Abstract
A pyridine-tricarboxylic acid, 5-(3′,5′-dicarboxylphenyl)nicotinic acid (H3dpna), was employed as a adjustable block to assemble a series of coordination polymers under hydrothermal conditions. The seven new coordination polymers were formulated as [Co(μ3-Hdpna)(μ-dpey)]n·nH2O (1), [Zn4.5(μ6-dpna)3(phen)3]n (2), [Co1.5(μ6-dpna)(2,2′-bipy)]n (3), [Zn1.5(μ6-dpna)(2,2′-bipy)]n (4), [Co3(μ3-dpna)2(4,4′-bipy)2(H2O)8]n·2nH2O (5),[Co(bpb)2(H2O)4]n[Co2(μ3-dpna)2(H2O)4]n·3nH2O (6), and [Mn1.5(μ6-dpna)(μ-dpea)]n (7), wherein 1,2-di(4-pyridyl)ethylene (dpey), 1,10-phenanthroline (phen), 2,2′-bipyridine(2,2′-bipy),4,4′-bipyridine(4,4′-bipy),1,4-bis(pyrid-4-yl)benzene (bpb), and 1,2-di(4-pyridyl)ethane (dpea) were employed as auxiliary ligands. The structural variation of polymers 1–7 spans the range from a 2D sheet (1–4, 6, and 7) to a 3D metal–organic framework (MOF, 5). Polymers 1–7 were investigated as heterogeneous catalysts in the Knoevenagel condensation reaction, leading to high condensation product yields (up to 100%) under optimized conditions. Various reaction conditions, substrate scope, and catalyst recycling were also researched. This work broadens the application of H3dpna as a versatile tricarboxylate block for the fabrication of functional coordination polymers.
1. Introduction
Nowadays, a growing number of transition metal coordination polymers (CPs) serve as crystalline materials because their various topologies and structures [1,2,3]. These functional compounds have prospective applications in gas separation and adsorption [4,5,6], the development of sensors [7,8] and heterogeneous catalysts [9,10,11], and many other fields [12,13,14]. Solvothermal and hydrothermal synthetic methods are widely used in the assembly of coordination polymers [15,16,17,18]. In the process of self-assembly, many reaction parameters (pH, temperature, concentration, solvent, etc.) as well as the intrinsic characteristics of the organic ligands and metal centers [19,20,21,22,23,24,25,26] affect the structures of the coordination polymers.
As the main kind of organic ligands for synthesizing coordination polymers, aromatic multi-carboxylic acids are especially attractive given their adjustable deprotonation and charges, tunable coordination modes, and good thermal stability [27,28,29,30]. Since 2019, our group has been working on the synthesis of coordination polymers with various carboxylic acids and exploring their catalytic performance in organic reactions [31,32,33]. Recently, our group used a pyridine-dicarboxylic acid, 4,4′-(pyridine-3,5-diyl)dibenzoic acid (H2pdba), to synthesize a series of transition metal coordination polymers. The catalytic performance of these polymers was evaluated [34]. As a continuation of that research, 5-(3′,5′-dicarboxylphenyl)nicotinic acid (H3dpna, Scheme 1) has been selected in the present study as a little studied pyridine-tricarboxylate building block.
Scheme 1.
Structures of H3dpna and auxiliary ligands.
As a linker, H3dpna has a lot of interesting characteristics that favor its exploration. (a) There is some rotation between the phenyl and pyridine rings, leading to improved adaptability to coordination preferences of metal(II) centers. (b) H3dpna bears some sites for coordination (six carboxyl O sites and one pyridine N site). (c) The presence of a free Npyridine atom can provide a base site for catalysis, including Knoevenagel condensation [33,34]. (d) In 2017–2021, several Mn(II)-, Ni(II)-, Co(II)-, Zn(II)-, and Cd(II)-dpna coordination polymers were synthesized [35,36,37,38]. Although their magnetism, luminescence, selective adsorption, and proton conductivities were studied, the catalytic properties of only two H3dpna-based frameworks were investigated. Thus, the present work can aid in developing this field.
Hence, we report in this work the synthesis and analysis of seven new coordination polymers obtained from metal(II) salts, H3dpna, and different auxiliary ligands. The structures of these polymers vary from a 2D sheet (1–4, 6 and 7) to a 3D metal–organic framework (MOF, 5), namely [Co(μ3-Hdpna)(μ-dpey)]n·nH2O (1), [Zn4.5(μ6-dpna)3(phen)3]n (2), [Co1.5(μ6-dpna)(2,2′-bipy)]n (3), [Zn1.5(μ6-dpna)(2,2′-bipy)]n (4), [Co3(μ3-dpna)2(4,4′-bipy)2(H2O)8]n·2nH2O (5), [Co(bpb)2(H2O)4]n[Co2(μ3-dpna)2(H2O)4]n·3nH2O (6), and [Mn1.5(μ6-dpna)(μ-dpea)]n (7).
The catalytic properties of the obtained coordination polymers have also been evaluated in Knoevenagel reactions between benzaldehyde and malononitrile.
2. Results and Discussion
2.1. Hydrothermal Synthesis of Polymers 1–7
To evaluate 5-(3′,5′-dicarboxylphenyl)nicotinic acid (H3dpna) as a promising block for the fabrication of coordination polymers, some reactions were performed under hydrothermal conditions, using a mixture containing a metal(II) chloride, H3dpna (main ligand), sodium hydroxide, and an auxiliary ligand selected from dpey, phen, 2,2′-bipy, 4,4′-bipy, bpb, and dpea. These hydrothermal synthetic reactions were carried out at 160 °C for three days, and then continued through a slow cooling of the mixtures and the crystallization of coordination polymers, as described in Table 1. The polymers were collected in 42–53% yields and characterized using standard methods. The obtained PXRD patterns of 1–7 are consistent with the simulated ones (Figure S3), confirming the formation of the homogeneous phase of the obtained polymers. The structural differences in 1–7 might be attributed to the type of auxiliary ligand selected as well as the coordination fashion of the metal(II) centers. In polymers 1–7, the blocks generated upon the deprotonation of H3dpna showed four different coordination fashions and are partially or totally deprotonated (Hdpna2−and dpna3−, Scheme 2).
Table 1.
Summary of crystal data for compounds 1–7.
Scheme 2.
The coordination modes of Hdpna2−/dpna3−.
