Sign in to use this feature.

Years

Between: -

Subjects

remove_circle_outline
remove_circle_outline
remove_circle_outline
remove_circle_outline
remove_circle_outline
remove_circle_outline
remove_circle_outline
remove_circle_outline
remove_circle_outline

Journals

remove_circle_outline
remove_circle_outline
remove_circle_outline
remove_circle_outline
remove_circle_outline
remove_circle_outline

Article Types

Countries / Regions

remove_circle_outline
remove_circle_outline
remove_circle_outline
remove_circle_outline
remove_circle_outline
remove_circle_outline

Search Results (347)

Search Parameters:
Keywords = AD rat model

Order results
Result details
Results per page
Select all
Export citation of selected articles as:
16 pages, 4296 KB  
Article
Evaluation of an AD-MSC Supernatant-Loaded Thermosensitive Hydrogel for Cartilage Protection in Osteoarthritis
by Junpeng Zhang, Shicheng Zhang, Miao Cheng, Yushu Han, Hong Zhang and Huiling Xue
Int. J. Mol. Sci. 2026, 27(5), 2405; https://doi.org/10.3390/ijms27052405 - 5 Mar 2026
Viewed by 167
Abstract
Knee osteoarthritis (KOA) is a degenerative joint disorder characterized by chronic inflammation and progressive cartilage degradation. Mesenchymal stem cell (MSC)-based therapies have demonstrated therapeutic potential; however, increasing evidence suggests that their efficacy primarily arises from paracrine factors, highlighting the potential of cell free [...] Read more.
Knee osteoarthritis (KOA) is a degenerative joint disorder characterized by chronic inflammation and progressive cartilage degradation. Mesenchymal stem cell (MSC)-based therapies have demonstrated therapeutic potential; however, increasing evidence suggests that their efficacy primarily arises from paracrine factors, highlighting the potential of cell free approaches. In this study, we developed an injectable, thermosensitive composite hydrogel incorporating adipose-derived MSC (AD-MSC) supernatant within a Pluronic F-127 (PF-127)/sodium hyaluronate (HA) matrix. The hydrogel exhibited a solution state at a low temperature and rapidly transitioned into a stable gel at a physiological temperature without chemical crosslinkers. Microstructural analysis revealed a porous, interconnected three-dimensional network favorable for the sustained release of bioactive factors. In a rat model of KOA, intra-articular administration of the AD-MSC supernatant-loaded hydrogel significantly improved joint architecture and locomotor performance, alleviated synovial inflammation, and preserved cartilage integrity. Radiographic and histological assessments demonstrated reduced cartilage degeneration and subchondral bone alterations. Moreover, the treatment markedly decreased intra-articular levels of proinflammatory cytokines (IL-1β and TNF-α) and the cartilage degradation marker CTX-II in a time-dependent manner. These findings indicated that the sustained local delivery of AD-MSC-derived supernatant effectively modulated joint inflammation and attenuated cartilage degeneration, with the hydrogel serving primarily as a delivery vehicle for these bioactive factors. This cell-free injectable biomaterial platform could offer a promising therapeutic strategy for the treatment of knee osteoarthritis. Full article
(This article belongs to the Special Issue Current Advances in Mesenchymal Stem Cells for Tissue Regeneration)
Show Figures

Figure 1

20 pages, 2550 KB  
Article
Increase in BACE1 Phosphorylation in the Rat Hippocampus and Phytosphingosine in Plasma After Chronic Administration of Scopolamine
by Jazziel Velazquez Toledano, Isaac Guerrero González, Judith Pacheco-Yépez, José Correa Basurto and Martha Cecilia Rosales Hernández
Int. J. Mol. Sci. 2026, 27(5), 2241; https://doi.org/10.3390/ijms27052241 - 27 Feb 2026
Viewed by 205
Abstract
Alzheimer’s disease (AD) is characterized by progressive cognitive decline associated with the accumulation of amyloid-β (Aβ) peptides and dysregulation of β-site amyloid precursor protein-cleaving enzyme (BACE1) and its phosphorylation at T252 (P-BACE1-T252) as well to the kinase’s expression and activity. In this study, [...] Read more.
Alzheimer’s disease (AD) is characterized by progressive cognitive decline associated with the accumulation of amyloid-β (Aβ) peptides and dysregulation of β-site amyloid precursor protein-cleaving enzyme (BACE1) and its phosphorylation at T252 (P-BACE1-T252) as well to the kinase’s expression and activity. In this study, the effects of chronic scopolamine administration on Aβ1-42 levels, BACE1 expression and activity, P-BACE1-T252, PKA expression and BACE1, and PKA activity were evaluated, along with the identification of some metabolites in plasma. Twenty-seven male Wistar rats were divided into control and scopolamine-treated groups (2 mg/kg/day, i.p.) for six weeks. Scopolamine increased hippocampal Aβ1-42 2.1-fold (p < 0.0001) by ELISA, which correlates with the increase in BACE1 expression (85%) by Western blot and its activity (p < 0.05) relative to that in the control group. In addition, despite the fact that an increase in P-BACE1-T252 expression by Western blot was observed in hippocampus and prefrontal cortex, it was more in the hippocampus; notably, this result correlates with the PKA expression and activity which was reduced in the hippocampus (p < 0.05) but not in the prefrontal cortex. Identification of some metabolites that has been reported during the administration of Aβ and could be present in the scopolamine model were carried out by UHPLC-MS/MS, finding elevated plasma phytosphingosine and decreased acetylcarnitine, suggesting disrupted lipid metabolism associated with scopolamine-induced cognitive impairment. Full article
(This article belongs to the Special Issue Drug Development and Discovery for Alzheimer's Disease)
Show Figures

