Assessment of an Improved Three-Diode against Modified Two-Diode Patterns of MCS Solar Cells Associated with Soft Parameter Estimation Paradigms
Abstract
1. Introduction
- In [16], the authors estimate the DDM, MDDM, and TDM parameters by using the moth-flame optimizer.
- In [17], the bacterial foraging (BF) algorithm was developed to estimate the parameters for two operating conditions (normal and shading conditions);
- In [18], the generalized oppositional teaching-learning optimizer was employed to estimate the parameters and speed up the conversion process.
- In [19], two methods are used to estimate the PV cell parameters based on differential evolution accomplished with an iteratively updated mutation effect and the other one is a hybrid evolutionary algorithm. It was noticed that these two methods have good performance and high accuracy.
- In [20], another method called the flower pollination algorithm was proposed for low solar irradiance levels. The estimated and experimental results are almost identical.
- The artificial bee colony algorithm was employed in [21] to identify solar cell parameters.
- In [22], the artificial bee swarm optimizer was used for parameter identification based on the PV cell single- and double- diode models.
- A harmony search-based algorithm was introduced to estimate the unidentified solar cell parameters with the usage of single- and double-diode models in [23];
- A simulated annealing algorithm [24] estimated the parameters of different solar cell models, namely single-, double-diode models and photovoltaic module. They help to verify the proposed approach outcomes.
- Bird mating optimizer [27] estimates the parameters of a PV solar array that is modeled by SDM.
- In [6], a modified DDM analysis of MCSSC at low illumination levels was presented.
- In [28], a procedure based on three points approach was developed for PV parameters estimation.
- In [29], the PV crystalline-silicon modules are represented by various parameters with a single exponential model.
- In [30], another optimization algorithm called the moth-search optimizer was developed for the parameter estimation of three junction PV panels.
- In [31], an improved shuffled complex evolution algorithm was developed for estimating the parameters of solar cells.
- In [32], the coyote optimization algorithm is proposed for parameter estimation of the three-diode model of solar cell and models. The considered TDM doesn’t consider the recombination defects in the solar cell.
- An extensive review presenting the available approaches for the PV parameter estimation was presented in [33].
- In [36], the forensic optimization algorithm was developed for parameter extraction of three solar cell models.
- The novel application of two soft computing techniques for estimating the parameter of MSC solar cell models.
- The proposed novel pattern of the MSC solar cell with a modified three diode model.
- The performance evaluation of two competitive optimization algorithms.
- The simulation results in high accuracy of the proposed MTDM, which are assessed with DDM and MDDM.
2. Photovoltaic Modeling
2.1. MDDM Representation
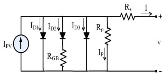
2.2. MTDM Representation
3. Problem Formulation
- There are eight elements in the solution vector for the MDDM arranged as follows: X = (IPV, IS1, η1, IS2, η2, RGB, RP, RS).
- There are ten elements in the solution vector for the MTDM arranged as follows: X = (IPV, IS1, η1, IS2, η2, RGB, RP, RS, IS3, η3).
4. Proposed Soft Parameter Estimation Paradigms
4.1. Closed-Loop Particle Swarm Optimization
- Step 1:
- The positions and velocities of each swarm are started randomly.
- Step 2:
- The RMSE is used to evaluate the fitness of each particle.
- Step 3:
- For particles in the same position, their finesses are compared together to obtain the best position for a certain position. This is called the personal best Pbest. The personal best is updated at each iteration.
- Step 4:
- Choose the best fitness particle compared to all other particles in the historical Pbest archive to get the global best gbest;
- Step 5:
- Updating the velocity and position are carried out by Equations (9) and (10), respectively.
- Step 6
- Check the objective function if it has been improved and modulate the boundaries of the search space. The modified parameters’ boundaries are updated as Algorithm 1, where δ is the modulation parameter at iteration k.
| Algorithm 1. Dynamic modification of control variable parameters |
| 1: Read until iteration k |
| 2: Update the control variables x using Equations (9) and (10) |
| 3: Evaluate the fitness function RMSEk |
| 4: Update the upper and lower limits |
| 5: ifRMSEk < RMSEk-1 |
| 6: take |
| 7: |
| 8: else |
| 9: take |
| 10: |
| 11: end if |
| 12:k = k + 1 |
| 13: Go to Step 2, and the procedure described above is repeated until the stopping criteria are satisfied |
4.2. Elephant Herd Optimization
- (1)
- Building the population of elephants: in this rule, a certain number of clans with fixed male and female elephants are considered.
