Sign in to use this feature.

Years

Between: -

Subjects

remove_circle_outline
remove_circle_outline
remove_circle_outline
remove_circle_outline
remove_circle_outline
remove_circle_outline
remove_circle_outline
remove_circle_outline
remove_circle_outline

Journals

remove_circle_outline
remove_circle_outline
remove_circle_outline
remove_circle_outline
remove_circle_outline
remove_circle_outline
remove_circle_outline
remove_circle_outline

Article Types

Countries / Regions

remove_circle_outline
remove_circle_outline
remove_circle_outline
remove_circle_outline
remove_circle_outline

Search Results (533)

Search Parameters:
Keywords = BLE

Order results
Result details
Results per page
Select all
Export citation of selected articles as:
19 pages, 662 KB  
Article
FPGA Programmable Logic Block Architecture with High-Density MAC for Deep Learning Inference
by Yanlin Wang, Lijiang Gao and Haigang Yang
Electronics 2026, 15(4), 801; https://doi.org/10.3390/electronics15040801 - 13 Feb 2026
Abstract
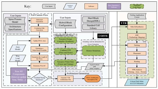
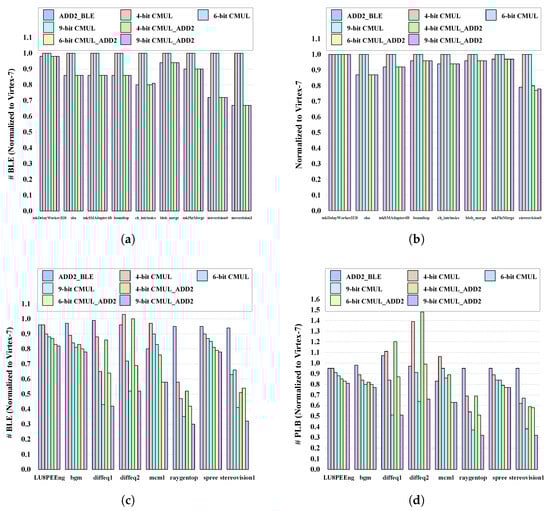
Compared to half- or single-precision floating-point, reducing the precision of Deep Neural Network (DNN) inference accelerators can yield significant efficiency gains with little to no accuracy degradation by enabling more multiplication operations per unit area. The variable precision capabilities of FPGAs are extremely [...] Read more.
Compared to half- or single-precision floating-point, reducing the precision of Deep Neural Network (DNN) inference accelerators can yield significant efficiency gains with little to no accuracy degradation by enabling more multiplication operations per unit area. The variable precision capabilities of FPGAs are extremely valuable, as a wide range of precisions fall on the Pareto-optimal curve of hardware efficiency versus accuracy, with no single precision dominating. We propose seven variants across three types of logical block designs to improve the area efficiency of multiply accumulate (MAC) implemented in soft structures. Ultimately, we use COFFE and VTR tools to fully evaluate these enhancements. The 2-bit adder BLE (ADD2_BLE) architecture achieves a 7.3% area optimization with only a 1.7% increase in tile area by improving the fracturability of LUTs in the baseline BLE and adding an additional 1-bit adder. However, this comes at the expense of reduced speed. The 9-bit Compact Multiplier (CMUL) architecture based on ADD2_BLE achieved the greatest optimization among the six variants using the Compact Multiplier (CMUL). On average, it reduces the DAP result by up to 72%. Nonetheless, it results in a 13% increase in logic tile area for universal benchmarks that do not use multiplication. Full article
(This article belongs to the Special Issue FPGA-Based Accelerators for Deep Neural Networks)
Show Figures

