Sign in to use this feature.

Years

Between: -

Subjects

remove_circle_outline
remove_circle_outline
remove_circle_outline
remove_circle_outline
remove_circle_outline
remove_circle_outline
remove_circle_outline
remove_circle_outline
remove_circle_outline

Journals

Article Types

Countries / Regions

remove_circle_outline
remove_circle_outline
remove_circle_outline
remove_circle_outline

Search Results (571)

Search Parameters:
Keywords = BRAF inhibitor

Order results
Result details
Results per page
Select all
Export citation of selected articles as:
17 pages, 1483 KB  
Review
From Molecular Alterations to the Targeted Therapy: Treatment of Thalamic Glioma in Pediatric Patients
by Yasin Yilmaz
Int. J. Mol. Sci. 2026, 27(2), 695; https://doi.org/10.3390/ijms27020695 - 9 Jan 2026
Abstract
Thalamic gliomas are among the most challenging pediatric brain tumors due to the delicate functions of the thalamus. Limited surgical intervention leads to the use of adjuvant therapies, including targeted therapy. Thalamic gliomas can be divided into two distinct groups: diffuse midline glioma [...] Read more.
Thalamic gliomas are among the most challenging pediatric brain tumors due to the delicate functions of the thalamus. Limited surgical intervention leads to the use of adjuvant therapies, including targeted therapy. Thalamic gliomas can be divided into two distinct groups: diffuse midline glioma (DMG) and low-grade glioma (LGG). The most common mutations that can be targeted for treatment are the KIAA1549-BRAF fusion; BRAF V600E mutation; EGFR, FGFR, PDGFR, NTRK, and CDK4/6 mutations; other MAP kinase pathway alterations; and PI3K/AKT/mTOR activation. The bithalamic high-grade glioma especially demonstrates EGFR mutations which makes it a distinct entity. Targeted therapy, including tyrosine kinas inhibitors has been shown to improve the overall survival compared to conventional therapy in certain situations. Demonstrating the mutation carried by the tumor is very critical in this regard. The purpose of this article is to focus on the treatment of thalamic glioma in pediatric patients in light of molecular information. Full article
Show Figures

Figure 1

29 pages, 1038 KB  
Review
Targeting the MAPK Pathway in Brain Tumors: Mechanisms and Therapeutic Opportunities
by Dimitrios Vrachas, Elisavet Kosma, Angeliki-Ioanna Giannopoulou, Angeliki Margoni, Antonios N. Gargalionis, Elias A. El-Habr, Christina Piperi and Christos Adamopoulos
Cancers 2026, 18(1), 156; https://doi.org/10.3390/cancers18010156 - 2 Jan 2026
Viewed by 275
Abstract
Central nervous system (CNS) tumors consist of a diverse set of malignancies that remain clinically challenging due to their biological complexity, high morbidity, and limited responsiveness to current therapies. A growing body of genomic evidence has revealed that dysregulation of the mitogen-activated protein [...] Read more.
Central nervous system (CNS) tumors consist of a diverse set of malignancies that remain clinically challenging due to their biological complexity, high morbidity, and limited responsiveness to current therapies. A growing body of genomic evidence has revealed that dysregulation of the mitogen-activated protein kinase (MAPK) signaling pathway is a recurrent and unifying characteristic across many pediatric and adult CNS tumor entities. Alterations affecting upstream receptor tyrosine kinases (RTKs), RAS GTPases, RAF kinases, and other associated regulators contribute to MAPK signaling pathway hyperactivation, shaping tumor behavior, therapy response and resistance. These aberrations ranging from hotspot mutations such as BRAF V600E and oncogenic fusions like BRAF–KIAA1549 are particularly enriched in gliomas and glioneuronal tumors, highlighting MAPK signaling as a key oncogenic driver. The expanding availability of molecularly targeted compounds, including selective inhibitors of RAF, MEK and ERK, has begun to transform treatment approaches for specific molecular subtypes. However, the clinical benefit of MAPK-directed therapies is frequently limited by restricted blood–brain barrier (BBB) penetration, intratumoral heterogeneity, parallel pathway reactivation, and an immunosuppressive tumor microenvironment (TME). In this review, we synthesize current knowledge on MAPK pathway alterations in CNS tumors and evaluate the therapeutic landscape of MAPK inhibition, with emphasis on approved agents, emerging compounds, combination strategies, and novel drug-delivery technologies. We also discuss mechanisms that undermine treatment efficacy and highlight future directions aimed at integrating MAPK-targeted therapy into precision-based management of brain tumors. Full article
(This article belongs to the Special Issue Insights from the Editorial Board Member)
Show Figures

