Sign in to use this feature.

Years

Between: -

Subjects

remove_circle_outline
remove_circle_outline
remove_circle_outline
remove_circle_outline
remove_circle_outline
remove_circle_outline
remove_circle_outline

Journals

Article Types

Countries / Regions

Search Results (24)

Search Parameters:
Keywords = 915 nm

Order results
Result details
Results per page
Select all
Export citation of selected articles as:
16 pages, 3166 KB  
Article
Coacervated and Freeze-Dried Polysaccharides-Nanoparticle with Efficient Encapsulation of Albendazole for High-Performance Treatment of Monogenean Parasite Infestation in Tilapia Fish
by Andrés Vicent Cubas Rengifo, Norma Lorena Rivadeneyra Sánchez, Chloé Barbosa Teixeira, Rafael R. M. Madrid, Omar Mertins and Patrick D. Mathews
Int. J. Mol. Sci. 2026, 27(2), 1001; https://doi.org/10.3390/ijms27021001 - 19 Jan 2026
Viewed by 168
Abstract
Monogenean parasite infestation in fish leads to economic losses in aquaculture, representing a veterinary challenge and an environmental concern. The common administration procedures of anthelmintics to treat monogeneans in fish have low efficiency and diverse drawbacks. In this study, we produced a nanoparticle [...] Read more.
Monogenean parasite infestation in fish leads to economic losses in aquaculture, representing a veterinary challenge and an environmental concern. The common administration procedures of anthelmintics to treat monogeneans in fish have low efficiency and diverse drawbacks. In this study, we produced a nanoparticle using chitosan and alginate, biodegradable and biocompatible polysaccharides, as an oral drug delivery material of albendazole anthelmintic for parasite-infected fingerlings of Nile tilapia. The molecular interaction between the biopolymers was optimized and characterized by titration calorimetry. Freeze-drying of nanoparticles resulted in a fine powder with a particle size in the order of 400 nm. The nanoparticles provided 98% encapsulation of albendazole and sustained delivery with predominantly Fickian diffusion. The palatability of the nanoparticle formulation facilitated the oral administration of albendazole. The treatment of 100% prevalence of monogeneans was effective with a six-day dosage providing a total of 915 mg/kg b.w. of drug, resulting in total parasite clearance after 10 days from the treatment beginning, evidenced by microscopy analysis, and no mortality occurred. Therefore, molecular interactions between biofriendly polyelectrolytes yielded albendazole-carrying nanoparticles for high-efficiency parasite treatment in fish farming. Full article
(This article belongs to the Special Issue Recent Nanotechnology in Drug Delivery)
Show Figures

Figure 1

20 pages, 2080 KB  
Article
Experimental Study on Microwave-Assisted Non-Thermal Plasma Technology for Industrial-Scale SO2 and Fly Ash Control in Coal-Fired Flue Gas
by Uğur Tekir
Processes 2025, 13(12), 3927; https://doi.org/10.3390/pr13123927 - 4 Dec 2025
Cited by 1 | Viewed by 469
Abstract
Growing efforts to reduce air pollution have accelerated the development of advanced flue gas treatment technologies for coal-fired power plants. This study presents the design, development, and industrial-scale implementation of a microwave-assisted non-thermal plasma reactor, powered by a 75 kW, 915 MHz magnetron, [...] Read more.
Growing efforts to reduce air pollution have accelerated the development of advanced flue gas treatment technologies for coal-fired power plants. This study presents the design, development, and industrial-scale implementation of a microwave-assisted non-thermal plasma reactor, powered by a 75 kW, 915 MHz magnetron, for simultaneous sulfur dioxide (SO2) removal and fly ash agglomeration. The reactor was installed on the outlet line of the selective catalytic reduction (SCR) system of a 22 MWe pulverized-coal-fired boiler and evaluated under real flue gas conditions. The flue gas stream, extracted by an induced-draft fan, was supplied to the reactor through two configurations—radial and axial injection—to investigate the influence of gas flow rate and microwave power on SO2 abatement performance. Under radial injection, the system achieved a maximum SO2 removal efficiency of 99.0% at 5194 Nm3/h and 75 kW, corresponding to a specific energy consumption of 14.4 Wh/Nm3. Axial injection resulted in a removal efficiency of 97.5% at 4100 Nm3/h. Beyond SO2 mitigation, exposure of flue gas to the microwave-assisted plasma environment significantly enhanced particle agglomeration, as confirmed by means of SEM imaging and particle size distribution analyses. Notably, the proportion of fine particles smaller than 2.5 µm (PM2.5) decreased from 70.25% to 18.63% after plasma treatment, indicating improved capture potential in the downstream electrostatic precipitator (ESP). Overall, microwave-assisted plasma provides efficient SO2 removal and enhanced particulate capture, offering a compact and potentially waste-free alternative to conventional systems. Full article
(This article belongs to the Special Issue Plasma Science and Plasma-Assisted Applications)
Show Figures