Figure 1

28 pages, 4413 KB  
Article
Cross-Protocol Domain Gap in Internet of Things Intrusion and Anomaly Detection: An Empirical Internet Protocol-to-Bluetooth Low Energy Study of Domain-Adversarial Training
by Hyejin Jin
Sensors 2026, 26(4), 1184; https://doi.org/10.3390/s26041184 - 11 Feb 2026
Viewed by 102
Abstract
Intrusion and anomaly detectors trained on Internet Protocol (IP) traffic are increasingly deployed in heterogeneous IoT environments where Bluetooth Low Energy (BLE) links coexist with IP networks. We quantify the cross-protocol domain gap in an IP → BLE transfer setting under unsupervised domain [...] Read more.
Intrusion and anomaly detectors trained on Internet Protocol (IP) traffic are increasingly deployed in heterogeneous IoT environments where Bluetooth Low Energy (BLE) links coexist with IP networks. We quantify the cross-protocol domain gap in an IP → BLE transfer setting under unsupervised domain adaptation (UDA), where target labels are unavailable for training and model selection. Using 14 lightweight window-level statistics and leakage-aware splits, we benchmark classical baselines and alignment methods (CORAL and MMD) against domain-adversarial neural networks (DANNs). Under random window splits, DANNs can yield modest target gains but exhibit strong seed sensitivity and non-monotonic domain confusion. We propose R3, a domain-aware checkpoint rule that combines near-best source validation with domain discriminator accuracy as a proxy for alignment, improving the target ROC-AUC by ~+0.053 across three representative seeds and producing more consistent AP gains over 20 seeds. However, under a stricter capture-wise leave-one-capture-out (LOCO) protocol, UDA collapses to near-chance ranking and can underperform simple baselines, highlighting the risk of optimistic random splits. Finally, we show that transferring a source-tuned threshold can trigger unsafe operating points (micro-FPR = 1.0 on benign-only captures), motivating PR-based metrics and calibration/operating-point audits. We have released derived feature tables, split definitions, and scripts to support reproducibility under restricted raw data access. Full article
(This article belongs to the Special Issue Privacy and Cybersecurity in IoT-Based Applications)
Show Figures

Figure 1

28 pages, 5622 KB  
Article
A Multi-Class Bahadur–Lazarsfeld Expansion Framework for Pixel-Level Fusion in Multi-Sensor Land Cover Classification
by Spiros Papadopoulos, Georgia Koukiou and Vassilis Anastassopoulos
Remote Sens. 2026, 18(3), 399; https://doi.org/10.3390/rs18030399 - 25 Jan 2026
Viewed by 394
Abstract
In many land cover classification tasks, the limited precision of individual sensors hinders the accurate separation of certain classes, largely due to the complexity of the Earth’s surface morphology. To mitigate these issues, decision fusion methodologies are employed, allowing data from multiple sensors [...] Read more.
In many land cover classification tasks, the limited precision of individual sensors hinders the accurate separation of certain classes, largely due to the complexity of the Earth’s surface morphology. To mitigate these issues, decision fusion methodologies are employed, allowing data from multiple sensors to be synthesized into robust and more conclusive classification outcomes. This study employs fully polarimetric Synthetic Aperture Radar (PolSAR) imagery and leverages the strengths of three decomposition methods, namely Pauli’s, Krogager’s, and Cloude’s, by extracting their respective components for improved detection. From each decomposition method, three scattering components are derived, enabling the extraction of informative features that describe the scattering behavior associated with various land cover types. The extracted scattering features, treated as independent sensors, were used to train three neural network classifiers. The resulting outputs were then considered as local decisions for each land cover type and subsequently fused through a decision fusion rule to generate more complete and accurate classification results. Experimental results demonstrate that the proposed Multi-Class Bahadur–Lazarsfeld Expansion (MC-BLE) fusion significantly enhances classification performance, achieving an overall accuracy (OA) of 95.78% and a Kappa coefficient of 0.94. Compared to individual classification methods, the fusion notably improved per-class accuracy, particularly for complex land cover boundaries. The core innovation of this work is the transformation of the Bahadur–Lazarsfeld Expansion (BLE), originally designed for binary decision fusion into a multi-class framework capable of addressing multiple land cover types, resulting in a more effective and reliable decision fusion strategy. Full article
Show Figures