Figure 1

13 pages, 280 KB  
Review
Review of Genomic Drivers of Thyroid Cancer and Their Clinical Implications
by Sobrina Mohammed, Daniel Mettman, Axel Hugo Breier, Vaishali Patel and Mariana Garcia-Touza
Genes 2026, 17(1), 36; https://doi.org/10.3390/genes17010036 - 30 Dec 2025
Viewed by 245
Abstract
Over the past several decades, rapid advances in molecular genomics have transformed our understanding of thyroid malignancies and are increasingly integrated into international clinical guidelines. Mutational profiles and epigenetic events are now recognized not only as diagnostic and prognostic tools but also as [...] Read more.
Over the past several decades, rapid advances in molecular genomics have transformed our understanding of thyroid malignancies and are increasingly integrated into international clinical guidelines. Mutational profiles and epigenetic events are now recognized not only as diagnostic and prognostic tools but also as predictors of therapeutic response. Papillary, follicular, oncocytic, medullary, and anaplastic thyroid carcinomas harbor distinct early driver mutations, such as BRAFV600E, RAS, and fusion events (RET, NTRK, and ALK), that cooperate with secondary alterations (TERT promoter, TP53, PIK3CA, and CDKN2A/B loss) to drive dedifferentiation, metastasis, and therapeutic resistance. Insights from The Cancer Genome Atlas (TCGA) and transcriptomic scoring systems (e.g., BRAF–RAS score) now link genotype to tumor morphology, metastatic tropism, and radioactive iodine refractoriness. These molecular insights have been incorporated into updated risk stratification frameworks, preoperative surgical planning, and treatment algorithms, informing the selection of kinase inhibitors, redifferentiation strategies, and enrollment in genotype-directed clinical trials for radioiodine-refractory disease. This review synthesizes recent evidence connecting genomic alterations to clinical behavior and highlights their translation into evolving approaches for thyroid cancer management. Full article
(This article belongs to the Special Issue Genetics in Thyroid Cancer)
17 pages, 1647 KB  
Article
Inhibitors of De Novo Guanylate Biosynthesis Enhance the Potency of MAPK Cascade Inhibitors Against Colorectal Cancer
by Alexei A. Maslov, Nicholas H. Trageser, Julia V. Kichina, Haya Elamir, Evelyn Gardner, Frances Teaman, Vera Vishwanath, Scott M. Dugas, Anna Bianchi-Smiraglia, Katerina I. Leonova, Katerina V. Gurova, Mikhail A. Nikiforov and Eugene S. Kandel
Int. J. Mol. Sci. 2025, 26(24), 11959; https://doi.org/10.3390/ijms262411959 - 11 Dec 2025
Viewed by 361
Abstract
Despite continuing improvement in the standard of care, the clinical outcomes in metastatic colorectal cancer (CRC) remain poor, especially among patients whose tumors carry activating mutations in BRAF or RAS-family oncogenes. These mutations initiate a series of oncogenic signal transduction events, known as [...] Read more.
Despite continuing improvement in the standard of care, the clinical outcomes in metastatic colorectal cancer (CRC) remain poor, especially among patients whose tumors carry activating mutations in BRAF or RAS-family oncogenes. These mutations initiate a series of oncogenic signal transduction events, known as the mitogen-activated protein kinase (MAPK) cascade. While therapeutic targeting of this pathway achieved impressive results in other malignancies, the effectiveness of this approach remains low in CRC. In the current study, we observed that inhibitors of GTP production synergize with various inhibitors of the MAPK cascade in suppressing a variety of CRC cell lines. Furthermore, we discovered that an inhibitor of guanylate biosynthesis increases the efficacy of MAPK cascade inhibitors against human CRC grown in mice. Moreover, a combination of MEK and guanylate biosynthesis inhibitors is more potent than the MEK inhibitor alone in increasing the efficacy of immune therapy in an immunocompetent mouse model. Considering that guanylate biosynthesis inhibitors are already used in clinical practice for other applications, their use in synergistic combinations with the inhibitors of the MAPK cascade may present an actionable strategy to increase the efficacy of the latter. Full article
(This article belongs to the Special Issue Novel Therapeutic Targets in Cancers: 4th Edition)
Show Figures