- (2)
- A mutation process that identifies a fixed percentage of the male elephant will be excluded and live outside their clan.
- (3)
- Identify a female elephant to be the clan leader.
- The initial population of elephants is randomly created.
- The population size is divided into a defined number of clans.
- Compute the fitness function of each population element.
- According to their elephant fitness function, updating each clan individually by applying clan operator using Equation (12). The old positions ) or elephant j in the clan can be updated to new positions as :
- The following position is influenced by the matriarch ;
- The updated fittest elephant is obtained from Equation (13) as:
- Separating operator: this operator emulates the leaving of male elephants in their group and living alone. This separating process can be modeled as:
5. Results and Discussion
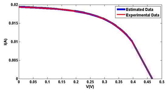
5.1. Simulation Results for a 7.7 cm2 Q6-1380 Multi-Crystalline Solar Cell
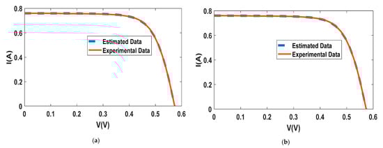
5.2. Simulation Results for a CS6P-240P Solar Module
5.3. Simulation Results for a 57 mm Diameter Commercial (R.T.C. France) Silicon Solar Cell at 1000 W/m2 and 306 K
5.4. Comparison with Previous Methods
6. Conclusions
Author Contributions
Funding
Institutional Review Board Statement
Informed Consent Statement
Data Availability Statement
Conflicts of Interest
References
- Qais, M.H.; Hasanien, H.M.; Alghuwainem, S. Identification of electrical parameters for three-diode photovoltaic model using analytical and sunflower optimization algorithm. Appl. Energy 2019, 250, 109–117. [Google Scholar] [CrossRef]
- Lin, Z.X.; Huang, B.; He, G.N.; Yang, W.F.; He, Q.Y.; Li, L.X. High efficiency enhancement of multi-crystalline silicon solar cells with syringe-shaped ZnOnanorod antireflection layers. Thin Solid Films 2018, 653, 151–157. [Google Scholar] [CrossRef]
- Derbali, L.; Ezzaouia, H. Efficiency improvement of multicrystalline silicon solar cells after surface and grain boundaries passivation using vanadium oxide. Mater. Sci. Eng. B Solid-State Mater. Adv. Technol. 2012, 177, 1003–1008. [Google Scholar] [CrossRef]
- Derbali, L.; Ezzaouia, H. Electrical properties improvement of multicrystalline silicon solar cells using a combination of porous silicon and vanadium oxide treatment. Appl. Surf. Sci. 2013, 271, 234–239. [Google Scholar] [CrossRef]
- Mukherjee, S.; Farid, S.; Stroscio, M.A.; Dutta, M. Modeling polycrystalline effects on the device characteristics of cdte based solar cells. In Proceedings of the2015 International Workshop on Computational Electronics (IWCE), West Lafayette, IN, USA, 2–4 September 2015; pp. 1–4. [Google Scholar]
- Kassis, A.; Saad, M. Analysis of multi-crystalline silicon solar cells at low illumination levels using a modified two-diode model. Sol. Energy Mater. Sol. Cells 2010, 94, 2108–2112. [Google Scholar] [CrossRef]
- Chin, V.J.; Salam, Z.; Ishaque, K. Cell modelling and model parameters estimation techniques for photovoltaic simulator application: A review. Appl. Energy 2015, 154, 500–519. [Google Scholar] [CrossRef]
- Bai, J.; Liu, S.; Hao, Y.; Zhang, Z.; Jiang, M.; Zhang, Y. Development of a new compound method to extract the five parameters of PV modules. Energy Convers. Manag. 2014, 79, 294–303. [Google Scholar] [CrossRef]
