Sign in to use this feature.

Years

Between: -

Subjects

remove_circle_outline
remove_circle_outline
remove_circle_outline
remove_circle_outline
remove_circle_outline

Journals

Article Types

Countries / Regions

Search Results (19)

Search Parameters:
Keywords = 1,2-Bis(4-pyridyl)ethane

Order results
Result details
Results per page
Select all
Export citation of selected articles as:
15 pages, 9858 KB  
Article
Hydrothermal Assembly, Structural Multiplicity, and Catalytic Knoevenagel Condensation Reaction of a Series of Coordination Polymers Based on a Pyridine-Tricarboxylic Acid
by Xiuqi Kang, Chao Ren, Zhenzhong Mei, Xiaoxiang Fan, Jijun Xue, Yongliang Shao and Jinzhong Gu
Molecules 2023, 28(22), 7474; https://doi.org/10.3390/molecules28227474 - 8 Nov 2023
Cited by 9 | Viewed by 1650
Abstract
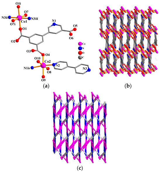
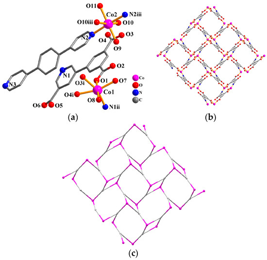
A pyridine-tricarboxylic acid, 5-(3′,5′-dicarboxylphenyl)nicotinic acid (H3dpna), was employed as a adjustable block to assemble a series of coordination polymers under hydrothermal conditions. The seven new coordination polymers were formulated as [Co(μ3-Hdpna)(μ-dpey)]n·nH [...] Read more.
A pyridine-tricarboxylic acid, 5-(3′,5′-dicarboxylphenyl)nicotinic acid (H3dpna), was employed as a adjustable block to assemble a series of coordination polymers under hydrothermal conditions. The seven new coordination polymers were formulated as [Co(μ3-Hdpna)(μ-dpey)]n·nH2O (1), [Zn4.5(μ6-dpna)3(phen)3]n (2), [Co1.5(μ6-dpna)(2,2′-bipy)]n (3), [Zn1.5(μ6-dpna)(2,2′-bipy)]n (4), [Co3(μ3-dpna)2(4,4′-bipy)2(H2O)8]n·2nH2O (5),[Co(bpb)2(H2O)4]n[Co2(μ3-dpna)2(H2O)4]n·3nH2O (6), and [Mn1.5(μ6-dpna)(μ-dpea)]n (7), wherein 1,2-di(4-pyridyl)ethylene (dpey), 1,10-phenanthroline (phen), 2,2′-bipyridine(2,2′-bipy),4,4′-bipyridine(4,4′-bipy),1,4-bis(pyrid-4-yl)benzene (bpb), and 1,2-di(4-pyridyl)ethane (dpea) were employed as auxiliary ligands. The structural variation of polymers 17 spans the range from a 2D sheet (14, 6, and 7) to a 3D metal–organic framework (MOF, 5). Polymers 17 were investigated as heterogeneous catalysts in the Knoevenagel condensation reaction, leading to high condensation product yields (up to 100%) under optimized conditions. Various reaction conditions, substrate scope, and catalyst recycling were also researched. This work broadens the application of H3dpna as a versatile tricarboxylate block for the fabrication of functional coordination polymers. Full article
(This article belongs to the Section Inorganic Chemistry)
Show Figures

Graphical abstract

11 pages, 1362 KB  
Article
Zn(II) and Co(II) 3D Coordination Polymers Based on 2-Iodoterephtalic Acid and 1,2-bis(4-pyridyl)ethane: Structures and Sorption Properties
by Alexander S. Zaguzin, Taisiya S. Sukhikh, Ilyas F. Sakhapov, Vladimir P. Fedin, Maxim N. Sokolov and Sergey A. Adonin
Molecules 2022, 27(4), 1305; https://doi.org/10.3390/molecules27041305 - 15 Feb 2022
Cited by 14 | Viewed by 3184
Abstract
Metal-organic frameworks [M2(2-I-bdc)2bpe] (M = Zn(II) (1), Co(II) (2), 2-I-bdc = 2-iodoterephtalic acid, and bpe = 1,2-bis(4-pyridyl)ethane) were prepared and characterized by X-ray diffractometry. Both compounds retain their 3D structure after the removal of guest [...] Read more.
Metal-organic frameworks [M2(2-I-bdc)2bpe] (M = Zn(II) (1), Co(II) (2), 2-I-bdc = 2-iodoterephtalic acid, and bpe = 1,2-bis(4-pyridyl)ethane) were prepared and characterized by X-ray diffractometry. Both compounds retain their 3D structure after the removal of guest DMF molecules. Selectivity of sorption of different organic substrates from the gas phase was investigated for both complexes. Full article
Show Figures

