Sign in to use this feature.

Years

Between: -

Subjects

remove_circle_outline
remove_circle_outline
remove_circle_outline
remove_circle_outline
remove_circle_outline
remove_circle_outline
remove_circle_outline

Journals

Article Types

Countries / Regions

Search Results (21)

Search Parameters:
Keywords = A-stable

Order results
Result details
Results per page
Select all
Export citation of selected articles as:
16 pages, 2383 KB  
Article
Efficient Nonlinear Model Predictive Path Tracking Control for Autonomous Vehicle: Investigating the Effects of Vehicle Dynamics Stiffness
by Guozhu Zhu and Weirong Hong
Machines 2024, 12(10), 742; https://doi.org/10.3390/machines12100742 - 21 Oct 2024
Cited by 1 | Viewed by 2365
Abstract
Motion control is one of the three core modules of autonomous driving, and nonlinear model predictive control (NMPC) has recently attracted widespread attention in the field of motion control. Vehicle dynamics equations, as a widely used model, have a significant impact on the [...] Read more.
Motion control is one of the three core modules of autonomous driving, and nonlinear model predictive control (NMPC) has recently attracted widespread attention in the field of motion control. Vehicle dynamics equations, as a widely used model, have a significant impact on the solution efficiency of NMPC due to their stiffness. This paper first theoretically analyzes the limitations on the discretized time step caused by the stiffness of the vehicle dynamics model equations when using existing common numerical methods to solve NMPC, thereby revealing the reasons for the low computational efficiency of NMPC. Then, an A-stable controller based on the finite element orthogonal collocation method is proposed, which greatly expands the stable domain range of the numerical solution process of NMPC, thus achieving the purpose of relaxing the discretized time step restrictions and improving the real-time performance of NMPC. Finally, through CarSim 8.0/Simulink 2021a co-simulation, it is verified that the vehicle dynamics model equations are with great stiffness when the vehicle speed is low, and the proposed controller can enhance the real-time performance of NMPC. As the vehicle speed increases, the stiffness of the vehicle dynamics model equation decreases. In addition to the superior capability in addressing the integration stability issues arising from the stiffness nature of the vehicle dynamics equations, the proposed NMPC controller also demonstrates higher accuracy across a broad range of vehicle speeds. Full article
(This article belongs to the Section Vehicle Engineering)
Show Figures

Figure 1

16 pages, 394 KB  
Article
A Five-Step Block Method Coupled with Symmetric Compact Finite Difference Scheme for Solving Time-Dependent Partial Differential Equations
by Komalpreet Kaur, Gurjinder Singh and Daniele Ritelli
Symmetry 2024, 16(3), 307; https://doi.org/10.3390/sym16030307 - 5 Mar 2024
Cited by 1 | Viewed by 1616
Abstract
In this article, we present a five-step block method coupled with an existing fourth-order symmetric compact finite difference scheme for solving time-dependent initial-boundary value partial differential equations (PDEs) numerically. Firstly, a five-step block method has been designed to solve a first-order system of [...] Read more.
In this article, we present a five-step block method coupled with an existing fourth-order symmetric compact finite difference scheme for solving time-dependent initial-boundary value partial differential equations (PDEs) numerically. Firstly, a five-step block method has been designed to solve a first-order system of ordinary differential equations that arise in the semi-discretisation of a given initial boundary value PDE. The five-step block method is derived by utilising the theory of interpolation and collocation approaches, resulting in a method with eighth-order accuracy. Further, characteristics of the method have been analysed, and it is found that the block method possesses A-stability properties. The block method is coupled with an existing fourth-order symmetric compact finite difference scheme to solve a given PDE, resulting in an efficient combined numerical scheme. The discretisation of spatial derivatives appearing in the given equation using symmetric compact finite difference scheme results in a tridiagonal system of equations that can be solved by using any computer algebra system to get the approximate values of the spatial derivatives at different grid points. Two well-known test problems, namely the nonlinear Burgers equation and the FitzHugh-Nagumo equation, have been considered to analyse the proposed scheme. Numerical experiments reveal the good performance of the scheme considered in the article. Full article
(This article belongs to the Section Mathematics)
Show Figures

