Abstract
Background/Objectives: In connection with previous work on V-shaped polycyclic thiazolo[5,4-f]quinazolin-9-one and [5,4-f]quinazoline derivatives that can modulate the activity of various kinases, the synthesis of straight thiazole-fused [4,5-g] or [5,4-g]quinazolin-8-ones and quinazoline derivatives hitherto undescribed was envisioned. Methods: An innovative protocol allowed to obtain the target structures. The synthesis of inverted thiazolo[4,5-h] and [5,4-h]quinazolin-8-one derivatives was also explored with the aim of comparing biological results. The compounds obtained were tested against a representative panel of eight mammalian protein kinases of human origin: CDK9/CyclinT, Haspin, Pim-1, GSK-3β, CK-1ε, JAK3, CLK1 and DYRK1A. Results and Conclusions: The results obtained show that the novel linear thiazoloquinazolines are not kinase inhibitors. The cytotoxicity of these newly synthesized compounds was assessed against seven representative tumor cell lines (human cancers: Huh7-D12, Caco-2, HCT-116, MCF-7, MDA-MB-231, MDA-MB-468 and PC-3). The majority of these novel molecules proved capable of inhibiting the growth of the tested cells. The 7-Benzyl-8-oxo-7,8-dihydrothiazolo[5,4-g]quinazolinones 5b and 6b are the most potent, with IC50 values in the micromolar range. None of these compounds showed toxicity against normal cells. A larger program of investigations will be launched to investigate the real potential interest of such compounds in anticancer applications.
1. Introduction
For over 20 years, our group has worked on chemical methods allowing access to N,S-containing heteroarenes with the aim of creating molecules of therapeutic interest. In this context, we have developed thiazolo[5,4-f]quinazolin-9(8H)-ones (A series) [1,2,3,4] and thiazolo[5,4-f]quinazoline (B series) derivatives [5,6,7,8], a group of conjugated heterocyclic compounds that are effective inhibitors of kinases involved in neurodegenerative diseases (e.g., Alzheimer’s disease and Down’s syndrome) or in controlling the cell cycle (Figure 1). These studies suggested that the angular shape of these compounds allows the functional groups and parts of the molecule involved to be at a favorable distance from the amino acid residues of interest within the catalytic pocket [8,9].
Figure 1.
Thiazolo[5,4-f]quinazoline (A series) and thiazolo[5,4-f]quinazolin-9(8H)-one (B series) derivatives previously developed in our group.
These studies were also linked to chemical investigations on the use of 4,5-dichloro-1,2,3-dithiazolium chloride (commonly called Appel salt, AS), a versatile reagent capable of extending heterocyclic systems with a C2-functionalized thiazole unit [10,11]. Syntheses of these molecules are usually achieved in seven or eight steps and include some drawbacks such as a bromination step that is not completely regioselective, requiring tedious purification operations and often leading to low reaction yields [1,2,3,4,5,6].
Recently, we described the regioselective cyclization of N-aryl cyanothioformanilide intermediates for the synthesis of novel polyfunctionalized benzothiazoles [12]. This innovative protocol may make it possible to obtain regioisomeric analogues of thiazolo[5,4-f]quinazolines and quinazolinones. In fact, the synthesis of straight thiazole-fused [4,5-g] or [5,4-g]quinazolin-8-one and quinazoline derivatives has hitherto not been reported. This motivated us to study the chemical access and biological properties of these novel heterocyclic systems and also to explore the synthesis of inverted thiazolo[4,5-h] or [5,4-h]quinazolin-8-one derivatives for SAR studies (Figure 2).
Figure 2.
Straight thiazole-fused [4,5-g] or [5,4-g]quinazolin-8-ones and quinazolines and inverted thiazolo[4,5-h] or [5,4-h]quinazolin-8-one derivatives.
Among the numerous compounds studied, the angular thiazolo[5,4-f]quinazolin-9-one I exhibits submicromolar IC50 values for DYRK1A kinase [12] (Figure 3). Thiazolo[5,4-f]quinazoline II (also known as EHT 1610) is particularly effective and shows excellent affinity for the DYRK family, with IC50 values in the nanomolar range [6,7,8]. It has therefore been used as a specific inhibitor of DYRK1A in various studies designed to demonstrate the impact of this kinase in various biological phenomena [13,14,15] (Figure 3).
Figure 3.
Structures of methyl 8-benzyl-9-oxo-8,9-dihydrothiazolo[5,4-f]quinazoline-2-carbimidate (I) and methyl 9-[(2-fluoro-4-methoxyphenyl)amino]thiazolo[5,4-f]quinazoline-2-carbimidate (II) used as references in this study.
These two compounds were the starting point for these new SAR investigations, which aimed to assess whether modifying the molecular form and position of certain atoms (e.g., N and S of the thiazole ring) of this type of compound may have a significant effect on their biological activity and therapeutic potential.