- Orioli, A.; Di Gangi, A. A procedure to evaluate the seven parameters of the two-diode model for photovoltaic modules. Renew. Energy 2019, 139, 582–599. [Google Scholar] [CrossRef]
- Suskis, P.; Galkin, I. Enhanced photovoltaic panel model for MATLAB-Simulink environment considering solar cell junction capacitance. In Proceedings of the IECON 2013-39th Annual Conference of the IEEE Industrial Electronics Society, Vienna, Austria, 10–13 November 2013. [Google Scholar] [CrossRef]
- Lumb, M.P.; Bailey, C.G.; Adams, J.G.J.; Hillier, G.; Tuminello, F.; Elarde, V.C.; Walters, R.J. Analytical drift-diffusion modeling of GaAs solar cells incorporating a back mirror. In Proceedings of the 2013 IEEE 39th Photovoltaic Specialists Conference (PVSC), Tampa, FL, USA, 16–21 June 2013. [Google Scholar] [CrossRef]
- Nishioka, K.; Sakitani, N.; Uraoka, Y.; Fuyuki, T. Analysis of multicrystalline silicon solar cells by modified 3-diode equivalent circuit model taking leakage current through periphery into consideration. Sol. Energy Mater. Sol. Cells 2007, 91, 1222–1227. [Google Scholar] [CrossRef]
- Soon, J.J.; Low, K.-S.; Goh, S.T. Multi-dimension diode photovoltaic (PV) model for different PV cell technologies. In Proceedings of the 2014 IEEE 23rd International Symposium on Industrial Electronics (ISIE), Istanbul, Turkey, 1–4 June 2014. [Google Scholar] [CrossRef]
- Mazhari, B. An improved solar cell circuit model for organic solar cells. Sol. Energy Mater. Sol. Cells 2006, 90, 1021–1033. [Google Scholar] [CrossRef]
- Jordehi, A.R. Parameter estimation of solar photovoltaic (PV) cells: A review. Renew. Sustain. Energy Rev. 2016, 61, 354–371. [Google Scholar] [CrossRef]
- Allam, D.; Yousri, D.; Eteiba, M. Parameters extraction of the three-diode model for the multi-crystalline solar cell/module using Moth-Flame Optimization Algorithm. Energy Convers. Manag. 2016, 123, 535–548. [Google Scholar] [CrossRef]
- Awadallah, M.A. Variations of the bacterial foraging algorithm for the extraction of PV module parameters from nameplate data. Energy Convers. Manag. 2016, 113, 312–320. [Google Scholar] [CrossRef]
- Chen, X.; Yu, K.; Du, W.; Zhao, W.; Liu, G. Parameters identification of solar cell models using generalized oppositional teaching learning-based optimization. Energy 2016, 99, 170–180. [Google Scholar] [CrossRef]
- Muhsen, D.H.; Ghazali, A.B.; Khatib, T.; Abed, I.A. Parameters extraction of double diode photovoltaic modules model based on hybrid evolutionary algorithm. Energy Convers. Manag. 2015, 105, 552–561. [Google Scholar] [CrossRef]
- Alam, D.; Yousri, D.; Eteiba, M. Flower pollination algorithm based solar PV parameter estimation. Energy Convers. Manag. 2015, 101, 410–422. [Google Scholar] [CrossRef]
- Oliva, D.; Cuevas, E.; Pajares, G. Parameter identification of solar cells using artificial bee colony optimization. Energy 2014, 72, 93–102. [Google Scholar] [CrossRef]
- Askarzadeh, A.; Rezazadeh, A. Artificial bee swarm optimization algorithm for parameters identification of solar cell models. Appl. Energy 2013, 102, 943–949. [Google Scholar] [CrossRef]
- Askarzadeh, A.; Rezazadeh, A. Parameter identification for solar cell models using harmony search-based algorithms. Sol. Energy 2012, 86, 3241–3249. [Google Scholar] [CrossRef]