Graphical abstract

45 pages, 5287 KB  
Systematic Review
Cybersecurity in Radio Frequency Technologies: A Scientometric and Systematic Review with Implications for IoT and Wireless Applications
by Patrícia Rodrigues de Araújo, José Antônio Moreira de Rezende, Décio Rennó de Mendonça Faria and Otávio de Souza Martins Gomes
Sensors 2026, 26(2), 747; https://doi.org/10.3390/s26020747 - 22 Jan 2026
Viewed by 295
Abstract
Cybersecurity in radio frequency (RF) technologies has become a critical concern, driven by the expansion of connected systems in urban and industrial environments. Although research on wireless networks and the Internet of Things (IoT) has advanced, comprehensive studies that provide a global and [...] Read more.
Cybersecurity in radio frequency (RF) technologies has become a critical concern, driven by the expansion of connected systems in urban and industrial environments. Although research on wireless networks and the Internet of Things (IoT) has advanced, comprehensive studies that provide a global and integrated view of cybersecurity development in this field remain limited. This work presents a scientometric and systematic review of international publications from 2009 to 2025, integrating the PRISMA protocol with semantic screening supported by a Large Language Model to enhance classification accuracy and reproducibility. The analysis identified two interdependent axes: one focusing on signal integrity and authentication in GNSS systems and cellular networks; the other addressing the resilience of IoT networks, both strongly associated with spoofing and jamming, as well as replay, relay, eavesdropping, and man-in-the-middle (MitM) attacks. The results highlight the relevance of RF cybersecurity in securing communication infrastructures and expose gaps in widely adopted technologies such as RFID, NFC, BLE, ZigBee, LoRa, Wi-Fi, and unlicensed ISM bands, as well as in emerging areas like terahertz and 6G. These gaps directly affect the reliability and availability of IoT and wireless communication systems, increasing security risks in large-scale deployments such as smart cities and cyber–physical infrastructures. Full article
(This article belongs to the Special Issue Cyber Security and Privacy in Internet of Things (IoT))
Show Figures

Figure 1

15 pages, 3879 KB  
Article
Bluetooth Low Energy-Based Docking Solution for Mobile Robots
by Kyuman Lee
Electronics 2026, 15(2), 483; https://doi.org/10.3390/electronics15020483 - 22 Jan 2026
Viewed by 117
Abstract
Existing docking methods for mobile robots rely on a LiDAR sensor or image processing using a camera. Although both demonstrate excellent performance in terms of sensing distance and spatial resolution, they are sensitive to environmental effects, such as illumination and occlusion, and are [...] Read more.
Existing docking methods for mobile robots rely on a LiDAR sensor or image processing using a camera. Although both demonstrate excellent performance in terms of sensing distance and spatial resolution, they are sensitive to environmental effects, such as illumination and occlusion, and are expensive. Some environments or conditions require low-power, low-cost novel docking solutions that are less sensitive to the environment. In this study, we propose a guidance and navigation solution for a mobile robot to dock into a docking station using the values of the angle of arrival and received signal strength indicator between the mobile robot and the docking station, measured via wireless communication based on Bluetooth low energy (BLE). This proposed algorithm is a LiDAR- and camera-free docking solution. The proposed algorithm is used to run an actual mobile robot and BLE transceiver hardware, and the obtained result is significantly close to the ground truth for docking. Full article
Show Figures