Figure 1

17 pages, 838 KB  
Review
Dedifferentiation and Redifferentiation of Follicular-Cell-Derived Thyroid Carcinoma: Mechanisms and Therapeutic Implications
by You He, Zimei Tang, Ming Xu and Tao Huang
Biomedicines 2025, 13(12), 2982; https://doi.org/10.3390/biomedicines13122982 - 4 Dec 2025
Viewed by 686
Abstract
Follicular-cell-derived thyroid carcinoma, while typically associated with a favorable prognosis, can undergo dedifferentiation into poorly differentiated (PDTC) or anaplastic thyroid carcinoma (ATC), leading to enhanced aggressiveness and radioiodine resistance. This review systematically examines the genetic and molecular mechanisms driving this pathological progression, highlighting [...] Read more.
Follicular-cell-derived thyroid carcinoma, while typically associated with a favorable prognosis, can undergo dedifferentiation into poorly differentiated (PDTC) or anaplastic thyroid carcinoma (ATC), leading to enhanced aggressiveness and radioiodine resistance. This review systematically examines the genetic and molecular mechanisms driving this pathological progression, highlighting the roles of key mutations—such as BRAF, RAS, TERT, and TP53—and the disregulation of signaling pathways, including MAPK and PI3K/AKT. These alterations promote the loss of thyroid-specific functions, including iodide metabolism, and correlate with poor clinical outcomes. In recent years, therapeutic strategies aimed at tumor redifferentiation have emerged as a promising approach for radioiodine-refractory disease. We summarize recent advances in the use of targeted agents, particularly BRAF and MEK inhibitors, to restore radioiodine avidity and improve treatment response. While early clinical studies show encouraging results, including tumor shrinkage and restored RAI uptake in selected patients, challenges such as treatment resistance and patient selection remain. Future efforts should focus on refining molecular stratification, developing rational combination therapies, and integrating novel modalities such as immunotherapy to overcome resistance. A deeper understanding of redifferentiation mechanisms not only provides insights into thyroid cancer progression but also supports the development of personalized treatment strategies for high-risk patients. Full article
Show Figures

Figure 1

24 pages, 1522 KB  
Review
The Current Role of Antiangiogenics in Colorectal Cancer
by Debora Basile, Paola Di Nardo, Maria Grazia Daffinà, Carla Cortese, Jacopo Giuliani and Giuseppe Aprile
Int. J. Mol. Sci. 2025, 26(23), 11605; https://doi.org/10.3390/ijms262311605 - 29 Nov 2025
Viewed by 564
Abstract
Colorectal carcinoma (CRC) represents the third most common cancer worldwide. Approximately 20% of patients present with metastatic disease at diagnosis, and 30–50% experience disease recurrence over time. For metastatic CRC (mCRC), the standard treatment consists of chemotherapy combined with a targeted agent based [...] Read more.
Colorectal carcinoma (CRC) represents the third most common cancer worldwide. Approximately 20% of patients present with metastatic disease at diagnosis, and 30–50% experience disease recurrence over time. For metastatic CRC (mCRC), the standard treatment consists of chemotherapy combined with a targeted agent based on molecular profile, such as RAS, BRAF, and MSI status. Anti-angiogenic drugs, which inhibit the formation of new blood vessels, have an established role in the management of mCRC. Mounting evidence highlights the critical interplay among angiogenesis, hypoxia, and the immune response in tumor progression. These insights have paved the way for testing novel combinations and molecules to control cancer progression. In particular, combining anti-angiogenic agents with immune checkpoint inhibitors has shown promise in improving outcomes for mCRC patients. Among emerging therapies, the novel anti-angiogenic agent fruquintinib has recently demonstrated clinical efficacy in the treatment of mCRC. Based on the data discussed in the present narrative review, the therapeutic landscape of mCRC appears poised for significant evolution in the near future. While numerous challenges and unanswered questions remain, the emergence of innovative therapeutic combinations and agents provides a promising opportunity for improving patient outcomes in mCRC. Full article
Show Figures