Figure 1

8 pages, 4614 KB  
Communication
A 1908 nm Internal-Cavity Tm-Doped Fiber Laser Pumped by a 1570 nm Er/Yb Fiber Laser
by Yang Li, Yunpeng Wang, Dongming Zhang, Hailin Hu, Wentao Zhou, Xinyu Cai, Weinan Yan, Guanjie Mao, Ming Liu and Pingxue Li
Photonics 2025, 12(10), 1036; https://doi.org/10.3390/photonics12101036 - 20 Oct 2025
Viewed by 599
Abstract
An internal-cavity Tm-doped all-fiber laser at 1908 nm in-band-pumped by a 1570 nm Er/Yb co-doped fiber laser is proposed. An external-cavity fiber oscillator composed of a pair of high-reflectivity (HR) fiber Bragg gratings (FBGs) at 1570 nm pumped by 915 nm laser diodes [...] Read more.
An internal-cavity Tm-doped all-fiber laser at 1908 nm in-band-pumped by a 1570 nm Er/Yb co-doped fiber laser is proposed. An external-cavity fiber oscillator composed of a pair of high-reflectivity (HR) fiber Bragg gratings (FBGs) at 1570 nm pumped by 915 nm laser diodes (LDs) serves as the bidirectional pumping source for the 1908 nm internal-cavity fiber oscillator to achieve high-efficiency laser output. Firstly, a maximum output power of 10 W is realized at a 915 nm pump power of 36.8 W in the single 1570 nm Er/Yb fiber oscillator, with a corresponding slope efficiency and a signal-to-noise ratio (SNR) of 28.1% and 62 dB, respectively. The beam quality factor M2 of the single 1570 nm Er/Yb fiber oscillator is about 1.2. In the 1908 nm internal-cavity Tm-doped all-fiber laser, the maximum output power is 482 mW when the pump power at 915 nm reaches 12.6 W, with a corresponding slope efficiency of 8.1%. Under the same 915 nm pump power, the slope efficiency of the 1908 nm Tm-doped fiber laser with an external-cavity pump is 5.3%. Full article
(This article belongs to the Special Issue Laser Technology and Applications)
Show Figures