Figure 1

18 pages, 3778 KB  
Article
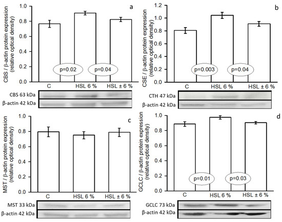
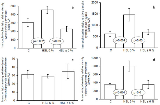
The Chronic Elevated Consumption of Hibiscus sabdariffa Linnaeus Results in Kidney Damage Associated with Excess H2S
by Linaloe Manzano-Pech, María Elena Soto, Vicente Castrejón-Tellez, Elizabeth Soria-Castro, Verónica Guarner-Lans, Sara Caballero-Chacón, Raúl Martínez-Memije, Juan Carlos Torres-Narváez, Mohammed El-Hafidi and Israel Pérez-Torres
Int. J. Mol. Sci. 2026, 27(5), 2190; https://doi.org/10.3390/ijms27052190 - 26 Feb 2026
Viewed by 255
Abstract
Hydrogen sulfide (H2S) is essential for renal function; however, it is toxic at high concentrations. H2S is increased during reductive stress (RS). Increased antioxidant capacity and reduced/oxidized glutathione (GSH/GSSG) characterize a rat model of RS associated with chronic consumption [...] Read more.
Hydrogen sulfide (H2S) is essential for renal function; however, it is toxic at high concentrations. H2S is increased during reductive stress (RS). Increased antioxidant capacity and reduced/oxidized glutathione (GSH/GSSG) characterize a rat model of RS associated with chronic consumption of 6% Hibiscus sabdariffa Linnaeus (HSL). Here, we evaluate if chronic consumption of an infusion of HSL causes kidney damage associated with an increase in H2S. Twenty-one Wistar rats were divided into three groups. Group 1: rats received plain tap water ad libitum (G1); Group 2: rats received an ad libitum infusion of 6% HSL for one month (G2); and Group 3: rats consumed a 6% HSL infusion for one month and were then given natural water for another month (G3). We evaluated renal vasodilatation, cystathionine–β–synthase (CBS), cystathionine–γ–lyase (CSE), 3–mercaptopyruvate-sulfur-transferase (3–MST), γ-glutamylcysteine synthetase (GCLC), Nrf2, total OXPHOS, H2S concentration, GSH/GSSG and oxidized/reduced thiols in the kidney. Renal vasodilatation and total OXPHOS in complex IV and I and oxidized/reduced thiols were decreased (p ≤ 0.01) but H2S, CBS, SCE, GCLC, and NrF2 expression and GSH/GSSG were increased (p ≤ 0.04). The HSL infusion provided cysteine that was metabolized by CBS and CSE, elevating chronic H2S and favoring renal damage. Full article
(This article belongs to the Section Molecular Endocrinology and Metabolism)
Show Figures

Graphical abstract

15 pages, 4524 KB  
Article
Effects of Continuous Theta Burst Stimulation on Behavior and NMDA Receptor Subunits in the Trimethyltin-Induced Alzheimer’s-like Disease Model
by Marina Zaric Kontic, Milica Zeljkovic Jovanovic, Andjela Stekic, Jelena Stanojevic, Ivana Stevanovic, Dejan Stevic, Milica Ninkovic and Milorad Dragic
Biomedicines 2026, 14(2), 391; https://doi.org/10.3390/biomedicines14020391 - 8 Feb 2026
Viewed by 594
Abstract
Background: Trimethyltin (TMT)-induced neurodegeneration leads to molecular and behavioral changes resembling those of Alzheimer’s disease (AD), making it a relevant model for investigating potential therapeutic interventions. Continuous theta burst stimulation (cTBS) has shown promise in psychiatric and neurological disorders but remains largely [...] Read more.
Background: Trimethyltin (TMT)-induced neurodegeneration leads to molecular and behavioral changes resembling those of Alzheimer’s disease (AD), making it a relevant model for investigating potential therapeutic interventions. Continuous theta burst stimulation (cTBS) has shown promise in psychiatric and neurological disorders but remains largely unexplored in AD models. Methods: Adult male Wistar rats were divided into four experimental groups: intact, TMT (8 mg/kg, ip) and TMT treated with cTBS or a sham protocol for three weeks. The open field test and novel object recognition test were used to assess anxiety-like behavior, memory, and learning, respectively. The extent of microgliosis in the hippocampus was assessed by immunohistochemistry, while protein expression was estimated by Western blot. Results: cTBS improved TMT-mediated changes in anxiety-like behavior, learning, and memory and reduced microgliosis in the CA1 hippocampal region. Both TMT and cTBS affected NMDAR subunits, with the most significant finding being a cTBS-mediated decrease in NR2B, which was previously increased by TMT. Conclusions: These are the first data on the beneficial effects of cTBS on behavioral and molecular changes in a model of neurodegeneration that mimics some of the key aspects of AD pathology. Further research is needed to clarify the therapeutic potential of cTBS in AD treatment. Full article
Show Figures

