effect of Osimertinib Derivatives by Mixed Kernel SVM Enhanced with CLPSO
by Shaokang Li, Wenzhe Dong and Aili Qu
Pharmaceuticals 2025, 18(8), 1092; https://doi.org/10.3390/ph18081092 - 23 Jul 2025
Viewed by 980
Abstract
Background/Objectives: The resistance mutations EGFRL858R/T790M/C797S in epidermal growth factor receptor (EGFR) are key factors in the reduced efficacy of Osimertinib. Predicting the inhibitory effects of Osimertinib derivatives against these mutations is crucial for the development of more effective inhibitors. This study aims [...] Read more.
Background/Objectives: The resistance mutations EGFRL858R/T790M/C797S in epidermal growth factor receptor (EGFR) are key factors in the reduced efficacy of Osimertinib. Predicting the inhibitory effects of Osimertinib derivatives against these mutations is crucial for the development of more effective inhibitors. This study aims to predict the inhibitory effects of Osimertinib derivatives against EGFRL858R/T790M/C797S mutations. Methods: Six models were established using heuristic method (HM), random forest (RF), gene expression programming (GEP), gradient boosting decision tree (GBDT), polynomial kernel function support vector machine (SVM), and mixed kernel function SVM (MIX-SVM). The descriptors for these models were selected by the heuristic method or XGBoost. Comprehensive learning particle swarm optimizer was adopted to optimize hyperparameters. Additionally, the internal and external validation were performed by leave-one-out cross-validation (QLOO2), 5-fold cross validation (Q5fold2) and concordance correlation coefficient (CCC), QF12, and QF22. The properties of novel EGFR inhibitors were explored through molecular docking analysis. Results: The model established by MIX-SVM whose kernel function is a convex combination of three regular kernel functions is best: R2 and RMSE for training set and test set are 0.9445, 0.1659 and 0.9490, 0.1814, respectively; QLOO2, Q5fold2, CCC, QF12, and QF22 are 0.9107, 0.8621, 0.9835, 0.9689, and 0.9680. Based on these results, the IC50 values of 162 newly designed compounds were predicted using the HM model, and the top four candidates with the most favorable physicochemical properties were subsequently validated through PEA. Conclusions: The MIX-SVM method will provide useful guidance for the design and screening of novel EGFRL858R/T790M/C797S inhibitors. Full article
(This article belongs to the Special Issue QSAR and Chemoinformatics in Drug Design and Discovery)
Show Figures

Graphical abstract

16 pages, 8305 KB  
Article
Extracting Micro-Doppler Features from Multi-Rotor Unmanned Aerial Vehicles Using Time-Frequency Rotation Domain Concentration
by Tao Hong, Yi Li, Chaoqun Fang, Wei Dong and Zhihua Chen
Drones 2024, 8(1), 20; https://doi.org/10.3390/drones8010020 - 12 Jan 2024
Cited by 3 | Viewed by 3723
Abstract
This study addresses the growing concern over the impact of small unmanned aerial vehicles (UAVs), particularly rotor UAVs, on air traffic order and public safety. We propose a novel method for micro-Doppler feature extraction in multi-rotor UAVs within the time-frequency transform domain. Utilizing [...] Read more.
This study addresses the growing concern over the impact of small unmanned aerial vehicles (UAVs), particularly rotor UAVs, on air traffic order and public safety. We propose a novel method for micro-Doppler feature extraction in multi-rotor UAVs within the time-frequency transform domain. Utilizing competitive learning particle swarm optimization (CLPSO), our approach divides population dynamics into three subgroups, each employing unique optimization mechanisms to enhance local search capabilities. This method overcomes limitations in traditional Particle Swarm Optimization (PSO) algorithms, specifically in achieving global optimal solutions. Our simulation and experimental results demonstrate the method’s efficiency and accuracy in extracting micro-Doppler features of rotary-wing UAVs. This advancement not only facilitates UAV detection and identification but also significantly contributes to the fields of UAV monitoring and airspace security. Full article
(This article belongs to the Special Issue Advances of Drones in Green Internet-of-Things)
Show Figures