Figure 1

19 pages, 1605 KB  
Review
Toward Personalized Response Monitoring in Melanoma Patients Treated with Immunotherapy and Target Therapy
by Federico Venturi, Elisabetta Magnaterra, Alberto Gualandi, Biagio Scotti, Carlotta Baraldi, Aurora Maria Alessandrini, Leonardo Veneziano, Elena Maria Cama, Barbara Melotti, Paola Valeria Marchese, Daniela Tassone, Simone Ribero, Marco Ardigò and Emi Dika
Diagnostics 2025, 15(23), 3054; https://doi.org/10.3390/diagnostics15233054 - 29 Nov 2025
Viewed by 607
Abstract
Background/Objectives: Immunotherapy and targeted therapy have revolutionized the treatment of advanced cutaneous melanoma. However, predicting individual response and managing resistance remain major challenges. This narrative review aims to evaluate the prognostic and predictive value of treatment-related adverse events (TRAEs) and circulating biomarkers—including lactate [...] Read more.
Background/Objectives: Immunotherapy and targeted therapy have revolutionized the treatment of advanced cutaneous melanoma. However, predicting individual response and managing resistance remain major challenges. This narrative review aims to evaluate the prognostic and predictive value of treatment-related adverse events (TRAEs) and circulating biomarkers—including lactate dehydrogenase (LDH), circulating tumor DNA (ctDNA), and microRNAs (miRNAs)—in anticipating therapeutic outcomes and personalizing treatment strategies. Methods: A comprehensive literature search was conducted across PubMed, Scopus, and Web of Science for studies published between January 2010 and September 2025. Eligible studies included clinical trials, observational cohorts, and translational research evaluating biomarkers or toxicity profiles in melanoma patients receiving immune checkpoint inhibitors or BRAF/MEK inhibitors. Emphasis was placed on dynamic indicators of treatment efficacy and integrative modeling approaches. Results: Evidence indicates that the emergence of low-to-moderate grade TRAEs—especially immune-related events like vitiligo, thyroiditis, and rash—is positively associated with response to immunotherapy. Similarly, pyrexia and dermatologic toxicities may correlate with outcomes under BRAF/MEK inhibition. ctDNA clearance within 6–12 weeks of therapy strongly predicts durable response and precedes radiologic changes. Specific miRNAs (e.g., miR-21-5p, miR-146a-5p) demonstrate dynamic modulation during treatment and may signal response or resistance. Interferon-driven gene expression profiles further stratify tumors into “hot” or “cold” immune phenotypes, refining predictive accuracy. Conclusions: Integrative models combining TRAEs, ctDNA, miRNA signatures, and interferon-related gene expression offer a multi-dimensional framework for early, individualized response monitoring. Prospective validation, harmonization of assays, and incorporation into adaptive clinical workflows are key to translating these insights into personalized melanoma care. Full article
Show Figures

Figure 1

25 pages, 2548 KB  
Article
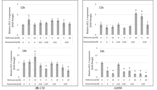
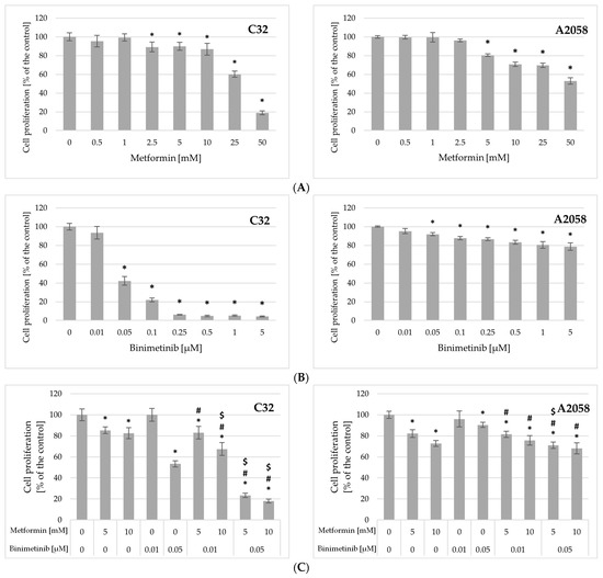
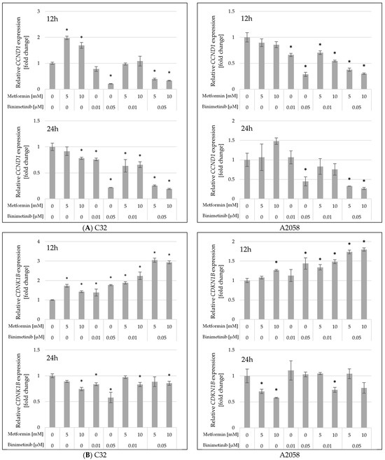
Antitumor Activity of Metformin in Combination with Binimetinib Against Melanoma Cells
by Radosław Wolan, Joanna Wawszczyk, Arkadiusz Orchel and Małgorzata Kapral
Int. J. Mol. Sci. 2025, 26(23), 11403; https://doi.org/10.3390/ijms262311403 - 25 Nov 2025
Viewed by 372
Abstract
Malignant melanoma is skin cancer with high metastatic potential and resistance to treatment. Significant progress has been made following the introduction of its treatment kinase inhibitors such as binimetinib. Some studies suggested that the combination of metformin with BRAF/MEK inhibitors suppresses cancer cell [...] Read more.
Malignant melanoma is skin cancer with high metastatic potential and resistance to treatment. Significant progress has been made following the introduction of its treatment kinase inhibitors such as binimetinib. Some studies suggested that the combination of metformin with BRAF/MEK inhibitors suppresses cancer cell growth and progression. This study aimed to assess the impact of metformin and binimetinib, both individually and in combination, on the growth, proliferation, and apoptosis of melanoma cells in vitro. The study also sought to predict potential interactions between metformin and binimetinib when co-administered employing in silico analysis. Cell growth and proliferation of melanoma cells exposed to metformin and binimetinib, alone and in combination, were determined by SRB and BRDU assays. Further investigations were performed using real-time RT-qPCR and ELISA method. These results revealed that the simultaneous use of metformin and binimetinib exerted an additive or synergistic inhibitory effect on melanoma cell growth. The concomitant effect of both compounds depended on the concentrations used and was caused by the reduced proliferation and/or increased apoptosis of melanoma cancer cells. In conclusion, the combination of metformin and binimetinib may have potential anticancer effects on melanoma cells; however, more studies are needed to elucidate the exact mechanisms of their combined action. Full article
Show Figures