Graphical abstract

18 pages, 5298 KB  
Article
Neuroprotective Effects of Herbal Formula Yookgong-Dan on Oxidative Stress-Induced Tau Hyperphosphorylation in Rat Primary Hippocampal Neurons
by Hyunseong Kim, Jin Young Hong, Changhwan Yeo, Hyun Kim, Wan-Jin Jeon, Junseon Lee, Yoon Jae Lee and In-Hyuk Ha
Biology 2026, 15(3), 294; https://doi.org/10.3390/biology15030294 - 6 Feb 2026
Viewed by 441
Abstract
This study sought to evaluate the neuroprotective effects of YGD in an oxidative stress-induced Alzheimer’s disease (AD)-like cellular model and to elucidate the underlying molecular pathways, with a focus on tau phosphorylation, Aβ accumulation, and antioxidant defense mechanisms. Rat primary hippocampal neurons were [...] Read more.
This study sought to evaluate the neuroprotective effects of YGD in an oxidative stress-induced Alzheimer’s disease (AD)-like cellular model and to elucidate the underlying molecular pathways, with a focus on tau phosphorylation, Aβ accumulation, and antioxidant defense mechanisms. Rat primary hippocampal neurons were exposed to hydrogen peroxide to induce oxidative stress. The effects of YGD on neuronal viability, neurite outgrowth, and synaptic integrity were assessed using the immunodetection of microtubule-associated protein 2 (MAP2), postsynaptic density protein 95 (PSD-95), and synapsin-1. Levels of phosphorylated tau and Aβ were quantified, and the involvement of extracellular signal-regulated kinase (ERK), glycogen synthase kinase 3β (GSK3β), and nuclear factor-erythroid 2-related factor-2 (Nrf2) pathways was examined. Additionally, in silico molecular docking studies targeting the ATP-binding site of GSK3β were conducted to screen major phytochemicals from the ten medicinal herbs constituting YGD. YGD markedly enhanced neuronal viability under oxidative stress, promoted neurite extension, and increased synaptic marker expression (MAP2, PSD-95, and synapsin-1). Treatment reduced phosphorylated tau by suppressing ERK and GSK3β activation and significantly decreased Aβ accumulation. YGD also upregulated antioxidant defenses via the activation of the Nrf2 pathway. Docking simulations identified oleanolic acid (from Cornus officinalis) as the most potent GSK3β binder (−9.86 ± 0.40 kcal/mol), forming stable interactions with ARG96, ASN95, and GLU97. Additional compounds, including alisol C, drypemolundein B, and friedelin, demonstrated favorable binding energies and engaged key ATP-binding site residues. YGD confers neuroprotection through the integrated modulation of tau phosphorylation, Aβ pathology, and oxidative stress, partly via the multi-target engagement of GSK3β by its constituent phytochemicals. These findings support that YGD attenuates oxidative stress-induced AD-like cellular alterations. Full article
Show Figures

Graphical abstract

12 pages, 2126 KB  
Article
Early Molecular Biomarkers in an Amyloid-β-Induced Rat Model of Alzheimer’s Disease: Effects of Kelulut Honey
by Ammara Shaikh, Fairus Ahmad, Jayakumar Murthy, Seong Lin Teoh and Mohamad Fairuz Yahaya
Int. J. Mol. Sci. 2026, 27(2), 1059; https://doi.org/10.3390/ijms27021059 - 21 Jan 2026
Viewed by 476
Abstract
Alzheimer’s disease (AD) is the leading cause of dementia worldwide, characterized by progressive neurodegeneration and cognitive decline. Early diagnosis remains critical for enabling timely intervention. However, detecting the earliest pathological changes is challenging due to the limited availability of reliable biomarkers that reflect [...] Read more.
Alzheimer’s disease (AD) is the leading cause of dementia worldwide, characterized by progressive neurodegeneration and cognitive decline. Early diagnosis remains critical for enabling timely intervention. However, detecting the earliest pathological changes is challenging due to the limited availability of reliable biomarkers that reflect early disease pathology in experimental models. This study evaluated molecular markers associated with AD-related processes in a rat model inoculated with human amyloid β (Aβ)1-42 peptides. We assessed the levels of biomarkers: Aβ1-42, Aβ42, phosphorylated tau, monocyte chemoattractant protein-1 (MCP-1), nuclear factor kappa B (NF-κB p65) and superoxide dismutase 1 (SOD1) in hippocampal tissue and serum using enzyme-linked immunosorbent assay. A treatment group receiving Kelulut honey was included to evaluate biomarker responsiveness. Results showed significant elevation in hippocampal Aβ1-42 and phosphorylated tau in diseased rats, with changes in inflammatory markers MCP-1 and NF-κB p65, whereas no significant change was observed in oxidative stress marker SOD1. Serum levels of Aβ1-42 and MCP-1 did not differ significantly between groups, indicating limited peripheral sensitivity after a month of disease induction. These findings suggest that amyloid-, tau-, and inflammation-related markers in hippocampal tissue may be informative for early pathological changes in this acute model, while serum markers showed limited sensitivity. Full article
(This article belongs to the Special Issue Research in Alzheimer’s Disease: Advances and Perspectives)
Show Figures