Figure 1

16 pages, 2389 KB  
Article
Collaboration of Two UV-Absorbing Dyes in Cholesteric Liquid Crystals Films for Infrared Broadband Reflection and Ultraviolet Shielding
by Mengqi Xie, Yutong Liu, Xiaohui Zhao, Zhidong Liu, Jinghao Zhang, Dengyue Zuo, Guang Cui, Hui Cao and Maoyuan Li
Photonics 2025, 12(7), 656; https://doi.org/10.3390/photonics12070656 - 29 Jun 2025
Viewed by 1002
Abstract
This study developed cholesteric liquid crystal broadband reflective films using zinc oxide nanoparticles (ZnO NPs) and homotriazine UV-absorbing dye (UV-1577) to enhance infrared shielding. Unlike benzotriazole-based UV absorber UV-327, which suffers from volatility and contamination, UV-1577 exhibits superior compatibility with liquid crystals, higher [...] Read more.
This study developed cholesteric liquid crystal broadband reflective films using zinc oxide nanoparticles (ZnO NPs) and homotriazine UV-absorbing dye (UV-1577) to enhance infrared shielding. Unlike benzotriazole-based UV absorber UV-327, which suffers from volatility and contamination, UV-1577 exhibits superior compatibility with liquid crystals, higher UV absorption efficiency, and enhanced processing stability due to its larger molecular structure. By synergizing UV-1577 with ZnO NPs, we achieved a gradient UV intensity distribution across the film thickness, inducing a pitch gradient that broadened the reflection bandwidth to 915 nm and surpassing the performance of previous systems using UV-327/ZnO NPs (<900 nm). We conducted a detailed examination of the factors influencing the reflective bandwidth. These included the UV-1577/ZnO NP ratio, the concentrations of the polymerizable monomer (RM257) and chiral dopant (R5011), along with polymerization temperature, UV irradiation intensity, and irradiation time. The resultant films demonstrated efficient ultraviolet shielding via the UV-1577/ZnO NPs collaboration and infrared shielding through the induced pitch gradient. This work presents a scalable strategy for energy-saving smart windows. Full article
(This article belongs to the Special Issue Liquid Crystals in Photonics II)
Show Figures

Figure 1

19 pages, 393 KB  
Systematic Review
Laser Photobiomodulation: What Are the Ideal Parameters for Each Type of Laser Used in Dental Practice to Promote Fibroblast Proliferation and Differentiation? A Systematic Review
by Roberta Iaria, Paolo Vescovi, Pierpaolo De Francesco and Ilaria Giovannacci
Life 2025, 15(6), 853; https://doi.org/10.3390/life15060853 - 26 May 2025
Cited by 2 | Viewed by 7314
Abstract
Laser photobiomodulation (LPMB) is a non-invasive therapy that relies on the use of low-power lasers. The literature supports the positive effect of LPBM on tissue regeneration, since it reduces the timing of the inflammatory phase, promoting the proliferative phase of the process. From [...] Read more.
Laser photobiomodulation (LPMB) is a non-invasive therapy that relies on the use of low-power lasers. The literature supports the positive effect of LPBM on tissue regeneration, since it reduces the timing of the inflammatory phase, promoting the proliferative phase of the process. From a purely clinical point of view, the breadth of lasers currently available for dental use makes it difficult to identify unambiguous parameters that can guarantee the best regenerative effect. Therefore, the aim of the present systematic review is to identify the best irradiation parameters for each type of dental laser that can provide the best effects on fibroblast proliferation and differentiation. The literature was searched through the following electronic databases: Medline, Scopus, Web of Science, Springer, and Cochrane, while respecting the PRISMA 2020 guidelines. In vitro studies conducted on human fibroblast cells, drafted in English between 2004 and 2025, were included. A total of 17 papers assessing the effects of diode lasers at different wavelengths (445 nm, 635 nm, 650 nm, 660 nm, 670 nm, 685 nm, 810 nm, 830 nm, 915 nm, 940 nm), CO2 lasers (10.6 µm), and Er:YAG lasers (2940 nm) were included. What can be concluded from the present review is that, for the same wavelength, the wide variability in the results obtained from each study makes it complicated to identify unambiguous parameters for each laser device that can guarantee the best effect on fibroblast proliferation and differentiation. Full article
(This article belongs to the Section Medical Research)
Show Figures