Figure 1

16 pages, 9440 KB  
Article
Cocrystals versus Salts of Fluorescein
by Mihai Răducă and Augustin M. Mădălan
Crystals 2021, 11(10), 1217; https://doi.org/10.3390/cryst11101217 - 9 Oct 2021
Cited by 2 | Viewed by 2936
Abstract
A series of nitrogen-containing organic molecules (4,4’-bipyridyl; trans-1,2-bis(4-pyridyl)ethylene; 1,2-bis(4-pyridyl)ethane; 4-aminopyridine and trans-1,4-diaminocyclohexane) was envisaged for cocrystallization experiments together with fluorescein. These compounds, containing pyridyl or/and amino nitrogen atoms, can act either as hydrogen bond acceptors for the phenol groups of fluorescein-generating [...] Read more.
A series of nitrogen-containing organic molecules (4,4’-bipyridyl; trans-1,2-bis(4-pyridyl)ethylene; 1,2-bis(4-pyridyl)ethane; 4-aminopyridine and trans-1,4-diaminocyclohexane) was envisaged for cocrystallization experiments together with fluorescein. These compounds, containing pyridyl or/and amino nitrogen atoms, can act either as hydrogen bond acceptors for the phenol groups of fluorescein-generating cocrystals or as proton acceptors forming organic salts. Five cocrystals were obtained with the partners containing only pyridyl groups: {(H2Fl)2(bipy)} (1); {(H2Fl)2(bipy)(MeOH)2} (2); {(H2Fl)2(bpete)(EtOH)2} (3); {(H2Fl)(bpete)} (4); {(H2Fl)(bpeta)} (5). The compounds bearing amino groups deprotonate fluorescein producing salts: [(HFl)(Hampy)]∙2H2O (6); [(HFl)(Hampy)] (7); [(Fl)(H2diach)]∙3H2O (8); [(HFl)2(H2diach)]∙2H2O∙EtOH (9); and [(HFl)2(Fl)2(H2diach)3]∙4H2O (10). Optical properties of the cocrystals and salts were investigated. Full article
(This article belongs to the Special Issue Feature Papers in Organic Crystalline Materials)
Show Figures

Figure 1

13 pages, 4141 KB  
Article
Robust Copper Metal–Organic Framework-Embedded Polysiloxanes for Biomedical Applications: Its Antibacterial Effects on MRSA and In Vitro Cytotoxicity
by Kihak Gwon, Youngmee Kim, Hyunjun Cho, Seonhwa Lee, So-Hyeon Yang, Sung-Jin Kim and Do Nam Lee
Nanomaterials 2021, 11(3), 719; https://doi.org/10.3390/nano11030719 - 12 Mar 2021
Cited by 41 | Viewed by 4089
Abstract
Polysiloxanes (PSs) have been widely utilized in the industry as lubricants, varnishes, paints, release agents, adhesives, and insulators. In addition, their applications have been expanded to include the development of new biomedical materials. To modify PS for application in therapeutic purposes, a flexible [...] Read more.
Polysiloxanes (PSs) have been widely utilized in the industry as lubricants, varnishes, paints, release agents, adhesives, and insulators. In addition, their applications have been expanded to include the development of new biomedical materials. To modify PS for application in therapeutic purposes, a flexible antibacterial Cu-MOF (metal–organic framework) consisting of glutarate and 1,2-bis(4-pyridyl)ethane ligands was embedded in PS via a hydrosilylation reaction of vinyl-terminated and H-terminated PSs at 25 °C. The bactericidal activities of the resulting Cu-MOF-embedded PS (PS@Cu-MOF) and the control polymer (PS) were tested against Escherichia coli, Staphylococcus aureus, and methicillin-resistant Staphylococcus aureus. PS@Cu-MOF exhibited more than 80% bactericidal activity toward the tested bacteria at a concentration of 100 μg⋅mL−1 and exhibited a negligible cytotoxicity toward mouse embryonic fibroblasts at the same concentration. Release tests of the Cu(II) ion showed PS@Cu-MOF to be particularly stable in a phosphate-buffered saline solution. Furthermore, its physical and thermal properties, including the phase transition, rheological measurements, swelling ratio, and thermogravimetric profile loss, were similar to those of the control polymer. Moreover, the low cytotoxicity and bactericidal activities of PS@Cu-MOF render it a promising candidate for use in medicinal applications, such as in implants, skin-disease treatment, wound healing, and drug delivery. Full article
(This article belongs to the Special Issue Nanoscale Coordination Polymers)
Show Figures