2. Results and Discussion
2.1. Chemistry
2.1.1. Synthesis of Thiazole-Fused Quinazolinones (A Series)
Across all retrosynthetic approaches, 6-, 7- or 8-amino-3-benzylquinazolin-4(3H)-ones, which can react with Appel salt, were designed as ideal starting materials. The resulting N-arylmino-1,2,3-dithiazoles can be converted into the corresponding N-aryl cyanothioformamides under basic conditions. Lastly, the target thiazole-fused quinazolinones may be obtained via intramolecular C-S bond formation as previously described for the synthesis of various 2-cyanobenzothiazoles (Scheme 1) [11].
Scheme 1.
Retrosynthetic strategy for the synthesis of the novel thiazole-fused quinazolinones.
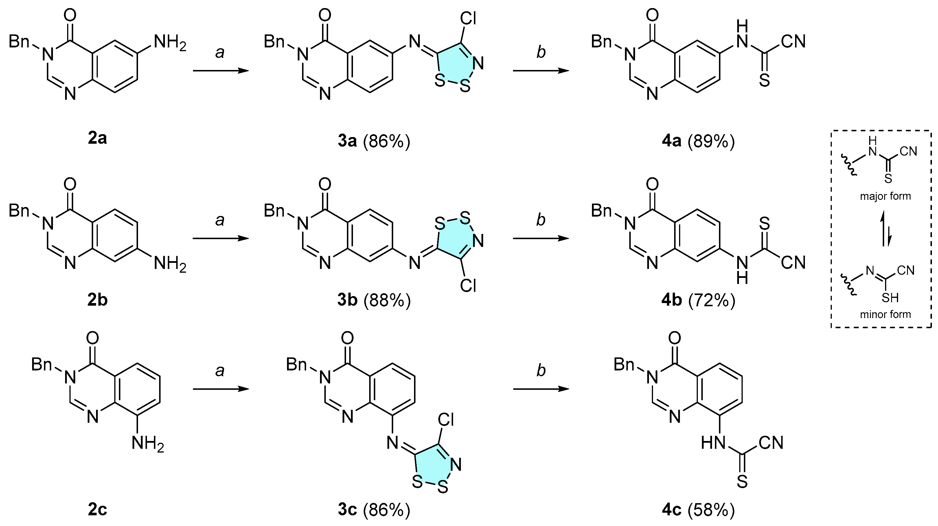
The first part of this study then focused on the synthesis of both 7- and 8-amino-3-benzylquinazolin-4(3H)-ones 2b and 2c, according to the procedure already developed for 2a [16] (Scheme 2).
Scheme 2.
Synthesis of aminoquinazolinones 2a, 2b and 2c (isolated yields). Conditions: (a) 1. DMF-DMA (2.5 equiv) in EtOAc (1 M), 70 °C (Mw), 30 min; 2. Benzylamine (1.5 equiv) in AcOH (1 M), 118 °C (Mw), 30 min. (b) Pd/C (10% w/w), HCO2NH4 (5.0 equiv) in EtOH (0.2 M), reflux, 1 h.
In a sequential multi-component reaction (MCR) process, a solution of 3- or 4-nitroanthranilic acid (1.0 equiv) and DMF-DMA (5.0 equiv) in ethylacetate (EtOAc) (1 M) was heated for 30 min at reflux (77 °C), under microwave irradiation (Mw). After removing the solvent under reduced pressure, AcOH (0.1 M) and benzyl amine (1.5 equiv) were added and the resulting mixture was irradiated at reflux (118 °C) for 30 min. After workup, the nitro-3-benzylquinazolin-4(3H)-ones (1b and 1c) were isolated in 58–68% yields. Reduction of the nitro group using ammonium formate (NH4CO2H, 5.0 equiv) in the presence of a catalytic amount of palladium on carbon (Pd/C) gave the amino-3-benzylquinazolin-4(3H)-ones 2a, 2b and 2c with an overall yield of 60%, 50% and 57%, respectively, for the three steps (Scheme 2).
Due to their unique structures, synthetic challenges and potentially interesting biological properties, the synthesis of new isomers of fused heterocyclic compounds was studied using amino quinazolinones 2a–c. Appel salt (1.1 equiv) and pyridine (2.0 equiv) were added to a solution of aromatic amine (2a, 2b or 2c) in dichloromethane (0.3 M), and the resulting mixture was stirred at room temperature (rt) for 1 h. After workup, the corresponding imino-1,2,3-dithiazoles 3a, 3b and 3c were isolated in very good yields (86%, 88% and 86%, respectively). Next, these compounds were treated with 1,8-diazabicyclo[5.4.0]undec-7-ene (DBU) (3 equiv) [11,17] to provide the expected cyanothioformamides 4a, 4b and 4c in excellent to good yields (89%, 72% and 58%, respectively) (Scheme 3).
Scheme 3.
Conditions (isolated yields): (a) Appel salt (1.1 equiv), pyridine (2.0 equiv) in CH2Cl2 (0.3 M), rt, 1 h; (b) DBU (3.0 equiv) in dry CH2Cl2 (0.2 M), rt, 15 min. The 1H NMR spectra of compounds 4-c show two tautomeric forms in which the thione is the most abundant (ratio major/minor = 90:10; for more details, see the Supplementary Material).
