Sign in to use this feature.

Years

Between: -

Subjects

remove_circle_outline
remove_circle_outline
remove_circle_outline
remove_circle_outline
remove_circle_outline
remove_circle_outline
remove_circle_outline
remove_circle_outline
remove_circle_outline

Journals

remove_circle_outline
remove_circle_outline
remove_circle_outline
remove_circle_outline
remove_circle_outline

Article Types

Countries / Regions

remove_circle_outline
remove_circle_outline
remove_circle_outline
remove_circle_outline
remove_circle_outline

Search Results (718)

Search Parameters:
Keywords = “The Belt and Road”

Order results
Result details
Results per page
Select all
Export citation of selected articles as:
18 pages, 4826 KB  
Article
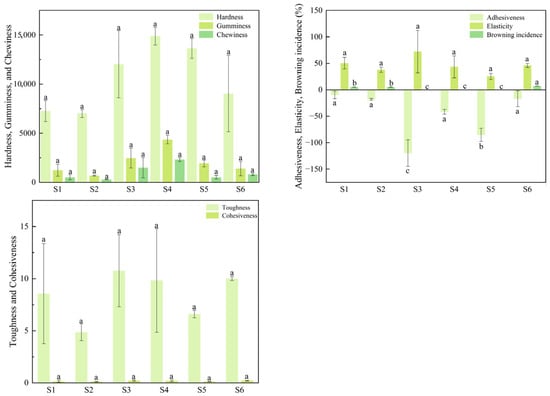
Diversity Analysis of Leaf Phenotypic and Fruit Quality Traits Among Six Superior Trees of Nai Plum (Prunus salicina Lindl. var. cordata)
by Kuo Yang, Juan Luo, Fengxia Shao, Sen Wang, Yao Li, Tian Xiang, Xuanyu Zhang, Yutong Li, Xinxin Lian, Minhuan Zhang, Yafeng Wen and Saiyang Zhang
Agriculture 2026, 16(3), 343; https://doi.org/10.3390/agriculture16030343 - 30 Jan 2026
Abstract
This study analyzed the phenotypic and internal fruit quality diversity of six superior Nai plum trees to provide detailed phenotypic profiles and preliminary relational hypotheses, supporting superior genotype re-selection for breeding. Using leaves and mature fruits, we conducted diversity, correlation, and principal component [...] Read more.
This study analyzed the phenotypic and internal fruit quality diversity of six superior Nai plum trees to provide detailed phenotypic profiles and preliminary relational hypotheses, supporting superior genotype re-selection for breeding. Using leaves and mature fruits, we conducted diversity, correlation, and principal component analysis (PCA) on all quantitative traits. The average Shannon–Wiener index (H′) for qualitative traits was 0.543, and the average coefficient of variation for quantitative traits was 19.98%. Correlation analysis revealed complex trait relationships, including the synchronous variation between the total number of soluble solids (TSS) and reducing sugars (RS) or soluble sugars (SS) and the opposite trends between the TSS and potassium (K), magnesium (Mg), or soluble protein (SP). PCA extracted four principal components (cumulative contribution: 91.074%) from all traits. Based on factor scores, S6 ranked highest, indicating its potential as a comprehensive candidate. The findings offer a theoretical basis for Nai plum cultivation and breeding. Full article
(This article belongs to the Section Crop Genetics, Genomics and Breeding)
Show Figures