- El-Naggar, K.M.; AlRashidi, M.R.; AlHajri, M.F.; Al-Othman, A.K. Simulated annealing algorithm for photovoltaic parameters identification. Sol. Energy 2012, 86, 266–274. [Google Scholar] [CrossRef]
- AlRashidi, M.; Alhajri, M.; El-Naggar, K.; Al-Othman, A. A new estimation approach for determining the I–V characteristics of solar cells. Sol. Energy 2011, 85, 1543–1550. [Google Scholar] [CrossRef]
- Ismail, M.S.; Moghavvemi, M.; Mahlia, T.M.I. Characterization of PV panel and global optimization of its model parameters using genetic algorithm. Energy Convers. Manag. 2013, 73, 10–25. [Google Scholar] [CrossRef]
- Askarzadeh, A.; Coelho, L.d.S. Determination of photovoltaic modules parameters at different operating conditions using a novel bird mating optimizer approach. Energy Convers. Manag. 2015, 89, 608–614. [Google Scholar] [CrossRef]
- Chin, V.J.; Salam, Z. A New Three-point-based Approach for the Parameter Extraction of Photovoltaic Cells. Appl. Energy 2019, 237, 519–533. [Google Scholar] [CrossRef]
- Murtaza, A.F.; Munir, U.; Chiaberge, M.; Di Leo, P.; Spertino, F. Variable parameters for a single exponential model of photovoltaic modules in crystalline-silicon. Energies 2018, 11, 2138. [Google Scholar] [CrossRef]
- Fathy, A.; Elaziz, M.A.; Sayed, E.T.; Olabi, A.; Rezk, H. Optimal parameter identification of triple-junction photovoltaic panel based on enhanced moth search algorithm. Energy 2019, 188, 116025. [Google Scholar] [CrossRef]
- Gao, X.; Cui, Y.; Hu, J.; Xu, G.; Wang, Z.; Qu, J.; Wang, H. Parameter extraction of solar cell models using improved shuffled complex evolution algorithm. Energy Convers. Manag. 2018, 157, 460–479. [Google Scholar] [CrossRef]
- Qais, M.H.; Hasanien, H.M.; Alghuwainem, S.; Nouh, A.S. Coyote optimization algorithm for parameters extraction of three-diode photovoltaic models of photovoltaic modules. Energy 2019, 187, 187. [Google Scholar] [CrossRef]
- Abbassi, R.; Abbassi, A.; Mohamed, J.; Chebbi, S. Identification of unknown parameters of solar cell models: A comprehensive overview of available approaches. Renew. Sustain. Energy Rev. 2018, 90, 453–474. [Google Scholar] [CrossRef]
- Chenouard, R.; El-Sehiemy, R.A. An interval branch and bound global optimization algorithm for parameter estimation of three photovoltaic models. Energy Convers. Manag. 2020, 205, 112400. [Google Scholar] [CrossRef]
- Zaky, A.A.; El Sehiemy, R.A.; Rashwan, Y.I.; Elhossieni, M.A.; Gkini, K.; Kladas, A.; Falaras, P. Optimal Performance Emulation of PSCs using the Elephant Herd Algorithm Associated with Experimental Validation. ECS J. Solid State Sci. Technol. 2019, 8, Q249–Q255. [Google Scholar] [CrossRef]
- Shaheen, A.M.; Ginidi, A.R.; El-Sehiemy, R.A.; Ghoneim, S.S.M. A Forensic-Based Investigation Algorithm for Parameter Extraction of Solar Cell models. IEEE Access 2021, 9, 1–20. [Google Scholar] [CrossRef]
- Elhosseini, M.A.; El-Sehiemy, R.A.; Rashwan, Y.I.; Gao, X. On the performance improvement of elephant herding optimization algorithm. Knowl.-Based Syst. 2019, 166, 58–70. [Google Scholar] [CrossRef]
- Abbas, A.S.; El-Sehiemy, R.A.; Abou El-Ela, A.; Ali, E.S.; Mahmoud, K.; Lehtonen, M.; Darwish, M.M.F. Optimal Harmonic Mitigation in Distribution Systems with Inverter Based Distributed Generation. Appl. Sci. 2021, 11, 774. [Google Scholar] [CrossRef]