Figure 1

19 pages, 1537 KB  
Review
Comparative Insights into Cutaneous, Mucosal, and Vulvovaginal Melanomas: Biology, Targeted Therapies, and Survival with a Focus on Immune Checkpoint Inhibitors
by Danielle Christmas, Christina Pappa, Catherine Howell, Mohammad Daas, Keith Howell, Sunanda Dhar, Binamra Sigdel, Sanjiv Manek and Moiad Alazzam
J. Pers. Med. 2025, 15(11), 551; https://doi.org/10.3390/jpm15110551 - 12 Nov 2025
Viewed by 694
Abstract
Background/Objectives: Melanoma is a malignant tumour of melanocytes. Cutaneous melanoma accounts for the vast majority of cases and has benefitted from advances in targeted and immune checkpoint inhibitor therapies, leading to substantial improvements in survival. In contrast, mucosal and vulvovaginal melanomas are [...] Read more.
Background/Objectives: Melanoma is a malignant tumour of melanocytes. Cutaneous melanoma accounts for the vast majority of cases and has benefitted from advances in targeted and immune checkpoint inhibitor therapies, leading to substantial improvements in survival. In contrast, mucosal and vulvovaginal melanomas are rare, aggressive subtypes with distinct molecular and immune profiles and poor prognoses. This review synthesises evidence comparing cutaneous, mucosal, and vulvovaginal melanoma, with emphasis on biology, treatment, and outcomes Methods: A narrative comparative review was undertaken, examining the published literature on the epidemiology, molecular and immune characteristics, and treatment outcomes of cutaneous, mucosal, and vulvovaginal melanoma, including systemic therapies and surgical approaches. Results: Cutaneous melanoma demonstrates high tumour mutational burden and frequent BRAF and NRAS mutations, underpinning the success of targeted therapy and immunotherapy. Mucosal and vulvovaginal melanomas exhibit lower mutational burden, distinct mutation patterns, and reduced immunogenicity, correlating with poorer treatment responses. Surgery remains the mainstay of management, though optimal margins in vulvovaginal melanoma are unclear. Recurrence rates are high, and five-year survival remains poor. Evidence for systemic therapy is limited to small retrospective cohorts and subgroup analyses, showing lower response and survival rates compared with cutaneous melanoma. Chemotherapy has minimal benefit. Conclusions: Mucosal and vulvovaginal melanomas are biologically and clinically distinct from cutaneous melanoma and continue to have poor survival outcomes. Their rarity restricts high-quality evidence, highlighting the need for collaborative, innovative research to inform effective treatment strategies. Full article
(This article belongs to the Special Issue Clinical Updates and Challenges of Gynecological Cancers)
Show Figures