Figure 1

16 pages, 544 KB  
Article
Derivation of Three-Derivative Two-Step Runge–Kutta Methods
by Xueyu Qin, Jian Yu and Chao Yan
Mathematics 2024, 12(5), 711; https://doi.org/10.3390/math12050711 - 28 Feb 2024
Cited by 3 | Viewed by 1683
Abstract
In this paper, we develop explicit three-derivative two-step Runge–Kutta (ThDTSRK) schemes, and propose a simpler general form of the order accuracy conditions (p7) by Albrecht’s approach, compared to the order conditions in terms of rooted trees. The parameters of [...] Read more.
In this paper, we develop explicit three-derivative two-step Runge–Kutta (ThDTSRK) schemes, and propose a simpler general form of the order accuracy conditions (p7) by Albrecht’s approach, compared to the order conditions in terms of rooted trees. The parameters of the general high-order ThDTSRK methods are determined by utilizing the order conditions. We establish a theory for the A-stability property of ThDTSRK methods and identify optimal stability coefficients. Moreover, ThDTSRK methods can achieve the intended order of convergence using fewer stages than other schemes, making them cost-effective for solving the ordinary differential equations. Full article
(This article belongs to the Special Issue Numerical Methods for Solving Differential Problems-II)
Show Figures

Figure 1

16 pages, 5240 KB  
Article
BE-BDF2 Time Integration Scheme Equipped with Richardson Extrapolation for Unsteady Compressible Flows
by Alessandra Nigro
Fluids 2023, 8(11), 304; https://doi.org/10.3390/fluids8110304 - 20 Nov 2023
Viewed by 3311
Abstract
In this work we investigate the effectiveness of the Backward Euler-Backward Differentiation Formula (BE-BDF2) in solving unsteady compressible inviscid and viscous flows. Furthermore, to improve its accuracy and its order of convergence, we have equipped this time integration method with the Richardson Extrapolation [...] Read more.
In this work we investigate the effectiveness of the Backward Euler-Backward Differentiation Formula (BE-BDF2) in solving unsteady compressible inviscid and viscous flows. Furthermore, to improve its accuracy and its order of convergence, we have equipped this time integration method with the Richardson Extrapolation (RE) technique. The BE-BDF2 scheme is a second-order accurate, A-stable, L-stable and self-starting scheme. It has two stages: the first one is the simple Backward Euler (BE) and the second one is a second-order Backward Differentiation Formula (BDF2) that uses an intermediate and a past solution. The RE is a very simple and powerful technique that can be used to increase the order of accuracy of any approximation process by eliminating the lowest order error term(s) from its asymptotic error expansion. The spatial approximation of the governing Navier–Stokes equations is performed with a high-order accurate discontinuous Galerkin (dG) method. The presented numerical results for canonical test cases, i.e., the isentropic convecting vortex and the unsteady vortex shedding behind a circular cylinder, aim to assess the performance of the BE-BDF2 scheme, in its standard version and equipped with RE, by comparing it with the ones obtained by using more classical methods, like the BDF2, the second-order accurate Crank–Nicolson (CN2) and the explicit third-order accurate Strong Stability Preserving Runge–Kutta scheme (SSP-RK3). Full article
(This article belongs to the Collection Feature Paper for Mathematical and Computational Fluid Mechanics)
Show Figures