Figure 1

19 pages, 2028 KB  
Article
RSSI-Based Localization of Smart Mattresses in Hospital Settings
by Yeh-Liang Hsu, Chun-Hung Yi, Shu-Chiung Lee and Kuei-Hua Yen
J. Low Power Electron. Appl. 2026, 16(1), 4; https://doi.org/10.3390/jlpea16010004 - 14 Jan 2026
Viewed by 217
Abstract
(1) Background: In hospitals, mattresses are often relocated for cleaning or patient transfer, leading to mismatches between actual and recorded bed locations. Manual updates are time-consuming and error-prone, requiring an automatic localization system that is cost-effective and easy to deploy to ensure traceability [...] Read more.
(1) Background: In hospitals, mattresses are often relocated for cleaning or patient transfer, leading to mismatches between actual and recorded bed locations. Manual updates are time-consuming and error-prone, requiring an automatic localization system that is cost-effective and easy to deploy to ensure traceability and reduce nursing workload. (2) Purpose: This study presents a pragmatic, large-scale implementation and validation of a BLE-based localization system using RSSI measurements. The goal was to achieve reliable room-level identification of smart mattresses by leveraging existing hospital infrastructure. (3) Results: The system showed stable signals in the complex hospital environment, with a 12.04 dBm mean gap between primary and secondary rooms, accurately detecting mattress movements and restoring location confidence. Nurses reported easier operation, reduced manual checks, and improved accuracy, though occasional mismatches occurred when receivers were offline. (4) Conclusions: The RSSI-based system demonstrates a feasible and scalable model for real-world asset tracking. Future upgrades include receiver health monitoring, watchdog restarts, and enhanced user training to improve reliability and usability. (5) Method: RSSI–distance relationships were characterized under different partition conditions to determine parameters for room differentiation. To evaluate real-world scalability, a field validation involving 266 mattresses in 101 rooms over 42 h tested performance, along with relocation tests and nurse feedback. Full article
Show Figures

Figure 1

11 pages, 1245 KB  
Commentary
Energetic Preferences in Cyclic π-Conjugated Systems: Aromaticity Localizes and Antiaromaticity Spreads
by Miquel Solà and Luigi Cavallo
Chemistry 2026, 8(1), 7; https://doi.org/10.3390/chemistry8010007 - 9 Jan 2026
Viewed by 682
Abstract
Cyclic π-conjugated organic species are classical examples of (anti)aromatic compounds. Two key features that characterize their (anti)aromatic behavior are the aromatic stabilization (or destabilization) energy and the degree of bond-length equalization or alternation. Both properties depend strongly on the size of the π-conjugated [...] Read more.
Cyclic π-conjugated organic species are classical examples of (anti)aromatic compounds. Two key features that characterize their (anti)aromatic behavior are the aromatic stabilization (or destabilization) energy and the degree of bond-length equalization or alternation. Both properties depend strongly on the size of the π-conjugated ring. In small rings, systems with 4n + 2 π electrons exhibit substantial aromatic stabilization and pronounced bond-length equalization, whereas those with 4n π electrons show significant antiaromatic destabilization accompanied by clear bond-length alternation. As the ring size increases, however, the differences in aromatic stabilization energy and bond-length patterns become progressively less distinct. Full article
Show Figures