Figure 1

13 pages, 964 KB  
Article
Antibiotic Exposure Does Not Impact Anti-BRAF/Anti-MEK Targeted Therapy Outcome in Patients with Advanced Melanoma
by Yu Shi Wang, Qing Yin Wang, Alexia Erika Moise, Hamida Claudia Syed, Julie Malo, Spencer Soberano, Wiam Belkaid, Meriem Messaoudene, Karl Bélanger, Antoine Desilets, Rahima Jamal, Bertrand Routy and Arielle Elkrief
Curr. Oncol. 2025, 32(11), 630; https://doi.org/10.3390/curroncol32110630 - 10 Nov 2025
Viewed by 578
Abstract
The gut microbiome is an established predictor of response to immune checkpoint inhibitors (ICI) in melanoma, and antibiotic exposure prior to ICI initiation is a validated negative prognostic factor. About half of melanoma patients harbor BRAF mutations and are treated with BRAF/MEK inhibitors [...] Read more.
The gut microbiome is an established predictor of response to immune checkpoint inhibitors (ICI) in melanoma, and antibiotic exposure prior to ICI initiation is a validated negative prognostic factor. About half of melanoma patients harbor BRAF mutations and are treated with BRAF/MEK inhibitors (BRAFi/MEKi). While the detrimental impact of antibiotics is well described in the ICI setting, their effect on BRAFi/MEKi efficacy remains unknown. We retrospectively analyzed 49 advanced BRAF-mutant melanoma patients treated with BRAFi/MEKi. Antibiotic-exposed patients were compared with non-exposed patients across three time windows: within 30, 60, or 90 days before and after therapy initiation. Outcomes included progression-free survival (PFS), overall survival (OS), and overall response rate (ORR). Among the cohort, 41% had antibiotic exposure within ±30 days, 53% within ±60 days, and 57% within ±90 days. Baseline characteristics were comparable between groups, except for worse ECOG scores in antibiotic-exposed patients. Across all windows, ORR, PFS, and OS were comparable between groups. Unlike what was observed in the ICI setting, antibiotic use did not negatively affect outcomes with BRAFi/MEKi. Despite small sample size, these findings suggest that the detrimental prognostic impact of antibiotics is specific to immunotherapy, highlighting the importance of evaluating the microbiome as a predictive biomarker across treatment contexts. Full article
(This article belongs to the Special Issue Advances in Melanoma: From Pathogenesis to Personalized Therapy)
Show Figures

Graphical abstract

34 pages, 1572 KB  
Review
Pathway-Specific Therapeutic Modulation of Melanoma: Small-Molecule Inhibition of BRAF–MEK and KIT Signaling in Contemporary Precision Oncology with a Special Focus on Vemurafenib, Trametinib, and Imatinib
by Piotr Kawczak and Tomasz Bączek
J. Clin. Med. 2025, 14(22), 7906; https://doi.org/10.3390/jcm14227906 - 7 Nov 2025
Cited by 1 | Viewed by 1067
Abstract
Melanoma is an aggressive form of skin cancer marked by unique genetic alterations that promote tumor growth and resistance to therapy. Advances in targeted therapy have markedly improved clinical outcomes by selectively inhibiting key oncogenic pathways. This review focuses on three clinically relevant [...] Read more.
Melanoma is an aggressive form of skin cancer marked by unique genetic alterations that promote tumor growth and resistance to therapy. Advances in targeted therapy have markedly improved clinical outcomes by selectively inhibiting key oncogenic pathways. This review focuses on three clinically relevant agents—vemurafenib, trametinib, and imatinib—analyzing their mechanisms of action, clinical applications, efficacy, and limitations. Vemurafenib, a selective BRAFV600E inhibitor, significantly extends progression-free and overall survival in BRAF-mutant melanoma but is limited by acquired resistance and frequent cutaneous toxicities. Trametinib, a MEK1/2 inhibitor, acts downstream in the MAPK pathway and is typically combined with BRAF inhibitors to enhance efficacy and delay resistance. Imatinib, targeting c-KIT and PDGFR mutations, demonstrates therapeutic benefit primarily in acral and mucosal melanoma subtypes, though with lower response rates than BRAF-directed therapies. Adverse events associated with these drugs are generally manageable with appropriate monitoring. Despite substantial advances, secondary mutations and reactivation of oncogenic signaling remain major challenges. This narrative review integrates data from clinical, preclinical, and real-world studies to update the current understanding of targeted therapies in cutaneous melanoma and highlight ongoing research aimed at overcoming resistance and optimizing personalized treatment strategies. Full article
(This article belongs to the Special Issue Clinical Advances in the Management of Melanoma)
Show Figures