- Barakat, A.F.; El Sehiemy, R.A.; Elsaid, M. Close Accord on Particle Swarm Optimization Variants for Solving Non-Linear Optimal Reactive Power Dispatch Problem. Int. J. Eng. Res. Afr. 2020, 46, 88–105. [Google Scholar] [CrossRef]
- El Sehiemy, R.A.; Selim, F.; Bentouati, B.; Abido, M. A novel multi-objective hybrid particle swarm and salp optimization algorithm for technical-economical-environmental operation in power systems. Energy 2020, 193, 116817. [Google Scholar] [CrossRef]
- Abou-El-Ela, A.A.; El-Sehiemy, R.A. Optimized generation costs using a modified particle swarm optimization version. In Proceedings of the 2008 12th International Middle-East Power System Conference, Aswan, Egypt, 12–15 March 2008; pp. 420–424. [Google Scholar]
- Abou El-Ela, A.A.; El-Sehiemy, R.A.; El-Ayaat, N.K. Multi-objective Binary Particle Swarm optimization Algorithm for Optimal Distribution System Reconfiguration. In Proceedings of the 2019 21st International Middle East Power Systems Conference (MEPCON), Cairo, Egypt, 17–19 December 2019; pp. 435–440. [Google Scholar]
- Easwarakhanthan, T.; Bottin, J.; Bouhouch, I.; Boutrit, C. Nonlinear minimization algorithm for determining the solar cell parameters with microcomputers. J. Sol. Energy 1986, 4, 1–12. [Google Scholar] [CrossRef]














| Cell | Irradiance Level (W/m2) | VOC (V) | ISC (A) | PMP (W) | FF |
|---|---|---|---|---|---|
| Q6-1380 | 98.4 | 0.467 | 0.01936 | 0.004883 | 0.5401 |
| CS6P-240P solar module | 109.2 | 32.1 | 0.9968 | 23.71 | 0.7410 |
| 246.65 | 32.56 | 2.138 | 51.35 | 0.7376 | |
| 347.8 | 32.91 | 3.035 | 76 | 0.7609 | |
| R.T.C. France | 1000 | 0.5731 | 0.7602 | 0.3115 | 0.7150 |
| Method | Model | IPV (mA) | ID1 (μA) | η1 | ID2 (mA) | η2 | RGB (Ω) | RP (Ω) | RS (Ω) | ID3 (μA) | η3 |
|---|---|---|---|---|---|---|---|---|---|---|---|
| CLPSO | MDDM | 19.34 | 5.7555 × 10−5 | 1.2323 | 0.6279 | 4.2417 | 0.65384 | 423.4 | 0.21658 | - | - |
| MTDM | 19.48 | 0.002791 | 3.0581 | 0. 3057 | 3.5606 | 0.58204 | 699.728 | 0.202375 | 13.134 | 3.9793 | |
| EHO | MDDM | 19.49 | 0.1 × 10−6 | 1.313 | 0.1662 | 3.157 | 0.01371 | 479.5 | 0.7651 | - | - |
| MTDM | 19.45 | 0.001865 | 4.462 | 0.2303 | 3.288 | 0.40685 | 678.37 | 0.20802 | 0.7761 | 4.09837 |
| Method | Model | Best OF | Worst OF | Average OF | Standard Deviation |
|---|---|---|---|---|---|
| CLPSO | MDDM | 8.7545 × 10−5 | 0.0030 | 0.0014 | 6.3378 × 10−4 |
| MTDM | 5.9516 × 10−5 | 0.0012 | 5.6233 × 10−4 | 2.5014 × 10−4 | |
| EHO | MDDM | 1.823 × 10−5 | 8.346 × 10−4 | 2.54 × 10−4 | 2.179 × 10−4 |
| MTDM | 1.4386 × 10−5 | 8.3759 × 10−4 | 2.16428 × 10−4 | 2.1835 × 10−4 |
| Rad. (W/m2) | Temp. K | Model | IPV (A) | IS1 (μA) | η1 | IS2 (mA) | η2 | RGB (Ω) | RP (Ω) | RS (Ω) | IS3 (μA) | η3 |
|---|---|---|---|---|---|---|---|---|---|---|---|---|
| 109.2 | 310.32 | MDDM | 0.99369 | 0.00121 | 1 | 0.00585 | 1 | 0.8315909 | 500 | 0.2902543 | - | - |
| MTDM | 0.99663 | 0.00448 | 1.0003 | 0.00252 | 1.061346 | 0.03831 | 466.13 | 0.733825 | 0.0001567 | 3.24194 | ||
| 246.65 | 313.05 | MDDM | 2.1378 | 12.9450 | 1.6304 | 0.09444 | 1.1639 | 0.08289934 | 1275.63 | 0.1444726 | - | - |
| MTDM | 2.1468 | 0.0585 | 1.1163 | 5.29056 | 1.5686 | 0.26401 | 624.954 | 0.294834 | 308.683 | 4.9497 | ||