Scheme 1

12 pages, 6968 KB  
Article
Experimental Research on Drilling and Cutting Urban Hedge Branches Using Multi-Wavelength Lasers
by Guanyin Song, Xiaolong Liu, Shuzhen Nie and Yunxuan Li
Photonics 2025, 12(4), 300; https://doi.org/10.3390/photonics12040300 - 25 Mar 2025
Viewed by 1139
Abstract
Although lasers are widely used in various industries, including aviation, healthcare, and communication engineering, there has been little research concentrated on the field of horticulture. In this paper, five semiconductor pumped fiber-coupled lasers emitting laser pulses of different wavelengths (450 nm, 532 nm, [...] Read more.
Although lasers are widely used in various industries, including aviation, healthcare, and communication engineering, there has been little research concentrated on the field of horticulture. In this paper, five semiconductor pumped fiber-coupled lasers emitting laser pulses of different wavelengths (450 nm, 532 nm, 808 nm, 915 nm, and 1064 nm) were used in the experimental drilling and cutting of hedge branches. A drilling effect on the hedge branches as a function of the laser power density, incident angle, and defocus condition was demonstrated, and it was found that a laser with a central wavelength of 450 nm had the lowest drilling power density and the shortest drilling-through time. It also enables the maximum tolerance of changes to the incident angle. The reason is closely related to the different absorption coefficients of lasers of various wavelengths on the hedge branches. In the cutting experiment, a laser at a wavelength of 450 nm was used, and the scanning speed of the laser was optimized. Good cutting effects were found at laser scanning speeds ranging from 18 mm/s to 23 mm/s. The layer of carbide formed by cutting the hedge branches can effectively block the invasion of bacteria, which is the advantage of using laser cutting in the field of horticulture. Full article
(This article belongs to the Special Issue Advanced Lasers and Their Applications, 2nd Edition )
Show Figures

Figure 1

15 pages, 4998 KB  
Article
Comparative Assessment of Surface Lattice Resonance Characteristics in Plasmonic Titanium Nitride and Gold Nanodisk Arrays
by Beyza Nur Günaydın, Süleyman Çelik, Meral Yüce and Hasan Kurt
Solids 2025, 6(1), 8; https://doi.org/10.3390/solids6010008 - 12 Feb 2025
Cited by 2 | Viewed by 3242
Abstract
Titanium nitride (TiN) is an advantageous material for plasmonic applications and is suitable for extreme conditions in which conventional plasmonic materials such as gold (Au) cannot be utilized. In this study, TiN and Au nanodisk arrays with different lattice spacing (Λ) were fabricated [...] Read more.
Titanium nitride (TiN) is an advantageous material for plasmonic applications and is suitable for extreme conditions in which conventional plasmonic materials such as gold (Au) cannot be utilized. In this study, TiN and Au nanodisk arrays with different lattice spacing (Λ) were fabricated using the electron beam lithography (EBL) method to increase the quality factor of TiN. At a period of 550 nm, the TiN nanodisk arrays demonstrate a higher sensitivity, 412.79 nm·RIU−1, with the plasmonic resonance wavelength shifting from 883 nm (n = 1.3335) to 915 nm (n = 1.4069) in the NIR region. The surface lattice resonance (SLR) properties of the produced TiN nanodisk arrays were investigated in detail with Au nanodisk arrays. The TiN nanodisk arrays caused sharp plasmon resonances by creating a localized plasmon vibration mode coupled with the diffractive grazing wave excited by the incident light. The transmission dips obtained at narrower full width at half maximum (FWHM) values caused at least an almost 10-fold improvement in the quality factor compared to localized surface plasmon resonance (LSPR) dips. This study is significant for assessing the surface plasmon resonance characteristics of TiN and Au nanodisk arrays across various periods and indices. Full article
Show Figures