As part of our recent investigations on the synthesis of polyfunctionalized benzothiazoles [12], the starting cyanothioformamides (e.g., 4 series) were mixed with PdCl2 (20 mol%) and CuI (50 mol%) in DMSO/DMF (1:1, v/v) and heated in the presence of air (open vessel) at 120 °C for 4 h. In our previous work, it was demonstrated that the addition of an inorganic additive, such as KI or LiBr, was necessary to achieve regiospecific fusion of the thiazole ring with the aromatic moiety. While the presence of KI was particularly effective in the synthesis of mono-, di- or tri-alkylated or halogenated benzothiazoles [11], LiBr proved to be more efficient for the synthesis of anthranilic and anthranilonitrile derivatives (Scheme 4) [12].
Scheme 4.
Synthesis of the regioisomeric thiazole-fused quinazolinones 6a and 6b (isolated yields). Conditions: (a) PdCl2 (20 mol%), CuI (50 mol%), KI or LiBr (2.0 equiv) in DMSO/DMF 1:1 (0.025 M), air, 120 °C, 4 h. (b) NaOMe (1.0 equiv) in MeOH (0.07 M), 50 °C (Mw), 1 h.
Therefore, for the synthesis of thiazoloquinazolin-8-ones 5a and 5b, the same amount of KI or LiBr (2.0 equiv) was added to the reaction mixtures and their respective efficiency was evaluated. The results depicted in Scheme 4 confirm the effectiveness of LiBr when the starting cyanothioformamides have both nitrogen and carbonyl functional groups, even when integrated into a pyrimidinone-type structure. LiBr was particularly effective in the synthesis of 5b with a 70% yield compared with 58% in the presence of KI. At the late stage of the synthetic process, the nitrile function of the two thiazole-fused quinazolinones 5a and 5b was transformed into methylcarbimidate after heating (50 °C) in a solution of sodium methoxide (1.0 equiv) in MeOH (0.07 M) [6]. The methyl 7-benzyl-thiazolo[4,5-g]quinazoline-2-carbimidate (6a) and its thiazolo[5,4-g]quinazoline analogue (6b) were isolated in good yields (72% and 73%, respectively) (Scheme 4).
The procedure described for 5a and 5b was also applied to the synthesis of compound 5c in the hope of yielding the angular isomer 6c. Whatever the conditions considered, no trace of the desired 7-benzyl-6-oxo-6,7-dihydrothiazolo[5,4-h]quinazoline-2-carbonitrile (5c) was detected (Scheme 5), while performing the reaction under standard strategies gave 5c in 40% overall yield. Compound 2c was brominated to give 7a, which was subsequently condensed with Appel salt to give the brominated imino-1,2,3-dithiazole 7b in an overall yield of 79%. Cu-mediated cyclization in hot pyridine (115 °C) yielded 5c in 51% yield. Thiazolo[5,4-h]quinazoline-2-carbonitrile 5c was then heated at 50 °C in a solution of sodium methoxide (1.0 equiv) in MeOH (0.07 M), leading to the angular methylcarbimidate derivative 6c in a moderate yield (56%).
Scheme 5.
Conditions (isolated yields): (a) NBS (1.0 equiv), DMF (0.1 M), rt, 2 h. (b) Appel salt (1.1 equiv), pyridine (2.0 equiv) in CH2Cl2 (0.3 M), rt, 2 h. (c) CuI (2.0 equiv) in pyridine (0.25 M), 115 °C (Mw), 30 min. (d) NaOMe (1.0 equiv), MeOH (0.07 M), 50 °C (Mw), 1 h.
The same four-step sequence was successfully applied to the synthesis of compounds 5d and 6d, which were obtained in good yields. Here again, the preliminary introduction of a bromine in the ortho-position of the aromatic amine (8a and 8b) allowed a regiocontrolled formation of the thiazole moiety (Scheme 6).
Scheme 6.
Conditions (isolated yields): (a) NBS (1.0 equiv), DMF (0.1 M), rt, 2 h. (b) Appel salt (1.1 equiv), pyridine (2.0 equiv) in CH2Cl2 (0.3 M), rt, 2 h. (c) CuI (2.0 equiv) in pyridine (0.25 M), 115 °C (Mw), 30 min. (d) NaOMe (1.0 equiv), MeOH (0.07 M), 50 °C (Mw), 1 h.
2.1.2. Synthesis of Regioisomeric Analogues of II (EHT 1610)
The second part of this work focused on the synthesis of regioisomers of EHT 1610 (II in Figure 3), a thiazolo[4,5-g]quinazoline derivative with a high affinity for kinases of the DYRK family [6,7,8]. The synthetic route envisioned was based on the process described above and suggested the synthesis of the quinazoline ring prior to its fusion with the thiazole unit. The synthesis of both angular analogues required a reliable procedure to prepare aminoquinazolines 11a and 11b from 4- or 5-nitroanthranilonitriles (Scheme 7). In contrast with anthranilic acid esters (Scheme 2), the first step was not a sequential one-pot procedure, and the intermediate amidines 9a and 9b were isolated in excellent yields (97% and 87%, respectively). Condensation of 2-fluoro-4-methoxyaniline and reduction of the 6- and 7-nitroquinazolines (10a and 10b) provided the 6- and 7-aminoquinazolines, 11a and 11b, in excellent average yields (95% and 85%, respectively).