Graphical abstract

13 pages, 5111 KB  
Article
Neutral and Cationic Chelidonate Coordination Polymers with N,N′-Bridging Ligands
by Rosa Carballo, Ana Belén Lago, Arantxa Pino-Cuevas, Olaya Gómez-Paz, Nuria Fernández-Hermida and Ezequiel M. Vázquez-López
Chemistry 2021, 3(1), 256-268; https://doi.org/10.3390/chemistry3010019 - 11 Feb 2021
Cited by 2 | Viewed by 3261
Abstract
The biomolecule chelidonic acid (H2chel, 4-oxo-4H-pyran-2,6-dicarboxylic acid) has been used to build new coordination polymers with the bridging N,N′-ligands 4,4′-bipyridine (4,4-bipy) and 1,2-bis(4-pyridyl)ethane (bpe). Four compounds have been obtained as single crystals: 1D cationic coordination polymers [...] Read more.
The biomolecule chelidonic acid (H2chel, 4-oxo-4H-pyran-2,6-dicarboxylic acid) has been used to build new coordination polymers with the bridging N,N′-ligands 4,4′-bipyridine (4,4-bipy) and 1,2-bis(4-pyridyl)ethane (bpe). Four compounds have been obtained as single crystals: 1D cationic coordination polymers [M(4,4-bipy)(OH2)4]2+ with chelidonate anions and water molecules in the second coordination sphere in 1[Zn(4,4-bipy)(H2O)4]chel·3H2O (2) and in the two pseudopolymorphic 1[Cu(4,4-bipy)(H2O)4]chel·nH2O (n = 3, 4a; n = 6, 4b), and the 2D neutral coordination polymers 2[Zn(chel)(4,4-bipy)(H2O)]·2H2O (1) and 2[Zn(chel)(bpe)(H2O)]·H2O (3) where the chelidonate anion acts as a bridging ligand. The effects of the hydrogen bonds on the crystal packing were analyzed. The role of the water molecules hosted within the crystals lattices was also studied. Full article
Show Figures

Graphical abstract

14 pages, 1677 KB  
Article
Investigating the Potential of Flexible and Pre-Organized Tetraamide Ligands to Encapsulate Anions in One-Dimensional Coordination Polymers: Synthesis, Spectroscopic Studies and Crystal Structures
by Nur Shuhaila Haryani Haris, Nafisah Mansor, Mohd Sukeri Mohd Yusof, Christopher J. Sumby and Maisara Abdul Kadir
Crystals 2021, 11(1), 77; https://doi.org/10.3390/cryst11010077 - 19 Jan 2021
Cited by 6 | Viewed by 2866
Abstract
The synthesis of amide-based molecules, possessing pre-organized structures, has received significant attention due to their potential applications as molecular receptors and as components of nanomaterials. In this study, four extended tetraamide ligands incorporating ethylene and propylene spacers, namely 1,2-bis[N,N′-6-(3-pyridylmethylamido)pyridyl-2-carboxyamido]ethane (L1), 1,2-bis[ [...] Read more.
The synthesis of amide-based molecules, possessing pre-organized structures, has received significant attention due to their potential applications as molecular receptors and as components of nanomaterials. In this study, four extended tetraamide ligands incorporating ethylene and propylene spacers, namely 1,2-bis[N,N′-6-(3-pyridylmethylamido)pyridyl-2-carboxyamido]ethane (L1), 1,2-bis[N,N′-6-(4-pyridylmethylamido)pyridyl-2-carboxyamido]ethane (L2), 1,2-bis[N,N′-6-(3-pyridylmethylamido)pyridyl-2-carboxyamido]propane (L3) and 1,2-bis[N,N′-6-(4-pyridylmethylamido)pyridyl-2-carboxyamido]propane (L4), were successfully synthesized. Further, reaction of L2 and L4, incorporating pendant 4-pyridyl donors as the metal coordinating sites, with cadmium salts, produced two close-packed one-dimensional coordination polymers, {[Cd3(L2)4(H2O)10](NO3)6·12H2O·CH3OH}n and {[Cd(SO4)(L4)(H2O)2]·4H2O·CH3OH}n. X-ray crystallography reveals that the flexible tetraamide ligands fold upon themselves in the coordination polymer structure. As a consequence, the anion pocket in {[Cd(SO4)(L4)(H2O)2]·4H2O·CH3OH}n incorporating the ligand with the propylene spacer was blocked from encapsulating charge-balancing anions, which were involved in bridging the di-cadmium units. Interestingly, a strong interaction between the 2,6-pyridine dicarboxamide moiety with the nitrate anions was found in {[Cd3(L2)4(H2O)10](NO3)6·12H2O·CH3OH}n, showing potential for materials made from these ligands to serve as anion receptors. Full article
(This article belongs to the Section Inorganic Crystalline Materials)
Show Figures