Graphical abstract

10 pages, 2942 KB  
Communication
Novel Strategy to Evaluate Platinum Photocatalysts for Hydrosilation-Curable Silicones
by Melina Michailidis, John Leman and Peter J. Bonitatibus
Inorganics 2024, 12(7), 197; https://doi.org/10.3390/inorganics12070197 - 21 Jul 2024
Cited by 1 | Viewed by 2507
Abstract
UV-activated catalytic hydrosilation is a low-temperature crosslinking process that has attracted attention for its high efficiency and lower energy demand relative to thermal curing. In this study, formulations comprising industrially relevant model silanes and Pt photocatalysts trimethyl(methylcyclopentadienyl)platinum(IV) and trimethyl(pentamethylcyclopentadienyl)platinum(IV) (MeCpPtMe3 and Cp*PtMe [...] Read more.
UV-activated catalytic hydrosilation is a low-temperature crosslinking process that has attracted attention for its high efficiency and lower energy demand relative to thermal curing. In this study, formulations comprising industrially relevant model silanes and Pt photocatalysts trimethyl(methylcyclopentadienyl)platinum(IV) and trimethyl(pentamethylcyclopentadienyl)platinum(IV) (MeCpPtMe3 and Cp*PtMe3, respectively) were prepared with and without a photosensitizer (PS) and assessed for catalytic performance by a novel strategy. Photopolymerizations were initiated using different wavelengths from LEDs and monitored in real-time using an Attenuated Total Reflectance-Fourier Transform Infrared (ATR-FTIR) “well” strategy to track the degree of cure in ultra-thin films by consumption of hydride via the disappearance of the Si-H bending absorption band at 915 cm−1. Irradiation of formulations with 365 nm excitation showed higher conversions relative to 400 nm light and improvements to calculated initial reaction rates by incorporation of a PS suggested increased sensitization to 365 nm irradiation. To the best of our knowledge, this is the first study to report catalytic performance, electronic absorption spectroscopic data, and the crystal structure of Cp*PtMe3. Full article
(This article belongs to the Section Organometallic Chemistry)
Show Figures

Graphical abstract

19 pages, 4672 KB  
Article
Transcutaneous Transmission of Light of Photobiomodulation Therapy Wavelengths at 808 nm, 915 nm, 975 nm, and 1064 nm to the Spinal Canal of Cadaver Dogs
by Daqing Piao, Lara A. Sypniewski, Kenneth E. Bartels, Daniel J. Burba and Luis De Taboada
Photonics 2024, 11(7), 632; https://doi.org/10.3390/photonics11070632 - 2 Jul 2024
Cited by 1 | Viewed by 4941
Abstract
This study compared the transcutaneous target level irradiances from the thoracic to lumbar segments of the interior spinal canal in three cadaver dogs, measured for light at four wavelengths (808 nm, 915 nm, 975 nm, and 1064 nm), common in photobiomodulation therapy (PBMT). [...] Read more.
This study compared the transcutaneous target level irradiances from the thoracic to lumbar segments of the interior spinal canal in three cadaver dogs, measured for light at four wavelengths (808 nm, 915 nm, 975 nm, and 1064 nm), common in photobiomodulation therapy (PBMT). Intra-spinal irradiances at nine sites spanning approximately 8 cm in length were measured using a flexible intra-spinal probe under surface application of continuous-wave (CW) light with powers ranging from 0.5 W to 2 W. Surface illumination was applied using an acupuncture treatment head in three modes: non-contact with skin removed, non-contact with skin intact, and contact with skin intact. During surface application, the treatment head was positioned over the spinal canal near the 13th vertebrae (T13, surface site 1), and approximately 4 cm (surface site 5) and 8 cm (surface site 9) caudal to T13. At each position of the treatment head, the light was multiplexed among the four wavelengths at the same power setting. In all three modes of surface application, the target level irradiance at the 1064 nm wavelength was significantly greater than that at the other three wavelengths (p ≤ 0.0017). At a surface irradiance of ~157 mW/cm2, corresponding to 0.5 W light applied with the treatment head directly in contact with the skin, the intra-spinal irradiance at 1064 nm reached 0.137 ± 0.095 mW/cm2. Obtaining a dosage of PBMT-associative wavelengths of this magnitude at the level of the spinal canal may guide focused research into the transcutaneous applicability of PBMT for spinal cord injuries. Full article
(This article belongs to the Section Biophotonics and Biomedical Optics)
Show Figures