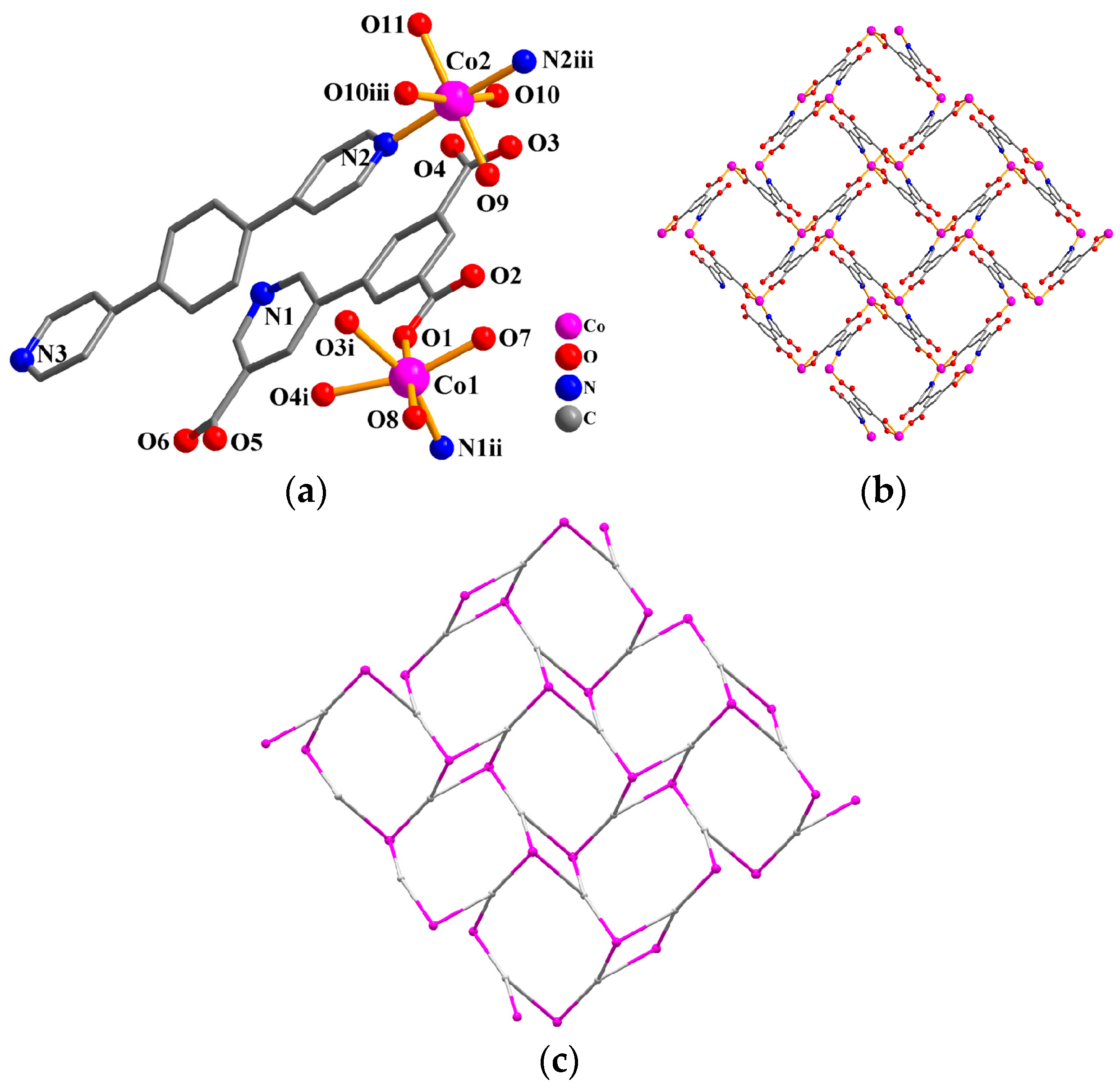
2.2. Crystal Structure of 1
As depicted in Figure 1a, there are one Co(II) center, one μ3-Hdpna2− block, one μ-dpey auxiliary ligand, and one free water molecule in the asymmetric unit of polymer 1. The six-coordinate Co1 center possesses a distorted octahedral {CoN2O4} environment populated by four carboxyl oxygen atoms from three μ3-Hdpna2 linkers and two N donors from two different μ-dpey moieties. The bond lengths of Co–O and Co–N are 2.017(2)–2.246(2) and 2.154(3)–2.156(2) Å, respectively; these are within the normal ranges observed in related Co(II) compounds [7,13]. In 1, the Hdpna2 ligand takes the coordination model (Scheme 2) with two COO− groups being bidentate or bridging bidentate, while the nitrogen site of the pyridine ring remains uncoordinated. Two carboxylate groups of two μ3-Hdpna2− linkers connect the adjacent Co(II) centers to give a dimeric Co2 subunit with a Co∙∙∙Co distance of 4.021(3) Å (Figure 1b). These Co2 subunits are further connected by the µ3-Hdpna2− linkers and μ-dpey ligands into a 2D network (Figure 1c). This 2D structure is composed of the 5-linked Co1 nodes, 3-linked µ3-Hdpna2− nodes, and 2-connected µ-dpey linkers (Figure 1d). This is a topology and a point symbol of (42.67.8)(42.6).

Figure 1.
Structure of 1. (a) Coordination environment at Co(II) atom; hydrogen atoms are ignored except for COOH group. (b) The Co2 subunit. (c) The 2D sheet (view down the c axis). (d) Topological representation of a 3-connected network with topology (view down the c axis); 5-connected Co1 nodes (pink), centroids of 3-connected µ3-Hdpna2− nodes (gray), centroids of 2-connected µ-dpey linkers (blue).
2.3. Crystal Structure of 2
The asymmetric unit of 2 consists of five distinct Zn(II) centers (Zn1 with 1/2 occupancy; Zn2–Zn5 with full occupancy), three μ6-dpna3− blocks, and three phen supporting ligands. The Zn1 and Zn2 atoms are six-coordinate and feature distorted octahedral {ZnO6} environments (Figure 2a). The Zn3, Zn4, and Zn5 centers are five-coordinate and display distorted trigonal bipyramidal {ZnN2O3} geometries. The Zn–O [2.003(2)–2.187(2) Å] and Zn–N [2.097(2)–2.214(2)Å] distances are comparable to those in Zn(II) derivatives [5,6,12]. In 2, the dpna3− blocks behave as μ6-spacers (mode II, Scheme 2), in which the COO− groups exhibit bridging bidentate modes, while the N donor of the pyridine ring remains uncoordinated. The three adjacent Zn(II) atoms (Zn1, Zn5, and Zn5i) are clustered by means of four carboxylate groups and two carboxyl oxygen atoms of six different μ6-dpna3− blocks, generating a trizinc subunit (Figure 2b). Meanwhile, another Zn3 (Zn2, Zn3, and Zn4i) subunit is formed (Figure 2c). These Zn3 subunits are further assembled by the remaining carboxylate groups of the µ6-dpna3− blocks to give a 2D network (Figure 2d). The 2D network in this structure is built from the 3- and 6-linked Zn1/Zn2 and 6-linked µ6-dpna3− nodes (Figure 2e). It can be defined as a trinodal net with a topology and point symbol of (412.63)(43)2(46.69)2.