Figure 1

19 pages, 5020 KB  
Article
A Hybrid Algorithm for Parameter Identification of Synchronous Reluctance Machines
by Huan Wang, Guobin Lin, Yuanzhe Zhao, Sizhe Ren and Fuchuan Duan
Sustainability 2023, 15(1), 397; https://doi.org/10.3390/su15010397 - 26 Dec 2022
Cited by 2 | Viewed by 2179
Abstract
In rail transit traction, synchronous reluctance machines (SynRMs) are potential alternatives to traditional AC motors due to their energy-saving and low-cost characteristics. However, the nonlinearities of SynRMs are more severe than permanent magnet synchronous motors (PMSM) and induction motors (IM), which means the [...] Read more.
In rail transit traction, synchronous reluctance machines (SynRMs) are potential alternatives to traditional AC motors due to their energy-saving and low-cost characteristics. However, the nonlinearities of SynRMs are more severe than permanent magnet synchronous motors (PMSM) and induction motors (IM), which means the characteristics of SynRMs are challenging to model accurately. The parameter identification directly influences the modeling of nonlinearity, while the existing algorithms tend to converge prematurely. To overcome this problem, in this paper, a hybrid optimizer combining the SCA with the SSO algorithm is proposed to obtain the parameters of SynRMs, and the proposed Sine-Cosine self-adaptive synergistic optimization (SCSSO) algorithm preserves the self-adaptive characteristic of SSO and the exploration ability of SCA. Comprehensive numerical simulation and experimental tests have fully demonstrated that the proposed method has obviously improved parameter identification accuracy and robustness. In the dq-axis flux linkage, the mismatch between reference and estimated data of proposed algorithm is below 1% and 6%, respectively. Moreover, the best d-axis RMSE of SCSSO is 50% of the well-known algorithm CLPSO and 25% of BLPSO and its performance has improved by two orders of magnitude compared to traditional simple algorithms. In the q-axis, the best RMSE is 10% of CLPSO and 50% of Rao-3 and Jaya. Moreover, the performance of the proposed algorithm has improved nearly 90 times compared to traditional simple algorithms. Full article
(This article belongs to the Special Issue Sustainability Optimisation of Electrified Railways)
Show Figures

Figure 1

18 pages, 3092 KB  
Article
Comprehensive Learning Particle Swarm Optimized Fuzzy Petri Net for Motor-Bearing Fault Diagnosis
by Chuannuo Xu, Jiming Li and Xuezhen Cheng
Machines 2022, 10(11), 1022; https://doi.org/10.3390/machines10111022 - 3 Nov 2022
Cited by 10 | Viewed by 2153
Abstract
Petri net is a widely used fault-diagnosis algorithm. However, it presents poor fault-diagnosis effectiveness and accuracy caused by the parameter setting and adjustment, depending entirely on expert experience in a system with a single input signal type. To address this problem, a comprehensive [...] Read more.
Petri net is a widely used fault-diagnosis algorithm. However, it presents poor fault-diagnosis effectiveness and accuracy caused by the parameter setting and adjustment, depending entirely on expert experience in a system with a single input signal type. To address this problem, a comprehensive learning particle swarm optimized fuzzy Petri net (CLPSO-FPN) algorithm is proposed for motor-bearing fault diagnosis. CLPSO is employed to obtain an adaptive system parameter set to reduce the fault-diagnosis error caused by human subjective factors. Moreover, a new proposed concept of the transition influence factor replaces the traditional transition confidence to improve the nonlinear expression ability of traditional Petri nets, which suppresses the space explosion problem of the fault-diagnosis model. Finally, experiments are implemented on a dataset of motor bearings. Compared with traditional faults diagnosis methods, the proposed method realized better performance in the fault location and prediction functions of motor bearings, which is beneficial for troubleshooting and motor maintenance. Full article
(This article belongs to the Special Issue Advances in Fault Diagnosis and Anomaly Detection)
Show Figures