Figure 1

18 pages, 8259 KB  
Article
A Portable Tool for Spectral Analysis of Plant Leaves That Incorporates a Multichannel Detector to Enable Faster Data Capture
by Juan Botero-Valencia, Erick Reyes-Vera, Elizabeth Ospina-Rojas and Flavio Prieto-Ortiz
Instruments 2024, 8(1), 24; https://doi.org/10.3390/instruments8010024 - 17 Mar 2024
Cited by 6 | Viewed by 4029
Abstract
In this study, a novel system was designed to enhance the efficiency of data acquisition in a portable and compact instrument dedicated to the spectral analysis of various surfaces, including plant leaves, and materials requiring characterization within the 410 to 915 nm range. [...] Read more.
In this study, a novel system was designed to enhance the efficiency of data acquisition in a portable and compact instrument dedicated to the spectral analysis of various surfaces, including plant leaves, and materials requiring characterization within the 410 to 915 nm range. The proposed system incorporates two nine-band detectors positioned on the top and bottom of the target surface, each equipped with a digitally controllable LED. The detectors are capable of measuring both reflection and transmission properties, depending on the LED configuration. Specifically, when the upper LED is activated, the lower detector operates without its LED, enabling the precise measurement of light transmitted through the sample. The process is reversed in subsequent iterations, facilitating an accurate assessment of reflection and transmission for each side of the target surface. For reliability, the error estimation utilizes a color checker, followed by a multi-layer perceptron (MLP) implementation integrated into the microcontroller unit (MCU) using TinyML technology for real-time refined data acquisition. The system is constructed with 3D-printed components and cost-effective electronics. It also supports USB or Bluetooth communication for data transmission. This innovative detector marks a significant advancement in spectral analysis, particularly for plant research, offering the potential for disease detection and nutritional deficiency assessment. Full article
(This article belongs to the Special Issue Feature Papers in Instruments 2021–2022)
Show Figures

Figure 1

7 pages, 2544 KB  
Communication
Double-Junction Cascaded GaAs-Based Broad-Area Diode Lasers with 132W Continuous Wave Output Power
by Jun Wang, Shaoyang Tan, Ye Shao, Wuling Liu, Kun Tian, Yao Xiao, Zhicheng Zhang, Yudan Gou, Lihong Zhu, Bangguo Wang and Shouhuan Zhou
Photonics 2024, 11(3), 258; https://doi.org/10.3390/photonics11030258 - 13 Mar 2024
Cited by 12 | Viewed by 4402
Abstract
Improving the output power and efficiency of broad-area diode lasers is a prerequisite for the further development of fiber lasers, solid-state laser industries, and direct semiconductor laser applications. At present, the large amount of Joule heat generated by large drive currents and limited [...] Read more.
Improving the output power and efficiency of broad-area diode lasers is a prerequisite for the further development of fiber lasers, solid-state laser industries, and direct semiconductor laser applications. At present, the large amount of Joule heat generated by large drive currents and limited wall-plug efficiency presents the largest challenge for improving these lasers. In this paper, a multi-junction cascade laser with low Joule heat generation is demonstrated, showing large power and conversion efficiency. We fabricated devices with different junction numbers and compared their output power. We present double-junction lasers emitting at ~915 nm with an emitter width of 500 μm, delivering 132.5 W continuous wave output power at 70 A, which is the highest power reported so far for any single-emitter laser. The power conversion efficiencies are 66.7% and 60%, at 100 W and 132 W, respectively. Full article
(This article belongs to the Section Lasers, Light Sources and Sensors)
Show Figures