Figure 1

23 pages, 12387 KB  
Article
Behavioral, Histopathological, and Biochemical Implications of Aloe Emodin in Copper-Aβ-Induced Alzheimer’s Disease-like Model Rats
by Xitong Zhao, Jianing Yin, Baojian Du, Wenqian Fan, Yang Chen, Yazhu Yang, Fang Fang and Jun Guan
Curr. Issues Mol. Biol. 2026, 48(1), 86; https://doi.org/10.3390/cimb48010086 - 15 Jan 2026
Viewed by 391
Abstract
Simultaneously inhibiting beta-amyloid protein (Aβ) aggregation and reducing metal ion overload in the brain is a promising strategy for treating Alzheimer’s disease (AD). Aloe emodin (AE) is one of the major components of the traditional Chinese medicine rhubarb. Based on its reported pharmacological [...] Read more.
Simultaneously inhibiting beta-amyloid protein (Aβ) aggregation and reducing metal ion overload in the brain is a promising strategy for treating Alzheimer’s disease (AD). Aloe emodin (AE) is one of the major components of the traditional Chinese medicine rhubarb. Based on its reported pharmacological effects and its structural affinity for metal ions, this study aims to explore the potential of AE in improving AD pathology. Through the injection of Aβ or copper-Aβ complex in the bilateral hippocampus of rats, we constructed two kinds of nontransgenic animal models. Behavioral tests were used to evaluate cognitive impairment, and the effects of AE on neuronal damage and Aβ deposition were measured via Nissl staining and immunohistochemistry. Furthermore, we detected copper content in the serum and brain tissues as well as some biochemical indexes of Aβ cascade pathology in the brain tissues of model rats to explore the mechanism of action. AE treatment decreased copper accumulation and regulated Aβ metabolism in the brain of model rats, thereby improving Aβ deposition, memory impairment, hippocampal nerve cell damage, and related biochemical indicators. AE ameliorated the AD pathology of the model rats by targeting copper-induced Aβ toxicity, revealing a mechanism of action by which AE may exhibit good clinical efficacy in treating AD. Full article
Show Figures

Figure 1

19 pages, 2851 KB  
Article
Adenovector 26 Encoded RSV Prefusion F Protein (Ad26.RSV.preF) Does Not Predispose to Enhanced Respiratory Disease in Preclinical Rodent Models
by Renske Bolder, Susan B. S. King, Roland C. Zahn and Leslie van der Fits
Vaccines 2026, 14(1), 87; https://doi.org/10.3390/vaccines14010087 - 15 Jan 2026
Viewed by 505
Abstract
Background/objectives: RSV is a major cause of mortality in infants, and despite recent progress to prevent RSV in the very young, an RSV vaccine for this population is still highly warranted. Clinical studies in infants in the 1960s using formalin-inactivated RSV (FI-RSV) led [...] Read more.
Background/objectives: RSV is a major cause of mortality in infants, and despite recent progress to prevent RSV in the very young, an RSV vaccine for this population is still highly warranted. Clinical studies in infants in the 1960s using formalin-inactivated RSV (FI-RSV) led to life-threatening enhanced respiratory disease (ERD). Therefore, a thorough safety assessment of RSV vaccine candidates intended for RSV seronegative infants is crucial. Methods: Prior to clinical pediatric development of Ad26.RSV.preF, an adenovirus type 26 vector-encoding RSV F protein stabilized in its prefusion conformation, predisposition to ERD was extensively assessed in cotton rat and mouse models. Results: Cotton rats intramuscularly immunized with a wide dose range of Ad26.RSV.preF, including low and sub-protective vaccine doses, and challenged with vaccine homologous RSV A2 or heterologous RSV B Wash 18537, did not show signs of predisposition to ERD. Histopathology scores for alveolitis, peribronchiolitis, interstitial pneumonia, and perivasculitis after challenge were significantly lower for Ad26.RSV.preF-immunized cotton rats compared to FI-RSV-immunized cotton rats and comparable to or lower than scores in cotton rats intranasally pre-exposed to RSV prior to challenge to mimic natural repeated infection. These results were observed in animals with or without viral replication in the lung after RSV challenge, in the presence or absence of vaccine-induced antibodies. Similar results were observed in mice, where more extensive assessment of mono- and polymorphonuclear cell alveolitis, mucus cell hyperplasia, and mucus accumulation was performed. Conclusions: Based on these extensive analyses, we conclude that there are no indications of ERD predisposition after Ad26.RSV.preF vaccination in rodent models, irrespective of the vaccine dose, challenge virus strain, or presence of viral replication in the lung. These results are crucial for the pediatric development of this vaccine. Full article
Show Figures