Graphical abstract

19 pages, 7109 KB  
Article
Associated LoRaWAN Sensors for Material Tracking and Localization in Manufacturing
by Peter Peniak, Emília Bubeníková and Alžbeta Kanáliková
Processes 2026, 14(1), 175; https://doi.org/10.3390/pr14010175 - 5 Jan 2026
Viewed by 319
Abstract
Material tracking and localization are key applications of Industry 4.0 in manufacturing process control. Traditional approaches—such as barcode or QR code identification and RTLS-based localization using RF/UWB, 5G or GPS–require a large and complex infrastructure. As an alternative, this paper proposes an IoT-based [...] Read more.
Material tracking and localization are key applications of Industry 4.0 in manufacturing process control. Traditional approaches—such as barcode or QR code identification and RTLS-based localization using RF/UWB, 5G or GPS–require a large and complex infrastructure. As an alternative, this paper proposes an IoT-based solution that combines short-range Bluetooth Low Energy (BLE) communication with LPWAN LoRaWAN networks. Hybrid solutions using LoRaWAN and BLE technologies already exist, but pure localization based on BLE tags can lead to ambiguous asset identification in geometrically dense scenarios. Our paper aims to solve this problem with an alternative concept called Associated LoRaWAN Sensors (ALSs). An ALS enables logical grouping and integration of heterogeneous LoRaWAN sensors, providing their own data or directly scanning BLE tags. Sensor data can be combined and supplemented with new information, data, and events, supported by application logic (use case). Although ALS represents a general concept that could be applicable to various use cases (such as warehouse monitoring, object tracking), our paper will focus mainly on material tracking and validation in manufacturing. For this purpose, we designed a specific ALS model that integrates a classic LoRaWAN BLE sensor with an additional LoRaWAN magnetic contact sensor. The magnetic contact switch can provide validation of exact position, in addition to localization by BLE tag. Experimental validation using BLE tags (Trax 10229) and LoRaWAN sensors (IoTracker3, Milesight WS301) demonstrates the usability of the ALS model in typical industrial scenarios. We also measured RSSI and evaluated the accuracy of tag localization (3 × 25 = 75 tests) for the worst-case scenario: material validation on a machine with a BLE tag distance of ~0.5 m. While the traditional approach showed up to a 20% failure rate, our ALS model avoided the issue of incorrect accuracy. An additional magnetic switch in ALS confirmed that the correct carrier with the associated tag is attached to the machine and eliminated incorrect localization. The results confirm that a hybrid model based on BLE and LoRaWAN scanning can reliably support material localization and validation without the need for dense RTLS infrastructures. Full article
Show Figures

Figure 1

15 pages, 2810 KB  
Article
Wearable IoT-Enabled Galvanic Skin Response Device for Objective Pain and Stress Monitoring: Hardware Design and Prototype Development
by Anushka N. Phadke, Khawlah Harasheh and Satinder Gill
Sensors 2026, 26(1), 116; https://doi.org/10.3390/s26010116 - 24 Dec 2025
Viewed by 676
Abstract
Accurate pain and stress assessment remains a challenge in patients with limited communication ability. Current galvanic skin response (GSR) devices lack real-time feedback, wireless communication, and robustness against motion artifacts, limiting their clinical utility. This paper presents the design and development of a [...] Read more.
Accurate pain and stress assessment remains a challenge in patients with limited communication ability. Current galvanic skin response (GSR) devices lack real-time feedback, wireless communication, and robustness against motion artifacts, limiting their clinical utility. This paper presents the design and development of a wearable internet-of-things (IoT) enabled GSR system incorporating Bluetooth Low Energy (BLE) communication, ergonomic mechanical housing, and artifact-filtering through a custom API. The system integrates finger-mounted electrodes, a custom amplifier and signal processor, an nRF52840 BLE microcontroller, and a rechargeable Li-ion battery in a compact 3D-printed wrist-mounted enclosure. Basic validation with two healthy subjects demonstrated reliable detection of stress-induced GSR fluctuations with reduced movement artifacts. Results indicate the feasibility of the proposed design as a low-cost, wireless, and ergonomic solution for objective pain and stress monitoring. Full article
(This article belongs to the Section Internet of Things)
Show Figures

