Energetic Preferences in Cyclic π-Conjugated Systems: Aromaticity Localizes and Antiaromaticity Spreads
Abstract
1. Introduction
2. Aromatic Stabilization Energy
3. Bond-Length Alternation
4. Some Examples
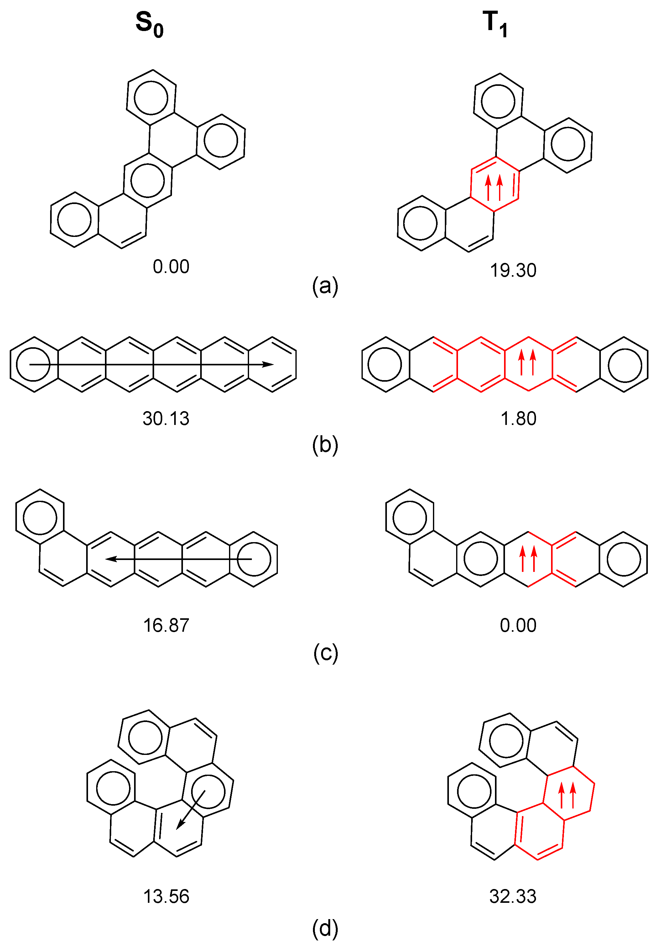
4.1. The Lowest-Lying Triplet State of Hexabenzenoids
4.2. C18
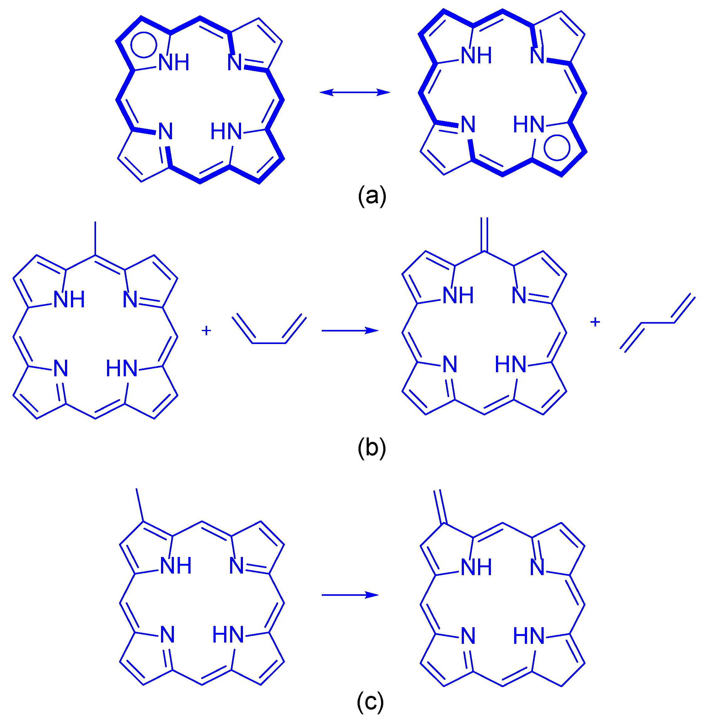
4.3. Porphyrins
5. Conclusions
- (i)
- Aromatic stabilization and antiaromatic destabilization are most pronounced in small rings and become increasingly marginal as the ring size grows.