Figure 2.
Structure of 2. (a) Coordination environment at Zn(II) centers; hydrogen atoms are ignored. (b,c) Zn3 subunits; the phen moieties are ignored. (d) The 2D sheet (view down the b axis). (e) Topological representation of a 2-nodal network with topology (view down the b axis); Zn series nodes (cyan), centroids of 6-linked µ6-dpna3− nodes (gray).
2.4. Crystal Structures of 3 and 4
Since coordination polymers 3 and 4 are isostructural, only polymer 4 is described herein (Figure 3). The asymmetric unit of Zn(II) polymer 4 bears two Zn(II) atoms (Zn1 with full occupancy, Zn2 with 1/2 occupancy), one µ6-dpna3−block, and one 2,2′-bipy auxiliary ligand (Figure 3a). The five-coordinate Zn1 atom possesses a distorted trigonal bipyramidal {ZnN2O3} environment, which is formed by three carboxyl oxygen atoms from three distinct µ6-dpna3− blocks and a pair of N2,2′-bipy donors. The Zn2 center is six-coordinate and assumes as a distorted octahedral {ZnO6} environment, based on six carboxyl oxygen atoms coming from six different µ6-dpna3− blocks. The Zn–O [2.018(2)–2.134(2) Å] and Zn–N [2.100(3)–2.164(3) Å] bonds are within standard values [13,17,26]. The dpna3− block acts as a µ6-linker (mode II, Scheme 2). The Zn3 subunit is found (Figure 3b), which is similar to that in polymer 2. These Zn3 subunits are further assembled by the other carboxylate groups of the µ6-dpna3− blocks to produce a 2D network (Figure 3c). This 2D structure is composed of the 3- and 6-linked Zn1/Zn2 nodes, and 6-linked µ6-dpna3− nodes (Figure 3d). It is a topology and a point symbol of (412.63)(43)2(46.69)2.
Figure 3.
Structure of 4. (a) Coordination environment of Zn(II) atoms; hydrogen atoms are ignored. (b) The Zn3 subunit. (c) Two-dimensional metal–organic network (view down the c axis). (d) Topological representation of a 3,6-connected network with topology (view along the c axis); 3- and 6-linked Zn1/Zn2 nodes (cyan), centroids of 6-connected µ6-dpna3− nodes (gray).
2.5. Crystal Structure of 5
Compound 5 is a 3D coordination polymer (Figure 4) and its asymmetric unit reveals two Co(II) centers (Co1 with 1/2 occupancy, Co2 with full occupancy), one µ3-dpna3− block, one µ-4,4′-bipy moiety, four H2O ligands, and one free water molecule (Figure 4a). As shown in Figure 4a, the Co1 center is six-coordinate and forms a distorted octahedral {CoN2O4} geometry. It is completed by two carboxyl oxygen atoms from two μ3-dpna3−, two O donors from two H2O ligands, and two N4,4′-bipy from two µ-4,4′-bipy moieties. The six-coordinate Co2 atom also displays a distorted octahedral {CoN2O4} geometry filled by one carboxyl oxygen atom from one μ3-dpna3−, two N donors from two distinct µ-4,4′-bipy moieties, and three O atoms of three H2O ligands. The Co–O [2.078(2)–2.131(2) Å] and Co–N [2.157(2)–2.160(2) Å] bonds are within standard values [17,21,22]. The dpna3− moiety adopts a μ3-coordination fashion (mode III, Scheme 2), in which COO− groups exhibit monodentate or uncoordinated fashions; the N donor of the pyridine ring is coordinated to the Co(II) center. The μ3-dpna3− blocks and µ-4,4′-bipy moieties form multiple connections to the Co centers to form a 3D framework (Figure 4b). The 3D network is assembled from the 3- and 4-linked Co1/Co2 centers, the 3-connected µ3-dpna3− nodes, and 2-connected µ-4,4′-bipy linkers (Figure 4c). The resulting network possesses a topology with a net point symbol of (6.102)4(62.124).
Figure 4.
Structure of 5. (a) Coordination environments at Co(II) atoms; hydrogen atoms are ignored. (b) Three-dimensional metal–organic framework (view down the c axis). (c) Topological representation of a 2,3,4-connected framework with topology (view down the c axis); 3- and 4-linked Co1/Co2 nodes (pink), centroids of 3-connected µ3-dpna3− nodes (gray), centroids of 2-connected µ-4,4′-bipy linkers (blue).
2.6. Crystal Structure of 6
The crystal structure of compound 6 is composed of one cation [Co(bpb)2(H2O)4]2+, one anion 2D sheet [Co2(μ3-dpna)2(H2O)4]2−n, and three lattice water molecules (Figure 5a). In the cation, the Co2 center adopts a distorted octahedral {CoN2O4} environment filled by four oxygen atoms from the four H2O ligands and a pair of N donors of two individual bpb auxiliary ligands. In the cation 2D sheet, the Co1 center is also six-coordinate and displays a distorted octahedral {CoNO5} environment, which is constituted by three carboxyl oxygen and nitrogen atoms from four different μ3-dpna3− blocks and two oxygen donors from two H2O ligands. The Co–O [2.048(3)–2194(2) Å] and Co–N [2.102(2)–2.141(2) Å] distances are comparable to those in related Co(II) derivatives [23,24,25]. The dpna3− block acts as a µ3-linker (mode IV, Scheme 2) with three COO− groups being monodentate, bidentate, or uncoordinated; the N donor of the pyridine ring is coordinated to the Co(II) center. The bpb auxiliary ligand shows a terminal coordination fashion. The µ3-dpna3− blocks link to the Co1 centers to form a cation 2D metal–organic network (Figure 5b). This 2D structure is composed of the 3-linked Co1 nodes and 3-linked µ3-dpna3− nodes (Figure 5c). It is a fes topology with a point symbol of (4.82).
Figure 5.
Structure of 6. (a) Coordination environment at Co(II) atoms; hydrogen atoms are ignored. (b) Two-dimensional cation metal–organic network (view down the a axis). (c) Topological representation of a 3-connected network with a fes topology (view down the a axis); 3-connected Co1 nodes (pink), centroids of 3-connected µ3-dpna3− nodes (gray).