Figure 1

18 pages, 700 KB  
Article
Orthogonal Space-Time Bluetooth System for IoT Communications
by Rodrigo Aldana-López, Omar Longoria-Gandara, Jose Valencia-Velasco, Javier Vázquez-Castillo and Luis Pizano-Escalante
IoT 2026, 7(1), 2; https://doi.org/10.3390/iot7010002 - 22 Dec 2025
Viewed by 327
Abstract
There is increasing interest in improving the reliability of short-range wireless links in dense IoT deployments, where BLE is widely used due to its low power consumption and robust GFSK modulation. For this purpose, this work presents a novel Orthogonal Space-Time (OST) scheme [...] Read more.
There is increasing interest in improving the reliability of short-range wireless links in dense IoT deployments, where BLE is widely used due to its low power consumption and robust GFSK modulation. For this purpose, this work presents a novel Orthogonal Space-Time (OST) scheme for transmission and detection of BLE signals while preserving the BLE GFSK waveform and modulation constraints. The proposed signal processing system integrates advanced OST coding techniques with nonlinear GFSK modulation to achieve high-quality communication while maintaining phase continuity. This implies that the standard BLE GFSK modulator and demodulator blocks can be reused, with additional processing introduced only in the multi-antenna encoder and combiner. A detailed theoretical analysis demonstrates the feasibility of employing the Rayleigh fading channel model in BLE communications and establishes the BER performance bounds for various MIMO configurations. Simulations confirm the advantages of the proposed OST-GFSK signal processing scheme, maintaining a consistent performance when compared with OST linear modulation approaches under Rayleigh fading channels. As a result, the proposed IoT-enabling technology integrates the advantages of widely used OST linear modulation with nonlinear GFSK modulation required for BLE. Full article
Show Figures

Figure 1

21 pages, 1543 KB  
Article
Understanding Patient Adherence Through Sensor Data: An Integrated Approach to Chronic Disease Management
by David Díaz-Jiménez, José L. López Ruiz, Juan F. Gaitán-Guerrero and Macarena Espinilla Estévez
Appl. Sci. 2025, 15(24), 13226; https://doi.org/10.3390/app152413226 - 17 Dec 2025
Cited by 1 | Viewed by 320
Abstract
Treatment adherence in chronic diseases is addressed here as a measurable construct that can be formally defined and computed from heterogeneous IoT data streams. The central contribution of this work lies in establishing a mathematical formulation of adherence that integrates both explicit treatment-related [...] Read more.
Treatment adherence in chronic diseases is addressed here as a measurable construct that can be formally defined and computed from heterogeneous IoT data streams. The central contribution of this work lies in establishing a mathematical formulation of adherence that integrates both explicit treatment-related activities and behavioural indicators derived from sensor observations. The methodology specifies how raw data from wearables, BLE beacons, and ambient devices can be transformed into clinically meaningful activities through fuzzy logic, enabling the representation of uncertainty, temporal variability, and partial evidence. This framework also accommodates activity labels generated by machine learning models, providing a mechanism to adapt their outputs—originally expressed as probabilistic or categorical predictions—into fuzzy memberships suitable for adherence computation. By unifying sensor-driven activity extraction and model-based activity recognition under a common fuzzy representation, the proposed formulation delivers a coherent pathway for calculating adherence across multiple dimensions and contexts, thereby supporting robust and interpretable evaluation of patient behaviour. By integrating these elements, the methodology provides a comprehensive and interpretable profile of adherence, moving from isolated measures to a unified characterisation of patient behaviour. The framework enables healthcare professionals and patients to better monitor progress, anticipate risks, and support long-term disease management. Full article
(This article belongs to the Special Issue Applications of Artificial Intelligence in the IoT)
Show Figures