- (ii)
- In small aromatic rings, the distortive tendency of the π electrons is compensated by the stabilization gained from resonance and by the intrinsic preference of σ-electrons for bond-length equalization.
- (iii)
- In large aromatic rings, as well as in antiaromatic systems, the tendency toward π-electron localization outweighs the stabilization provided by resonance and the preference of σ-electrons for bond-length equalization.
- (iv)
- Extended π-conjugated circuits may exhibit only marginal aromatic stabilization energies—suggesting a largely nonaromatic energetic character—while simultaneously sustaining diatropic ring currents and substantial electron delocalization typical of aromatic compounds.
Supplementary Materials
Author Contributions
Funding
Data Availability Statement
Acknowledgments
Conflicts of Interest
Abbreviations
| AFM | Atomic Force Microscopy |
| ASE | Aromatic Stabilization Energy |
| BLE | Bond-length Equalization |
| BLA | Bond-length Alternation |
| EDDB | Electron Density of Delocalized Bonds |
| ISE | Isomerization Stabilization Energy |
| MNDOC | Modified Neglect of Diatomic Overlap (C for correlation) |
| MO | Molecular Orbital |
| NMR | Nuclear Magnetic Resonance |
| PCH | Polycyclic Conjugated Hydrocarbons |
| PJT | Pseudo Jahn–Teller |
References
- Marsella, M.J. Classic Annulenes, Nonclassical Applications. Acc. Chem. Res. 2002, 35, 944–951. [Google Scholar] [CrossRef] [PubMed]
- Stevenson, C.D. Annulenylenes, Annulynes, and Annulenes. Acc. Chem. Res. 2007, 40, 703–711. [Google Scholar] [CrossRef] [PubMed]
- Spitler, E.L.; Johnson, C.A.; Haley, M.M. Renaissance of Annulene Chemistry. Chem. Rev. 2006, 106, 5344–5386. [Google Scholar] [CrossRef]
- Kennedy, R.D.; Lloyd, D.; McNab, H. Annulenes, 1980–2000. J. Chem. Soc. Perkin Trans. 1 2002, 1601–1621. [CrossRef]
- Doering, W.v.E.; Detert, F.L. Cycloheptatrienylium oxide. J. Am. Chem. Soc. 1951, 73, 876–877. [Google Scholar] [CrossRef]
- Choi, C.H.; Kertesz, M. Bond length alternation and aromaticity in large annulenes. J. Chem. Phys. 1998, 108, 6681–6688. [Google Scholar] [CrossRef]
- Longuet-Higgins, H.C.; Salem, L. The Alternation of Bond Lengths in Long Conjugated Chain Molecules. Proc. Roy. Soc. A 1959, 251, 172–185. [Google Scholar] [CrossRef]
- Jackman, L.M.; Sondheimer, F.; Amiel, Y.; Ben-Efraim, D.A.; Gaoni, Y.; Wolovsky, R.; Bothner-By, A.A. The Nuclear Magnetic Resonance Spectroscopy of a Series of Annulenes and Dehydro-annulenes. J. Am. Chem. Soc. 1962, 84, 4307–4312. [Google Scholar] [CrossRef]
- Dewar, M.J.S.; Gleicher, G.J. Ground States of Conjugated Molecules. II. Allowance for Molecular Geometry. J. Am. Chem. Soc. 1965, 87, 685–692. [Google Scholar] [CrossRef]
- Čížek, J.; Paldus, J. Stability Conditions for the Solutions of the Hartree—Fock Equations for Atomic and Molecular Systems. Application to the Pi-Electron Model of Cyclic Polyenes. J. Chem. Phys. 1967, 47, 3976–3985. [Google Scholar] [CrossRef]
- Yoshizawa, K.; Kato, T.; Yamabe, T. Electron Correlation Effects and Possible D6h Structures in Large Cyclic Polyenes. J. Phys. Chem. 1996, 100, 5697–5701. [Google Scholar] [CrossRef]
- Cyrański, M.K. Energetic Aspects of Cyclic π-electron Delocalization: Evaluation of the Methods of Estimating Aromatic Stabilization Energies. Chem. Rev. 2005, 105, 3773–3811. [Google Scholar] [CrossRef]