Figure 1

34 pages, 741 KB  
Article
ESG Performance and Corporate OFDI: The Moderating Role of the Corporate Life Cycle
by Zhijing Wu and Junjie Yang
Sustainability 2026, 18(3), 1231; https://doi.org/10.3390/su18031231 - 26 Jan 2026
Viewed by 150
Abstract
As China has increased implementation of its opening-up strategy and the “Belt and Road” initiative, Chinese enterprises have encountered significant historical opportunities to expand their outward foreign direct investment (OFDI). However, international organizations and major nations are increasingly focusing on nonfinancial indicators for [...] Read more.
As China has increased implementation of its opening-up strategy and the “Belt and Road” initiative, Chinese enterprises have encountered significant historical opportunities to expand their outward foreign direct investment (OFDI). However, international organizations and major nations are increasingly focusing on nonfinancial indicators for multinational corporations; as a result, enterprises frequently encounter social responsibility crises in cross-border investments. Consequently, Chinese firms must enhance their environmental, social, and governance (ESG) practices to bolster their comprehensive competitiveness, which is crucial for promoting successful international engagement and sustainability. This research explores the U-shaped relationship between ESG performance and OFDI, examining how different stages of the corporate lifecycle affect OFDI. The findings indicate that ESG investments compete with OFDI for internal resources during the introduction, growth, and decline phases, thereby inhibiting OFDI activities. In contrast, strong ESG performance in the maturity phase provides a competitive advantage in international markets, facilitating OFDI. The empirical analysis uses a fixed-effects model on a sample of Chinese A-share-listed companies from 2009 to 2022 and employs the PSM, 2SLS, and System GMM methods to test for endogeneity. The results reveal that (1) a positive U-shape relationship between ESG performance and corporate OFDI, and the inflection point occurs when the ESG score equals 69.04. Moreover, (2) the corporate lifecycle intensifies this nonlinear relationship, with growth-phase firms showing a significant inhibitory effect and mature-phase firms showing a pronounced promotional effect. Finally, (3) the U-shaped relationship between ESG performance and corporate OFDI is more pronounced in nonstate-owned enterprises. Based on these findings, this paper provides targeted policy recommendations for enterprises and governments. Full article
(This article belongs to the Section Economic and Business Aspects of Sustainability)
Show Figures

Figure 1

34 pages, 18502 KB  
Article
Influencing Factors of Diverse Development in Campus Community Gardens at Chinese Universities: An Empirical Analysis of Universities in Beijing
by Ye Liu, Xiayi Zhong, Yue Gao and Yang Liu
Sustainability 2026, 18(3), 1156; https://doi.org/10.3390/su18031156 - 23 Jan 2026
Viewed by 134
Abstract
Campus community gardens are expected to leverage disciplinary resources and spatial conditions to deliver ecological, educational, and social benefits beyond those of general community gardens. In China, these gardens are primarily established under the guidance of educational authorities, leading to issues such as [...] Read more.
Campus community gardens are expected to leverage disciplinary resources and spatial conditions to deliver ecological, educational, and social benefits beyond those of general community gardens. In China, these gardens are primarily established under the guidance of educational authorities, leading to issues such as significant homogenization and a lack of diversity, which hinders the full realization of their potential. This study investigates the potential factors influencing the development of campus gardens. Focusing on university campuses in Beijing, it employs stratified sampling and a questionnaire survey (n = 1008), utilizing methods including exploratory factor analysis (EFA), multiple linear regression, and analysis of variance (ANOVA) to systematically identify the factors affecting their differentiated development. The results indicate that: (1) the willingness to participate is collectively driven by four dimensions: “planting expectation,” “funding and site selection,” “personal motivation,” and “organizational support,” with “planting expectation” being the most significant factor. (2) Students’ academic disciplines influence their perceptions of the need for organizational support and spatial resources for gardens. (3) Campus location and size moderate the demand for gardens, with students in the urban expansion belt (between the 4th and 5th Ring Roads) and those from smaller campuses showing a stronger “pro-nature compensation” tendency. Based on campus spatial scale, urban location, and the academic backgrounds of participants, the study proposes integrated “space-organization” development strategies. This research provides targeted planning strategies for campus community gardens in China, aiming to leverage institutional disciplinary strengths, respond to participant needs, and maximize the gardens’ benefits. Full article
Show Figures