Figure 1

15 pages, 5553 KB  
Article
Animal Models of Alzheimer’s Disease Evaluated with [11C]Pittsburg Compound B
by Santiago Burgos-Puentes, Arturo Avendaño-Estrada, Marquiza Sablón-Carrazana, Eleazar Ramírez-Hernández, Andrea Granados-Juárez, Gerardo Bernabé Ramírez-Rodríguez, Marco Meraz-Ríos, Hilda Martínez-Coria and Miguel A. Ávila-Rodríguez
Life 2026, 16(1), 123; https://doi.org/10.3390/life16010123 - 14 Jan 2026
Viewed by 447
Abstract
Several animal models of Alzheimer’s disease have been developed and tested for diagnostic and treatment purposes. [11C]PIB is the gold-standard radiotracer for the detection of Aβ plaque deposits, a hallmark of the disease. This study aimed to evaluate the in vivo [...] Read more.
Several animal models of Alzheimer’s disease have been developed and tested for diagnostic and treatment purposes. [11C]PIB is the gold-standard radiotracer for the detection of Aβ plaque deposits, a hallmark of the disease. This study aimed to evaluate the in vivo detection of Aβ plaques using [11C]PIB microPET imaging across different animal models of Alzheimer’s disease. The study included 3xTg-AD transgenic mice, TgF344-AD transgenic rats and Aβ injection-based rat model. The results showed an age-related increase in [11C]PIB uptake in 3xTg-AD mice, particularly in the midbrain and thalamus. In TgF344-AD rats, differences were also observed compared to WT controls, with the highest values observed in the hippocampus and cortex. In the injection-based model, inoculated rats showed greater uptake in the injection site than SHAM animals. Across all microPET studies, [11C]PIB uptake was consistently higher in females than in their male counterparts. These findings support the value of transgenic and Aβ injection-based models in preclinical research on Aβ plaque deposition and highlight the importance of considering species, model type, sex, and age in experimental design. Full article
(This article belongs to the Special Issue Advances in Medical Imaging of Animal Models for Human Diseases)
Show Figures

Figure 1

34 pages, 6962 KB  
Article
Novel Repurposing of Empagliflozin-Loaded Buccal Composite (Chitosan/Silk Fibroin/Poly(lactic acid)) Nanofibers for Alzheimer’s Disease Management via Modulation of Aβ–AGER–p-tau Pathway
by Walaa A. El-Dakroury, Samar A. Salim, Abdelrahman R. Said, Gihan F. Asaad, Mohamed F. Abdelhameed, Marwa E. Shabana, Mohamed M. Ibrahim, Sara G. Abualmajd, Haidy H. Mosaad, Aliaa A. Salama, Shrouk E. Asran, Mayar L. Amer, Ahmed S. Doghish and Fatma Sa’eed El-Tokhy
Pharmaceutics 2026, 18(1), 83; https://doi.org/10.3390/pharmaceutics18010083 - 8 Jan 2026
Cited by 2 | Viewed by 1065
Abstract
Background/Objectives: Empagliflozin (EMPA) was repurposed for Alzheimer’s disease (AD) treatment via buccal delivery, exploiting novel nanofibers (NFs) integrating chitosan (Cs), silk fibroin (Fb), and poly(lactic acid) (PLA). Methods: EMPA-loaded Cs/Fb/PLA NFs were electrospun in different formulations to optimize the formulation parameters. [...] Read more.
Background/Objectives: Empagliflozin (EMPA) was repurposed for Alzheimer’s disease (AD) treatment via buccal delivery, exploiting novel nanofibers (NFs) integrating chitosan (Cs), silk fibroin (Fb), and poly(lactic acid) (PLA). Methods: EMPA-loaded Cs/Fb/PLA NFs were electrospun in different formulations to optimize the formulation parameters. The optimized formulation was then investigated for its enhanced in vivo effect. Results: Optimized nanofiber diameters ranged from 459 ± 173 to 668 ± 148 nm, possessing bead-free morphology confirmed by SEM and satisfactory mechanical properties. EMPA was successfully well-dispersed in the polymer matrix as evidenced by FTIR, XRD, and drug content. The optimized NFs displayed a hydrophilic surface (contact angle < 90°), and biphasic drug release with sustained EMPA liberation (84.98% over 24 h). In vivo, buccal EMPA-Cs/Fb/PLA NFs in an AlCl3-induced AD rat model significantly reduced brain-amyloid-β, phosphorylated tau, IL-1β, and AGER expression by 2.88-, 2.64-, 2.87-, and 2.50-fold, respectively, compared to positive controls, and improved locomotor activity (1.86-fold) and cognitive performance (T-maze) (4.17-fold). Compared to pure EMPA, the nanofiber formulation achieved further reductions in amyloid-β (1.78-fold), p-tau (1.42-fold), IL-1β (1.89-fold), and AGER (1.38-fold), with efficacy comparable to memantine. Histopathological examination revealed preservation of the hippocampal neuronal structure. Conclusions: The findings suggest EMPA-loaded Cs/Fb/PLA NFs as a promising non-invasive, sustained-release buccal delivery platform for AD therapy, offering multimodal neuroprotection through modulation of the Aβ–AGER–p-tau axis. Full article
(This article belongs to the Section Drug Delivery and Controlled Release)
Show Figures