2.7. Crystal Structure of 7
This compound has a 2D metal–organic network structure. Its asymmetric unit contains two distinct Mn(II) centers (Mn1 with full occupancy; Mn2 with 1/2 occupancy and located on a 2-fold rotation axis), a µ6-dpna3− block, and a bridging dpea ligand. The Mn1 atom is five-coordinated and forms a distorted trigonal bipyramidal {MnN2O3} geometry, which is completed by three carboxyl oxygen donors coming from three distinct µ6-dpna3− moieties and two N donors from two dpea ligand (Figure 6a). The Mn2 center is six-coordinate and positioned on a 2-fold rotation axis; Mn2 is surrounded by six O donors from six distinct µ6-dpna3− blocks, thus forming a distorted octahedral {MnO6} environment. The Mn–O [2.112(2)–2.178(2) Å] and Mn–N [2.207(2)–2.313(2)Å] lengths are comparable to those in related Mn(II) derivatives [23,26,32]. In 7, the dpna3− block behaves as a μ6-spacer (Scheme 2, mode II), in which the COO− groups exhibit μ-bridging bidentate modes. Two Mn1 and one Mn2 centers are bridged by four carboxylate groups and two carboxyl O atoms from six different µ6-dpna3− blocks, thus forming a centrosymmetric trimanganese(II) cluster (Figure 6b). These Mn3 clusters are additionally interlinked by the µ6-dpna3− blocks to give an intricate 2D metal–organic layer (Figure 6c). This 2D structure is composed of the 5- and 6-linked Mn1/Mn2 nodes, 6-linked µ6-dpna3− nodes, and 2-connected μ-dpea linkers (Figure 6d). It is a topology and a point symbol of (3.46.56.62)2(32.43.54.6)2(412.63).
Figure 6.
Structure of 7. (a) Coordination environment at Mn(II) atoms; hydrogen atoms are ignored. (b) Mn3 unit. (c) Two-dimensional metal–organic network (view down the c axis). (d) Topological representation of a 2,5,6-connected network with topology (view down the c axis); Mn series nodes (light green), centroids of 6-connected µ6-dpna3− nodes (gray), centroids of 2-connected μ-dpea linkers (blue).
2.8. TGA and PXRD Data
In an atmosphere of nitrogen, the thermal stability of polymers 1–7 were investigated by TGA (Figure S2) in the range of 21–800 °C. In compound 1, one lattice water molecule was lost at 157–192 °C (exptl 3.2%, calcd 3.3%), and the dehydrated sample was stable up to 324 °C. Polymers 2–4 and 7 do not contain free solvent or coordinated H2O, and were stable until 382, 347, 383, and 373 °C, respectively. In 5, two lattice water molecule and eight water ligands were lost at 140–240 °C (exptl, 14.2%; calcd, 14.5%), and the dehydrated framework was stable up to 265 °C. For polymer 6, a loss of mass at 51–152 °C was attributed to the loss of three lattice and eight coordinated water molecules (exptl, 14.3%; calcd, 14.1%), while the sample maintained stability until 335 °C.
For all the obtained products 1–7, power X-ray diffractograms were collected at 25 °C (Figure S3). The comparison between the experimental patterns and the simulated ones (coming from CIF data) showed that all samples are pure.
2.9. Catalytic Knoevenagel Condensation
Given the ability of some coordination polymers to catalyze the Knoevenagel condensation reaction of aldehydes and active methylene compounds [39,40,41], the reaction was performed to evaluate the catalytic activities of polymers 1–7. Firstly, benzaldehyde and malononitrile were employed as reagents and catalytic experiments were carried out in CH3OH at 25 °C, leading to the generation of 2-benzylidenemalononitrile (Scheme 3, Table 2). The influence of important parameters on the reaction yield was also studied, including the time, solvent, temperature, and amount of catalyst.
Scheme 3.
Knoevenagel condensation of benzaldehyde with malononitrile.
Table 2.
Knoevenagel condensation of benzaldehyde with malononitrile.
Preliminary screening of all the obtained polymers revealed that compounds 2–4 and 7 were the most promising. Because polymer 4 had a higher yield when it was synthesized, this polymer was used to further optimize the reaction parameters. The reaction time had a great influence on the yield; the product yield increased from 45 to 100% (Table 2, entries 1–6; Figure S4) when the reaction was extended from 10 min to 60 min. The influence of catalyst amount was also investigated, resulting in an increase in product yield from 94 to 100% when the catalyst amount was increased from 1 to 2 mol% (Table 2, entries 6 and 7). Although the highest reaction yield was achieved in CH3OH, water, ethanol, acetonitrile, and chloroform were also used as alternative solvents, leading to lower product yields (65–98%). In the absence of the above catalysts, the catalytic reaction was not efficient (Table 2, entries 18–20). Although no correlation between catalytic performance and the structure of coordination polymer catalyst could be concluded, the superior performance of polymers 2–4 and 7 can be attributed to the existence of the non-saturated coordination site in the metal centers [42,43].
Next, some benzaldehyde substrates bearing functional groups were reacted under the best conditions (2.0 mol% 4, CH3OH, 60 min). The respective products of the reaction were obtained in yields ranging from 33 to 100% (Table S3). Benzaldehyde and tis derivatives bearing an electron-attracting group (e.g., –NO2 or –Cl) showed a higher reactivity (Table S3, entries 1–5). This could be attributed to an increased electrophilic characteristic of the above benzaldehydes. Benzaldehyde substrates bearing electron-donor groups (e.g., –CH3 or –OCH3) had lower yields of products (Table S3, entries 6 and 7).
3. Experiments
3.1. Materials and Measurements
Except where otherwise noted, all chemicals were commercially available and were used as received. H3dpna was acquired from Yanshen Tec. Co., Ltd. (Changchun, China). A Bruker EQUINOX 55 spectrometer (Bruker Corporation, Billerica, MA, USA) was used to record the FTIR spectra (KBr discs). The C, H, and N elemental analyses (EA) for 1–7 were conducted using an Elementar Vario EL elemental analyzer (Elementar, Langenselbold, Germany). An LINSEIS STA PT1600 thermal analyzer (Linseis Messgeräte GmbH, Selb, Germany) was used for the thermogravimetric analyses (TGAs) under a N2 flow with a heating rate of 10 °C/min. A Rigaku-Dmax 2400 diffractometer (Cu-Kα radiation; λ= 1.54060 Å, Rigaku Corporation, Tokyo, Japan) was used to collect the powder X-ray diffraction (PXRD) patterns of the obtained compounds. CDCl3 was used as the solvent for 1H NMR measurements on a JNM ECS 400 M spectrometer (Bruker BioSpin AG, Fällanden, Switzerland).
