Bluetooth Low Energy-Based Docking Solution for Mobile Robots
Abstract
1. Introduction
2. Related Work
3. Methodology
3.1. Mission Stage
3.2. Docking Stage
| Algorithm 1 Docking algorithm |
|
4. Results
4.1. Parameter Settings
- (1)
- Velocity and Acceleration Ranges: The navigation stack provided by the robot operating system (ROS) [24] is used to perform the missions in both stages. This navigation stack is important for mobile robots to move. To reduce the drift errors, it is essential to set the max/min velocity and acceleration correctly. For the experimental results, the translational velocity range is set to 0.1–0.25 m/s, and the rotation velocity is set to −0.52–0.52 rad/s. Thus, setting the maximum translational and rotational acceleration to 1.0 m/s2 is appropriate. These in Table 1 are also limits for safety purposes.
- (2)
- Constants: We have declared several constants and variables for the docking algorithm, shown in Table 1. First, the window size N for the moving average filter in Equations (1) and (2) is 10. Increasing this value would result in better filtering, but it is a trade-off that would increase the computational load or make it more difficult to respond quickly to changes. The RSSI arrival threshold is the RSSI value measured within a certain distance from the station where docking is considered complete (e.g., within a 1 m distance in front), and in this paper, it is set to −51 [dBm]. In addition, the for calculating is set to 0.25 and the for calculating is set to 0.08. and are P-gain values that determine how far the robot moves forward and how much it rotates its heading at each time step during docking. Smaller values result in more precise docking but slower arrival, representing a trade-off. Further, , a condition for repeating the while loop in Algorithm 1, is set to 1. A smaller value would result in more iterations of the while loop, leading to more precise docking. However, iterations with too small might prevent the loop from terminating, so an appropriate value should be tuned experimentally. and , the criteria for the re-alignment process, are set to 8 and 20, respectively, and the angle rotated during the re-alignment process is set to 30. In other words, if the robot is close enough to the station according to , but the AoA is still large enough according to , then it only needs to re-align its orientation in place by an amount determined by . Each of these values is determined experimentally by the user.
4.2. Actual Robot Setup
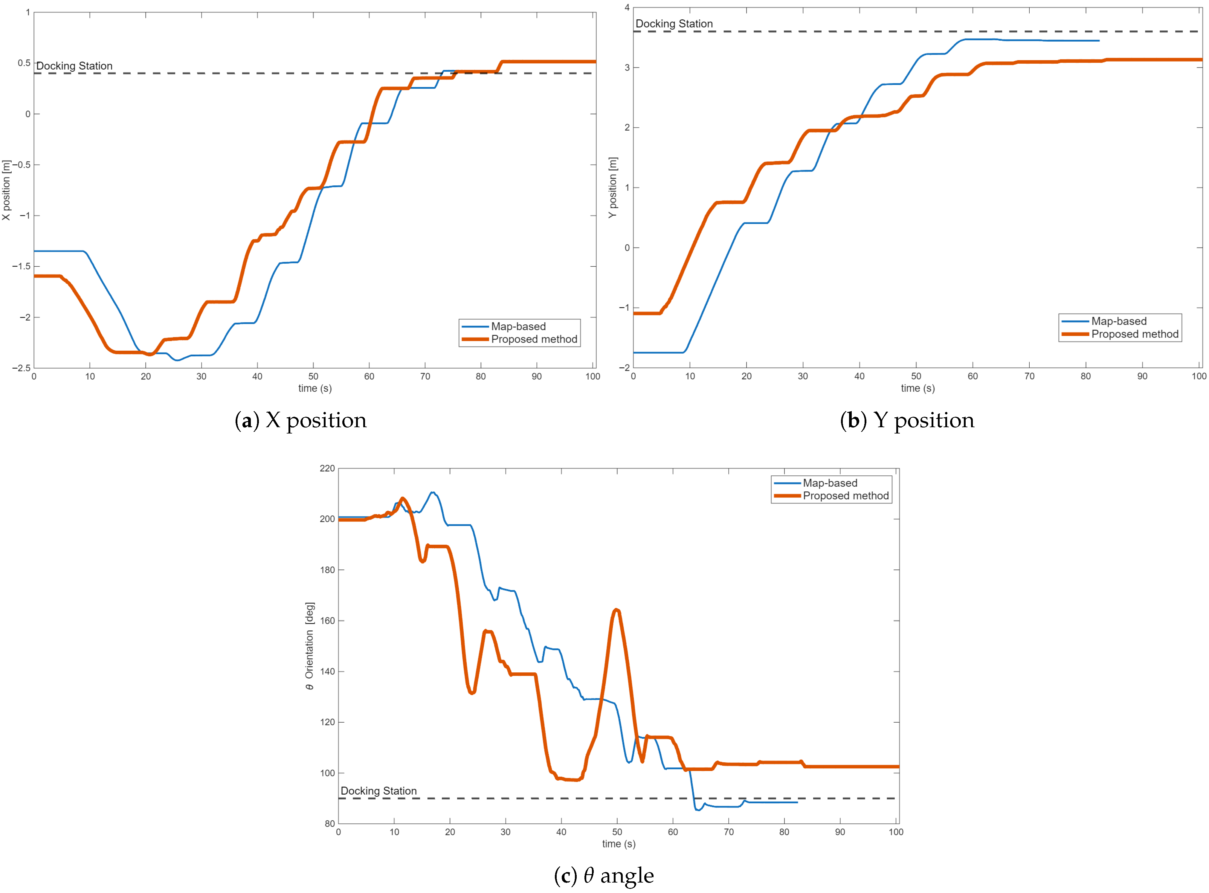
4.3. Experimental Results
5. Discussion
Funding
Data Availability Statement
Acknowledgments
Conflicts of Interest
References