Figure 1

16 pages, 1139 KB  
Article
Optimized Machine Learning-Based Intrusion Detection System for Fog and Edge Computing Environment
by Omar A. Alzubi, Jafar A. Alzubi, Moutaz Alazab, Adnan Alrabea, Albara Awajan and Issa Qiqieh
Electronics 2022, 11(19), 3007; https://doi.org/10.3390/electronics11193007 - 22 Sep 2022
Cited by 109 | Viewed by 5444
Abstract
As a new paradigm, fog computing (FC) has several characteristics that set it apart from the cloud computing (CC) environment. Fog nodes and edge computing (EC) hosts have limited resources, exposing them to cyberattacks while processing large streams and sending them directly to [...] Read more.
As a new paradigm, fog computing (FC) has several characteristics that set it apart from the cloud computing (CC) environment. Fog nodes and edge computing (EC) hosts have limited resources, exposing them to cyberattacks while processing large streams and sending them directly to the cloud. Intrusion detection systems (IDS) can be used to protect against cyberattacks in FC and EC environments, while the large-dimensional features in networking data make processing the massive amount of data difficult, causing lower intrusion detection efficiency. Feature selection is typically used to alleviate the curse of dimensionality and has no discernible effect on classification outcomes. This is the first study to present an Effective Seeker Optimization model in conjunction with a Machine Learning-Enabled Intrusion Detection System (ESOML-IDS) model for the FC and EC environments. The ESOML-IDS model primarily designs a new ESO-based feature selection (FS) approach to choose an optimal subset of features to identify the occurrence of intrusions in the FC and EC environment. We also applied a comprehensive learning particle swarm optimization (CLPSO) with Denoising Autoencoder (DAE) for the detection of intrusions. The development of the ESO algorithm for feature subset selection and the DAE algorithm for parameter optimization results in improved detection efficiency and effectiveness. The experimental results demonstrated the improved outcomes of the ESOML-IDS model over recent approaches. Full article
(This article belongs to the Section Computer Science & Engineering)
Show Figures

Figure 1

18 pages, 4338 KB  
Article
A Multi-Strategy Adaptive Comprehensive Learning PSO Algorithm and Its Application
by Ye’e Zhang and Xiaoxia Song
Entropy 2022, 24(7), 890; https://doi.org/10.3390/e24070890 - 28 Jun 2022
Cited by 9 | Viewed by 3140
Abstract
In this paper, a multi-strategy adaptive comprehensive learning particle swarm optimization algorithm is proposed by introducing the comprehensive learning, multi-population parallel, and parameter adaptation. In the proposed algorithm, a multi-population parallel strategy is designed to improve population diversity and accelerate convergence. The population [...] Read more.
In this paper, a multi-strategy adaptive comprehensive learning particle swarm optimization algorithm is proposed by introducing the comprehensive learning, multi-population parallel, and parameter adaptation. In the proposed algorithm, a multi-population parallel strategy is designed to improve population diversity and accelerate convergence. The population particle exchange and mutation are realized to ensure information sharing among the particles. Then, the global optimal value is added to velocity update to design a new velocity update strategy for improving the local search ability. The comprehensive learning strategy is employed to construct learning samples, so as to effectively promote the information exchange and avoid falling into local extrema. By linearly changing the learning factors, a new factor adjustment strategy is developed to enhance the global search ability, and a new adaptive inertia weight-adjustment strategy based on an S-shaped decreasing function is developed to balance the search ability. Finally, some benchmark functions and the parameter optimization of photovoltaics are selected. The proposed algorithm obtains the best performance on 6 out of 10 functions. The results show that the proposed algorithm has greatly improved diversity, solution accuracy, and search ability compared with some variants of particle swarm optimization and other algorithms. It provides a more effective parameter combination for the complex engineering problem of photovoltaics, so as to improve the energy conversion efficiency. Full article
(This article belongs to the Special Issue Information Theory and Swarm Optimization in Decision and Control)
Show Figures