Figure 1

16 pages, 4890 KB  
Article
Morphological and Trophic Features of the Invasive Babka gymnotrachelus (Gobiidae) in the Plain and Mountainous Ecosystems of the Dniester Basin: Spatiotemporal Expansion and Possible Threats to Native Fishes
by Sergey Afanasyev, Olena Hupalo, Nataliia Tymoshenko, Olena Lietytska, Anatolii Roman, Oksana Manturova and Doru Bănăduc
Fishes 2023, 8(9), 427; https://doi.org/10.3390/fishes8090427 - 22 Aug 2023
Cited by 4 | Viewed by 1976
Abstract
Over the last few years, the racer goby B. gymnotrachelus quickly expanded in the mountainous rivers of the Dniester basin at aheight of 300 m a.s.l. and above. The occurrence frequency of the racer goby in fish communities in the mountainous rivers of [...] Read more.
Over the last few years, the racer goby B. gymnotrachelus quickly expanded in the mountainous rivers of the Dniester basin at aheight of 300 m a.s.l. and above. The occurrence frequency of the racer goby in fish communities in the mountainous rivers of the Carpathian ecoregion remains low (up to 20%), as compared with the plain rivers, where the species occurs in 70–100% of cases. The major prey groups in its diet in both plain and mountainous were Chironomidae, Diptera, and Crustacea. Chironomidae formed the maximal portion (35% at an occurrence frequency of 72.5%), and Trichoptera formed 18%at an occurrence frequency of 41%, whereas fish larvae were absent in their diet in mountainous rivers. The peculiar environmental conditions of mountainous rivers caused the adaptive modifications of the morphological features of the racer goby at the subpopulation level, which compriseda decrease inthe specimens’ size in rivers with a flow velocity of above 1.5 m/s and rivers with pebble contentsof above 50%in the bottom sediments.The modifications showed an increase inbody streamlining as an adaptation to flow velocity and turbulence and the stony substrate of the river’s bottom. Thus, the morphological adaptation of B. gymnotrachelus to the conditions of the mountainous rivers is in progress, and the formationof astable population in these rivers can be expected. In contrast, the native fish species’ resilience in the face of newcomers is still high, and this is because their alevins are not food for invaders. Full article
Show Figures

Figure 1

25 pages, 728 KB  
Article
Models and Algorithms for the Refinement of Therapeutic Approaches for Retinal Diseases
by Elfriede Friedmann, Simon Dörsam and Gerd U. Auffarth
Diagnostics 2023, 13(5), 975; https://doi.org/10.3390/diagnostics13050975 - 3 Mar 2023
Cited by 1 | Viewed by 2106
Abstract
We are developing a Virtual Eye for in silico therapies to accelerate research and drug development. In this paper, we present a model for drug distribution in the vitreous body that enables personalized therapy in ophthalmology. The standard treatment for age-related macular degeneration [...] Read more.
We are developing a Virtual Eye for in silico therapies to accelerate research and drug development. In this paper, we present a model for drug distribution in the vitreous body that enables personalized therapy in ophthalmology. The standard treatment for age-related macular degeneration is anti-vascular endothelial growth factor (VEGF) drugs administered by repeated injections. The treatment is risky, unpopular with patients, and some of them are unresponsive with no alternative treatment. Much attention is paid to the efficacy of these drugs, and many efforts are being made to improve them. We are designing a mathematical model and performing long-term three-dimensional Finite Element simulations for drug distribution in the human eye to gain new insights in the underlying processes using computational experiments. The underlying model consists of a time-dependent convection-diffusion equation for the drug coupled with a steady-state Darcy equation describing the flow of aqueous humor through the vitreous medium. The influence of collagen fibers in the vitreous on drug distribution is included by anisotropic diffusion and the gravity via an additional transport term. The resulting coupled model was solved in a decoupled way: first the Darcy equation with mixed finite elements, then the convection-diffusion equation with trilinear Lagrange elements. Krylov subspace methods are used to solve the resulting algebraic system. To cope with the large time steps resulting from the simulations over 30 days (operation time of 1 anti-VEGF injection), we apply the strong A-stable fractional step theta scheme. Using this strategy, we compute a good approximation to the solution that converges quadratically in both time and space. The developed simulations were used for the therapy optimization, for which specific output functionals are evaluated. We show that the effect of gravity on drug distribution is negligible, that the optimal pair of injection angles is (50,50), that larger angles can result in 38% less drug at the macula, and that in the best case only 40% of the drug reaches the macula while the rest escapes, e.g., through the retina, that by using heavier drug molecules, more of the drug concentration reaches the macula in an average of 30 days. As a refined therapy, we have found that for longer-acting drugs, the injection should be made in the center of the vitreous, and for more intensive initial treatment, the drug should be injected even closer to the macula. In this way, we can perform accurate and efficient treatment testing, calculate the optimal injection position, perform drug comparison, and quantify the effectiveness of the therapy using the developed functionals. We describe the first steps towards virtual exploration and improvement of therapy for retinal diseases such as age-related macular degeneration. Full article
(This article belongs to the Special Issue Refining Diagnosis in Ophthalmology through Laboratory Research)
Show Figures