- Wardhana, D.A.P.; Happyanto, D.C.; Purwanto, E.; Akbar, G.E.A.; Putra, K.T. AutoDock-IPS: An Automated Docking for Mobile Robot Based on Indoor Positioning System. J. Electr. Technol. UMY 2021, 5, 32–39. [Google Scholar] [CrossRef]
- Kim, N.; Lee, K. Bluetooth Low Energy-Based Guidance Algorithm for a Mobile Robot Docking. In Proceedings of the Institute of Control, Robotics and Systems (ICROS) 2023, Yeosu, Republic of Korea, 17–20 October 2023; pp. 1–2. [Google Scholar]
- Yanyan, Z.; Chengren, L.; Jihong, X. The research of the docking application between industrial robot and machine tool. In Proceedings of the 2014 IEEE Workshop on Advanced Research and Technology in Industry Applications (WARTIA), Ottawa, ON, Canada, 29–30 September 2014; pp. 1272–1275. [Google Scholar]
- Razavi, A.; Gebre-Egziabher, D.; Akos, D.M. Carrier loop architectures for tracking weak GPS signals. IEEE Trans. Aerosp. Electron. Syst. 2008, 44, 697–710. [Google Scholar] [CrossRef]
- Garrido-Jurado, S.; Muñoz-Salinas, R.; Madrid-Cuevas, F.J.; Marín-Jiménez, M.J. Automatic generation and detection of highly reliable fiducial markers under occlusion. Pattern Recognit. 2014, 47, 2280–2292. [Google Scholar] [CrossRef]
- Sani, M.F.; Karimian, G. Automatic navigation and landing of an indoor AR. drone quadrotor using ArUco marker and inertial sensors. In Proceedings of the 2017 International Conference on Computer and Drone Applications (IConDA), Kuching, Malaysia, 9–11 November 2017; pp. 102–107. [Google Scholar]
- Kim, S.Y.; Yoon, K.S.; Lee, D.H.; Lee, M.H. The localization of a mobile robot using a pseudolite ultrasonic system and a dead reckoning integrated system. Int. J. Control. Autom. Syst. 2011, 9, 339. [Google Scholar] [CrossRef]
- Huang, C.H.; Lee, L.H.; Ho, C.C.; Wu, L.L.; Lai, Z.H. Real-time RFID indoor positioning system based on Kalman-filter drift removal and Heron-bilateration location estimation. IEEE Trans. Instrum. Meas. 2014, 64, 728–739. [Google Scholar] [CrossRef]
- Heydon, R. Bluetooth Low Energy; Pearson: London, UK, 2012. [Google Scholar]
- Upadhyay, J.; Rawat, A.; Deb, D.; Muresan, V.; Unguresan, M.L. An RSSI-based localization, path planning and computer vision-based decision making robotic system. Electronics 2020, 9, 1326. [Google Scholar] [CrossRef]
- Woolley, M. Bluetooth Direction Finding, A Technical Overview; Technical Report; Bluetooth SIG: Kirkland, WA, USA, 2021; Available online: https://www.bluetooth.com/bluetooth-resources/bluetooth-direction-finding/ (accessed on 1 January 2026).
- Texas Instruments. CC2640R2 LaunchPadTM Development Kit, Rev. 3 ed; Texas Instruments: Dallas, TX, USA, 2021; Available online: https://www.ti.com/tool/LAUNCHXL-CC2640R2 (accessed on 1 January 2026).