Scheme 7.
Synthesis of 6- and 7-aminoquinazolines 11a and 11b (isolated yields). Conditions: (a) DMFDMA (0.4 M), EtOAc (1 M), 70 °C (Mw), 30 min. (b) 2-fluoro-4-methyoxyaniline (1.5 equiv), AcOH (1 M), 118 °C (Mw), 30 min. (c) Pd/C (10% w/w), HCO2NH4 (5.0 equiv), EtOH (0.2 M), reflux, 1 h.
The aminoquinazolines 11a and 11b were reacted with Appel salt in the presence of a base. It should be noted that the use of pyridine usually employed in this step gave worse results than in the preceding experiments with quinazolinones (Scheme 8), with yields of 43% and 27% for the synthesis of 12a and 12b, respectively. After a brief optimization of the experimental conditions with various bases (e.g., 2,6-lutidine, DABCO, NEt3, DBU and DIPEA), it was found that DIPEA allowed for the synthesis of the expected imino-1,2,3-dithiazoles 12a and 12b in higher yields (68% and 58%, respectively). Varying the temperature and/or reaction time did not improve the result of this reaction. Cyanothioformamides 13a and 13b were then obtained in excellent yields of 90% and 91%, respectively, under the operating conditions described above.
Scheme 8.
Synthesis of cyanothioformamides 13a and 13b (isolated yields). Conditions: (a) In CH2Cl2 (0.3 M): 1. Appel salt (1.1 equiv), rt, 1 h; 2. DIPEA (2.0 equiv), rt, 1 h. (b) DBU (3.0 equiv) in dry CH2Cl2 (0.2 M), rt, 15 min. Tautomeric ratio major/minor = 90:10 in favor of the thione form (estimated by 1H NMR).
Regioselective cyclization of 13a and 13b was achieved via C–H functionalization/intramolecular and C–S bond formation, catalyzed by PdCl2 (20 mol%) and assisted by CuI (50 mol%) in a mixture of DMSO/DMF (1:1; 0.025 M). Thiazole-fused [4,5-g] or [5,4-g]quinazolines 14a and 14b were isolated in 39% and 10% yields, respectively. Whatever the additive used (KI or LiBr), the yield of 14b was significantly lower than those observed for the quinazolinone derivatives (5a, 5b and 14a). On the basis of the mechanism suggested in our previous work [11], the poor reactivity can be arguably attributed to a steric hindrance of the aromatic motif (2-fluro-4-methoxyphenyl) hampering the insertion of Pd in the ortho-position of the cyanothioformamide group. Since only small amounts of compounds are required for biological investigations, optimization of this step was no longer considered for products 14a and 14b. The late stage transformation of the carbonitrile into a methylimidate group was carried out by heating cyanothioformamides (14a and 14b) with sodium methoxide in methanol at 50 °C for 1 h. Both isomers of linear methyl thiazoloquinazoline-2-carbimidates 15a and 15b were obtained in good yields (70% and 55%, respectively) (Scheme 9).
Scheme 9.
Synthesis of the thiazole-fused quinazolines, 15a and 15b, regioisomeric analogues of EHT 1610 (isolated yields). Conditions: (a) PdCl2 (20 mol%), CuI (50 mol%), KI or LiBr (2.0 equiv), DMSO/DMF 1:1 (0.025 M), air, 120 °C, 4 h. (b) NaOMe (1.0 equiv), MeOH (0.07 M), 50 °C (Mw), 1 h.
2.2. Biological Investigations
2.2.1. Kinase Activity Profiling
The synthesized methylimidate derivatives 6a–d, 15a–b and the reference compounds I and II were tested at two concentrations (10 μM and 1 μM) in the same experimental conditions, against a representative panel of eight mammalian protein kinases of human origin: cyclin-dependent kinase 9 (CDK9/CyclinT), mitotic kinase (Haspin), proviral integration site for Moloney murine leukemia virus kinase (Pim-1), glycogen synthase kinase-3 beta (GSK-3β), casein kinase 1-epsilon (CK-1ε), janus kinase 3 (JAK3), CDC-like kinase 1 (CLK1) and dual specificity tyrosine phosphorylation regulated kinase 1A (DYRK1A) [18].
The results depicted in Table 1 show that compounds 6b and 6d had no inhibitory activity against any of the kinases tested, unlike compounds 6a and 6c, which had moderate inhibitory activity against JAK3 (41 to 64% depending on the compound and the concentration tested). Compound 6c also significantly inhibited Haspin kinase activity (61% to 88%, depending on concentration). Compounds 15a and 15b moderately inhibited JAK3 kinase activity at all concentrations (around 38% inhibition). In addition to their effect on DYRK1A activity, compounds I and II (EHT 1610) also inhibited the activities of the other kinases tested. Compound II exhibited much greater inhibitory activity than compound I, particularly on Haspin (69% to 92% inhibition), Pim-1 (48 to 68% inhibition), GSK-3β (71% to 87 inhibition), CK-1ε (56% to 81% inhibition) and CLK1 (75 to 80% inhibition) kinases.