Figure 1

20 pages, 3826 KB  
Article
MicroRNA Signatures in Serous Ovarian Cancer: A Comparison of Prognostic Marker Targets in African Americans and Caucasians
by Jane M. Muinde, Celina Romi Yamauchi, Joseph Cruz, Alena A. McQuarter, Kyah Miller, Umang Sharma, Skyler Schiff, Isaac Kremsky, Saied Mirshahidi, Cody S. Carter and Salma Khan
Diseases 2025, 13(11), 360; https://doi.org/10.3390/diseases13110360 - 6 Nov 2025
Viewed by 765
Abstract
Background: Ovarian cancer (OC) is the second most common gynecologic malignancy in the United States and remains the leading cause of death among cancers of the female reproductive system. Alarmingly, mortality rates have risen disproportionately among women of African ancestry compared to those [...] Read more.
Background: Ovarian cancer (OC) is the second most common gynecologic malignancy in the United States and remains the leading cause of death among cancers of the female reproductive system. Alarmingly, mortality rates have risen disproportionately among women of African ancestry compared to those of European or Asian descent. Identifying microRNA (miRNA) signatures that contribute to these disparities may enhance prognostic accuracy and inform personalized therapeutic strategies. Methods: In this study, we identified prognostic markers of overall survival in serous ovarian cancer (SOC) using data from The Cancer Genome Atlas (TCGA) and the Human Protein Atlas. Integrative bioinformatic analyses revealed three key prognostic genes—TIMP3 (Tissue Inhibitor of Metalloproteinases-3), BRAF (v-raf murine sarcoma viral oncogene homolog B), and ITGB1 (Integrin Beta-1)—as critical molecular determinants associated with survival in patients with SOC. Candidate miRNAs regulating these genes were predicted using TargetScanHuman v8.0, identifying a core regulatory set comprising miR-192, miR-30d, miR-16-5p, miR-143-3p, and miR-20a-5p. To validate their clinical relevance, formalin-fixed, paraffin-embedded (FFPE) and fresh SOC tumor samples were obtained from African American and Caucasian patients who underwent surgery at Loma Linda University (LLU) between 2010 and 2023. Results and Discussion: Among all these, ITGB1 (p = 0.00033), TIMP3 (p = 0.0035), and BRAF (p = 0.026) emerged as statistically significant predictors. Following total RNA extraction, cDNA synthesis, and quantitative reverse transcription PCR (qRT-PCR), the expression levels of these miRNAs and their target genes were quantified. In the LLU cohort, ITGB1 and TIMP3 were significantly upregulated in African American patients compared to Caucasian patients (p < 0.01 and p < 0.02, respectively). Among the miRNAs, miR-192-5p was particularly noteworthy, showing marginally differential expression in LLU samples (p = 0.0712) but strong statistical significance in the TCGA cohort (p = 0.00013), where elevated expression correlated with poorer overall survival (p = 0.021). Pathway enrichment and gene ontology analyses (miRTargetLink2.0, Enrichr) revealed interconnected regulatory networks linking miR-192, miR-16-5p, miR-143-3p, and miR-20a-5p to ITGB1; miR-143-3p/miR-145-5p to BRAF; and miR-16-5p and miR-30c/d to TIMP3. Conclusions: Collectively, these findings identify distinct miRNA–mRNA regulatory signatures—particularly the miR-192-5p–ITGB1/TIMP3 axis—as potential clinically relevant biomarkers that may contribute to racial disparities and disease progression in ovarian cancer. Full article
Show Figures

Figure 1

16 pages, 502 KB  
Review
Melanoma in Women of Reproductive Age: From Awareness and Prevention to Pregnancy-Associated Management
by Martyna Różańska, Karolina Orda, Agata Góral, Karolina Niewola, Magdalena Łyko and Alina Jankowska-Konsur
Cancers 2025, 17(21), 3528; https://doi.org/10.3390/cancers17213528 - 31 Oct 2025
Viewed by 749
Abstract
Melanoma poses a growing concern for women of reproductive age, especially during pregnancy, when physiological changes can influence disease presentation and management. While women generally engage more in protective behaviors than men, significant disparities in awareness and preventive practices persist, particularly among racial [...] Read more.
Melanoma poses a growing concern for women of reproductive age, especially during pregnancy, when physiological changes can influence disease presentation and management. While women generally engage more in protective behaviors than men, significant disparities in awareness and preventive practices persist, particularly among racial and ethnic minorities. Pregnancy-associated hormonal and mechanical changes may alter the morphology of nevi, necessitating vigilant dermatologic monitoring. Photoprotection strategies should prioritize safety for both mother and fetus, emphasizing mineral-based sunscreens and behavioral interventions. Although standard diagnostic and treatment approaches remain broadly applicable during pregnancy, advanced melanoma presents unique therapeutic challenges. Targeted therapies like BRAF inhibitors may offer maternal benefits in selected cases, although data are limited, whereas immunotherapies require cautious consideration due to potential fetal risks. Ultimately, optimal care of melanoma during pregnancy demands a multidisciplinary approach that integrates dermatologic, obstetric, oncologic, and pediatric expertise to balance maternal health needs with fetal safety. This review addresses awareness and preventive behaviors in women of reproductive age, pregnancy-related changes in melanocytic nevi, and management considerations during pregnancy. Full article
(This article belongs to the Section Clinical Research of Cancer)
Show Figures