3.2. Synthesis of [Co(μ3-Hdpna)(μ-dpey)]n·nH2O (1)
H3dpna (57.4 mg, 0.2 mmol), CoCl2·6H2O (47.6 mg, 0.2 mmol), dpey (36.4 mg, 0.2 mmol), NaOH (16.0 mg, 0.4 mmol), and H2O (10 mL) were sealed into a 20 mL Teflon cup. After the resulting mixture was kept at 160 °C for three days, it was cooled to room temperature, and pink block-shaped crystals were picked out and washed with water. (yield: 45% based on H3dpna). Calculated for C26H19CoN3O7: C 57.36, N 7.72, H 3.52%. Found: C 57.66, N 7.63, H 3.50%. FTIR (KBr, cm−1): 3463 w, 3043 w, 1708 m, 1608 s, 1589 s, 1437 s, 1405 s, 1325 w, 1288 w, 1265 w, 1205 w, 1176 w, 1136 w, 1073 w, 1017 w, 989 w, 901 w, 838 m, 793 w, 765 w, 701w, 625 w, 562 w.
3.3. Synthesis of [Zn4.5(μ6-dpna)3(phen)3]n (2)
H3dpna (57.4 mg, 0.2 mmol), ZnCl2 (40.9 mg, 0.3 mmol), phen (59.4 mg, 0.3 mmol), NaOH (24.0 mg, 0.6 mmol), and H2O (10 mL) were sealed into a 20 mL Teflon cup. After the resulting mixture was kept at 160 °C for three days, it was cooled to room temperature, and colorless block-shaped crystals were picked out and washed with water (yield: 47% based on H3dpna). Calculated for C78H42Zn4.5N9O18: C 55.51, N 7.47, H 2.51%. Found: C 55.23, N 7.44, H 2.53%. FTIR (KBr, cm−1): 1628 m, 1608 m, 1577 w, 1516 w, 1425 s, 1345 s, 1305 w, 1277 w, 1176 w, 1145 w, 1102 w, 1026 w, 933 w, 905 w, 845 w, 777 m, 726 m, 686 w, 641 w, 565 w, 538 w.
3.4. Synthesis of [Co1.5(μ6-dpna)(2,2′-bipy)]n (3)
H3dpna (57.4 mg, 0.2 mmol), CoCl2·6H2O (71.4 mg, 0.3 mmol), 2,2′-bipy (46.8 mg, 0.3 mmol), NaOH (24.0 mg, 0.6 mmol), and H2O (10 mL) were sealed into a 20 mL Teflon cup. After the resulting mixture was kept at 160 °C for three days, it was cooled to room temperature, and pink block-shaped crystals were picked out and washed with water (yield: 44% based on H3dpna). Calculated for C24H14Co1.5N3O6: C 54.51, N 7.95, H 2.67%. Found: C 54.73, N 7.74, H 2.68%. FTIR (KBr, cm−1): 1625 s, 1601 s, 1473 w, 1425 s, 1361 s, 1305 w, 1276 w, 1185 w, 1154 w, 1101 w, 1054 w, 1026 w, 973 w, 933 w, 897 w, 833 w, 762 m, 721 m, 686 w, 650 w, 629 w, 565 w, 534 w.
3.5. Synthesis of [Zn1.5(μ6-dpna)(2,2′-bipy)]n (4)
Compound 4 was synthesized following a procedure similar to 3 except using ZnCl2 (40.9 mg, 0.3 mmol) instead of CoCl2·6H2O. Some colorless block-shaped crystals of compound 4 were collected (yield: 53% based on H3dpna). Calculated for C48H28Zn3N6O12: C 53.53, N 7.80, H 2.62%. Found: C 53.27, N 7.77, H 2.64%. FTIR (KBr, cm−1): 1632 s, 1608 s, 1476 w, 1425 s, 1376 w, 1340 w, 1276 w, 1181 w, 1149 w, 1102 w, 1053 w, 1021 w, 941 w, 902 w, 838 w, 790 m, 769 w, 729 m, 686 w, 650 w, 626 w, 565 w, 530 w.
3.6. Synthesis of [Co3(μ3-dpna)2(4,4′-bipy)2(H2O)8]n·2nH2O (5)
H3dpna (57.4 mg, 0.2 mmol), CoCl2·6H2O (71.4 mg, 0.3 mmol), 4,4′-bipy (46.8 mg, 0.3 mmol), NaOH (24.0 mg, 0.6 mmol), and H2O (10 mL) were sealed into a 20 mL Teflon cup. After the resulting mixture was kept at 160 °C for three days, it was cooled to room temperature, and pink needle-shaped crystals were picked out and washed with water (yield: 42% based on H3dpna). Calculated for C24H24Co1.5N3O11: C 46.58, N 6.79, H 3.91%. Found: C 46.83, N 6.75, H 3.93%. FTIR (KBr, cm−1): 3283 m, 1613 s, 1565 s, 1401 s, 1365 s, 1281 w, 1229 w, 1185 w, 1137 w, 1069 w, 1029 w, 1009 w, 897 w, 821 m, 789 w, 701 m, 634 w, 526 w.
3.7. Synthesis of [Co(bpb)2(H2O)4]n[Co2(μ3-dpna)2(H2O)4]n·3nH2O (6)
H3dpna (57.4 mg, 0.2 mmol), CoCl2·6H2O (71.4 mg, 0.3 mmol), bpb (69.7 mg, 0.3 mmol), NaOH (24.0 mg, 0.6 mmol), and H2O (10 mL) were sealed into a 20 mL Teflon cup. After the resulting mixture was kept at 160 °C for three days, it was cooled to room temperature, and red block-shaped crystals were picked out and washed with water (yield: 45% based on H3dpna). Calculated for C60H58Co3N6O23: C 51.18, N 5.97, H 4.15%. Found: C 51.35, N 6.01, H 4.13%. FTIR (KBr, cm−1): 3404 m, 3227 m, 3027 w, 1665 w, 1601 s, 1557 m, 1469 m, 1413 s, 1369 s, 1297 w, 1221 w, 1197 w, 1154 w, 1117 w, 1065 w, 1014 w, 909 w, 802 m, 781 m, 717 m, 658 w, 574 w.
3.8. Synthesis of [Mn1.5(μ6-dpna)(μ-dpea)]n (7)
H3dpna (57.4mg, 0.2 mmol), MnCl2·4H2O (59.4 mg, 0.3 mmol), dpea (55.2 mg, 0.3 mmol), NaOH (24.0 mg, 0.6 mmol), and H2O (10 mL) were sealed into a 20 mL Teflon cup. After the resulting mixture was kept at 160 °C for three days, it was cooled to room temperature, and yellow block-shaped crystals were picked out and washed with water (yield: 47% based on H3dpna). Calculated for C52H36Mn3N6O12: C 56.69, N 7.63, H 3.29%. Found: C 56.94, N 7.47, H 3.31%. FTIR (KBr, cm−1): 1608 s, 1569 s, 1501 w, 1421 s, 1353 s, 1310 w, 1281 w, 1229 w, 1181 w, 1149 w, 1105 w, 1069 w, 1021 w, 902 w, 833 w, 786 m, 722 m, 681 w, 586 w, 553 w.