Table 1.
Residual activity on a panel of 8 protein kinases 1,2,3.
2.2.2. Cytotoxic Activity Studies
As the potential cytotoxicity of model compounds (I and II in Figure 3) has never been investigated to date, we tested most of the array of new fused heterocyclic compounds synthesized in this study. This included the cyanated precursors 5a–d as well as I-CN, the cyanated precursor of I. Thus, the potential in vitro cytotoxic profile of thiazoloquinazolinones (I, I-CN, 5a–d and 6a–d) and thiazoloquinazolines (II, 15a and 15b) was investigated on seven tumor cell lines, representative of various human cancers, including liver (Huh7-D12), colon (Caco-2 and HCT-116), breast (MCF-7, MDA-MB-231, MDA-MB-468), prostate (PC-3) and non-cancerous cells (human skin fibroblasts). In all these assays, wide-spectrum anticancer agents such as (R)-Roscovitine (Rosco), Doxorubicin (Doxo) and Taxol were used as positive controls (for details, see Supplementary Materials Section).
Firstly, the potential antiproliferative activity was preliminarily assessed in vitro at a single dose of 25 μM for 48 h. Compounds that showed significant inhibitory activity against at least one cell line with a survival percentage < 50%, when compared to DMSO control treatment (set at 100%), were then studied in more detail. Complete dose–response and survival curves were obtained at various concentrations (ranging from 0.1 μM to 25 μM). These data enabled the relative IC50 values, representing the concentration of compound that kills 50% of cells after 48 h of incubation [19], to be estimated. The results for all the compounds tested are reported in Table 2.
Table 2.
Results of in vitro cytotoxic activity on a panel of seven cancer cell lines and fibroblasts (IC50 μM) 1,2.
The results showed that all the thiazole-fused quinazolinones tested (I, 5 and 6 series) exhibited a broad spectrum of cytotoxicity against the selected cancer cell lines. The activities measured for compounds (I-CN, 5a, 5c, 5d and I, 6a, 6c, 6d) were lower than for their analogues 5b and 6b, respectively. More precisely, 5c (IC50: 4 µM to 24 µM), 6c (IC50: 3 µM to 13 µM), 5d (IC50: 7 µM to 18 µM) and 6d (IC50: 2 µM to 11 µM) had similar activities, while 5a (IC50: 7 µM to 62 µM) and 6a (IC50: 17 µM to 27 µM) were the less active of this series. Note that this is the sole case showing a marked difference in favor of the imidate compared with its cyanated congener. With IC50 values ranging from 12 µM (Caco-2 cells) to 21 µM (MDA-MB-231 and MDA-MB-461cells), I was slightly less active than its precursor I-CN (IC50: 7 µM to 13 µM). However, their activity remained similar to that of the above-mentioned products. Among the molecules tested, 5b and 6b were definitely the most active compounds, with IC50 values ranging from 1 µM to 3 μM, depending on the cell lines (bold values in Table 2) Interestingly, there was no real difference between cyanated compound 5b and its methyl imidate derivative 6b.
In the thiazoloquinazoline series, compound 15b did not show detectable cytotoxicity within the studied concentration range in either of the cell lines studied. On the contrary, compound II (EHT 1610) exhibited cytotoxicity in all cell lines, while the linear derivative 15a was noticeably active in only three of the lines tested. The highest antiproliferative activity toward the cancer cell lines was observed for compound II (IC50: 3 μM for Caco-2 cells, 4 µM for PC-3 and HCT-116 cells, 5 µM for Huh7-D12, MCF-7 and MDA-MB-231 and 9 µM for MDA-MB-468 cells). In all cases in which compound 15a showed some activity, its effectiveness was lower than for II (IC50: 8 µM for Huh7-D12 and HCT-116 cells to 9 µM for MDA-MB-231 cells or 32 µM for MCF-7 cells). None of the products evaluated in this study showed significant activity against normal cells (fibroblasts). It may be noted the HCT-116 cancer cell line (colon) seemed to be more sensitive than other cells.
3. Materials and Methods
3.1. Chemistry Work
3.1.1. General Information
All reagents were purchased from commercial suppliers and used without further purification. All reactions were monitored by thin-layer chromatography with aluminum plates (0.25 mm) precoated with silica gel 60 F254 (Merck KGaA, Darmstadt, Germany). Visualization was performed with UV light at a wavelength of 254 nm. Purifications were conducted with a flash column chromatography system (PuriFlash, Interchim, Montluçon, France) using stepwise gradients of petroleum ether (also called light petroleum) (PE) and dichloromethane (DCM) as the eluent. Melting points were measured with an SMP3 Melting Point instrument (STUART, Bibby Scientific Ltd., Roissy, France) with a precision of 1.5 °C. IR spectra were recorded with a Spectrum 100 Series FTIR spectrometer (PerkinElmer, Villebon S/Yvette, France). Liquids and solids were investigated with a single-reflection attenuated total reflectance (ATR) accessory; the absorption bands are given in cm−1. NMR spectra (1H, 13C and 19F) were acquired at 295 K using an AVANCE 300 MHz spectrometer (Bruker, Wissembourg, France) at 300, 75 and 282 MHz. Coupling constant J was in Hz and chemical shifts are given in ppm. Mass (ESI, EI and field desorption (FD)) were recorded with an LCP 1er XR spectrometer (WATERS, Guyancourt, France). Mass spectrometry was performed by the Mass Spectrometry Laboratory of the University of Rouen.