Figure 1

12 pages, 709 KB  
Article
Numerical Integration Schemes Based on Composition of Adjoint Multistep Methods
by Dmitriy Pesterev, Olga Druzhina, Alexander Pchelintsev, Erivelton Nepomuceno and Denis Butusov
Algorithms 2022, 15(12), 463; https://doi.org/10.3390/a15120463 - 7 Dec 2022
Cited by 3 | Viewed by 2620
Abstract
A composition is a powerful tool for obtaining new numerical methods for solving differential equations. Composition ODE solvers are usually based on single-step basic methods applied with a certain set of step coefficients. However, multistep composition schemes are much less-known and investigated in [...] Read more.
A composition is a powerful tool for obtaining new numerical methods for solving differential equations. Composition ODE solvers are usually based on single-step basic methods applied with a certain set of step coefficients. However, multistep composition schemes are much less-known and investigated in the literature due to their complex nature. In this paper, we propose several novel schemes for solving ordinary differential equations based on the composition of adjoint multistep methods. Numerical stability, energy preservation, and performance of proposed schemes are investigated theoretically and experimentally using a set of differential problems. The applicability and efficiency of the proposed composition multistep methods are discussed. Full article
(This article belongs to the Collection Feature Papers in Algorithms)
Show Figures

Figure 1

12 pages, 3517 KB  
Article
3D Printed Electronic Circuits from Fusible Alloys
by Bartłomiej Podsiadły, Liubomir Bezgan and Marcin Słoma
Electronics 2022, 11(22), 3829; https://doi.org/10.3390/electronics11223829 - 21 Nov 2022
Cited by 10 | Viewed by 3759
Abstract
This work aims to evaluate the possibility of fabricating conductive paths for printed circuit boards from low-temperature melting metal alloys on low-temperature 3D printed substrates and mounting through-hole electronic components using the fused deposition modeling for metals (FDMm) for structural electronics applications. The [...] Read more.
This work aims to evaluate the possibility of fabricating conductive paths for printed circuit boards from low-temperature melting metal alloys on low-temperature 3D printed substrates and mounting through-hole electronic components using the fused deposition modeling for metals (FDMm) for structural electronics applications. The conductive materials are flux-cored solder wires Sn60Pb40 and Sn99Ag0.3Cu0.7. The deposition was achieved with a specially adapted nozzle. A comparison of solder wires with and without flux cores is discussed to determine whether the solder alloys exhibit adequate wettability and adhesion to the polymer substrate. The symmetrical astable multivibrator circuit based on bipolar junction transistors (BJT) was fabricated to demonstrate the possibility of simultaneous production of conductive tracks and through-hole mountings with this additive technique. Additional perspectives for applying this technique to 3D-printed structural electronic circuits are also discussed. Full article
(This article belongs to the Special Issue New Trends in 3D Printing for Novel Materials)
Show Figures