Figure 1

12 pages, 9709 KB  
Communication
Improvement of Efficiency in 976 nm Fiber Amplifier by Spectral Filtering in Yb-Doped Fiber with Absorbing Rods Embedded in the Cladding
by Svetlana S. Aleshkina, Danila A. Davydov, Vladimir V. Velmiskin, Mikhail V. Yashkov, Andrey A. Umnikov, Sergey V. Alyshev, Liudmila D. Iskhakova, Mikhail M. Bubnov, Denis S. Lipatov and Mikhail E. Likhachev
Photonics 2024, 11(1), 89; https://doi.org/10.3390/photonics11010089 - 17 Jan 2024
Cited by 3 | Viewed by 3212
Abstract
A novel Yb-doped fiber design for improved lasing near 976 nm based on spectral filtering of the amplified spontaneous emission near 1030 nm was realized and investigated. A very sharp short-pass filter was implemented by adding appropriately chosen high-index absorbing rods into the [...] Read more.
A novel Yb-doped fiber design for improved lasing near 976 nm based on spectral filtering of the amplified spontaneous emission near 1030 nm was realized and investigated. A very sharp short-pass filter was implemented by adding appropriately chosen high-index absorbing rods into the silica cladding. In this case, the resonant interaction of the core mode with the high-index rod mode could be controlled by fiber bending, which allows for the precise adjustment of the stop-band position. It was shown that the utilization of Sm-doped absorbing rods allows one to achieve very high absorption of emission at unwanted wavelengths, but it also adds background losses for the pump near 915 nm and for the signal at 976 nm. Despite this fact, the improvement of efficiency in the 976 nm fiber amplifier, after shifting the stop-band to 1000 nm, was clearly demonstrated. Based on theoretical calculations, it was shown that, after optimizing the fiber parameters, a further twofold improvement in efficiency was possible despite the excess losses at the pump and signal wavelengths. Full article
(This article belongs to the Special Issue Emerging Topics in Structured Light)
Show Figures

Figure 1

10 pages, 2324 KB  
Article
Synthesis of Black Phosphorene/P-Rich Transition Metal Phosphide NiP3 Heterostructure and Its Effect on the Stabilization of Black Phosphorene
by Tana Bao, Altan Bolag, Xiao Tian and Tegus Ojiyed
Crystals 2023, 13(11), 1571; https://doi.org/10.3390/cryst13111571 - 6 Nov 2023
Cited by 4 | Viewed by 2001
Abstract
Black phosphorus (BP), as a direct band gap semiconductor material with a two-dimensional layered structure, has a good application potential in many aspects, but the surface state of it is extremely unstable, especially that of single-layer black phosphorus. In this study, BP crystals [...] Read more.
Black phosphorus (BP), as a direct band gap semiconductor material with a two-dimensional layered structure, has a good application potential in many aspects, but the surface state of it is extremely unstable, especially that of single-layer black phosphorus. In this study, BP crystals and two-dimensional black phosphorus (2D BP) are prepared by a mechanical ball-milling–liquid-phase exfoliation method. The X-ray diffraction (XRD) spectrum and high-resolution transmission electron microscopy (HRTEM) results showed that red phosphorus (RP) successfully turned to BP by the mechanical ball-milling method. The spectrophotometric analysis has detected absorption peaks at 780 nm, 915 nm, and 1016 nm, corresponding to single, double, and three-layer BP bandgap emission. A simple solvothermal strategy is designed to synthesize in-plane BP/P-rich transition metal phosphide (TMP) heterostructures (BP/NiP3) by defect/edge-selective growth of NiP3 on the BP nanosheets. HRTEM analysis indicates that the metal ions are preferentially deposited on the defects of 2D BP such as edges and unsaturated sites, forming a 2D BP/NiP3 in-plane heterojunction. Full article
Show Figures

Figure 1

14 pages, 3730 KB  
Article
Selected Area Deposition of High Purity Gold for Functional 3D Architectures
by John Lasseter, Philip D. Rack and Steven J. Randolph
Nanomaterials 2023, 13(4), 757; https://doi.org/10.3390/nano13040757 - 17 Feb 2023
Cited by 10 | Viewed by 3472
Abstract
Selected area deposition of high purity gold films onto nanoscale 3D architectures is highly desirable as gold is conductive, inert, plasmonically active, and can be functionalized with thiol chemistries, which are useful in many biological applications. Here, we show that high-purity gold coatings [...] Read more.
Selected area deposition of high purity gold films onto nanoscale 3D architectures is highly desirable as gold is conductive, inert, plasmonically active, and can be functionalized with thiol chemistries, which are useful in many biological applications. Here, we show that high-purity gold coatings can be selectively grown with the Me2Au (acac) precursor onto nanoscale 3D architectures via a pulsed laser pyrolytic chemical vapor deposition process. The selected area of deposition is achieved due to the high thermal resistance of the nanoscale geometries. Focused electron beam induced deposits (FEBID) and carbon nanofibers are functionalized with gold coatings, and we demonstrate the effects that laser irradiance, pulse width, and precursor pressure have on the growth rate. Furthermore, we demonstrate selected area deposition with a feature-targeting resolutions of ~100 and 5 µm, using diode lasers coupled to a multimode (915 nm) and single mode (785 nm) fiber optic, respectively. The experimental results are rationalized via finite element thermal modeling. Full article
Show Figures