Figure 1

29 pages, 893 KB  
Review
Advances in Hereditary Colorectal Cancer: How Precision Medicine Is Changing the Game
by Shenghao Lin, Chenxi Zhou, Hanlin Chen, Xinlei Zhou, Hujia Yang, Leitao Sun, Leyin Zhang and Yuxin Zhang
Cancers 2025, 17(21), 3461; https://doi.org/10.3390/cancers17213461 - 28 Oct 2025
Cited by 1 | Viewed by 1942
Abstract
Only about 5% of colorectal cancers are hereditary, which is due to the low carrier rate of pathogenic gene mutations. The typical pattern of these cases is intergenerational aggregation within families and early onset. But public awareness of early diagnosis and intervention of [...] Read more.
Only about 5% of colorectal cancers are hereditary, which is due to the low carrier rate of pathogenic gene mutations. The typical pattern of these cases is intergenerational aggregation within families and early onset. But public awareness of early diagnosis and intervention of HCRC is insufficient, resulting in most patients being diagnosed only after developing cancer, thereby missing the optimal window for treatment. This article reviews the latest developments in precision screening, treatment, evaluation and prevention strategies for HCRC, including innovative uses of artificial intelligence (AI) in molecular diagnostics, imaging technology advances, and potential application prospects. Regarding precision screening, tests of genomics, transcriptomics, microbiome, etc., combined with personalised risk stratification, can, respectively, effectively detect pathogenic mutations and “cancer-promoting” intestinal environments in the preclinical stage. AI combined with endoscopic and imaging tools has improved the accuracy of polyp detection and tumor profiling. Liquid biopsy and molecular marker detection provide new non-invasive monitoring solutions. In precision treatment, beyond traditional approaches like surgery and chemotherapy, immunotherapy with checkpoint inhibitors may be considered for HCRC patients with mismatch repair deficiency (dMMR). For patients harboring somatic mutations such as KRAS or BRAF V600E, targeted therapy can be guided by these specific mutations. Regarding precision assessment, AI incorporates microsatellite instability (MSI) detection and imaging diagnostic techniques, crucial for integrating genetic, environmental, and lifestyle data in follow-up. This helps assess the risk of recurrence and adjust the long-term medication regimens, as well as provide effective nutritional support and psychological counselling. In summary, the rapid development of precision medicine is driving the clinical management of HCRC into the era of tailored care, aiming to optimise patient outcomes. Full article
(This article belongs to the Special Issue Hereditary and Familial Colorectal Cancer)
Show Figures

Figure 1

16 pages, 254 KB  
Review
Advanced Neuroimaging and Emerging Systemic Therapies in Glioblastoma: Current Evidence and Future Directions
by Ilona Bar-Letkiewicz, Anna Pieczyńska, Małgorzata Dudzic, Michał Szkudlarek, Krystyna Adamska and Katarzyna Hojan
Biomedicines 2025, 13(11), 2597; https://doi.org/10.3390/biomedicines13112597 - 23 Oct 2025
Viewed by 1483
Abstract
Despite technological progress, glioblastoma (GBM) continues to confer dismal prognoses. Modern neuroimaging methods are assuming an ever greater role in diagnosing and monitoring brain tumors. This review shows current neuroimaging approaches and systemic therapeutic strategies for glioblastoma, with a focus on emerging and [...] Read more.
Despite technological progress, glioblastoma (GBM) continues to confer dismal prognoses. Modern neuroimaging methods are assuming an ever greater role in diagnosing and monitoring brain tumors. This review shows current neuroimaging approaches and systemic therapeutic strategies for glioblastoma, with a focus on emerging and innovative treatments. Advances in multiparametric magnetic resonance imaging—MRI (diffusion, perfusion, and spectroscopy) and novel positron emission tomography (PET) tracers, complemented by radiomics and artificial intelligence (AI), now refine tumor delineation, differentiate progression from treatment effects, and may help predict treatment responses. Maximal safe resection followed by chemoradiotherapy with temozolomide remains the standard, with the greatest benefit seen in O6-methylguanine DNA methyltransferase (MGMT) promoter-methylated tumors. Bevacizumab and other targeted modalities offer mainly progression-free, not overall survival, gains. Immune checkpoint inhibitors (e.g., nivolumab) have not improved survival in unselected GBM, while early multi-antigen CAR-T (chimeric antigen receptor T-cell) strategies show preliminary bioactivity without established durability. While actionable alterations (NTRK fusions and BRAF V600E) justify selective targeted therapy trials, their definitive benefit in classical GBM is unproven. Future priorities include harmonized imaging molecular integration, AI-driven prognostic modeling, novel PET tracers, and strategies to breach or transiently open the blood–brain barrier to enhance drug delivery. Convergence of these domains may convert diagnostic precision into improved patient outcomes. Full article
(This article belongs to the Special Issue Medical Imaging in Brain Tumor: Charting the Future)
Back to TopTop