Figure 1

18 pages, 6631 KB  
Article
Effect of Supplemental Bamboo Leaf Extract on Milk Production, Composition, Biochemical Indices, and Fecal Microbiota Diversity in Grazing Yili Mares
by Chuankun Wang, Jianwen Wang, Bingqiang Ma, Ting Liu, Xinxin Yuan, Jun Meng and Yaqi Zeng
Life 2025, 15(12), 1928; https://doi.org/10.3390/life15121928 - 17 Dec 2025
Viewed by 377
Abstract
Purpose: This study investigated the effects of dietary bamboo leaf extract (BLE) on milk parameters and intestinal microbiota in lactating Yili mares. Methods: Twenty-four Yili mares of similar age (10 ± 2 years), weight (360.62 ± 15.23 kg) and body condition [...] Read more.
Purpose: This study investigated the effects of dietary bamboo leaf extract (BLE) on milk parameters and intestinal microbiota in lactating Yili mares. Methods: Twenty-four Yili mares of similar age (10 ± 2 years), weight (360.62 ± 15.23 kg) and body condition were selected for this study and randomly divided into four groups of six mares each: an untreated control group (CG) and three experimental groups (EG1, EG2, EG3) were fed a basal diet supplemented with 0, 10, 20, or 30 g/day of BLE, respectively, for 60 days. Then, horse milk composition, antioxidant activity, and immunoglobulin levels along with the relative abundance of fecal microbiota were measured. Results: Compared with the control group, supplementation with BLE for 60 days significantly improved milk yield and composition. The protein content in the EG1 was significantly higher than that in the CG, the milk yield and fat content in the EG2 was significantly higher than that in the CG, and the lactose content in the EG3 was significantly higher than that in the CG. BLE also significantly increased the milk’s antioxidant capacity, vitamin C, IgG, IgM, and IgA levels, with the antioxidant and immune properties in the EG2 being significantly higher than those in the CG. Furthermore, BLE feeding promoted communities of beneficial intestinal microbes. Bacteria associated with energy metabolism and organic matter decomposition increased significantly in BLE-fed groups, especially the EG2, which had elevated abundance of UCG-002 and the NK4A214_group. BLE also significantly reduced the abundance of Euryarchaeota, Verrucomicrobiota, Methanobacteriaceae, and Methanobrevibacter. Conclusions: Dietary supplementation with bamboo leaf extract is a safe and inexpensive way to enhance milk yield and quality and to promote the growth of beneficial intestinal microbes in Yili horses. Full article
(This article belongs to the Section Animal Science)
Show Figures

Figure 1

25 pages, 4148 KB  
Article
Energy-Saving Method for Nearby Wireless Battery-Powered Trackers Based on Their Cooperation
by Nerijus Morkevičius, Agnius Liutkevičius, Laura Kižauskienė, Audronė Janavičiūtė and Roman Banakh
Appl. Sci. 2025, 15(24), 12886; https://doi.org/10.3390/app152412886 - 5 Dec 2025
Viewed by 596
Abstract
The tracking of assets or cargo is one of the main objectives of global logistics and transportation systems, ensuring operational efficiency, security, and timeliness. Currently, battery-operated GPS (Global Positioning System)-based tracking devices are used for this purpose. The main shortcoming of these devices [...] Read more.
The tracking of assets or cargo is one of the main objectives of global logistics and transportation systems, ensuring operational efficiency, security, and timeliness. Currently, battery-operated GPS (Global Positioning System)-based tracking devices are used for this purpose. The main shortcoming of these devices is the lifetime of the batteries because they cannot be replaced or recharged, or because this is simply not economically feasible. Therefore, efficient methods are needed to prolong battery life as much as possible. Various existing energy-saving techniques can be applied to solve this problem. However, none of these consider situations in which multiple tracking devices are transported together and can cooperate to further increase their energy efficiency. In this study, we propose and evaluate the novel lightweight peer-to-peer energy-saving method for nearby wireless battery-powered trackers based on their cooperation. The proposed method is based on the short-range BLE (Bluetooth Low Energy) device discovery mechanism and the dynamic election of the leader tracker (with the highest battery capacity) to report the location of its own and other neighboring trackers to the central server. The experimental evaluation of the proposed method shows that, compared to the traditional approach, where each tracker sends its location individually, the proposed method allows a reduction in the average battery charge required for one position report from 19% to 240% per each cooperating tracker. The average energy consumption for one location report per node decreased from 4.68 mWh using the traditional approach to 3.93 mWh for 2 cooperating devices and 1.92 mWh for 15 cooperating devices. Full article
Show Figures