3.9. Single Crystal X-ray Diffraction and Topological Analysis
The crystal data of polymers 1–7 were collected by a Bruker APEX-II CCD diffractometer (graphite–monochromated Mo/CuKα radiation; λ = 0.71073/1.54184 Å). The structures were solved by direct methods and refined by full-matrix least-squares on F2 with SHELXS-97 and SHELXL-97 [44]. The C, O, and N atoms were refined anisotropically using full-matrix least-squares methods on F2. The H atoms were placed in calculated positions through riding models. In 2, the phen ligands (N4, C43–C54, N5) were split over two sites and refined with 0.70 and 0.30 occupancies. The crystal parameters and structural refinements are summarized in Table 1. The selected bond parameters are collected in Tables S1 and S2 (Supplementary Materials). CCDC 2299559–2299565 contains the supplementary crystallographic data of 1–7.
Topological analysis of the obtained coordination polymers was performed with ToposPro software (Version 5.5.2.1) by producing abbreviated (underlying) nets, therein bridging ligands were simplified to the centroids [45,46].
3.10. Catalytic Activity in Knoevenagel Condensation Reaction
At 25 °C, a suspension containing catalyst (typically 2 mol%), aromatic aldehyde (0.50 mmol, benzaldehyde as a model substrate), malononitrile (1.0 mmol), and solvent (1.0 mL, typically CH3OH) was stirred for the desired reaction time. Then, the catalyst was removed by centrifugation. The filtrate was evaporated using a rotary evaporator to obtain a crude solid product. This was dissolved in CDCl3 and analyzed by 1H NMR spectroscopy (JNM ECS 400 M spectrometer) for the quantification of the product (Figure S7). In order to run recycling tests, the catalyst was recollected by centrifugation, washed with methanol, dried at room temperature, and reused in subsequent steps as depicted above.
4. Conclusions
The present work revealed the application of H3dpna as a pyridine-tricarboxylate block for assembling novel coordination polymers. As a result, seven new coordination polymers were synthesized using the hydrothermal method. The structures of polymers 1–7 ranged from a 2D network (1–4, 6 and 7) to metal–organic framework (5). The catalytic application of polymers 1–7 was evaluated in Knoevenagel reactions involving benzaldehydes and malononitrile. Polymers 2–4 and 7 revealed excellent catalytic performance in the Knoevenagel reaction of aldehydes with malononitrile.
Supplementary Materials
The following data are available online at https://www.mdpi.com/article/10.3390/molecules28227474/s1. Figure S1: FT-IR spectra; Figure S2: TGA curves; Figure S3: PXRD patterns and additional catalysis data; Figure S4: Accumulation of 2-benzylidenemalononitrile vs. time in the Knoevenagel condensation of benzaldehyde with malononitrile catalyzed by 4; Figure S5: Catalyst recycling experiments in the Knoevenagel condensation of benzaldehyde with malononitrile catalyzed by 4; Figure S6: PXRD patterns for 4: simulated (red), before (black), and after (blue) catalysis; Figure S7: Example of the integration in the 1H NMR spectrum of the reaction mixture for the determination of Knoevenagel condensation product (conditions of Table 2, entry 6); Tables S1 and S2: Selected bonding and H-bonding parameters for 1, 5, and 6; Table S3: Substrate scope of catalytic reaction.
Author Contributions
Writing—original draft, X.K.; Investigation, C.R.; Data curation, Z.M.; Software, X.F.; Methodology, J.X.; Resources. Y.S.; Writing—review and editing, J.X. and J.G. All authors have read and agreed to the published version of the manuscript.
Funding
This work was supported by the 111 Project of MOE (111-2-17).
Institutional Review Board Statement
Not applicable.
Informed Consent Statement
Not applicable.
Data Availability Statement
Data are contained within the article or supplementary material.
Conflicts of Interest
The authors declare no conflict of interest.
References
- Chakraborty, G.; Park, I.H.; Medishetty, R.; Vittal, J.J. Two-Dimensional Metal-Organic Framework Materials: Synthesis, Structures, Properties and Applications. Chem. Rev. 2021, 121, 3751–3891. [Google Scholar]
- Deng, Y.; Liu, H.; Yu, B.; Yao, M. Supramolecular Coordination Assemblies Constructed from Multifunctional Azole-Containing Carboxylic Acids. Molecules 2010, 15, 3478–3506. [Google Scholar] [CrossRef]
- Singh, Y.; Patel, R.N.; Singh, Y.P.; Patel, A.K.; Patel, N.; Singh, R.; Butcher, R.J.; Jasinski, J.P.; Colacio, E.; Palacios, M.A. Unprecedented tetranuclear complexes with “weighing balance shaped” topology: Single crystal structures, unusual EPR spectra, magnetic properties and antioxidant activity. Dalton Trans. 2017, 46, 11860–11874. [Google Scholar] [PubMed]
- Fan, L.; Liu, Z.; Zhang, Y.; Zhao, D.; Yang, J.; Zhang, X. p-Terphenyl-2,2″,5″,5‴-tetracarboxylate acid based bifunctional 1D Zinc(II) metal-organic platform for luminescent sensing and gas adsorption. Inorg. Chem. Commun. 2019, 107, 107463. [Google Scholar]
- Wu, D.; Liu, J.; Jin, J.; Cheng, J.; Wang, M.; Yang, G.; Wang, Y.Y. New Doubly Interpenetrated MOF with [Zn4O] Clusters and Its Doped Isomorphic MOF: Sensing, Dye, and Gas Adsorption Capacity. Cryst. Growth Des. 2019, 19, 6774–6783. [Google Scholar]
- Zhao, Y.; Wang, L.; Fan, N.N.; Han, M.L.; Yang, G.P.; Ma, L.F. Porous Zn(II)-Based Metal-Organic Frameworks Decorated with Carboxylate Groups Exhibiting High Gas Adsorption and Separation of Organic Dyes. Cryst. Growth Des. 2018, 18, 7114–7121. [Google Scholar] [CrossRef]