Graphical abstract

22 pages, 396 KB  
Article
Repeatability and Variability of a High-Fat High-Fructose Diet-Induced Metabolic Syndrome Model in Young Adult Male Wistar Rats
by Danail Pavlov, Silvia Gancheva, Klementina Moneva-Marinova, Antoaneta Georgieva, Milena Todorova, Nadezhda Stefanova, Mehmed Reyzov, Elis Rafailova, Miroslav Eftimov, Maria Tzaneva, Stefka Valcheva-Kuzmanova and Maria Zhelyazkova-Savova
Methods Protoc. 2026, 9(1), 7; https://doi.org/10.3390/mps9010007 - 6 Jan 2026
Viewed by 1199
Abstract
Metabolic syndrome is a disorder of energy metabolism characterized by persistently high prevalence and significant medical and economic burden on society. An effective animal model that closely replicates the key features of the syndrome in humans is essential for evaluating therapeutic strategies aimed [...] Read more.
Metabolic syndrome is a disorder of energy metabolism characterized by persistently high prevalence and significant medical and economic burden on society. An effective animal model that closely replicates the key features of the syndrome in humans is essential for evaluating therapeutic strategies aimed at improving health outcomes. High-calorie diet-induced animal models of metabolic syndrome are preferred by many research groups for studying its pathogenesis, prevention and therapy. However, there are numerous variations in the types and proportions of carbohydrates and/or fats in the diets used. In 2015, our research team developed a diet-induced model of metabolic syndrome in young adult male Wistar rats that was based on adding 17% animal fat and 17% fructose to the standard rat chow and 10% fructose to the drinking water. This model reliably induced the morphometric and biochemical alterations that represent the core diagnostic features of the syndrome in humans. Since its initial introduction, we have utilized the high-fat high-fructose diet-induced model of metabolic syndrome/obesity in ten experimental studies. The current paper provides a protocol for applying the model, presents its repeatability and discusses the variability in the morphometric, biochemical, histopathological, immunohistochemical, and behavioral data of 10 experimental studies on Wistar rats. Full article
(This article belongs to the Section Biomedical Sciences and Physiology)
12 pages, 1022 KB  
Article
Modulation of Neuropsychiatric Symptoms by a Volatile Phytocomplex from Tetraclinis articulata in an Aβ1–42 Rat Model of Alzheimer’s Disease
by Paula Alexandra Postu, Marius Mihasan, Dragos Lucian Gorgan, Alexandru Bogdan Stache, Fatima Zahra Sadiki, Mostafa El Idrissi and Lucian Hritcu
Appl. Sci. 2026, 16(1), 511; https://doi.org/10.3390/app16010511 - 4 Jan 2026
Viewed by 635
Abstract
Tetraclinis articulata volatile phytocomplexes contain numerous bioactive terpenoids with neuroprotective potential; however, their efficacy in Alzheimer’s disease (AD)-related neuropsychiatric symptoms remain insufficiently explored. This study investigated the therapeutic effects of a Tetraclinis articulata-derived volatile phytocomplex (TLO) administered via inhalation at 1% and [...] Read more.
Tetraclinis articulata volatile phytocomplexes contain numerous bioactive terpenoids with neuroprotective potential; however, their efficacy in Alzheimer’s disease (AD)-related neuropsychiatric symptoms remain insufficiently explored. This study investigated the therapeutic effects of a Tetraclinis articulata-derived volatile phytocomplex (TLO) administered via inhalation at 1% and 3% concentrations for 21 consecutive days in a rat model of AD induced by intracerebroventricular injection of amyloid-beta 1–42 peptide (Aβ1–42). Behavioral assessment revealed that both 1% and 3% TLO significantly ameliorated anxiety- and depression-like behaviors, with effects comparable to diazepam (3 mg/kg, i.p.) and imipramine (20 mg/kg, i.p.), respectively. These behavioral improvements coincided with a partial restoration of brain-derived neurotrophic factor (BDNF) expression in the amygdala, whereas activity-regulated cytoskeleton-associated protein (ARC) levels remained unaffected. TLO also attenuated oxidative stress by reducing malondialdehyde (MDA) accumulation and enhancing superoxide dismutase (SOD) and glutathione peroxidase (GPX) activities, thereby contributing to the recovery of redox homeostasis. Furthermore, TLO provided significant protection against Aβ1–42-induced apoptotic DNA fragmentation, although it produced only minimal reductions in IL-1β expression, indicating limited anti-inflammatory effects. Collectively, these findings demonstrate that inhaled TLO, particularly at 1% and 3%, alleviates Aβ1–42-induced neuropsychiatric disturbances through antioxidant, anti-apoptotic, and BDNF-associated mechanisms, supporting its potential as an adjuvant phytotherapeutic strategy for managing behavioral symptoms in AD. Full article
(This article belongs to the Special Issue New Challenges into Pharmacology)
Show Figures