Figure 1

28 pages, 1515 KB  
Article
Supply Chain Integration for Sustainability in Belt and Road Initiative EPC Projects: A Multi-Stakeholder Perspective
by Jiaxin Huang and Kelvin K. Orisaremi
Sustainability 2026, 18(2), 1081; https://doi.org/10.3390/su18021081 - 21 Jan 2026
Viewed by 140
Abstract
This study investigates critical research gaps in procurement management challenges faced by Chinese contractors in international engineering–procurement–construction (EPC) projects under the Belt and Road Initiative (BRI), with a particular focus on sustainability-oriented outcomes. It examines the following: (1) prevalent procurement inefficiencies, such as [...] Read more.
This study investigates critical research gaps in procurement management challenges faced by Chinese contractors in international engineering–procurement–construction (EPC) projects under the Belt and Road Initiative (BRI), with a particular focus on sustainability-oriented outcomes. It examines the following: (1) prevalent procurement inefficiencies, such as communication delays and material shortages, encountered in international EPC projects; (2) the role of supply chain INTEGRATION in enhancing procurement performance; (3) the application of social network analysis (SNA) to reveal inter-organizational relationships in procurement systems; and (4) the influence of stakeholder collaboration on achieving efficient and sustainable procurement processes. The findings demonstrate that effective supply chain integration significantly improves procurement efficiency, reduces delays, and lowers costs, thereby contributing to more sustainable project delivery. Strong collaboration and transparent communication among key stakeholders—including contractors, suppliers, subcontractors, and designers—are shown to be essential for mitigating procurement risks and supporting resilient supply chain operations. SNA results highlight the critical roles of central stakeholders and their relational structures in optimizing resource allocation and enhancing risk management capabilities. Evidence from case studies further indicates that Chinese contractors increasingly adopt sustainability-oriented practices, such as just-in-time inventory management, strategic supplier relationship management, and digital procurement platforms, to reduce inefficiencies and environmental impacts. Overall, this study underscores that supply chain INTEGRATION, combined with robust stakeholder collaboration, is a key enabler of sustainable procurement and long-term competitiveness for Chinese contractors in the global EPC market. The purpose of this study is to identify critical procurement management challenges and propose evidence-based solutions for Chinese contractors. It further aims to develop a sustainability-oriented framework integrating supply chain integration and stakeholder collaboration to enhance competitiveness. Full article
Show Figures

Figure 1

21 pages, 2300 KB  
Article
Integration of Landscape Ecological Risk Assessment and Circuit Theory for Ecological Security Pattern Construction in the Pinglu Canal Economic Belt
by Jiayang Lai, Baoqing Hu and Qiuyi Huang
Land 2026, 15(1), 162; https://doi.org/10.3390/land15010162 - 14 Jan 2026
Viewed by 251
Abstract
Against the backdrop of rapid urbanization and land development, the degradation of regional ecosystem services and the intensification of ecological risks have become prominent challenges. This study takes the Pinglu Canal Economic Belt—a region characterized by the triple pressures of “large-scale engineering disturbance, [...] Read more.
Against the backdrop of rapid urbanization and land development, the degradation of regional ecosystem services and the intensification of ecological risks have become prominent challenges. This study takes the Pinglu Canal Economic Belt—a region characterized by the triple pressures of “large-scale engineering disturbance, karst ecological vulnerability, and port economic agglomeration”—as a case study. Based on remote sensing image data from 2000 to 2020, a landscape ecological risk index was constructed, and regional landscape ecological risk levels were assessed using ArcGIS spatial analysis tools. On this basis, ecological sources were identified by combining the InVEST model with morphological spatial pattern analysis (MSPA),and an ecological resistance surface was constructed by integrating factors such as land use type, elevation, slope, distance to roads, distance to water bodies, and NDVI. Furthermore, the circuit theory method was applied to identify ecological corridors, ecological pinch points, and barrier points, ultimately constructing the ecological security pattern of the Pinglu Canal Economic Belt. The main findings are as follows: (1) Ecological risks were primarily at low to medium levels, with high-risk areas concentrated in the southern coastal region. Over the past two decades, an overall optimization trend was observed, shifting from high risk to lower risk levels. (2) A total of 15 ecological sources (total area 1313.71 km2), 31 ecological corridors (total length 1632.42 km), 39 ecological pinch points, and 15 ecological barrier points were identified, clarifying the key spatial components of the ecological network. (3) Based on spatial analysis results, a zoning governance plan encompassing “ecological protected areas, improvement areas, restoration areas, and critical areas” along with targeted strategies was proposed, providing a scientific basis for ecological risk management and pattern optimization in the Pinglu Canal Economic Belt. Full article
(This article belongs to the Section Landscape Ecology)
Show Figures