Figure 1

10 pages, 1928 KB  
Article
Classification of Tea Quality Levels Using Near-Infrared Spectroscopy Based on CLPSO-SVM
by Yuhan Ding, Yuli Yan, Jun Li, Xu Chen and Hui Jiang
Foods 2022, 11(11), 1658; https://doi.org/10.3390/foods11111658 - 5 Jun 2022
Cited by 69 | Viewed by 4359
Abstract
In this paper, we propose a method for classifying tea quality levels based on near-infrared spectroscopy. Firstly, the absorbance spectra of Huangshan Maofeng tea samples were obtained in a wavenumber range of 10,000~4000 cm−1 using near-infrared spectroscopy. The spectral data were then [...] Read more.
In this paper, we propose a method for classifying tea quality levels based on near-infrared spectroscopy. Firstly, the absorbance spectra of Huangshan Maofeng tea samples were obtained in a wavenumber range of 10,000~4000 cm−1 using near-infrared spectroscopy. The spectral data were then converted to transmittance and smoothed using the Savitzky–Golay (SG) algorithm. The denoised transmittance spectra were dimensionally reduced using principal component analysis (PCA). The characteristic variables obtained using PCA were used as the input variables and the tea level was used as the output to establish a support vector machine (SVM) classification model. The penalty factor c and the kernel function parameter g in the SVM model were optimized using particle swarm optimization (PSO) and comprehensive-learning particle swarm optimization (CLPSO) algorithms. The final experimental results show that the CLPSO-SVM method had the best classification performance, and the classification accuracy reached 99.17%. Full article
Show Figures

Graphical abstract

17 pages, 9408 KB  
Article
Learning Competitive Swarm Optimization
by Bożena Borowska
Entropy 2022, 24(2), 283; https://doi.org/10.3390/e24020283 - 16 Feb 2022
Cited by 21 | Viewed by 4422
Abstract
Particle swarm optimization (PSO) is a popular method widely used in solving different optimization problems. Unfortunately, in the case of complex multidimensional problems, PSO encounters some troubles associated with the excessive loss of population diversity and exploration ability. This leads to a deterioration [...] Read more.
Particle swarm optimization (PSO) is a popular method widely used in solving different optimization problems. Unfortunately, in the case of complex multidimensional problems, PSO encounters some troubles associated with the excessive loss of population diversity and exploration ability. This leads to a deterioration in the effectiveness of the method and premature convergence. In order to prevent these inconveniences, in this paper, a learning competitive swarm optimization algorithm (LCSO) based on the particle swarm optimization method and the competition mechanism is proposed. In the first phase of LCSO, the swarm is divided into sub-swarms, each of which can work in parallel. In each sub-swarm, particles participate in the tournament. The participants of the tournament update their knowledge by learning from their competitors. In the second phase, information is exchanged between sub-swarms. The new algorithm was examined on a set of test functions. To evaluate the effectiveness of the proposed LCSO, the test results were compared with those achieved through the competitive swarm optimizer (CSO), comprehensive particle swarm optimizer (CLPSO), PSO, fully informed particle swarm (FIPS), covariance matrix adaptation evolution strategy (CMA-ES) and heterogeneous comprehensive learning particle swarm optimization (HCLPSO). The experimental results indicate that the proposed approach enhances the entropy of the particle swarm and improves the search process. Moreover, the LCSO algorithm is statistically and significantly more efficient than the other tested methods. Full article
Show Figures