Figure 1

31 pages, 2695 KB  
Review
C16-siRNAs in Focus: Development of ALN-APP, a Promising RNAi-Based Therapeutic for Alzheimer’s Disease
by Ricardo Titze-de-Almeida, Guilherme de Melo Oliveira Gomes, Tayná Cristina dos Santos and Simoneide Souza Titze-de-Almeida
Pharmaceuticals 2026, 19(1), 26; https://doi.org/10.3390/ph19010026 - 22 Dec 2025
Viewed by 1267
Abstract
This review examines a small interfering RNA (siRNA) designed for intrathecal (IT) injection, which reduces the formation of amyloid beta precursor protein (APP), a critical factor in the pathology of Alzheimer’s disease (AD). The siRNA, designated ALN-APP, incorporates a 16-carbon chain (C16-siRNA) to [...] Read more.
This review examines a small interfering RNA (siRNA) designed for intrathecal (IT) injection, which reduces the formation of amyloid beta precursor protein (APP), a critical factor in the pathology of Alzheimer’s disease (AD). The siRNA, designated ALN-APP, incorporates a 16-carbon chain (C16-siRNA) to enhance its delivery to the central nervous system (CNS) while leveraging advancements in specificity and duration of action based on previously approved drugs by the Food and Drug Administration. The development of ALN-APP involved a comprehensive analysis of the optimal carbon chain length and its conjugation position to the siRNA. Preclinical studies conducted on male Sprague Dawley rats, mice, and non-human primates (NHPs) demonstrated the efficacy of ALN-APP. In rats, an IT injection of C16-siRNAs at a concentration of 30 mg/mL, delivering a dose of 0.9 mg, resulted in cranial distribution via cerebrospinal fluid and led to a 75% reduction in copper-zinc superoxide dismutase 1 (SOD1) mRNA levels. These effects were dose-dependent and persisted for three months across multiple brain regions. Furthermore, studies in NHPs indicated that soluble APP levels were reduced to below 25%, sustained for two months. In the cerebrovascular amyloid Nos2−/− (CVN) mouse model of AD, administration of 120 µg of siRNA via the intracerebroventricular route produced reductions in APP expression, with mRNA levels remaining suppressed for 60 days in the ventral cortex. Indeed, ALN-APP controlled neuropathology in 5xFAD mice by significantly reducing amyloid levels and brain neuroinflammation, with improved behaviors in the elevated plus maze. Following these promising results in animal models, ALN-APP advanced to a Phase 1 trial, designated ALN-APP-001, which assessed its safety and efficacy in 12 participants with early-onset Alzheimer’s disease (EOAD). Initial findings revealed a 55% reduction in soluble APPα and a 69% reduction in APPβ by day 15. These exploratory findings require further validation with larger cohorts and proper statistical analysis. In a subsequent cohort of 36 patients, administration of the 75 mg dose via IT injection led to mean reductions of 61.3% in soluble APPα (sAPPα) and 73.5% in soluble APPβ (sAPPβ) after one month. These silencing effects persisted for six months and were associated with important decreases in Aβ42 and Aβ40 levels. These results highlight the potential of ALN-APPs to address Alzheimer’s pathology while maintaining a favorable safety profile. Whether ALN-APP succeeds in further clinical trials, key challenges include ensuring accessibility and affordability due to treatment costs, the need for specialized intrathecal administration, and establishing infrastructure for large-scale production of siRNAs. In conclusion, advancements in ALN-APP represent a promising strategy to reduce beta-amyloid formation in AD, with substantial biomarker reductions suggesting potential disease-modifying effects. Continued development may pave the way for innovative treatments for neurodegenerative diseases. Full article
(This article belongs to the Section Biopharmaceuticals)
Show Figures