Figure 1

34 pages, 2366 KB  
Article
Dynamic Modeling of Bilateral Energy Synergy: A Data-Driven Adaptive Index for China–Korea Hydrogen System Coupling Assessment
by Liekai Bi and Yong Hu
Energies 2026, 19(2), 343; https://doi.org/10.3390/en19020343 - 10 Jan 2026
Viewed by 213
Abstract
The development of cross-border hydrogen energy value chains involves complex interactions between technological, regulatory, and logistical subsystems. Static assessment models often fail to capture the dynamic response of these coupled systems to external perturbations. This study addresses this gap by proposing the Dual [...] Read more.
The development of cross-border hydrogen energy value chains involves complex interactions between technological, regulatory, and logistical subsystems. Static assessment models often fail to capture the dynamic response of these coupled systems to external perturbations. This study addresses this gap by proposing the Dual Carbon Cooperation Index (DCCI), a data-driven framework designed to quantify the synergy efficiency of the China–Korea hydrogen ecosystem. We construct a dynamic state estimation model integrating three coupled dimensions—Technology Synergy, Regulatory Alignment, and Supply Chain Resilience—utilizing an adaptive weighting algorithm (Triple Dynamic Response). Based on multi-source heterogeneous data (2020–2024), the model employs Natural Language Processing (NLP) for vectorizing unstructured regulatory texts and incorporates an exogenous signal detection mechanism (GPR). Empirical results reveal that the ecosystem’s composite synergy score recovered from 0.38 to 0.50, driven by robust supply chain resilience but constrained by high impedance in technological transfer protocols. Crucially, the novel dynamic weighting algorithm significantly reduces state estimation error during high-volatility periods compared to static linear models, as validated by bootstrapping analysis (1000 resamples). The study provides a quantitative engineering tool for monitoring ecosystem coupling stability and proposes a technical roadmap for reducing system constraints through secure IP data architectures and synchronized standard protocols. Full article
(This article belongs to the Special Issue Energy Security, Transition, and Sustainable Development)
Show Figures

Figure 1

17 pages, 10748 KB  
Article
Spatiotemporal Synergy and Dual-Dimensional Correlation of Xinjiang’s Tourism Industry Clusters
by Jiao Jin, Jiannan Hou, Sitong Chen and Bin Chu
Sustainability 2026, 18(2), 705; https://doi.org/10.3390/su18020705 - 9 Jan 2026
Viewed by 332
Abstract
As a core sector of the Belt and Road Initiative (BRI) and dual-circulation pattern, Xinjiang’s cultural tourism industry—its ninth-largest industrial cluster—plays a key role in enhancing industrial competitiveness and regional coordinated development. To fill the research gap of insufficient analysis on China’s western [...] Read more.
As a core sector of the Belt and Road Initiative (BRI) and dual-circulation pattern, Xinjiang’s cultural tourism industry—its ninth-largest industrial cluster—plays a key role in enhancing industrial competitiveness and regional coordinated development. To fill the research gap of insufficient analysis on China’s western frontier regions in existing tourism cluster studies, this research focuses on 14 prefecture-level cities in Xinjiang (2009–2023) and innovatively adopts a spatiotemporal synergy and dual-dimensional correlation framework, addressing the limitations of previous single-dimensional research. Tourism Location Quotient (TLQ) quantified specialized agglomeration, Local Moran’s I identified spatial correlation patterns, gravity models analyzed horizontal inter-cluster interactions, and Gray Relational Model (GRM) measured vertical driving relationships between cluster development and related dimensions. This approach facilitates an in-depth analysis of the spatiotemporal evolution trajectory of Xinjiang’s tourism clusters and their horizontal-vertical linkage mechanisms. Findings show: (1) Xinjiang’s tourism clusters present a spatial pattern of “Northern Xinjiang as the core, Eastern Xinjiang with differentiated development, and Southern Xinjiang as lagging.” With narrowing regional gaps, their evolution transitions from a “fixed gradient” to “co-evolution.” (2) Agglomeration effects are significant: Urumqi propels Northern Xinjiang to form a “high-high agglomeration zone,” while Southern Xinjiang remains a “low-low agglomeration zone” led by Kashgar. (3) Horizontal linkages evolve from a Urumqi-centered single-core structure to a multi-axis cluster network, and vertical linkages are mainly driven by destination attractiveness and economic support capacity. This study clarifies the spatiotemporal evolution logic and associated driving mechanisms of tourism clusters in arid, multi-ethnic frontier regions, providing a scientific basis for optimizing regional tourism layouts and promoting high-quality development. Full article
Show Figures