The purity of all tested compounds was determined by chromatographic analysis performed at 25 °C on Ultimate 3000 (Thermo Scientific, Les Ulis, France) with a quaternary pump equipped with a photodiode array detector (DAD) managed at 254 nm. Column was a Luna C18 (150 mm × 4.6 mm; 3 μm particle size) provided by Phenomenex (Le Pecq, France). The mobile phase was water (A) and acetonitrile (B) (v/v); starting condition was 90% A and 10% B in which the solvant B changed from 10% to 90% in 4% by minute. Flow rate was 0.5 mL/min and 5 μL was injected. The purity of all products was >96%.
Microwave (Mw)-assisted reactions were carried out in sealed tubes with a Biotage Initiator microwave synthesis instrument, and temperatures were measured by an IR sensor (Biotage, Uppsala, Sweden). The time indicated in the various protocols is the time measured when the mixtures were at the programmed temperature. The pressure measured in the sealed tubes at the end of the reactions performed never exceeded 10 bar. Some reactions were carried out in 10 mL sealed tubes with Monowave 50 (Anton Paar GmbH, Les Ulis, France). The temperature was monitored by an external contact sensor placed at the cavity bottom, measuring the surface temperature of the reaction vessel. The time indicated in the various protocols is the time measured when the mixtures were at the programmed temperature.
Aminoquinazolinones (2a–c) and 8a were obtained using a two-step procedure as described in the main text (Scheme 2 and Scheme 6, respectively). Compounds 7b and 8b were synthesized from 7a and 8a, which were obtained from 2c and 2b, as depicted in Scheme 5 and Scheme 6. Nitro--2-fluoro-4-methoxyphenyl)-quinazolines 10a and 10b were synthesized in two steps from the corresponding nitro-anthranilic esters, as shown in Scheme 7. More details are available in Supplementary Materials. Detailed procedures and physicochemical characterization of new products of the series 3–6 and 10–15 are described below.
3.1.2. Synthesis of [(4-Chloro-5H-1,2,3-dithiazol-5-ylidene]amino)quinazolin-4(3H)-ones 3a–c
To a stirred solution of aminoquinazolinone (2a–c) (1.0 equiv, 4.0 mmol) in CH2Cl2 (13.3 mL, 0.3 M), Appel Salt (1.1 equiv, 0.917 g, 4.4 mmol) and pyridine (2.0 equiv, 0.644 mL, 8.0 mmol) were successively added. The resulting mixture was stirred at room temperature for 1 h, after which water (10 mL) was added. The resulting solution was then extracted with CH2Cl2. The organic phase was washed with brine, dried over MgSO4 and concentrated under reduced pressure. The crude product was purified on silica gel with petroleum ether (PE)/CH2Cl2 (100:0 to 0:100, v/v) as the eluent to afford the desired products.
3-Benzyl-6-[(4-chloro-5H-1,2,3-dithiazol-5-ylidene)amino]quinazolin-4(3H)-one (3a) [16]. Yellow solid (0.264 g, 86%); m.p. 165–166 °C. 1H NMR (300 MHz, CDCl3) δ 8.20 (d, J = 2.4 Hz, 1H), 8.11 (s, 1H), 7.80 (d, J = 8.7 Hz, 1H), 7.62 (dd, J = 8.7, 2.4 Hz, 1H), 7.41–7.32 (m, 5H), 5.21 (s, 2H).
3-Benzyl-7-[(4-chloro-5H-1,2,3-dithiazol-5-ylidene)amino]quinazolin-4(3H)-one (3b). Yellow solid (1.80 g, 88%); m.p. 186–187 °C. IR (neat) νmax: 1670, 1596, 1465, 1430, 1363, 1168, 1153, 882, 861, 842, 744, 703, 691, 542 cm−1. 1H NMR (300 MHz, CDCl3) δ 8.41 (d, J = 8.5 Hz, 1H), 8.13 (s, 1H), 7.45 (d, J = 2.0 Hz, 1H), 7.38–7.30 (m, 5H), 7.29 (dd, J = 8.5, 2.0 Hz, 1H), 5.20 (s, 2H). 13C NMR (75 MHz, CDCl3) δ 161.1, 160.6, 156.8, 150.0, 147.9, 147.3, 135.7, 129.5, 129.2, 128.6, 128.2, 120.3, 120.1, 116.0, 49.8. HRMS (EI+) m/z, calcd for C17H11ClN4OS [M+H]+: 387.0141, found: 387.0135.