- Alonso, M.; Fernández, I. Quantifying aromaticity according to the energetic criterion. In Aromaticity: Modern Computational Methods and Applications; Fernández, I., Ed.; Elsevier: Dordrecht, The Netherlands, 2001; pp. 195–235. [Google Scholar]
- Schleyer, P.v.R.; Pühlhofer, F. Recommendations for the Evaluation of Aromatic Stabilization Energies. Org. Lett. 2002, 4, 2873–2876. [Google Scholar] [CrossRef] [PubMed]
- Jirásek, M.; Rickhaus, M.; Tejerina, L.; Anderson, H.L. Experimental and Theoretical Evidence for Aromatic Stabilization Energy in Large Macrocycles. J. Am. Chem. Soc. 2021, 143, 2403–2412. [Google Scholar] [CrossRef] [PubMed]
- Wannere, C.S.; Schleyer, P.v.R. How Aromatic Are Large (4n + 2)π Annulenes? Org. Lett. 2003, 5, 865–868. [Google Scholar] [CrossRef]
- Wannere, C.S.; Moran, D.; Allinger, N.L.; Hess, B.A.; Schaad, L.J.; Schleyer, P.v.R. On the Stability of Large [4n]Annulenes. Org. Lett. 2003, 5, 2983–2986. [Google Scholar] [CrossRef]
- Casademont-Reig, I.; Ramos-Cordoba, E.; Torrent-Sucarrat, M.; Matito, E. How do the Hückel and Baird Rules Fade away in Annulenes? Molecules 2020, 25, 711. [Google Scholar] [CrossRef]
- Van Nyvel, L.; Alonso, M.; Solà, M. Effect of size, charge, and spin state on Hückel and Baird aromaticity in [N]annulenes. Chem. Sci. 2025, 16, 5613–5622. [Google Scholar] [CrossRef]
- Glidewell, C.; Lloyd, D. MNDO study of bond orders in some conjugated bi- and tri-cyclic hydrocarbons. Tetrahedron 1984, 40, 4455–4472. [Google Scholar] [CrossRef]
- Clar, E. The Aromatic Sextet; Wiley: New York, NY, USA, 1972. [Google Scholar]
- Solà, M. Forty years of Clar’s aromatic π-sextet rule. Front. Chem. 2013, 1, 22. [Google Scholar] [CrossRef]
- Wunsch, L.; Neusser, H.J.; Schlag, E.W. Two photon excitation spectrum of benzene and benzene-d6 in the gas phase: Assignment of inducing modes by hot band analysis. Chem. Phys. Lett. 1975, 31, 433–440. [Google Scholar] [CrossRef]
- Mikami, N.; Ito, M. Vibronic coupling involving the ground states of benzene and naphthalene. J. Chem. Phys. 1976, 64, 3077–3078. [Google Scholar] [CrossRef]
- Wunsch, L.; Metz, F.; Neusser, H.J.; Schlag, E.W. Two-photon spectroscopy in the gas phase: Assignments of molecular transition in benzene. J. Chem. Phys. 1977, 66, 386–400. [Google Scholar] [CrossRef]
- Robey, M.J.; Schlag, E.W. The 1B2u excited state of benzene: Force field and normal coordinates. J. Chem. Phys. 1977, 67, 2775–2781. [Google Scholar] [CrossRef]
- Orlandi, G.; Zerbetto, F. Pseudoparity propensity rules for vibronic perturbations in neutral alternant hydrocarbons. Chem. Phys. Lett. 1986, 131, 409–413. [Google Scholar] [CrossRef]
- Blancafort, L.; Solà, M. The pseudo-Jahn-Teller effect as the origin of the exalted frequency of the b2u Kekulé mode in the 1B2u excited state of benzene. J. Phys. Chem. A 2006, 110, 11219–11222. [Google Scholar] [CrossRef]
- Pearson, R.G. Symmetry rule for predicting molecular structures. J. Am. Chem. Soc. 1969, 91, 4947–4955. [Google Scholar] [CrossRef]
- Shaik, S.S.; Shurki, A.; Danovich, D.; Hiberty, P.C. A different story of π-Delocalization—The distortivity of π-electrons and its chemical manifestations. Chem. Rev. 2001, 101, 1501–1539. [Google Scholar] [CrossRef]
- Hiberty, P.C.; Shaik, S.S. The distortive tendencies of π electronic systems, their relationship to isoelectronic σ bonded analogs, and observables: A description free of the classical paradoxes. Phys. Chem. Chem. Phys. 2004, 6, 224–231. [Google Scholar] [CrossRef]