Figure 1

26 pages, 6395 KB  
Review
In Situ Characterization of Anode Materials for Rechargeable Li-, Na- and K-Ion Batteries: A Review
by Jinqi Gui, Shuaiju Meng, Xijun Liu and Zhifeng Wang
Materials 2026, 19(2), 280; https://doi.org/10.3390/ma19020280 - 9 Jan 2026
Viewed by 338
Abstract
Rechargeable lithium-, sodium-, and potassium-ion batteries are utilized as essential energy storage devices for portable electronics, electric vehicles, and large-scale energy storage systems. In these systems, anode materials play a vital role in determining energy density, cycling stability, and safety of various batteries. [...] Read more.
Rechargeable lithium-, sodium-, and potassium-ion batteries are utilized as essential energy storage devices for portable electronics, electric vehicles, and large-scale energy storage systems. In these systems, anode materials play a vital role in determining energy density, cycling stability, and safety of various batteries. However, the complex electrochemical reactions and dynamic changes that occur in anode materials during charge–discharge cycles generate major challenges for performance optimization and understanding failure mechanisms. In situ characterization techniques, capable of real-time tracking of microstructures, composition, and interface dynamics under operating conditions, provide critical insights that bridge macroscopic performance and microscopic mechanisms of anodes. This review systematically summarizes the applications of such techniques in studying anodes for lithium-, sodium-, and potassium-ion batteries, with a focus on their contributions across different anode types. It also indicates current challenges and future directions of these techniques, aiming to offer valuable references for relevant applications and the design of high-performance anodes. Full article
(This article belongs to the Special Issue Technology in Lithium-Ion Batteries: Prospects and Challenges)
Show Figures

Graphical abstract

28 pages, 6027 KB  
Article
Acoustic Performance of Stone Mastic Asphalts with Crumb Rubber and Polymeric Additives in Warm, Dry Climates
by Jesús Campuzano-Ríos and Juan José Jorquera-Lucerga
Materials 2026, 19(2), 260; https://doi.org/10.3390/ma19020260 - 8 Jan 2026
Viewed by 241
Abstract
Traffic noise is one of the main sources of environmental problems and a growing challenge for national traffic authorities. It is widely accepted that tire-pavement interaction is the main cause of traffic noise at speeds between 40 and 90 km/h. Typically, noise attenuation [...] Read more.
Traffic noise is one of the main sources of environmental problems and a growing challenge for national traffic authorities. It is widely accepted that tire-pavement interaction is the main cause of traffic noise at speeds between 40 and 90 km/h. Typically, noise attenuation strategies include earthworks, tree belts, or noise barriers. However, a solution that is almost always viable is the use of low-noise pavements, which are characterized by their porous macrotexture, such as Stone Mastic Asphalt (SMA) mixtures. These mixtures are increasingly used for heavy traffic volumes because of their many advantages, including drainage properties and mechanical strength. Based on the experimental results obtained on different roads in southern Spain, this paper compares noise reduction in an SMA standard mixture due to the incorporation of different additives, such as crumb rubber and polymeric additives. According to the analysis, increasing the additives content by 1% reduces CPX by 1.18 decibels, approximately, and none of the analyzed sections shows increases greater than 3 dB within 24 months. Additionally, the paper proposes design recommendations regarding macrotexture and the percentage of voids for zones with warm, dry climates, such as Mediterranean Spain. Full article
(This article belongs to the Special Issue Eco-Friendly Intelligent Infrastructures Materials)
Show Figures