Figure 1

26 pages, 23884 KB  
Article
Energy-Efficient Adaptive Sensing Scheduling in Wireless Sensor Networks Using Fibonacci Tree Optimization Algorithm
by Liangshun Wu and Hengjin Cai
Sensors 2021, 21(15), 5002; https://doi.org/10.3390/s21155002 - 23 Jul 2021
Cited by 11 | Viewed by 3621
Abstract
Wireless sensor networks are appealing, largely because they do not need wired infrastructure, but it is precisely this feature that renders them energy-constrained. The duty cycle scheduling is perceived as a contributor to the energy efficiency of sensing. This paper developed a novel [...] Read more.
Wireless sensor networks are appealing, largely because they do not need wired infrastructure, but it is precisely this feature that renders them energy-constrained. The duty cycle scheduling is perceived as a contributor to the energy efficiency of sensing. This paper developed a novel paradigm for modeling wireless sensor networks; in this context, an adaptive sensing scheduling strategy is proposed depending on event occurrence behavior, and the scheduling problem is framed as an optimization problem. The optimization objectives include reducing energy depletion and optimizing detection accuracy. We determine the explicit form of the objective function by numerical fitting and found that the objective function aggregated by the fitting functions is a bivariate multimodal function that favors the Fibonacci tree optimization algorithm. Then, with the optimal parameters optimized by the Fibonacci tree optimization algorithm, the scheduling scheme can be easily deployed, and it behaves consistently in the coming hours. The proposed “Fibonacci Tree Optimization Strategy” (“FTOS”) outperforms lightweight deployment-aware scheduling (LDAS), balanced-energy scheduling (BS), distributed self-spreading algorithm (DSS) and probing environment and collaborating adaptive sleeping (PECAS) in achieving the aforementioned scheduling objectives. The Fibonacci tree optimization algorithm has attained a better optimistic effect than the artificial bee colony (ABC) algorithm, differential evolution (DE) algorithm, genetic algorithm (GA) algorithm, particle swarm optimization (PSO) algorithm, and comprehensive learning particle swarm optimization (CLPSO) algorithm in multiple runs. Full article
(This article belongs to the Section Sensor Networks)
Show Figures

Figure 1

20 pages, 1822 KB  
Article
Adaptive Node Clustering for Underwater Sensor Networks
by Muhammad Fahad Khan, Muqaddas Bibi, Farhan Aadil and Jong-Weon Lee
Sensors 2021, 21(13), 4514; https://doi.org/10.3390/s21134514 - 30 Jun 2021
Cited by 29 | Viewed by 4886
Abstract
Monitoring of an underwater environment and communication is essential for many applications, such as sea habitat monitoring, offshore investigation and mineral exploration, but due to underwater current, low bandwidth, high water pressure, propagation delay and error probability, underwater communication is challenging. In this [...] Read more.
Monitoring of an underwater environment and communication is essential for many applications, such as sea habitat monitoring, offshore investigation and mineral exploration, but due to underwater current, low bandwidth, high water pressure, propagation delay and error probability, underwater communication is challenging. In this paper, we proposed a sensor node clustering technique for UWSNs named as adaptive node clustering technique (ANC-UWSNs). It uses a dragonfly optimization (DFO) algorithm for selecting ideal measure of clusters needed for routing. The DFO algorithm is inspired by the swarming behavior of dragons. The proposed methodology correlates with other algorithms, for example the ant colony optimizer (ACO), comprehensive learning particle swarm optimizer (CLPSO), gray wolf optimizer (GWO) and moth flame optimizer (MFO). Grid size, transmission range and nodes density are used in a performance matrix, which varies during simulation. Results show that DFO outperform the other algorithms. It produces a higher optimized number of clusters as compared to other algorithms and hence optimizes overall routing and increases the life span of a network. Full article
(This article belongs to the Section Physical Sensors)
Show Figures