- Jug, K.; Hiberty, P.C.; Shaik, S.S. σ-π energy separation in modern electronic theory for ground states of conjugated systems. Chem. Rev. 2001, 101, 1477–1500. [Google Scholar] [CrossRef]
- Shaik, S.; Zilberg, S.; Haas, Y. A Kekulé-Crossing Model for the “Anomalous” Behavior of the b2u Modes of Aromatic Hydrocarbons in the Lowest Excited 1B2u State. Acc. Chem. Res. 1996, 29, 211–218. [Google Scholar] [CrossRef]
- Haas, Y.; Zilberg, S. The v14(b2u) model of benzene in S0 and S1 and the Distortive Nature of the π Electron System: Theory and Experiment. J. Am. Chem. Soc. 1995, 117, 5387–5388. [Google Scholar] [CrossRef]
- Pierrefixe, S.C.A.H.; Bickelhaupt, F.M. Aromaticity: Molecular-Orbital Picture of an Intuitive Concept. Chem. Eur. J. 2007, 13, 6321–6328. [Google Scholar] [CrossRef]
- Sarfraz, I.; Roglans, A.; Artigas, A.; Solà, M. Exploring the Impact of Topological Variations on the Stability of the Ground Singlet and Lowest-Lying Triplet States of Catacondensed Hexabenzenoids. Eur. J. Org. Chem. 2025, 28, e202500376. [Google Scholar] [CrossRef]
- Liu, Z.; Lu, T. Cyclo[18]carbon and Beyond: New Materials, New Properties, and New Opportunities. Acc. Mater. Res. 2025, 6, 1220–1231. [Google Scholar] [CrossRef]
- Liu, Z.; Lu, T.; Chen, Q. An sp-hybridized all-carboatomic ring, cyclo[18]carbon: Bonding character, electron delocalization, and aromaticity. Carbon 2020, 165, 468–475. [Google Scholar] [CrossRef]
- Kaiser, K.; Scriven, L.M.; Schulz, F.; Gawel, P.; Gross, L.; Anderson, H.L. An sp-hybridized molecular carbon allotrope, cyclo[18]carbon. Science 2019, 365, 1299–1301. [Google Scholar] [CrossRef] [PubMed]
- Arulmozhiraja, S.; Ohno, T. CCSD calculations on C14, C18, and C22 carbon clusters. J. Chem. Phys. 2008, 128, 114301. [Google Scholar] [CrossRef]
- Solà, M.; Szczepanik, D.W. Molecular aromaticity: A quantum phenomenon. Pure Appl. Chem. 2025, 97, 1149–1157. [Google Scholar] [CrossRef]
- Stasyuk, A.J.; Stasyuk, O.A.; Solà, M.; Voityuk, A.A. Cyclo[18]carbon: The smallest all-carbon electron acceptor. Chem. Commun. 2020, 56, 352–355. [Google Scholar] [CrossRef]
- Baryshnikov, G.V.; Valiev, R.R.; Kuklin, A.V.; Sundholm, D.; Ågren, H. Cyclo[18]carbon: Insight into Electronic Structure, Aromaticity, and Surface Coupling. J. Phys. Chem. Lett. 2019, 10, 6701–6705. [Google Scholar] [CrossRef] [PubMed]
- Dai, C.; Chen, D.; Zhu, J. Achieving Adaptive Aromaticity in Cyclo[10]carbon by Screening Cyclo[n]carbon (n = 8–24). Chem. Asian J. 2020, 15, 2187–2191. [Google Scholar] [CrossRef] [PubMed]
- Charistos, N.D.; Muñoz-Castro, A. Induced magnetic field in sp-hybridized carbon rings: Analysis of double aromaticity and antiaromaticity in cyclo[2N]carbon allotropes. Phys. Chem. Chem. Phys. 2020, 22, 9240–9249. [Google Scholar] [CrossRef]
- Fowler, P.W.; Mizoguchi, N.; Bean, D.E.; Havenith, R.W.A. Double Aromaticity and Ring Currents in All-Carbon Rings. Chem. Eur. J. 2009, 15, 6964–6972. [Google Scholar] [CrossRef] [PubMed]
- Pan, C.; Liu, Z. Intermolecular Interaction, Electronic Structure and Aromaticity of Possible Dimers of Cyclo[18]Carbon (C18). ChemPhysChem 2025, 26, e202400912. [Google Scholar] [CrossRef] [PubMed]
- Kozáková, S.; Alharzali, N.; Černušák, I. Cyclo[n]carbons and catenanes from different perspectives: Disentangling the molecular thread. Phys. Chem. Chem. Phys. 2023, 25, 29386–29403. [Google Scholar] [CrossRef]
- Baranac-Stojanović, M. (Anti)aromaticity of cyclo[2n]carbons (n = 3–12). Chem. Asian J. 2025, 20, e202500295. [Google Scholar] [CrossRef]