Figure 1

17 pages, 2876 KB  
Article
Cultural Heritage Narrative Innovation and Adaptation Mechanisms: A Case Study of the Intercultural Communication of Chinese Han Dynasty Heritage in Germany
by Su Yan, Chenxi Yang, Bingjie Mai and Jing Cao
Heritage 2026, 9(1), 14; https://doi.org/10.3390/heritage9010014 - 6 Jan 2026
Viewed by 349
Abstract
The deepening of the “Belt and Road” Initiative urgently requires breaking through the dilemmas of symbolization, unidirectionality, and contextual de-embedding in the export of traditional cultural heritage. This paper takes the 2023 China-Germany “Tracing the Belt and Road” cultural heritage exchange project as [...] Read more.
The deepening of the “Belt and Road” Initiative urgently requires breaking through the dilemmas of symbolization, unidirectionality, and contextual de-embedding in the export of traditional cultural heritage. This paper takes the 2023 China-Germany “Tracing the Belt and Road” cultural heritage exchange project as the research object, employing a single-case exploratory research method to construct a theoretical model of “narrative carrier innovation—cultural heritage dimension adaptation” aimed at enhancing the effectiveness of cultural heritage dissemination. The study finds that international communication projects for cultural heritage can systematically deconstruct the cultural core (“Dao”) and innovatively adapt modernized, localized dissemination forms familiar to the audiences in the host regions (“Qi”), thereby achieving a paradigm shift from passive introduction to active resonance. The paper specifically elucidates how four types of innovative carriers-digital narrative, public participatory, competitive co-creative, and academic artistic-adapt to the dimensions of historical cognition, aesthetic experience, creative interaction, and value identification in Han Dynasty cultural heritage. This adaptation ultimately forms effective cross-cultural dissemination pathways. This research provides an operable theoretical framework and practical paradigm for “Belt and Road” humanistic exchanges, offering insights for the international dissemination of cultural heritage. Full article
Show Figures

Figure 1

36 pages, 11684 KB  
Article
Nonlinear Water–Heat Thresholds, Human Amplification, and Adaptive Governance of Grassland Degradation Under Climate Change
by Denghui Xu, Jiani Li, Caifang Xu, Tongsheng Fan, Yao Wang and Zhonglin Xu
Remote Sens. 2026, 18(1), 148; https://doi.org/10.3390/rs18010148 - 1 Jan 2026
Viewed by 592
Abstract
Dryland grasslands face elevated risks of rapid threshold crossing under a regime of warming, precipitation redistribution, and intensified interannual hydrothermal variability. Using the Ebinur Lake Basin (ELB) as a case, we developed an integrated structure × function assessment—linking land-use/cover change (LUCC) transitions with [...] Read more.
Dryland grasslands face elevated risks of rapid threshold crossing under a regime of warming, precipitation redistribution, and intensified interannual hydrothermal variability. Using the Ebinur Lake Basin (ELB) as a case, we developed an integrated structure × function assessment—linking land-use/cover change (LUCC) transitions with functional indicators of net primary productivity (NPP), net ecosystem production (NEP), soil conservation (SC), and grass supply (GS)—and coupled it with Bayesian-optimized XGBoost, SHAP, and partial dependence plots (PDPs) at a 30 m pixel scale to identify dominant drivers and ecological thresholds, subsequently translating them into governance zones. From 2003 to 2023, overall grassland status was dominated by degradation (20,160.62 km2; 69.42%), with restoration at 8878.85 km2 (30.57%) and stability at 2.79 km2 (0.01%). NPP/NEP followed a rise–decline–recovery trajectory, while SC exhibited marked bipolarity. Precipitation and temperature emerged as primary drivers (interaction X3 × X4 = 0.0621), whose effects, together with topography and accessibility, shaped a spatial paradigm of piedmont sensitive–oasis sluggish–lakeshore vulnerable. Key thresholds included an annual precipitation recovery threshold of ~200 mm and an optimal window of 272–429 mm; a road-density divide near ~0.06 km km−2; and sustainable grazing windows of ~2.2–4.2 and ~4.65–5.61 livestock units (LU) km−2. These thresholds underpinned four management units—Priority Control (52.53%), Monitoring and Alert (21.53%), Natural Recovery (20.40%), and Optimized Maintenance (5.55%)—organized within a “two belts–four zones–one axis” spatial framework, closing the loop from threshold detection to adaptive governance. The approach provides a replicable paradigm for climate-adaptive management and ecological risk mitigation of dryland grasslands under warming. Full article
Show Figures