Figure 1

20 pages, 753 KB  
Article
Advanced System for Remote Updates on ESP32-Based Devices Using Over-the-Air Update Technology
by Lukas Formanek, Michal Kubascik, Ondrej Karpis and Peter Kolok
Computers 2025, 14(12), 531; https://doi.org/10.3390/computers14120531 - 4 Dec 2025
Viewed by 1303
Abstract
Over-the-air (OTA) firmware updating has become a fundamental requirement in modern Internet of Things (IoT) deployments, where thousands of heterogeneous embedded devices operate in remote and distributed environments. Manual firmware maintenance in such systems is impractical, costly, and prone to security risks, making [...] Read more.
Over-the-air (OTA) firmware updating has become a fundamental requirement in modern Internet of Things (IoT) deployments, where thousands of heterogeneous embedded devices operate in remote and distributed environments. Manual firmware maintenance in such systems is impractical, costly, and prone to security risks, making automated update mechanisms essential for long-term reliability and lifecycle management. This paper presents a unified OTA update architecture for ESP32-based IoT devices that integrates centralized version control and multi-protocol communication support (Wi-Fi, BLE, Zigbee, LoRa, and GSM), enabling consistent firmware distribution across heterogeneous networks. The system incorporates version-compatibility checks, rollback capability, and a server-driven release routing mechanism for development and production branches. An analytical model of timing, reliability, and energy consumption is provided, and experimental validation on a fleet of ESP32 devices demonstrates reduced update latency compared to native vendor OTA solutions, together with reliable operation under simultaneous device loads. Overall, the proposed solution provides a scalable and resilient foundation for secure OTA lifecycle management in smart-industry, remote sensing, and autonomous infrastructure applications. Full article
Show Figures

Figure 1

48 pages, 21784 KB  
Article
Computer Model Based on an Asynchronous BLE 5.0 IMU Sensor Network for Biomechanical Applications
by Juan Antonio Mora-Sánchez, Luis Pastor Sánchez-Fernández, Diana Lizet González-Baldovinos, María Teresa Zagaceta-Álvarez and Sandra Dinora Orantes-Jiménez
Sensors 2025, 25(23), 7271; https://doi.org/10.3390/s25237271 - 28 Nov 2025
Viewed by 853
Abstract
The acquisition, processing, and monitoring of biomechanical variables in dynamic environments require sensor network architectures capable of handling high concurrency and large data volumes. This study aims to develop, validate, and deploy a robust asynchronous network architecture of Inertial Measurement Units (IMUs) utilizing [...] Read more.
The acquisition, processing, and monitoring of biomechanical variables in dynamic environments require sensor network architectures capable of handling high concurrency and large data volumes. This study aims to develop, validate, and deploy a robust asynchronous network architecture of Inertial Measurement Units (IMUs) utilizing Bluetooth Low Energy (BLE) 5.0 for real-time biomechanical signal acquisition, overcoming the range, speed, and stability limitations of prior implementations. A network of six IMUs was implemented, with communication managed by a hybrid Python 3.10–LabVIEW 2022 Q3 framework. This architecture ensures concurrent, asynchronous data acquisition while maintaining stable sensor interconnection through virtual port emulation. System evaluation demonstrated superior technical performance, exhibiting high acquisition efficiency (close to 100%) and data loss below ±2% across 75 assessments per sensor. These assessments were obtained by evaluating the posture of 25 participants during three postural experiments, with a maximum indoor range of 40 m and an outdoor range of 105 m, validating the system’s scalability and robustness for motion capture. The approach was applied in a case study using a Fuzzy Inference System (FIS) to assess the upper limb via the Rapid Upper Limb Assessment (RULA) method. The system successfully quantified the temporal distribution of injury risk bilaterally, overcoming the limitations of observational methods and providing objective metrics crucial for occupational health in seated tasks. Full article
Show Figures

Figure 1

Back to TopTop