- Seco, F.; Jimenez, A.R.; Prieto, C.; Roa, J.; Koutsou, K. A survey of mathematical methods for indoor localization. In Proceedings of the 2009 IEEE International Symposium on Intelligent Signal Processing, Budapest, Hungary, 26–28 August 2009; pp. 9–14. [Google Scholar] [CrossRef]
- Shang, F.; Su, W.; Wang, Q.; Gao, H.; Fu, Q. A location estimation algorithm based on RSSI vector similarity degree. Int. J. Distrib. Sens. Netw. 2014, 10, 371350. [Google Scholar] [CrossRef]
- Yang, J.; Chen, Y. Indoor localization using improved rss-based lateration methods. In Proceedings of the GLOBECOM 2009-2009 IEEE Global Telecommunications Conference, Honolulu, HI, USA, 30 November–4 December 2009; pp. 1–6. [Google Scholar]
- Siekkinen, M.; Hiienkari, M.; Nurminen, J.K.; Nieminen, J. How low energy is bluetooth low energy? comparative measurements with zigbee/802.15. 4. In Proceedings of the 2012 IEEE Wireless Communications and Networking Conference Workshops (WCNCW), Paris, France, 1 April 2012; pp. 232–237. [Google Scholar]
- Bruno, R.; Delmastro, F. Design and analysis of a bluetooth-based indoor localization system. In Proceedings of the IFIP International Conference on Personal Wireless Communications, Venice, Italy, 23–25 September 2003; Springer: Berlin/Heidelberg, Germany, 2003; pp. 711–725. [Google Scholar]
- Daniş, F.S.; Cemgil, A.T. Model-Based Localization and Tracking Using Bluetooth Low-Energy Beacons. Sensors 2017, 17, 2484. [Google Scholar] [CrossRef] [PubMed]
- Park, J.K.; Kim, J.; Kang, S.J. A situation-aware indoor localization (SAIL) system using a LF and RF hybrid approach. Sensors 2018, 18, 3864. [Google Scholar] [CrossRef] [PubMed]
- Kim, M.; Kim, H.W.; Chong, N.Y. Automated robot docking using direction sensing RFID. In Proceedings of the Proceedings 2007 IEEE International Conference on Robotics and Automation, Roma, Italy, 10–14 April 2007; pp. 4588–4593. [Google Scholar]
- Yin, L.; Wang, Z.; Deng, Z.; Jiang, T.; Sun, Y. Angle-of-Arrival Positioning System Based on CSI Virtual Antenna Array. In Proceedings of the International Conference on Artificial Intelligence for Communications and Networks, Harbin, China, 25–26 May 2019; Springer: Berlin/Heidelberg, Germany, 2019; pp. 240–250. [Google Scholar]
- Hess, W.; Kohler, D.; Rapp, H.; Andor, D. Real-time loop closure in 2D LIDAR SLAM. In Proceedings of the 2016 IEEE International Conference on Robotics and Automation (ICRA), Stockholm, Sweden, 16–21 May 2016; pp. 1271–1278. [Google Scholar]
- Fox, D.; Burgard, W.; Thrun, S. The dynamic window approach to collision avoidance. IEEE Robot. Autom. Mag. 2002, 4, 23–33. [Google Scholar] [CrossRef]
- Quigley, M.; Conley, K.; Gerkey, B.; Faust, J.; Foote, T.; Leibs, J.; Wheeler, R.; Ng, A.Y. ROS: An open-source Robot Operating System. In Proceedings of the ICRA Workshop on Open Source Software, Kobe, Japan, 12–17 May 2009; Volume 3, p. 5. [Google Scholar]
- Thrun, S. Probabilistic robotics. Commun. ACM 2002, 45, 52–57. [Google Scholar] [CrossRef]











| Map-Based | Ours | Docking Station | |
|---|---|---|---|
| RSSI [dBm] | 0.7654 | 3 | 1 |
| AoA [deg] | −0.3141 | 1 | 0 |
| X [m] | 0.4245 | 0.5149 | 0.4 |
| Y [m] | 3.448 | 3.1324 | 3.6 |
| [deg] | 88.4162 | 102.4912 | 90 |
Disclaimer/Publisher’s Note: The statements, opinions and data contained in all publications are solely those of the individual author(s) and contributor(s) and not of MDPI and/or the editor(s). MDPI and/or the editor(s) disclaim responsibility for any injury to people or property resulting from any ideas, methods, instructions or products referred to in the content. |
© 2026 by the author. Licensee MDPI, Basel, Switzerland. This article is an open access article distributed under the terms and conditions of the Creative Commons Attribution (CC BY) license.
Share and Cite
Lee, K. Bluetooth Low Energy-Based Docking Solution for Mobile Robots. Electronics 2026, 15, 483. https://doi.org/10.3390/electronics15020483
Lee K. Bluetooth Low Energy-Based Docking Solution for Mobile Robots. Electronics. 2026; 15(2):483. https://doi.org/10.3390/electronics15020483
Chicago/Turabian StyleLee, Kyuman. 2026. "Bluetooth Low Energy-Based Docking Solution for Mobile Robots" Electronics 15, no. 2: 483. https://doi.org/10.3390/electronics15020483
APA StyleLee, K. (2026). Bluetooth Low Energy-Based Docking Solution for Mobile Robots. Electronics, 15(2), 483. https://doi.org/10.3390/electronics15020483