Figure 1

20 pages, 7620 KB  
Article
From 1D to 2D Cd(II) and Zn(II) Coordination Networks by Replacing Monocarboxylate with Dicarboxylates in Partnership with Azine Ligands: Synthesis, Crystal Structures, Inclusion, and Emission Properties
by Victor Ch. Kravtsov, Vasile Lozovan, Nikita Siminel, Eduard B. Coropceanu, Olga V. Kulikova, Natalia V. Costriucova and Marina S. Fonari
Molecules 2020, 25(23), 5616; https://doi.org/10.3390/molecules25235616 - 29 Nov 2020
Cited by 8 | Viewed by 2721
Abstract
Eight mixed-ligand coordination networks, [Cd(2-aba)(NO3)(4-bphz)3/2]n·n(dmf) (1), [Cd(2-aba)2(4-bphz)]n·0.75n(dmf) (2), [Cd(seb)(4-bphz)]n·n(H2O) (3), [Cd(seb)(4-bpmhz)]n·n(H2O) (4), [Cd(hpa)(3-bphz)]n (5), [...] Read more.
Eight mixed-ligand coordination networks, [Cd(2-aba)(NO3)(4-bphz)3/2]n·n(dmf) (1), [Cd(2-aba)2(4-bphz)]n·0.75n(dmf) (2), [Cd(seb)(4-bphz)]n·n(H2O) (3), [Cd(seb)(4-bpmhz)]n·n(H2O) (4), [Cd(hpa)(3-bphz)]n (5), [Zn(1,3-bdc)(3-bpmhz)]n·n(MeOH) (6), [Cd(1,3-bdc)(3-bpmhz)]n ·0.5n(H2O)·0.5n(EtOH) (7), and [Cd(NO3)2(3-bphz)(bpe)]n·n(3-bphz) (8) were obtained by interplay of cadmium nitrate tetrahydrate or zinc nitrate hexahydrate with 2-aminobenzenecarboxylic acid (H(2-aba)), three dicarboxylic acids, sebacic (decanedioic acid, H2seb), homophthalic (2-(carboxymethyl)benzoic acid, H2hpa), isophthalic (1,3-benzenedicarboxylic acid, H2(1,3-bdc)) acids, bis(4-pyridyl)ethane (bpe) and with four azine ligands, 1,2-bis(pyridin-4-ylmethylene)hydrazine (4-bphz), 1,2-bis(1-(pyridin-4-yl)ethylidene) hydrazine (4-bpmhz), 1,2-bis(pyridin-3-ylmethylene)hydrazine (3-bphz), and 1,2-bis(1-(pyridin-3-yl) ethylidene)hydrazine (3-bpmhz). Compounds 1 and 2 are 1D coordination polymers, while compounds 38 are 2D coordination polymers. All compounds were characterized by spectroscopic and X-ray diffraction methods of analysis. The solvent uptakes and stabilities to the guest evacuation were studied and compared for 1D and 2D coordination networks. The de-solvated forms revealed a significant increase of emission in comparison with the as-synthesized crystals. Full article
(This article belongs to the Special Issue Zn(II) and Cd(II) Coordination Polymers: Advances and Perspectives)
Show Figures