Figure 1

20 pages, 3417 KB  
Article
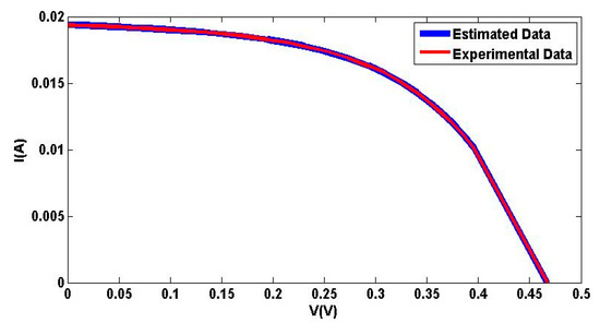
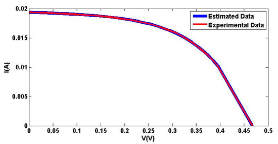
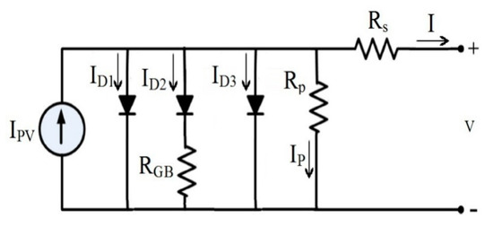
Assessment of an Improved Three-Diode against Modified Two-Diode Patterns of MCS Solar Cells Associated with Soft Parameter Estimation Paradigms
by Ahmed S. Bayoumi, Ragab A. El-Sehiemy, Karar Mahmoud, Matti Lehtonen and Mohamed M. F. Darwish
Appl. Sci. 2021, 11(3), 1055; https://doi.org/10.3390/app11031055 - 25 Jan 2021
Cited by 59 | Viewed by 3775
Abstract
Recently, the use of multi-crystalline silicon solar cells (MCSSCs) has been increasing worldwide. This work proposes a novel MCSSC pattern for achieving a more accurate emulation of the electrical behavior of solar cells. Specifically, this pattern is dependent on the modification of the [...] Read more.
Recently, the use of multi-crystalline silicon solar cells (MCSSCs) has been increasing worldwide. This work proposes a novel MCSSC pattern for achieving a more accurate emulation of the electrical behavior of solar cells. Specifically, this pattern is dependent on the modification of the double diode model of MCSSCs. Importantly, the proposed pattern has an extra diode compared to the previously modified double-diode model (MDDM) described in the literature for considering the defect region of MCSSC to form a modified three diode model (MTDM). For estimating the parameters of the proposed MTDM, two metaheuristic algorithms called closed-loop particle swarm optimization (CLPSO) and elephant herd optimization (EHO) are developed, which have superior convergence rates. The competitive algorithms are executed on experimental data based on a MCSSC of area 7.7 cm2 from Q6-1380 and CS6P-240P solar modules under different irradiance and temperature levels for both MDDM and MTDM. Also, the proposed elephant herd optimization soft paradigm is extended for a high irradiance level at 1000 W/m2 on an R.T.C. France Solar cell. The proposed new optimization models are more efficient in dealing with the natural characteristics of the MCSSC. The simulation results show that the MTDM gives more accurate solutions as a model to the MCSSC compared with the results reported in the literature. From the viewpoint of soft computing paradigms, the EHO outperforms CLPSO in terms of the solution quality and convergence rates. Full article
(This article belongs to the Section Electrical, Electronics and Communications Engineering)
Show Figures

Figure 1

19 pages, 2440 KB  
Article
Multi-objective Optimization of Accommodation Capacity for Distributed Generation Based on Mixed Strategy Nash Equilibrium, Considering Distribution Network Flexibility
by Weisheng Liu, Jian Wu, Fei Wang, Yixin Huang, Qiongdan Dai and Li Yang
Appl. Sci. 2019, 9(20), 4395; https://doi.org/10.3390/app9204395 - 17 Oct 2019
Cited by 3 | Viewed by 3580
Abstract
The increasing penetration of distributed generation (DG) brings about great fluctuation and uncertainty in distribution networks. In order to improve the ability of distribution networks to cope with disturbances caused by uncertainties and to evaluate the maximum accommodation capacity of DG, a multi-objective [...] Read more.
The increasing penetration of distributed generation (DG) brings about great fluctuation and uncertainty in distribution networks. In order to improve the ability of distribution networks to cope with disturbances caused by uncertainties and to evaluate the maximum accommodation capacity of DG, a multi-objective programming method for evaluation of the accommodation capacity of distribution networks for DG is proposed, considering the flexibility of distribution networks in this paper. Firstly, a multi-objective optimization model for determining the maximum accommodation of DG by considering the flexibility of distribution networks is constructed, aiming at maximizing the daily energy consumption, minimizing the voltage amplitude deviation, and maximizing the line capacity margin. Secondly, the comprehensive learning particle swarm optimization (CLPSO) algorithm is used to solve the multi-objective optimization model. Then, the mixed strategy Nash equilibrium is introduced to obtain the frontier solution with the optimal joint equilibrium value in the Pareto solution set. Finally, the effectiveness of the proposed method is demonstrated with an actual distribution network in China. The simulation results show that the proposed planning method can effectively find the Pareto optimal solution set by considering multiple objectives, and can obtain the optimal equilibrium solution for DG accommodation capacity and distribution network flexibility. Full article
(This article belongs to the Special Issue Sustainable Energy Systems: Optimization and Efficiency)
Show Figures