| 347.8 | 316.95 | MDDM | 3.0285 | 0.015325 | 1 | 494.529 | 3.1334 | 0.0002 | 2166.53 | 0.4051 | - | - |
| MTDM | 3.03152 | 0.015468 | 1 | 2756.733 | 4.5081 | 0.4 | 2393.82 | 0.4089 | 1.239556 | 4.2 |
| Rad. Level (W/m2) | Temp. K | Model | Best OF | Worst OF | Average OF | Standard Deviation |
|---|---|---|---|---|---|---|
| 109.2 | 310.32 | MDDM | 0.0013393 | 0.0301053 | 0.0094614 | 0.0075341 |
| MTDM | 9.6257× 10−4 | 0.0274230 | 0.0073408 | 0.0038365 | ||
| 246.65 | 313.05 | MDDM | 0.0055185 | 0.0245609 | 0.0102117 | 0.0053391 |
| MTDM | 0.00385204 | 0.0138737 | 0.0096288 | 0.0023624 | ||
| 347.8 | 316.95 | MDDM | 0.00385204 | 0.128555 | 0.020738 | 0.020095 |
| MTDM | 0.0029326 | 0.277865 | 0.038963 | 0.053252 |
| Rad. (W/m2) | Model | IPV (A) | IS1 (μA) | η1 | IS2 (mA) | η2 | RGB (Ω) | RP (Ω) | RS (Ω) | IS3 (μA) | η3 |
|---|---|---|---|---|---|---|---|---|---|---|---|
| 1000 | MDDM | 0.76001 | 0.25447 | 1.3233 | 0.30651 | 3.2911 | 0.26254 | 3740.8 | 0.03848 | ---- | ---- |
| MTDM | 0.76132 | 0.38105 | 1.3553 | 1.4513 | 4.99 | 0.01191 | 581 | 0.03806 | 3.3132 | 5.091 |
| Rad. Level (W/m2) | Model | Best OF | Worst OF | Average OF | Standard Deviation |
|---|---|---|---|---|---|
| 1000 | MDDM | 0.001557 | 0.0132005 | 0.0065934 | 0.0037673 |
| MTDM | 0.001233 | 0.0131253 | 0.0059761 | 0.0039343 |
| Cell | Irradiation level (W/m2) | FPA [16] | DEIM [16] | MFO [16] | Proposed EHO |
|---|---|---|---|---|---|
| Q6-1380 | 98.4 | ||||
| CS6P-240P solar module | 109.2 | 0.007205 | 0.005721 | 0.005326 | 0.0013393 |
| 246.65 | 0.01886 | 0.01685 | 0.013537 | 0.0055185 | |
| 347.8 | 0.020247 | 0.017053 | 0.016583 | 0.00385204 |
Publisher’s Note: MDPI stays neutral with regard to jurisdictional claims in published maps and institutional affiliations. |
© 2021 by the authors. Licensee MDPI, Basel, Switzerland. This article is an open access article distributed under the terms and conditions of the Creative Commons Attribution (CC BY) license (http://creativecommons.org/licenses/by/4.0/).
Share and Cite
Bayoumi, A.S.; El-Sehiemy, R.A.; Mahmoud, K.; Lehtonen, M.; Darwish, M.M.F. Assessment of an Improved Three-Diode against Modified Two-Diode Patterns of MCS Solar Cells Associated with Soft Parameter Estimation Paradigms. Appl. Sci. 2021, 11, 1055. https://doi.org/10.3390/app11031055
Bayoumi AS, El-Sehiemy RA, Mahmoud K, Lehtonen M, Darwish MMF. Assessment of an Improved Three-Diode against Modified Two-Diode Patterns of MCS Solar Cells Associated with Soft Parameter Estimation Paradigms. Applied Sciences. 2021; 11(3):1055. https://doi.org/10.3390/app11031055
Chicago/Turabian StyleBayoumi, Ahmed S., Ragab A. El-Sehiemy, Karar Mahmoud, Matti Lehtonen, and Mohamed M. F. Darwish. 2021. "Assessment of an Improved Three-Diode against Modified Two-Diode Patterns of MCS Solar Cells Associated with Soft Parameter Estimation Paradigms" Applied Sciences 11, no. 3: 1055. https://doi.org/10.3390/app11031055
APA StyleBayoumi, A. S., El-Sehiemy, R. A., Mahmoud, K., Lehtonen, M., & Darwish, M. M. F. (2021). Assessment of an Improved Three-Diode against Modified Two-Diode Patterns of MCS Solar Cells Associated with Soft Parameter Estimation Paradigms. Applied Sciences, 11(3), 1055. https://doi.org/10.3390/app11031055