- Hess, B.A., Jr.; Schaad, L.J. Ab Initio Calculation of Resonance Energies. Benzene and Cyclobutadiene. J. Am. Chem. Soc. 1983, 105, 7500–7505. [Google Scholar] [CrossRef]
- Vogel, E. The porphyrins from the ‘annulene chemist’s’ perspective. Pure Appl. Chem. 1993, 65, 143–152. [Google Scholar] [CrossRef]
- Simpson, M.C.; Novikova, N.I. Porphyrins: Electronic Structure and Ultraviolet/Visible Absorption Spectroscopy. In Fundamentals of Porphyrin Chemistry; John Wiley & Sons, Ltd.: Hoboken, NJ, USA, 2022; pp. 505–586. [Google Scholar]
- De Vleeschouwer, F.; Desmedt, E.; Alonso, M. Exploring Aromaticity in Expanded Porphyrins: A Multidimensional Approach to Structure–Property Relationships. Chem. Methods 2025, 5, e202500064. [Google Scholar] [CrossRef]
- Escayola, S.; Labella, J.; Szczepanik, D.W.; Poater, A.; Torres, T.; Solà, M.; Matito, E. From (Sub)Porphyrins to (Sub)Phthalocyanines: Aromaticity Signatures in the UV–Vis Absorption Spectra. Inorg. Chem. 2024, 63, 18251–18262. [Google Scholar] [CrossRef]
- Steiner, E.; Fowler, P.W. Ring Currents in the Porphyrins: A Four-Orbital Model. ChemPhysChem 2002, 3, 114–116. [Google Scholar] [CrossRef] [PubMed]
- Wu, J.I.; Fernández, I.; Schleyer, P.v.R. Description of Aromaticity in Porphyrinoids. J. Am. Chem. Soc. 2013, 135, 315–321. [Google Scholar] [CrossRef]
- Liu, C.; Shen, D.-M.; Chen, Q.-Y. Synthesis and Reactions of 20 π-Electron β-Tetrakis(trifluoromethyl)-meso-tetraphenylporphyrins. J. Am. Chem. Soc. 2007, 129, 5814–5815. [Google Scholar] [CrossRef] [PubMed]
- Stępień, M.; Latos-Grażyński, L.; Sprutta, N.; Chwalisz, P.; Szterenberg, L. Expanded Porphyrin with a Split Personality: A Hückel–Möbius Aromaticity Switch. Angew. Chem. Int. Ed. 2007, 46, 7869–7873. [Google Scholar] [CrossRef] [PubMed]
- Stępień, M.; Sprutta, N.; Latos-Grażyński, L. Figure Eights, Möbius Bands, and More: Conformation and Aromaticity of Porphyrinoids. Angew. Chem. Int. Ed. 2011, 50, 4288–4340. [Google Scholar] [CrossRef]
- Cissell, J.A.; Vaid, T.P.; Yap, G.P.A. The Doubly Oxidized, Antiaromatic Tetraphenylporphyrin Complex [Li(TPP)][BF4]. Org. Lett. 2006, 8, 2401–2404. [Google Scholar] [CrossRef]
- Nguyen, D.D.; Labella, J.; Laforga-Martín, J.; Folcia, C.L.; Ortega, J.; Torres, T.; Sierra, T.; Sessler, J.L. Columnar liquid crystals based on antiaromatic expanded porphyrins. Chem. Commun. 2024, 60, 3401–3404. [Google Scholar] [CrossRef]
- Zheng, X.-L.; Lin, H.-S.; Zhang, B.-W.; Maruyama, S.; Matsuo, Y. Synthesis of Conjugated Donor–Acceptor Antiaromatic Porphyrins and Their Application to Perovskite Solar Cells. J. Org. Chem. 2022, 87, 5457–5463. [Google Scholar] [CrossRef]
- Nozawa, R.; Tanaka, H.; Cha, W.-Y.; Hong, Y.; Hisaki, I.; Shimizu, S.; Shin, J.-Y.; Kowalczyk, T.; Irle, S.; Kim, D.; et al. Stacked antiaromatic porphyrins. Nat. Commun. 2016, 7, 13620. [Google Scholar] [CrossRef]
- Szczepanik, D.W.; Andrzejak, M.; Dyduch, K.; Żak, E.; Makowski, M.; Mazur, G.; Mrozek, J. A uniform approach to the description of multicenter bonding. Phys. Chem. Chem. Phys. 2014, 16, 20514–20523. [Google Scholar] [CrossRef]
- Szczepanik, D.W.; Andrzejak, M.; Dominikowska, J.; Pawełek, B.; Krygowski, T.M.; Szatylowicz, H.; Solà, M. The electron density of delocalized bonds (EDDB) applied for quantifying aromaticity. Phys. Chem. Chem. Phys. 2017, 19, 28970–28981. [Google Scholar] [CrossRef] [PubMed]
- Szczepanik, D.W. Szczepanik Research Group. Available online: https://aromaticity.uj.edu.pl/ (accessed on 14 December 2025).