3-Benzyl-8-[(4-chloro-5H-1,2,3-dithiazol-5-ylidene)amino]quinazolin-4(3H)-one (3c). Brown-orange solid (0.980 g, 86%); m.p. 151–152 °C. IR (neat) νmax: 1650, 1603, 1565, 1440, 1322, 1144, 862, 770, 738, 700 cm−1. 1H NMR (300 MHz, DMSO-d6) δ 8.58 (s, 1H), 8.01 (dd, J = 7.8, 1.5 Hz, 1H), 7.60 (t, J = 7.8 Hz, 1H), 7.49 (dd, J = 7.8, 1.5 Hz, 1H), 7.43–7.24 (m, 5H), 5.20 (s, 2H). 13C NMR (75 MHz, DMSO-d6) δ 162.01, 159.92, 147.94, 147.58, 145.92, 137.96, 136.63, 128.66 (2C), 128.00, 127.74, 127.71 (2C), 123.70, 123.15, 123.02, 49.05. HRMS (EI+) m/z, calcd for C17H12N4OS235Cl [M+H]+: 387.0141, found: 387.0156.
3.1.3. Synthesis N-Arylcyanothioformamides 4a–c
To a stirred solution of 3a–c (1.0 equiv, 2.0 mmol) in dry CH2Cl2 (10 mL, 0.2 M), DBU (3.0 equiv, 0.896 mL, 6.0 mmol) was added. The resulting mixture was stirred under argon at room temperature for 15 min, after which NaHSO4 1 M (10 mL) was added. The resulting solution was extracted with CH2Cl2. The organic phase was washed with brine, dried over MgSO4 and concentrated under reduced pressure. The crude product was purified on silica gel with PE/CH2Cl2 (50:50 to 0:100, v/v) as the eluent to afford the desired products 4a–c.
(3-Benzyl-4-oxo-3,4-dihydroquinazolin-6-yl)carbamothioyl cyanide (4a). Pale orange solid (0.074 g, 89%, ratio major/minor 90:10); m.p. 212–213 °C. IR (neat) νmax: 3254, 2864, 2224 (CN), 1694, 1601, 1483, 1372, 1331, 1106, 947, 842, 732, 693, 608, 521 cm−1. 1H NMR (300 MHz, DMSO-d6), δ 13.75 (s, 1H, major and minor), 8.94 (d, J = 2.4 Hz, 0.9H, major), 8.64 (s, 0.1H, minor), 8.63 (s, 0.9H, major), 8.24 (d, J = 2.4 Hz, 0.1H, minor), 8.16 (dd, J = 8.8, 2.6 Hz, 0.1H, minor), 7.95 (dd, J = 8.7, 2.6 Hz, 0.9H, major), 7.81 (dd, J = 8.8, 5.0 Hz, 1H, major and minor), 7.40–7.25 (m, 5H, minor and major), 5.20 (s, 2H, major and minor). 13C NMR (75 MHz, DMSO-d6) δ 164.9 (minor), 161.5 (major), 159.6 (major and minor), 148.7 (major and minor), 147.1 (minor), 146.7 (major), 136.6 (major and minor), 136.5 (minor), 136.3 (major and minor), 129.2 (minor), 128.9 (major), 128.7 (major and minor), 128.4 (major), 127.8 (major and minor), 127.7 (major and minor), 122.2 (minor), 121.8 (major), 119.7 (minor), 119.0 (major), 114.6 (minor), 113.8 (major), 49.1 (major and minor). HRMS (EI+) m/z, calcd for C17H13N4OS [M+H]+: 321.0797, found: 321.0806.
(3-Benzyl-4-oxo-3,4-dihydroquinazolin-7-yl)carbamothioyl cyanide (4b). Pale orange solid (0.241 g, 72%, ratio major/minor 85:15); m.p. 207–208 °C. IR (neat) νmax: 2893, 1701, 1613, 1483, 1406, 1370, 1170, 1144, 848, 736, 699, 542 cm−1. 1H NMR (300 MHz, DMSO-d6) δ 13.81 (s, 1H, major and minor), 8.64 (s, 0.15H, minor), 8.62 (s, 0.85H, major), 8.46 (d, J = 1.9 Hz, 0.85H, major), 8.22 (d, J = 8.7 Hz, 1H, major and minor), 7.90 –7.84 (m, 1H, major and minor), 7.62 (dd, J = 8.6, 2.1 Hz, 0.15H, minor), 7.40 –7.26 (m, 5H, major and minor), 5.20 (s, 2H, major and minor). 13C NMR (75 MHz, DMSO-d6) δ 165.3 (minor), 162.5 (major), 159.5 (minor), 159.4 (major), 149.4 (minor), 149.2 (major), 148.8 (minor), 148.6 (major), 142.7 (minor), 142.5 (major), 136.7 (major and minor), 128.7 (2C, major and minor), 127.9 (minor), 127.7 (major), 127.7 (2C, major and minor), 127.5 (major and minor), 121.4 (major and minor), 120.5 (minor), 120.2 (major), 120.1 (minor), 119.4 (major), 113.7 (major), 112.7 (minor), 49.0 (major and minor). HRMS (EI+) m/z, calcd for C17H13N4OS [M+H]+: 321.0797, found: 321.0800.