- Mörtel, M.; Oschwald, J.; Scheurer, A.; Drewello, T.; Khusniyarov, M.M. Molecular Valence Tautomeric Metal Complexes for Chemosensing. Inorg. Chem. 2021, 60, 14230–14237. [Google Scholar]
- Rashid, A.; Mondal, S.; Ghosh, P. Development and Application of Ruthenium(II) and Iridium(III) Based Complexes for Anion Sensing. Molecules 2023, 28, 1231. [Google Scholar] [PubMed]
- Zheng, Y.; Shen, Q.; Li, Z.; Jing, X.; Duan, C. Two Copper-Containing Polyoxometalate-Based Metal-Organic Complexes as Heterogeneous Catalysts for the C-H Bond Oxidation of Benzylic Compounds and Olefin Epoxidation. Inorg. Chem. 2022, 61, 11156–11164. [Google Scholar]
- Zhao, S.Q.; Gu, J.Z. Synthesis, structures and catalytic activity in Knoevenagel condensation reaction of two diphenyl ether tetracarboxylic acid-Co(II) coordination polymers. Chin. J. Inorg. Chem. 2022, 38, 161–170. [Google Scholar]
- Markad, D.; Mandal, S.K. Synthesis and structural characterization of a novel dinuclear Cu(II) complex: An efficient and recyclable bifunctional heterogeneous catalyst for the diastereoselective Henry reaction. Dalton Trans. 2018, 47, 5928–5932. [Google Scholar] [CrossRef] [PubMed]
- Rashidi, N.; Fard, M.J.S.; Hayati, P.; Janczak, J.; Yazdian, F.; Rouhani, S.; Msagati, T.A.M. Antibacterial and cytotoxicity assay of two new Zn(ii)complexes: Synthesis, characterization, X-ray structure, topology, Hirshfeld surface and thermal analysis. J. Mol. Struct. 2021, 1231, 129947. [Google Scholar] [CrossRef]
- Hassan, M.; Nasr, S.M.; Abd-El Razek, S.E.; Abdel-Aziz, M.S.; El-Gamasy, S.M. New superior bioactive metal complexes of ligand with N, O donor atoms bearing sulfadiazine moiety: Physicochemical study and thermal behavior for chemotherapeutic application. Arab. J. Chem. 2020, 13, 7324–7337. [Google Scholar]
- Chen, X.; Li, G. Proton conductive Zr-based MOFs. Inorg. Chem. Front. 2020, 7, 3765–3784. [Google Scholar] [CrossRef]
- Qin, Y.; She, P.; Huang, X.; Huang, W.; Zhao, Q. Luminescent manganese(II) complexes: Synthesis, properties and optoelectronic applications. Coord. Chem. Rev. 2020, 416, 213331. [Google Scholar] [CrossRef]
- Hong, L.C.; Lin, L.Y.; Wei, L.; Fei, K.Y. Hydrothermal Synthesis, Crystal Structure and Properties of a New Binuclear Nickel(III) Complex with 3-(Pyridin-2-yl)-1,2,4-triazole. Chin. J. Struct. Chem. 2021, 40, 363–368. [Google Scholar]
- Zhang, Z.; Zhou, J.; Sun, H.X.; He, M.; Li, W.; Du, L.; Xie, M.; Zhao, Q.H. R-Substituent-Induced Structural Diversity and Single-Crystal to Single-Crystal Transformation of Coordination Polymers: Synthesis, Luminescence, and Magnetic Behaviors. Cryst. Growth Des. 2021, 21, 5086–5099. [Google Scholar] [CrossRef]
- Singh, R.S.; Paitandi, R.P.; Gupta, R.K.; Pandey, D.S. Recent developments in metal dipyrrin complexes: Design, synthesis, and applications. Coord. Chem. Rev. 2020, 414, 213269. [Google Scholar]
- Islam, S.; Tripathi, S.; Hossain, A.; Seth, S.K.; Mukhopadhyay, S. pH-induced structural variations of two new Mg(II)-PDA complexes: Experimental and theoretical studies. J. Mol. Struct. 2022, 1265, 133373. [Google Scholar] [CrossRef]
- Xu, M.; Liang, G.; Wang, S.; Ma, X.; Liang, G.; Ni, Q. Structural variability, topology and luminescent properties of three new cadmium (II) coordination polymers based on 4′,4′,4′-[(trimethylamino)]-tris[(1,1′-biphenyl)-2-carboxylate]. J. Mol. Struct. 2020, 1217, 128411. [Google Scholar] [CrossRef]
- Fonseca, D.; Pérez-Torres, A.F.; Cobo, J.; Zapata-Rivera, J.; Hurtado, J.J.; Macías, M.A. Influence of the Lewis basicity hardness of crystallization solvents on the coordination sphere of the complex [Co(3,5-dinitrobenzoate-O,O′)2]: Crystallographic and theoretical analysis. CrystEngComm 2022, 24, 2982–2991. [Google Scholar] [CrossRef]
- Meundaeng, N.; Rujiwatra, A.; Prior, T.J. Polymorphism in metal complexes of thiazole-4-carboxylic acid. Transit. Met. Chem. 2016, 41, 783–793. [Google Scholar] [CrossRef]
- Fontanet, M.; Rodríguez, M.; Viñas, C.; Teixidor, F.; Romero, I. Carboranycarboxylate Complexes as Efficient Catalysts in Epoxidation Reactions. Eur. J. Inorg. Chem. 2017, 2017, 4425–4429. [Google Scholar] [CrossRef]
- Kong, J.J.; Shao, D.; Zhang, J.C.; Jiang, Y.X.; Ji, C.L.; Huang, X.C. From mononuclear to two-dimensional cobalt(II) complexes based on a mixed benzimidazole-dicarboxylate strategy: Syntheses, structures, and magnetic properties. CrystEngComm 2019, 21, 749–757. [Google Scholar] [CrossRef]
- Jaćimović, Ž.; Kosović, M.; Kastratović, V.; Holló, B.B.; Szécsényi, K.M.; Szilágyi, I.M.; Latinović, N.; Vojinović-Ješić, L.; Rodić, M. Synthesis and characterization of copper, nickel, cobalt, zinc complexes with 4-nitro-3-pyrazolecarboxylic acid ligand. J. Therm. Anal. Calorim. 2018, 133, 813–821. [Google Scholar] [CrossRef]
- Świderski, G.; Świsłocka, R.; Łyszczek, R.; Wojtulewski, S.; Samsonowicz, M.; Lewandowski, W. Thermal, spectroscopic, X-ray and theoretical studies of metal complexes (sodium, manganese, copper, nickel, cobalt and zinc) with pyrimidine-5-carboxylic and pyrimidine-2-carboxylic acids. J. Therm. Anal. Calorim. 2019, 138, 2813–2837. [Google Scholar] [CrossRef]
- Li, H.Y.; Xu, J.; Li, L.K.; Du, X.S.; Li, F.A.; Xu, H.; Zang, S.Q. Photochromic Properties of a Series of Zinc(II)-Viologen Complexes with Structural Regulation by Anions. Cryst. Growth Des. 2017, 17, 6311–6319. [Google Scholar] [CrossRef]