Figure 1

21 pages, 11391 KB  
Article
Adaptive Node Clustering Technique for Smart Ocean under Water Sensor Network (SOSNET)
by Mehr Yahya Durrani, Rehan Tariq, Farhan Aadil, Muazzam Maqsood, Yunyoung Nam and Khan Muhammad
Sensors 2019, 19(5), 1145; https://doi.org/10.3390/s19051145 - 6 Mar 2019
Cited by 37 | Viewed by 4939
Abstract
Smart ocean is a term broadly used for monitoring the ocean surface, sea habitat monitoring, and mineral exploration to name a few. Development of an efficient routing protocol for smart oceans is a non-trivial task because of various challenges, such as presence of [...] Read more.
Smart ocean is a term broadly used for monitoring the ocean surface, sea habitat monitoring, and mineral exploration to name a few. Development of an efficient routing protocol for smart oceans is a non-trivial task because of various challenges, such as presence of tidal waves, multiple sources of noise, high propagation delay, and low bandwidth. In this paper, we have proposed a routing protocol named adaptive node clustering technique for smart ocean underwater sensor network (SOSNET). SOSNET employs a moth flame optimizer (MFO) based technique for selecting a near optimal number of clusters required for routing. MFO is a bio inspired optimization technique, which takes into account the movement of moths towards light. The SOSNET algorithm is compared with other bio inspired algorithms such as comprehensive learning particle swarm optimization (CLPSO), ant colony optimization (ACO), and gray wolf optimization (GWO). All these algorithms are used for routing optimization. The performance metrics used for this comparison are transmission range of nodes, node density, and grid size. These parameters are varied during the simulation, and the results indicate that SOSNET performed better than other algorithms. Full article
Show Figures

Figure 1

27 pages, 2280 KB  
Article
Multi-Leader Comprehensive Learning Particle Swarm Optimization with Adaptive Mutation for Economic Load Dispatch Problems
by Anping Lin and Wei Sun
Energies 2019, 12(1), 116; https://doi.org/10.3390/en12010116 - 29 Dec 2018
Cited by 15 | Viewed by 4067
Abstract
Particle swarm optimization (PSO) is one of the most popular, nature inspired optimization algorithms. The canonical PSO is easy to implement and converges fast, however, it suffers from premature convergence. The comprehensive learning particle swarm optimization (CLPSO) can achieve high exploration while it [...] Read more.
Particle swarm optimization (PSO) is one of the most popular, nature inspired optimization algorithms. The canonical PSO is easy to implement and converges fast, however, it suffers from premature convergence. The comprehensive learning particle swarm optimization (CLPSO) can achieve high exploration while it converges relatively slowly on unimodal problems. To enhance the exploitation of CLPSO without significantly impairing its exploration, a multi-leader (ML) strategy is combined with CLPSO. In ML strategy, a group of top ranked particles act as the leaders to guide the motion of the whole swarm. Each particle is randomly assigned with an individual leader and the leader is refreshed dynamically during the optimization process. To activate the stagnated particles, an adaptive mutation (AM) strategy is introduced. Combining the ML and the AM strategies with CLPSO simultaneously, the resultant algorithm is referred to as multi-leader comprehensive learning particle swarm optimization with adaptive mutation (ML-CLPSO-AM). To evaluate the performance of ML-CLPSO-AM, the CEC2017 test suite was employed. The test results indicate that ML-CLPSO-AM performs better than ten popular PSO variants and six other types of representative evolutionary algorithms and meta-heuristics. To validate the effectiveness of ML-CLPSO-AM in real-life applications, ML-CLPSO-AM was applied to economic load dispatch (ELD) problems. Full article
(This article belongs to the Section F: Electrical Engineering)
Show Figures

Figure 1

Back to TopTop