Figure 1

27 pages, 16916 KB  
Article
Aquaculture Industry Composition, Distribution, and Development in China
by Zixuan Ma, Hao Xu, Richard Newton, Anyango Benter, Dingxi Safari Fang, Chun Wang, David Little and Wenbo Zhang
Sustainability 2025, 17(24), 11331; https://doi.org/10.3390/su172411331 - 17 Dec 2025
Cited by 1 | Viewed by 810
Abstract
Aquaculture is the fastest-growing food production sector globally. As its largest producer, China plays a pivotal role in ensuring aquatic food supply and supporting the blue economy. Despite its massive scale, a systematic understanding of the geographic distribution, structural composition, and drivers of [...] Read more.
Aquaculture is the fastest-growing food production sector globally. As its largest producer, China plays a pivotal role in ensuring aquatic food supply and supporting the blue economy. Despite its massive scale, a systematic understanding of the geographic distribution, structural composition, and drivers of China’s aquaculture value chain remains limited. We comprehensively characterized the sector’s composition, spatiotemporal evolution, and structural dynamics. We compiled and analyzed over 2.85 million enterprise registration records from the TianYanCha database, applying rigorous industry classification, spatial mapping, correlation analysis, and bottleneck assessment with natural and socioeconomic variables. Results show that policy reforms, notably the 2013 Company Law amendment and 2016 aquaculture certification measures, drove sharp increases in enterprise registrations, particularly in retail and farming. Enterprises are highly clustered in the Yangtze River Basin, Pearl River Delta, and southeastern coast, with inland expansion along major river systems. Strong interdependencies exist among sectors, while wholesale remains numerically scarce, forming a structural bottleneck. Standardization levels are low. Foreign investment, though under 5%, concentrated in processing and distribution, contributed to advanced technologies in the 1990s–2000s. These findings highlight rapid formalization, regional clustering, and structural imbalances, suggesting that enhancing formalization and addressing intermediary bottlenecks could improve sector resilience and efficiency. Full article
Show Figures

Figure 1

22 pages, 1072 KB  
Article
Assessing Logistic and Railway Readiness in the NELBEC: A Composite Index for Belt and Road Integration
by Mariana Sepulveda, Ruben Dario Posada, Abraham Londoño-Pineda, Jose Alejandro Cano and Stephan Weyers
Urban Sci. 2025, 9(12), 530; https://doi.org/10.3390/urbansci9120530 - 10 Dec 2025
Viewed by 378
Abstract
The Belt and Road Initiative (BRI), launched in 2013, is one of the most ambitious global projects of the 21st century, aiming to enhance connectivity and trade between Asia and Europe. Within this framework, the New Eurasia Land Bridge Economic Corridor (NELBEC) stands [...] Read more.
The Belt and Road Initiative (BRI), launched in 2013, is one of the most ambitious global projects of the 21st century, aiming to enhance connectivity and trade between Asia and Europe. Within this framework, the New Eurasia Land Bridge Economic Corridor (NELBEC) stands out as a key transcontinental route where railway logistics plays a central role. However, few studies have systematically assessed the readiness of participating countries to integrate effectively into this corridor. This study aims to develop and apply a composite index to evaluate and compare the logistics and railway readiness of Russia, Belarus, Kazakhstan, and Poland within the NELBEC. The methodology integrates the World Bank’s Logistics Performance Index (LPI) with railway-specific indicators derived from academic literature and institutional datasets. All indicators were normalized, weighted through expert consultation, and aggregated into two dimensions: logistics readiness and railway readiness. The results show that Russia exhibits the highest overall readiness, driven by strong railway capacity but weaker logistics performance, followed by Poland, with advanced infrastructure and efficient customs procedures. Kazakhstan and Belarus present lower readiness levels due to limited terminal capacity and outdated infrastructure. The findings offer policymakers and regional planners a tool to help them make decisions, identify infrastructure bottlenecks, prioritize investments, and design policies that will lead to a more sustainable integration into the BRI. Full article
Show Figures