Figure 1

26 pages, 12566 KB  
Article
Ten-Coordinate Lanthanide [Ln(HL)(L)] Complexes (Ln = Dy, Ho, Er, Tb) with Pentadentate N3O2-Type Schiff-Base Ligands: Synthesis, Structure and Magnetism
by Tamara A. Bazhenova, Ilya A. Yakushev, Konstantin A. Lyssenko, Olga V. Maximova, Vladimir S. Mironov, Yuriy V. Manakin, Alexey B. Kornev, Alexander N. Vasiliev and Eduard B. Yagubskii
Magnetochemistry 2020, 6(4), 60; https://doi.org/10.3390/magnetochemistry6040060 - 13 Nov 2020
Cited by 17 | Viewed by 4735
Abstract
A series of five neutral mononuclear lanthanide complexes [Ln(HL)(L)] (Ln = Dy3+, Ho3+ Er3+ and Tb3+) with rigid pentadentate N3O2-type Schiff base ligands, H2LH (1-Dy, 3-Ho, 4-Er [...] Read more.
A series of five neutral mononuclear lanthanide complexes [Ln(HL)(L)] (Ln = Dy3+, Ho3+ Er3+ and Tb3+) with rigid pentadentate N3O2-type Schiff base ligands, H2LH (1-Dy, 3-Ho, 4-Er and 6-Tb complexes) or H2LOCH3, (2-Dy complex) has been synthesized by reaction of two equivalents of 1,1′-(pyridine-2,6-diyl)bis(ethan-1-yl-1-ylidene))dibenzohydrazine (H2LH, [H2DAPBH]) or 1,1′-(pyridine-2,6-diyl)bis(ethan-1-yl-1-ylidene))di-4-methoxybenzohydrazine (H2LOCH3, [H2DAPMBH]) with common lanthanide salts. The terbium complex [Tb(LH)(NO3)(H2O)2](DME)2 (5-Tb) with one ligand H2LH was also obtained and characterized. Single crystal X-ray analysis shows that complexes 14 have the composition {[Ln3+(HL)(L)2−] solv} and similar molecular structures. In all the compounds, the central Ln3+ ion is chelated by two interlocked pentadentate ligands resulting in the coordination number of ten. Each lanthanide ion is coordinated by six nitrogen atoms and four oxygen atoms of the two N3O2 chelating groups forming together a distorted bicapped square antiprismatic polyhedron N6O4 with two capping pyridyl N atoms in the apical positions. The ac magnetic measurements reveal field-induced single-molecule magnet (SMM) behavior of the two dysprosium complexes (with barriers of Ueff = 29 K at 800 Oe in 1-Dy and Ueff = 70 K at 300 Oe in 2-Dy) and erbium complex (Ueff = 87 K at 1500 Oe in 4-Er); complex 3-Ho with a non-Kramers Ho3+ ion is SMM-silent. Although 2-Dy differs from 1-Dy only by a distant methoxy-group in the phenyl ring of the ligand, their dynamic magnetic properties are markedly different. This feature can be due to the difference in long-range contributions (beyond the first coordination sphere) to the crystal-field (CF) potential of 4f electrons of Dy3+ ion that affects magnetic characteristics of the ground and excited CF states. Magnetic behavior and the electronic structure of Ln3+ ions of 14 complexes are analyzed in terms of CF calculations. Full article
(This article belongs to the Section Magnetic Materials)
Show Figures

Graphical abstract

14 pages, 2889 KB  
Article
Mechanochemical Syntheses of Isostructural Luminescent Cocrystals of 9-Anthracenecarboxylic Acid with two Dipyridines Coformers
by Torvid Feiler, Biswajit Bhattacharya, Adam A. L. Michalchuk, Vincent Schröder, Emil List-Kratochvil and Franziska Emmerling
Crystals 2020, 10(10), 889; https://doi.org/10.3390/cryst10100889 - 1 Oct 2020
Cited by 5 | Viewed by 3729
Abstract
Tuning and controlling the solid-state photophysical properties of organic luminophore are very important to develop next-generation organic luminescent materials. With the aim of discovering new functional luminescent materials, new cocrystals of 9-anthracene carboxylic acid (ACA) were prepared with two different dipyridine coformers: 1,2-bis(4-pyridyl)ethylene [...] Read more.
Tuning and controlling the solid-state photophysical properties of organic luminophore are very important to develop next-generation organic luminescent materials. With the aim of discovering new functional luminescent materials, new cocrystals of 9-anthracene carboxylic acid (ACA) were prepared with two different dipyridine coformers: 1,2-bis(4-pyridyl)ethylene and 1,2-bis(4-pyridyl)ethane. The cocrystals were successfully obtained by both mechanochemical approaches and conventional solvent crystallization. The newly obtained crystalline solids were characterized thoroughly using a combination of single crystal X-ray diffraction, powder X-ray diffraction, Fourier-transform infrared spectroscopy, differential thermal analysis, and thermogravimetric analysis. Structural analysis revealed that the cocrystals are isostructural, exhibiting two-fold interpenetrated hydrogen bonded networks. While the O–H···N hydrogen bonds adopts a primary role in the stabilization of the cocrystal phases, the C–H···O hydrogen bonding interactions appear to play a significant role in guiding the three-dimensional assembly. Both π···π and C–H···π interactions assist in stabilizing the interpenetrated structure. The photoluminescence properties of both the starting materials and cocrystals were examined in their solid states. All the cocrystals display tunable photophysical properties as compared to pure ACA. Density functional theory simulations suggest that the modified optical properties result from charge transfers between the ACA and coformer molecules in each case. This study demonstrates the potential of crystal engineering to design solid-state luminescence switching materials through cocrystallization. Full article
(This article belongs to the Special Issue Co-Crystals: From Discovery to Manufacture)
Show Figures