- Chai, J.-D.; Head-Gordon, M. Long-range corrected hybrid density functionals with damped atom–atom dispersion corrections. Phys. Chem. Chem. Phys. 2008, 10, 6615–6620. [Google Scholar] [CrossRef]
- Weigend, F.; Ahlrichs, R. Balanced basis sets of split valence, triple zeta valence and quadruple zeta valence quality for H to Rn: Design and assessment of accuracy. Phys. Chem. Chem. Phys. 2005, 7, 3297–3305. [Google Scholar] [CrossRef]
- Frisch, M.J.; Trucks, G.W.; Schlegel, H.B.; Scuseria, G.E.; Robb, M.A.; Cheeseman, J.R.; Scalmani, G.; Barone, V.; Petersson, G.A.; Nakatsuji, H.; et al. Gaussian 16 Rev. C.01, 2016. Available online: https://gaussian.com/relnotes/ (accessed on 14 December 2025).





| N | 12 | 16 | 20 | 24 | 28 | 32 | 36 | 40 | 44 | 48 | 52 | 56 | 60 | 64 |
| 0.104 | 0.101 | 0.086 | 0.073 | 0.068 | 0.065 | 0.063 | 0.061 | 0.060 | 0.059 | 0.058 | 0.058 | 0.057 | 0.057 | |
| N | 14 | 18 | 22 | 26 | 30 | 34 | 38 | 42 | 46 | 50 | 54 | 58 | 62 | 66 |
| 0.008 | 0.011 | 0.008 | 0.006 | 0.034 | 0.044 | 0.048 | 0.051 | 0.053 | 0.054 | 0.055 | 0.055 | 0.055 | 0.055 |
Disclaimer/Publisher’s Note: The statements, opinions and data contained in all publications are solely those of the individual author(s) and contributor(s) and not of MDPI and/or the editor(s). MDPI and/or the editor(s) disclaim responsibility for any injury to people or property resulting from any ideas, methods, instructions or products referred to in the content. |
© 2026 by the authors. Licensee MDPI, Basel, Switzerland. This article is an open access article distributed under the terms and conditions of the Creative Commons Attribution (CC BY) license.
Share and Cite
Solà, M.; Cavallo, L. Energetic Preferences in Cyclic π-Conjugated Systems: Aromaticity Localizes and Antiaromaticity Spreads. Chemistry 2026, 8, 7. https://doi.org/10.3390/chemistry8010007
Solà M, Cavallo L. Energetic Preferences in Cyclic π-Conjugated Systems: Aromaticity Localizes and Antiaromaticity Spreads. Chemistry. 2026; 8(1):7. https://doi.org/10.3390/chemistry8010007
Chicago/Turabian StyleSolà, Miquel, and Luigi Cavallo. 2026. "Energetic Preferences in Cyclic π-Conjugated Systems: Aromaticity Localizes and Antiaromaticity Spreads" Chemistry 8, no. 1: 7. https://doi.org/10.3390/chemistry8010007
APA StyleSolà, M., & Cavallo, L. (2026). Energetic Preferences in Cyclic π-Conjugated Systems: Aromaticity Localizes and Antiaromaticity Spreads. Chemistry, 8(1), 7. https://doi.org/10.3390/chemistry8010007