Figure 1

13 pages, 2181 KB  
Article
A Fourth-Order Time-Stepping Method for Two-Dimensional, Distributed-Order, Space-Fractional, Inhomogeneous Parabolic Equations
by Muhammad Yousuf, Khaled M. Furati and Abdul Q. M. Khaliq
Fractal Fract. 2022, 6(10), 592; https://doi.org/10.3390/fractalfract6100592 - 13 Oct 2022
Cited by 2 | Viewed by 1861
Abstract
Distributed-order, space-fractional diffusion equations are used to describe physical processes that lack power-law scaling. A fourth-order-accurate, A-stable time-stepping method was developed, analyzed, and implemented to solve inhomogeneous parabolic problems having Riesz-space-fractional, distributed-order derivatives. The considered problem was transformed into a multi-term, space-fractional [...] Read more.
Distributed-order, space-fractional diffusion equations are used to describe physical processes that lack power-law scaling. A fourth-order-accurate, A-stable time-stepping method was developed, analyzed, and implemented to solve inhomogeneous parabolic problems having Riesz-space-fractional, distributed-order derivatives. The considered problem was transformed into a multi-term, space-fractional problem using Simpson’s three-eighths rule. The method is based on an approximation of matrix exponential functions using fourth-order diagonal Padé approximation. The Gaussian quadrature approach is used to approximate the integral matrix exponential function, along with the inhomogeneous term. Partial fraction splitting is used to address the issues regarding stability and computational efficiency. Convergence of the method was proved analytically and demonstrated through numerical experiments. CPU time was recorded in these experiments to show the computational efficiency of the method. Full article
Show Figures

Figure 1

30 pages, 863 KB  
Article
Implicit A-Stable Peer Triplets for ODE Constrained Optimal Control Problems
by Jens Lang and Bernhard A. Schmitt
Algorithms 2022, 15(9), 310; https://doi.org/10.3390/a15090310 - 29 Aug 2022
Cited by 3 | Viewed by 2414
Abstract
This paper is concerned with the construction and convergence analysis of novel implicit Peer triplets of two-step nature with four stages for nonlinear ODE constrained optimal control problems. We combine the property of superconvergence of some standard Peer method for inner grid points [...] Read more.
This paper is concerned with the construction and convergence analysis of novel implicit Peer triplets of two-step nature with four stages for nonlinear ODE constrained optimal control problems. We combine the property of superconvergence of some standard Peer method for inner grid points with carefully designed starting and end methods to achieve order four for the state variables and order three for the adjoint variables in a first-discretize-then-optimize approach together with A-stability. The notion triplets emphasize that these three different Peer methods have to satisfy additional matching conditions. Four such Peer triplets of practical interest are constructed. In addition, as a benchmark method, the well-known backward differentiation formula BDF4, which is only A(73.35)-stable, is extended to a special Peer triplet to supply an adjoint consistent method of higher order and BDF type with equidistant nodes. Within the class of Peer triplets, we found a diagonally implicit A(84)-stable method with nodes symmetric in [0, 1] to a common center that performs equally well. Numerical tests with four well established optimal control problems confirm the theoretical findings also concerning A-stability. Full article
(This article belongs to the Section Analysis of Algorithms and Complexity Theory)
Show Figures