Figure 1

18 pages, 6649 KB  
Article
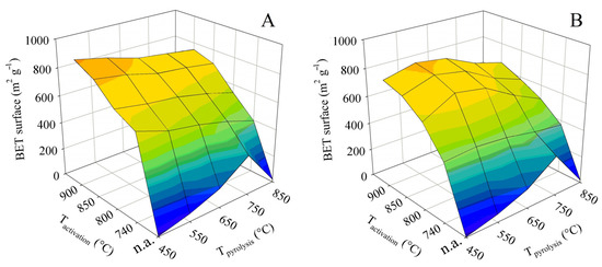
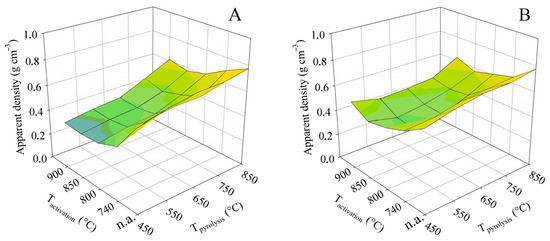
The Preparation of a Carbonaceous Adsorbent via Batch Pyrolysis of Waste Hemp Shives
by Marek Staf, Vít Šrámek and Michael Pohořelý
Energies 2023, 16(3), 1202; https://doi.org/10.3390/en16031202 - 21 Jan 2023
Cited by 4 | Viewed by 2445
Abstract
The study focuses on the two-stage process of the thermal treatment of waste hemp shives aimed at obtaining a carbonaceous adsorbent. In the first stage, pyrolysis was carried out in a retort apparatus, which, at temperatures in the range of 450–850 °C, provided [...] Read more.
The study focuses on the two-stage process of the thermal treatment of waste hemp shives aimed at obtaining a carbonaceous adsorbent. In the first stage, pyrolysis was carried out in a retort apparatus, which, at temperatures in the range of 450–850 °C, provided approximately 22.6–29.9% of the solid residue, 31.6–34.0% of the condensate, and 38.5–43.4% of gas with respect to the charge. The organic part of the condensates showed the net calorific value of 30.8–31.3 MJ kg−1, which makes it well suited for energy purposes. In the separated pyrolysis gases, GC-TCD-FID determined only five compounds, namely carbon dioxide, carbon monoxide, hydrogen, methane, and ethane, which together accounted for 98.5–99.8% of the gas volume. The remainder was composed mainly of ethene, propane, and propene. The highest net calorific value (14.7–14.8 MJ m−3) was exhibited by the gas collected in the range of 450–650 °C, which can be advantageously used for energy purposes. Non-activated solid pyrolysis residues had relatively low specific surface areas (BET), with the highest value determined being 294 m2 g−1. Therefore, they were activated by steam in a separate apparatus in the temperature range of 740–900 °C. The activation apparatus operated with a batch reactor of similar design to the pyrolysis retort. The activation increased the specific surface area of the pyrolysis residues up to the maximum of 915 m2 g−1. This study discusses the significant trends in specific surface area and total pore volume caused by a combination of different pyrolysis and activation temperatures. Better results were generally obtained for residues pyrolyzed at lower temperatures and then activated at high temperatures. The structure of the activated products mostly contained pores with a diameter of < 6 nm. Their development was mainly facilitated by the activation temperature of 850 °C, resulting in the relative presence of these pores in the range of 57.9–59.1%. All activated products were also characterized by an increased proportion of 20–80 nm pores, which formed, however, approximately one-third in comparison with the pores < 6 nm. Last but not least, the study also discusses the effect of activation conditions on the process loss of the product. Full article
Show Figures

Figure 1

Back to TopTop