Graphical abstract

15 pages, 4232 KB  
Article
Novel Pb(II) Complexes: X-Ray Structures, Hirshfeld Surface Analysis and DFT Calculations
by Ghodrat Mahmoudi, Saikat Kumar Seth, Antonio Bauza Riera, Fedor Ivanovich Zubkov and Antonio Frontera
Crystals 2020, 10(7), 568; https://doi.org/10.3390/cryst10070568 - 2 Jul 2020
Cited by 20 | Viewed by 3335
Abstract
Herein we report the synthesis and detailed structural characterization of two new centrosymmetric dinuclear coordination compounds of Pb(II) [Pb2L2(NCS)4] (1) and [Pb2L2(NO3)4]∙2MeOH (2), using the [...] Read more.
Herein we report the synthesis and detailed structural characterization of two new centrosymmetric dinuclear coordination compounds of Pb(II) [Pb2L2(NCS)4] (1) and [Pb2L2(NO3)4]∙2MeOH (2), using the organic ligand 1,2-diphenyl-1,2-bis((methyl(pyridin-2-yl)methylene)hydrazono)ethane (L). In both complexes, each subunit [PbLX2 (X = NO3 or NCS)] adopts a quasi-aromatic Möbius metal chelate structure. Each ligand L is coordinated in a tetradentate coordination mode to Pb(II), yielding the 12π electron chelate ring via two pyridyl-imine units. In compound (1), the coordination sphere is completed by one disordered N,S-coordinated thiocyanate anion and two μ1,1-bridging N-coordinated thiocyanate anions. In compound (2), the coordination sphere of Pb(II) is completed by two monodentate and two bidentate nitrato ligands (two of them acting as bridging ligands). Crystal packing of both compounds is stabilized by intermolecular hydrogen bonds, intra- and intermolecular C–H∙∙∙π interactions. The Hirshfeld molecular surfaces of (1) and (2) demonstrate that their packing is dominated by C–H∙∙∙O/N/S interactions as well as by far less favored H∙∙∙H contacts. Full article
Show Figures

Graphical abstract

8 pages, 1477 KB  
Article
Controlled Stepwise Synthesis and Characterization of a Ternary Multicomponent Crystal with 2-Methylresorcinol
by Daniel Komisarek, Carsten Schauerte and Klaus Merz
Chemistry 2020, 2(1), 93-100; https://doi.org/10.3390/chemistry2010009 - 4 Mar 2020
Cited by 3 | Viewed by 3552
Abstract
A typical approach of a multicomponent crystal design starts with a retrosynthetic analysis of the target molecule followed by a one-pot reaction of all components. To develop protocols for multicomponent crystal syntheses, controlled stepwise syntheses of a selected crystalline ternary multicomponent system 1 [...] Read more.
A typical approach of a multicomponent crystal design starts with a retrosynthetic analysis of the target molecule followed by a one-pot reaction of all components. To develop protocols for multicomponent crystal syntheses, controlled stepwise syntheses of a selected crystalline ternary multicomponent system 1 involving 2-methylresorcinol (MRS), tetramethyl-pyrazine (TMP), and 1,2-bis(4-pyridyl)ethane (BPE) are presented. The obtained binary cocrystals 2 (involving MRS and TMP) and 3 (involving MRS and BPE) as well as the final resulting ternary multicomponent system 1 were characterized by X-ray analysis. Full article
(This article belongs to the Special Issue Supramolecular Chemistry in the 3rd Millennium)
Show Figures