Figure 1

25 pages, 14523 KB  
Article
Ionospheric Behavior during the 10 June 2021 Annular Solar Eclipse and Its Impact on GNSS Precise Point Positioning
by Juan Carlos Valdés-Abreu, Marcos A. Díaz, Manuel Bravo, Juan Carlos Báez and Yohadne Stable-Sánchez
Remote Sens. 2022, 14(13), 3119; https://doi.org/10.3390/rs14133119 - 29 Jun 2022
Cited by 11 | Viewed by 3558
Abstract
The main effects of the 10 June 2021 annular solar eclipse on GNSS position estimation accuracy are presented. The analysis is based on TEC measurements made by 2337 GNSS stations around the world. TEC perturbations were obtained by comparing results 2 days prior [...] Read more.
The main effects of the 10 June 2021 annular solar eclipse on GNSS position estimation accuracy are presented. The analysis is based on TEC measurements made by 2337 GNSS stations around the world. TEC perturbations were obtained by comparing results 2 days prior to and after the day of the event. For the analysis, global TEC maps were created using ordinary Kriging interpolation. From TEC changes, the apparent position variation was obtained using the post-processing kinematic precise point positioning with ambiguity resolution (PPP-AR) mode. We validated the TEC measurements by contrasting them with data from the Swarm-A satellite and four digiosondes in Central/South America. The TEC maps show a noticeable TEC depletion (<−60%) under the moon’s shadow. Important variations of TEC were also observed in both crests of the Equatorial Ionization Anomaly (EIA) region over the Caribbean and South America. The effects on GNSS precision were perceived not only close to the area of the eclipse but also as far as the west coast of South America (Chile) and North America (California). The number of stations with positioning errors of over 10 cm almost doubled during the event in these regions. The effects were sustained longer (∼10 h) than usually assumed. Full article
(This article belongs to the Special Issue Ionosphere Monitoring with Remote Sensing)
Show Figures

Graphical abstract

21 pages, 3139 KB  
Technical Note
Effects of the 12 May 2021 Geomagnetic Storm on Georeferencing Precision
by Juan Carlos Valdés-Abreu, Marcos A. Díaz, Juan Carlos Báez and Yohadne Stable-Sánchez
Remote Sens. 2022, 14(1), 38; https://doi.org/10.3390/rs14010038 - 23 Dec 2021
Cited by 10 | Viewed by 5592
Abstract
In this work, we present the positioning error analysis of the 12 May 2021 moderate geomagnetic storm. The storm happened during spring in the northern hemisphere (fall in the south). We selected 868 GNSS stations around the globe to study the ionospheric and [...] Read more.
In this work, we present the positioning error analysis of the 12 May 2021 moderate geomagnetic storm. The storm happened during spring in the northern hemisphere (fall in the south). We selected 868 GNSS stations around the globe to study the ionospheric and the apparent position variations. We compared the day of the storm with the three previous days. The analysis shows the global impact of the storm. In the quiet days, 93% of the stations had 3D errors less than 10 cm, while during the storm, only 41% kept this level of accuracy. The higher impact was over the Up component. Although the stations have algorithms to correct ionospheric disturbances, the inaccuracies lasted for nine hours. The most severe effects on the positioning errors were noticed in the South American sector. More than 60% of the perturbed stations were located in this region. We also studied the effects produced by two other similar geomagnetic storms that occurred on 27 March 2017 and on 5 August 2019. The comparison of the storms shows that the effects on position inaccuracies are not directly deductible neither from the characteristics of geomagnetic storms nor from enhancement and/or variations of the ionospheric plasma. Full article
(This article belongs to the Special Issue Space Geodesy and Ionosphere)
Show Figures

Figure 1

17 pages, 2988 KB  
Article
Rational Approximation Method for Stiff Initial Value Problems
by Artur Karimov, Denis Butusov, Valery Andreev  and Erivelton G. Nepomuceno
Mathematics 2021, 9(24), 3185; https://doi.org/10.3390/math9243185 - 10 Dec 2021
Cited by 2 | Viewed by 2674
Abstract
While purely numerical methods for solving ordinary differential equations (ODE), e.g., Runge–Kutta methods, are easy to implement, solvers that utilize analytical derivations of the right-hand side of the ODE, such as the Taylor series method, outperform them in many cases. Nevertheless, the Taylor [...] Read more.
While purely numerical methods for solving ordinary differential equations (ODE), e.g., Runge–Kutta methods, are easy to implement, solvers that utilize analytical derivations of the right-hand side of the ODE, such as the Taylor series method, outperform them in many cases. Nevertheless, the Taylor series method is not well-suited for stiff problems since it is explicit and not A-stable. In our paper, we present a numerical-analytical method based on the rational approximation of the ODE solution, which is naturally A- and A(α)-stable. We describe the rational approximation method and consider issues of order, stability, and adaptive step control. Finally, through examples, we prove the superior performance of the rational approximation method when solving highly stiff problems, comparing it with the Taylor series and Runge–Kutta methods of the same accuracy order. Full article
(This article belongs to the Section E: Applied Mathematics)
Show Figures