Figure 1

27 pages, 8122 KB  
Article
Research on MICP Restoration Technology for Earthen City Walls Damaged by Primary Vegetation Capping in China
by Ruihua Shang, Chenyang Li, Xiaoju Yang, Pengju Han and Weiwei Liu
Microorganisms 2025, 13(12), 2802; https://doi.org/10.3390/microorganisms13122802 - 9 Dec 2025
Viewed by 379
Abstract
As a typical representative of soft capping, primary vegetation capping has both protective and destructive effects on earthen city walls. Addressing its detrimental aspects constitutes the central challenge of this project. Because the integration of MICP technology with plants offered advantages, including soil [...] Read more.
As a typical representative of soft capping, primary vegetation capping has both protective and destructive effects on earthen city walls. Addressing its detrimental aspects constitutes the central challenge of this project. Because the integration of MICP technology with plants offered advantages, including soil solidification, erosion resistance, and resilience to dry–wet cycles and freeze–thaw cycles, the application of MICP technology to root–soil composites was proposed as a potential solution. Employing a combined approach of RF-RFE-CV modeling and microscopic imaging on laboratory samples from the Western City Wall of the Jinyang Ancient City in Taiyuan, Shanxi Province, China, key factors and characteristics in the mineralization process of Sporosarcina pasteurii were quantified and observed systematically to define the optimal pathway for enhancing urease activity and calcite yield. The conclusions were as follows. The urease activity of Sporosarcina pasteurii was primarily regulated by three key parameters with bacterial concentration, pH value, and the intensity of urease activity, which required stage-specific dynamic control throughout the growth cycle. Bacterial concentration consistently emerged as a high-importance feature across multiple time points, with peak effectiveness observed at 24 h (1.127). pH value remained a highly influential parameter across several time points, exhibiting maximum impact at around 8 h (1.566). With the intensity of urease activity, pH exerted a pronounced influence during the early cultivation stage, whereas inoculation volume gained increasing importance after 12 h. To achieve maximum urease activity, the use of CASO AGAR Medium 220 and the following optimized culture conditions was recommended: an activation culture time of 27 h, an inoculation age of 16 h, an inoculation volume of 1%, a culture temperature of 32 °C, an initial pH of 8, and an oscillation speed of 170 r/min. Furthermore, to maximize the yield of CaCO3 in output and the yield of calcite in CaCO3, the following conditions and procedures were recommended: a ratio of urea concentration to Ca2+ concentration of 1 M:1.3 M, using the premix method of Sporosarcina pasteurii, quiescent reaction, undisturbed filtration, and drying at room-temperature in the shade environment. Full article
(This article belongs to the Section Environmental Microbiology)
Show Figures

Figure 1

2 pages, 139 KB  
Correction
Correction: Zhang, W.; Biryukova, O. ESG Performance of Chinese Listed Enterprises Participating in the Belt and Road Initiative. Sustainability 2025, 17, 2776
by Wenrui Zhang and Olga Biryukova
Sustainability 2025, 17(23), 10854; https://doi.org/10.3390/su172310854 - 4 Dec 2025
Viewed by 248
Abstract
The authors would like to make the following correction to the published paper [...] Full article
Back to TopTop