Graphical abstract

15 pages, 2053 KB  
Article
Green Accelerated Synthesis, Antimicrobial Activity and Seed Germination Test of Quaternary Ammonium Salts of 1,2-bis(4-pyridyl)ethane
by Aurel Tăbăcaru, Andreea Veronica Dediu Botezatu, Georgiana Horincar, Bianca Furdui and Rodica Mihaela Dinică
Molecules 2019, 24(13), 2424; https://doi.org/10.3390/molecules24132424 - 1 Jul 2019
Cited by 12 | Viewed by 3350
Abstract
A family of fifteen quaternary ammonium salts (QAs), bearing the 1,2-bis(4-pyridyl)ethane core, were obtained using for the first time two different green methods, such as microwave (MW) and ultrasounds (US) irradiation, with very good yields and in much shorter times compared to the [...] Read more.
A family of fifteen quaternary ammonium salts (QAs), bearing the 1,2-bis(4-pyridyl)ethane core, were obtained using for the first time two different green methods, such as microwave (MW) and ultrasounds (US) irradiation, with very good yields and in much shorter times compared to the classical method, and an assay on their antimicrobial action against Escherichia coli (E. coli) was carried out. While 12 to 24 h were required for complete alkylation of 1,2-bis(4-pyridyl)ethane by reactive halogenated derivatives in anhydrous solvent under reflux conditions, MW and US irradiation reduced the reaction time and the desired products were achieved in a few min. One of the aims of this study was to evaluate the antibacterial potential of the synthesized QAs against pathogenic bacteria, along with their impact on germination activity of wheat seeds (Triticum aestivum L.). The antibacterial activity of the QAs against Escherichia coli was explored by determining the minimum inhibitory concentration (MIC). The MIC values varied from 0.312 to 2.5 mg/mL, highlighting the lowest values attained for the derivatives containing methoxy, chlorine and benzofurane functional groups. The viability of aerobic bacteria was determined with the Tetrazolium/Formazan Test, a method that was found to be the best alternative approach with respect to the difuzimetric method. Seeds of Triticum aestivum L. were used for the evaluation of the germination indicators, such as seed germination (SG), the relative seed germination (RSG), the relative radicle growth (RRG), and the seed germination index (GI). The toxicity studies of QAs 1, 4 and 7, at two different concentrations, showed no inhibitory effect on seed germination. Full article
Show Figures

Graphical abstract

18 pages, 4193 KB  
Article
Catalytic Effect of Photoluminescent Zinc Oxide Nanoparticles Formed in the Presence of Quaternary Ammonium Salts
by Aurel Tăbăcaru, Rodica Mihaela Dinică, Mihaela Cudălbeanu, Cristina Mihaela Nicolescu and Marius Bumbac
Materials 2019, 12(13), 2066; https://doi.org/10.3390/ma12132066 - 27 Jun 2019
Cited by 4 | Viewed by 3020
Abstract
The comparative effect of two quaternary ammonium salts from 1,2-bis(4-pyridyl)ethane (PyQAs), namely N,N′-diphenacyl-1,2-bis(4-pyridinium)ethane dibromide (PyQAs1) and N,N′-di(p-methoxyphenacyl)-1,2-bis(4-pyridinium)ethane dibromide (PyQAs2), upon the size and photoluminescence of zinc oxide nanoparticles (ZnO NPs) was investigated. The formation of ZnO NPs took place in the [...] Read more.
The comparative effect of two quaternary ammonium salts from 1,2-bis(4-pyridyl)ethane (PyQAs), namely N,N′-diphenacyl-1,2-bis(4-pyridinium)ethane dibromide (PyQAs1) and N,N′-di(p-methoxyphenacyl)-1,2-bis(4-pyridinium)ethane dibromide (PyQAs2), upon the size and photoluminescence of zinc oxide nanoparticles (ZnO NPs) was investigated. The formation of ZnO NPs took place in the presence of variable amounts of the two PyQAs species (1, 2.5, and 5%), according to the chemical precipitation of zinc(II) acetate with potassium hydroxide in ethanol under reflux. The obtained ZnO NPs were structurally characterized by means of X-ray powder diffraction, infrared, and Raman spectroscopy. The fluorescence of all supernatant solutions, observed under ultraviolet light, determined us to make an investigation of the solutions by means of liquid chromatography coupled with electrospray ionization mass spectrometry (LC-MS-ESI) in order to elucidate the identity of the newly formed fluorescent species. Such an occurrence thus allowed the invocation of the catalytic effect of zinc(II) ions towards the organic transformation of both nonfluorescent PyQAs surfactants into new fluorescent organic species. Full article
(This article belongs to the Special Issue ZnO-Based Nanomaterials and Devices: Fundamentals and Applications)
Show Figures