Figure 1

37 pages, 3637 KB  
Article
Lemon Juice-Assisted Green Extraction of Strawberry Enhances Neuroprotective Phytochemicals: Insights into Alzheimer’s-Related Pathways
by Youssef Mohamed Sharaf, Jilan A. Nazeam, Karema Abu-Elfotuh, Ayah M. H. Gowifel, Ahmed M. Atwa, Ehsan Khedre Mohamed, Ahmed M. E. Hamdan, Reema Almotairi, Amira M. Hamdan, Samir M. Osman and Hala M. El Hefnawy
Pharmaceuticals 2025, 18(12), 1892; https://doi.org/10.3390/ph18121892 - 15 Dec 2025
Viewed by 1673
Abstract
Background/Objective: Alzheimer’s disease (AD) is a neurodegenerative condition characterized by oxidative stress, neuroinflammation, amyloidogenesis, and tau-related pathology. This study investigated the macronutrient and phytochemical composition of strawberry (S), lemon (L), and lemon juice-assisted strawberry (S/L) extracts and evaluated their neuroprotective efficacy relative [...] Read more.
Background/Objective: Alzheimer’s disease (AD) is a neurodegenerative condition characterized by oxidative stress, neuroinflammation, amyloidogenesis, and tau-related pathology. This study investigated the macronutrient and phytochemical composition of strawberry (S), lemon (L), and lemon juice-assisted strawberry (S/L) extracts and evaluated their neuroprotective efficacy relative to selenium (Se) in an aluminum chloride (AlCl3)-induced rat model of AD. Methods: Macronutrients and phenolics were quantified in S, L, and S/L, and the extracts were profiled using high-performance liquid chromatography and electrospray ionization tandem mass-spectrometry. Male Sprague–Dawley rats received AlCl3 with or without S, L, S/L, or Se, and their cognitive performance was assessed using the Morris water maze, Y-maze, and conditioned avoidance tests. Markers of oxidative status, inflammation, cholinergic function, apoptotic signaling, and Wnt3/β-catenin pathway activity were quantified in the brain tissue, and cortico-hippocampal morphology was examined. Results: The S/L extract showed the highest carbohydrate, protein, and lipid content. The total phenolic content was highest in S/L (60.46 mg gallic acid equivalents/g), followed by L (55.08) and S (44.75), with S/L also being the richest in gallic, ellagic, and chlorogenic acids. S/L attenuated AlCl3-induced cognitive deficits, restored antioxidant status, suppressed neuroinflammation, improved cholinergic indices, modulated apoptotic signaling, and downregulated amyloidogenic and NLRP3 inflammasome markers, consistent with histological evidence of neuronal preservation. Conclusions: Lemon juice-assisted extraction enhanced the macronutrient and phenolic richness and multitarget neuroprotection of strawberries. S/L co-extracts represent promising functional food–derived adjuvants for AD management and support integrative compositional–mechanistic profiling to optimize natural product–based interventions. Full article
Show Figures

Graphical abstract

24 pages, 11253 KB  
Article
Pharmacokinetic and Pharmacodynamic Evaluation of PZ-2891, an Anti-Alzheimer’s Disease Agonist of PANK2
by Ying Chen, Huimin Ma, Mengyao Jin, Shize Zhang, Shimeng Qu, Guangji Wang and Jiye Aa
Pharmaceuticals 2025, 18(12), 1871; https://doi.org/10.3390/ph18121871 - 9 Dec 2025
Cited by 1 | Viewed by 703
Abstract
Background/Objectives: Alzheimer’s disease (AD) is a neurodegenerative disorder with a high incidence but limited agents. Herein, PZ-2891 was discovered as a novel anti-AD candidate. Both in vivo and in vitro pharmacodynamic (PD) studies and pharmacokinetic (PK) properties were investigated and illustrated in this [...] Read more.
Background/Objectives: Alzheimer’s disease (AD) is a neurodegenerative disorder with a high incidence but limited agents. Herein, PZ-2891 was discovered as a novel anti-AD candidate. Both in vivo and in vitro pharmacodynamic (PD) studies and pharmacokinetic (PK) properties were investigated and illustrated in this research. Methods: A computer-generated random number table was used to divide mice into various groups randomly. Injecting Aβ into the mice hippocampus to mimic AD-like pathologies, neurobehavioral tests, including the Morris maze, Y maze, open field test (OFT) and novel object recognition (NOR), were operated to evaluate the cognitive improvement in PZ-2891. D-galactose (D-gal), okadaic acid (OA) and lipopolysaccharide (LPS) were employed to trigger neural injuries in vitro. A reliable analytic method was developed to profile PZ-2891’s PK properties in SD rats through a triple quadrupole liquid chromatography–mass spectrometry (LC–MS/MS) instrument. Results: PZ-2891 markedly alleviated cognitive impairment in the Aβ-induced model mice. It also protected nerve cells from oxidative stress and inflammatory injuries and significantly reduced AD-typical pathological biomarkers. The PK results showed that PZ-2891 was exposed rapidly in both plasma and brain, with a brain-to-blood ratio of around 0.59, Cmax of around 454.50 ± 151.35 ng/mL, Tmax of around 0.49 ± 0.15 h and oral bioavailability of around 19.74 ± 6.78%. Conclusions: These findings suggest that PZ-2891, an agonist of PANK2, is a novel and potential candidate agent for AD with excellent efficacy and PK properties. Full article
(This article belongs to the Section Medicinal Chemistry)
Show Figures

Graphical abstract

Back to TopTop