- Stanojević, I.M.; Glišić, B.Đ.; Radanović, D.D.; Djuran, M.I. Copper(II) complexes of aminopolycarboxylate ligands with N2O2, N2O3 and N2O4 donor sets. The relationship between the ligand structure and molecular geometry of the complex. J. Mol. Struct. 2021, 1232, 130001. [Google Scholar] [CrossRef]
- Begum, R.; Rehman, M.; Shahid, K.; Haider, A.; Iqbal, M.; Tahir, M.N.; Ali, S. Synthesis, structural elucidation, DNA-binding and biological activity of nickel(II) mixed ligand carboxylate complexes. J. Mol. Struct. 2021, 1242, 130801. [Google Scholar] [CrossRef]
- Gao, X.; Geng, R.; Su, F. Three Co/Ni(II)-MOFs with dinuclear metal units constructed by biphenyl-3,3′,5,5′-tetracarboxylic acid and N-donor ligands: Synthesis, structures, and magnetic properties. J. Solid State Chem. 2021, 293, 121706. [Google Scholar] [CrossRef]
- Gu, J.Z.; Wan, S.M.; Dou, W.; Kirillova, M.V.; Kirillov, A.M. Coordination polymers from an unexplored biphenyl-tricarboxylate linker: Hydrothermal synthesis, structural traits and catalytic cyanosilylation. Inorg. Chem. Front. 2021, 8, 1229–1242. [Google Scholar] [CrossRef]
- Cheng, X.; Guo, L.; Wang, H.; Gu, J.; Yang, Y.; Kirillova, M.V.; Kirillov, A.M. Coordination Polymers from Biphenyl-Dicarboxylate Linkers: Synthesis, Structural Diversity, Interpenetration, and Catalytic Properties. Inorg. Chem. 2022, 61, 12577–12590. [Google Scholar] [CrossRef] [PubMed]
- Gu, J.Z.; Wan, S.M.; Kirillova, M.V.; Kirillov, A.M. H-Bonded and metal(II)-organic architectures assembled from an unexplored aromatic tricarboxylic acid: Structural variety and functional properties. Dalton Trans. 2020, 49, 7197–7209. [Google Scholar] [CrossRef] [PubMed]
- Cheng, X.Y.; Guo, L.R.; Wang, H.Y.; Gu, J.Z.; Yang, Y.; Kirillova, M.V.; Kirillov, A.M. Coordination Polymers Constructed from an Adaptable Pyridine-Dicarboxylic Acid Linker: Assembly, Diversity of Structures, and Catalysis. Inorg. Chem. 2022, 61, 17951–17962. [Google Scholar] [CrossRef]
- Guo, X.Y.; Zhao, F.; Liu, H.T.; Wang, Y.Q.; Liu, Z.L.; Gao, E.Q. Five new 2D and 3D coordination polymers based on two new multifunctional pyridyl-tricarboxylate ligands: Hydrothermal syntheses, structural diversity, luminescent and magnetic properties. RSC Adv. 2017, 7, 19039–19049. [Google Scholar] [CrossRef]
- Zhou, C.C.; Liu, H.T.; Ding, L.; Lu, J.; Wang, S.N.; Li, Y.W. Proton conductivities of four low dimensional MOFs: Affected by the amount of chelated ligands. CrystEngComm 2021, 23, 5106–5115. [Google Scholar] [CrossRef]
- Hao, H.G.; Zhao, Y.F.; Chen, D.M.; Yu, J.M.; Tan, K.; Ma, S.; Chabal, Y.; Zhang, Z.M.; Dou, J.M.; Xiao, Z.H.; et al. Simultaneous Trapping of C2H2 and C2H6 from a Ternary Mixture of C2H2/C2H4/C2H6 in a Robust Metal-Organic Framework for the Purification of C2H4. Angew. Chem. Int. Ed. 2018, 57, 16067–16071. [Google Scholar] [CrossRef]
- Zhang, Y.; Su, K.; Hao, M.; Liu, L.; Han, Z.B.; Yuan, D. Two metal-organic frameworks based on pyridyl-tricarboxylate ligands as size-selective catalysts for solvent-free cyanosilylation reaction. CrystEngComm 2018, 20, 6070–6076. [Google Scholar] [CrossRef]
- Chen, H.; Fan, L.; Hu, T.; Zhang, X. 6s-3d {Ba3Zn4}-Organic Framework as an Effective Heterogeneous Catalyst for Chemical Fixation of CO2 and Knoevenagel Condensation Reaction. Inorg. Chem. 2021, 60, 3384–3392. [Google Scholar] [CrossRef]
- Almasi, M.; Zelenak, V.; Opanasenko, M.; Cejka, J. A novel nickel metal-organic framework with fluorite-like structure: Gas adsorption properties and catalytic activity in Knoevenagel condensation. Dalton Trans. 2014, 43, 3730–3738. [Google Scholar] [CrossRef]
- Yi, X.C.; Huang, M.X.; Qi, Y.; Gao, E.Q. Synthesis, structure, luminescence and catalytic properties of cadmium(II) coordination polymers with 9H-carbazole-2,7-dicarboxylic acid. Dalton Trans. 2014, 43, 3691–3697. [Google Scholar] [CrossRef]
- Loukopoulos, E.; Kostakis, G.E. Review: Recent advances of one-dimensional coordination polymers as catalysts. J. Coord. Chem. 2018, 71, 371–410. [Google Scholar] [CrossRef]
- Xue, L.P.; Li, Z.H.; Zhang, T.; Cui, J.J.; Gao, Y.; Yao, J.X. Construction of two Zn(II)/Cd(II) multifunctional coordination polymers with mixed ligands for catalytic and sensing properties. New J. Chem. 2018, 42, 14203–14209. [Google Scholar] [CrossRef]
- Sheldrick, G.M. SHELXS-97; Program for X-ray Crystal Structure Determination; University of Gottingen: Göttingen, Germany, 1997. [Google Scholar]
- Blatov, V.A. Multipurpose crystallochemical analysis with the program package TOPOS. IUCr CompComm Newsl. 2006, 7, 4–38. [Google Scholar]
- Blatov, V.A.; Shevchenko, A.P.; Proserpio, D.M. Applied topological analysis of crystal structures with the program package topospro. Cryst. Growth Des. 2014, 14, 3576–3586. [Google Scholar] [CrossRef]
Disclaimer/Publisher’s Note: The statements, opinions and data contained in all publications are solely those of the individual author(s) and contributor(s) and not of MDPI and/or the editor(s). MDPI and/or the editor(s) disclaim responsibility for any injury to people or property resulting from any ideas, methods, instructions or products referred to in the content. |
© 2023 by the authors. Licensee MDPI, Basel, Switzerland. This article is an open access article distributed under the terms and conditions of the Creative Commons Attribution (CC BY) license (https://creativecommons.org/licenses/by/4.0/).