Figure 1

17 pages, 4440 KB  
Article
Structural Transformations in the Thermal Dehydration of [Cu2(bpa)(btec)(H2O)4]n Coordination Polymer
by Laura Bravo-García, Edurne S. Larrea, Beñat Artetxe, Luis Lezama, Juan M. Gutiérrez-Zorrilla and María I. Arriortua
Molecules 2019, 24(9), 1840; https://doi.org/10.3390/molecules24091840 - 13 May 2019
Cited by 2 | Viewed by 4299
Abstract
Reactions between pyridinic ligands such as 1,2-bis(4-pyridyl)ethane (bpa) and transition metal cations are a very widespread technique to produce extended coordination polymers such as Metal-Organic Frameworks. In combination with a second ligand these systems could present different topologies and behaviors. In [...] Read more.
Reactions between pyridinic ligands such as 1,2-bis(4-pyridyl)ethane (bpa) and transition metal cations are a very widespread technique to produce extended coordination polymers such as Metal-Organic Frameworks. In combination with a second ligand these systems could present different topologies and behaviors. In this context, the use of 1,2,4,5-benzenetetracarboxylic acid (H4btec) gave us a novel 2D compound, [Cu2(bpa)(btec)(H2O)4]n (1), which was prepared by microwave-assisted synthesis and structurally characterized by means of single crystal X-ray diffraction. Its thermal behavior was analyzed through thermogravimetric analysis and variable temperature powder X-ray diffraction, concluding that thermal stability is influenced by the coordination water molecules, allowing two sequential thermochromic phase transformations to take place. These transformations were monitored by electronic paramagnetic resonance spectroscopy and magnetic susceptibility measurements. In addition, the crystal structure of the anhydrous compound [Cu2(bpa)(btec)]n (1.ah) was determined. Finally, a topological study was carried out for the bpa ligand considering all the structures deposited in the Cambridge Structural Databased. More than 1000 structures were analyzed and classified into 17 different topologies, according to the role of the ligand. Full article
(This article belongs to the Special Issue Functional Metal-Organic Framework Based Materials)
Show Figures

Figure 1

9 pages, 2121 KB  
Article
Threefold Spiral Structure Constructed by 1D Chains of [[M(NCS)2(bpa)2]·biphenyl]n (M = Fe, Co; bpa = 1,2-bis(4-pyridyl)ethane)
by Satoshi Tokinobu, Haruka Dote and Satoru Nakashima
Crystals 2019, 9(2), 97; https://doi.org/10.3390/cryst9020097 - 14 Feb 2019
Cited by 1 | Viewed by 3628
Abstract
Assembled complexes [[M(NCS)2(bpa)2]·biphenyl]n (M = Fe, Co; bpa = 1,2-bis(4-pyridyl)ethane) have been synthesized because [Fe(NCBH3)2(bpa)2·biphenyl]n has a novel threefold spiral structure and shows stepwise spin-crossover phenomenon. We attempted to obtain spiral [...] Read more.
Assembled complexes [[M(NCS)2(bpa)2]·biphenyl]n (M = Fe, Co; bpa = 1,2-bis(4-pyridyl)ethane) have been synthesized because [Fe(NCBH3)2(bpa)2·biphenyl]n has a novel threefold spiral structure and shows stepwise spin-crossover phenomenon. We attempted to obtain spiral structures for [[Fe(NCS)2(bpa)2]·biphenyl]n and [[Co(NCS)2(bpa)2]·biphenyl]n using a one-step diffusion method, while the reported spiral structure of [[Fe(NCBH3)2(bpa)2]·biphenyl]n was obtained by diffusion method after synthesizing Fe(II)-pyridine complex. X-ray structural analysis revealed that [[Fe(NCS)2(bpa)2]·biphenyl]n and [[Co(NCS)2(bpa)2]·biphenyl]n had a chiral propeller structure of pyridines around the central metal, and they had a novel spiral structure and chiral space group P3121 without the presence of chiral auxiliaries. It was shown that the host 1D chain, having a chiral propeller structure of pyridines around the central metal along with its concerted interaction with an atropisomer of biphenyl, made a threefold spiral structure. Full article
(This article belongs to the Special Issue Synthesis and Applications of New Spin Crossover Compounds)
Show Figures

Graphical abstract

Back to TopTop