Figure 1

22 pages, 3825 KB  
Article
A High-Order Weakly L-Stable Time Integration Scheme with an Application to Burgers’ Equation
by Amit Kumar Verma, Mukesh Kumar Rawani and Ravi P. Agarwal
Computation 2020, 8(3), 72; https://doi.org/10.3390/computation8030072 - 9 Aug 2020
Cited by 8 | Viewed by 3336
Abstract
In this paper, we propose a 7th order weakly L-stable time integration scheme. In the process of derivation of the scheme, we use explicit backward Taylor’s polynomial approximation of sixth-order and Hermite interpolation polynomial approximation of fifth order. We apply this formula [...] Read more.
In this paper, we propose a 7th order weakly L-stable time integration scheme. In the process of derivation of the scheme, we use explicit backward Taylor’s polynomial approximation of sixth-order and Hermite interpolation polynomial approximation of fifth order. We apply this formula in the vector form in order to solve Burger’s equation, which is a simplified form of Navier-Stokes equation. The literature survey reveals that several methods fail to capture the solutions in the presence of inconsistency and for small values of viscosity, e.g., 103, whereas the present scheme produces highly accurate results. To check the effectiveness of the scheme, we examine it over six test problems and generate several tables and figures. All of the calculations are executed with the help of Mathematica 11.3. The stability and convergence of the scheme are also discussed. Full article
(This article belongs to the Section Computational Engineering)
Show Figures

Figure 1

19 pages, 5465 KB  
Article
A Class of Hybrid Multistep Block Methods with A–Stability for the Numerical Solution of Stiff Ordinary Differential Equations
by Zarina Bibi Ibrahim and Amiratul Ashikin Nasarudin
Mathematics 2020, 8(6), 914; https://doi.org/10.3390/math8060914 - 4 Jun 2020
Cited by 12 | Viewed by 3223
Abstract
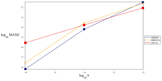
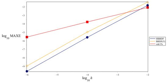
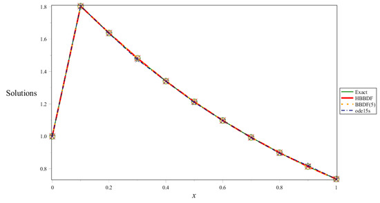
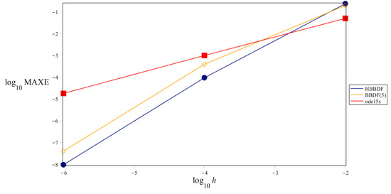
Recently, block backward differentiation formulas (BBDFs) are used successfully for solving stiff differential equations. In this article, a class of hybrid block backward differentiation formulas (HBBDFs) methods that possessed A –stability are constructed by reformulating the BBDFs for the numerical solution of stiff [...] Read more.
Recently, block backward differentiation formulas (BBDFs) are used successfully for solving stiff differential equations. In this article, a class of hybrid block backward differentiation formulas (HBBDFs) methods that possessed A –stability are constructed by reformulating the BBDFs for the numerical solution of stiff ordinary differential equations (ODEs). The stability and convergence of the new method are investigated. The methods are found to be zero-stable and consistent, hence the method is convergent. Comparisons between the proposed method with exact solutions and existing methods of similar type show that the new extension of the BBDFs improved the stability with acceptable degree of accuracy. Full article
Show Figures

Figure 1

Back to TopTop