(3-Benzyl-4-oxo-3,4-dihydroquinazolin-8-yl)carbamothioyl cyanide (4c). Orange solid (0.360 g, 58%, ratio major/minor 70:30); m.p. 153–154 °C. IR (neat) νmax: 3124, 1677, 1619, 1525, 1359, 1109, 763 cm−1. 1H NMR (300 MHz, DMSO-d6) δ 13.55 (s, 1H, major and minor), 8.77 (s, 0.3H, minor), 8.72 (s, 0.7H, major), 8.27–8.21 (m, 1H, major and minor), 8.18 (dd, J = 8.0, 1.4 Hz, 0.7H, major), 8.00 (dd, J = 7.7, 1.4 Hz, 0.3H, minor), 7.65 (q, J = 8.0 Hz, 1H, major and minor), 7.41–7.27 (m, 5H, major and minor), 5.23 (s, 2H, major and minor). 13C NMR (75 MHz, DMSO-d6) δ 167.86 (minor), 164.23 (major), 159.50 (major), 159.39 (minor), 149.01 (minor), 148.71 (major), 142.94 (minor), 142.18 (major), 136.52 (major), 136.44 (minor), 134.04 (minor), 132.41 (major), 131.00 (major), 130.81 (minor), 128.67 (major, 2C), 127.78 (minor, 2C), 127.72 (major, 2C), 127.28 (minor), 126.90 (minor, 2C), 126.16 (major), 122.79 (minor), 122.65 (major), 113.76 (major), 49.27 (minor), 49.17 (major). HRMS (EI+) m/z, calcd for C17H13N4OS [M+H]+: 312.0810, found: 312.0807.
3.1.4. Synthesis of Thiazoloquinazolinones 5a and 5b
PdCl2 (10 mol %, 17.7 mg, 0.1 mmol), CuI (0.5 equiv, 47.6 mg, 0.25 mmol), KI (2.0 equiv, 166 mg, 1.0 mmol) and carbamothioyl cyanide 4a or 4b (1.0 equiv, 0.5 mmol) were suspended in a mixture of anhydrous DMF/DMSO 1:1 (20 mL, 0.025 M). The resulting mixture was stirred at 120 °C for 4 h. The resulting solution was then diluted with AcOEt and washed 3 times with water, washed with brine, dried over MgSO4 and concentrated under reduced pressure. The crude product was purified on silica gel (PE/CH2Cl2 50:50 to 0:100, v/v) to afford the desired cyanated products 5a or 5b.
7-Benzyl-8-oxo-7,8-dihydrothiazolo[4,5-g]quinazoline-2-carbonitrile (5a). White solid (0.076 g, 77%); m.p. 237–238 °C. IR (neat) νmax: 3100, 2238 (CN), 1671, 1607, 1402, 1326, 1267, 1118, 881, 842, 756, 715, 702, 524, 420 cm−1. 1H NMR (300 MHz, CDCl3) δ 9.19 (s, 1H), 8.31 (s, 1H), 8.18 (s, 1H), 7.42–7.33 (m, 5H), 5.25 (s, 2H). 13C NMR (75 MHz, CDCl3) δ 160.9, 150.9, 147.5, 146.8, 141.1, 138.8, 135.4, 129.3 (2C), 128.8, 128.3 (2C), 124.7, 122.7, 120.7, 112.6, 50.0HRMS (EI+) m/z, calcd for C17H11N4OS [M+H]+: 319.0654, found: 319.0663.
7-Benzyl-8-oxo-7,8-dihydrothiazolo[5,4-g]quinazoline-2-carbonitrile (5b). White solid (0.165 g, 70%); m.p. 217–218 °C. IR (neat) νmax: 3100, 2238 (CN), 1671, 1607, 1402, 1326, 1133, 1118, 1075, 842, 702, 524, 420 cm−1. 1H NMR (300 MHz, CDCl3) δ 8.99 (s, 1H), 8.56 (s, 1H), 8.18 (s, 1H), 7.41 –7.33 (m, 5H), 5.24 (s, 2H). 13C NMR (75 MHz, CDCl3) δ160.5, 155.8, 146.9, 146.8, 141.6, 135.4, 133.9, 129.3 (2C), 128.7, 128.2 (2C), 123.8, 122.7, 121.7, 112.5, 50.0. HRMS (EI+) m/z, calcd for C17H11N4OS [M+H]+: 319.0654, found: 319.0663.
3.1.5. Synthesis of Thiazoloquinazolinones 5c and 5d
A suspension of brominated iminodithiazole 7b or 8b (1.0 equiv), copper(I) iodide (2.0 equiv) in pyridine (0.3 M) was heated at 115 °C (Mw) for 30 min. After cooling, the resulting solution was dissolved in EtOAc and washed with a sodium thiosulfate solution. The organic layer was dried over MgSO4, and the solvent was removed in vacuo. The crude product was purified by flash chromatography (DCM-EtOAc, 9:1) to afford the desired products 5c and 5d.
7-Benzyl-6-oxo-6,7-dihydrothiazolo[5,4-h]quinazoline-2-carbonitrile (5c). Beige powder (0.024 g, 51%); m.p. 273–274 °C. IR (neat) νmax: 3067, 2227, 1661, 1593, 1453, 1366, 1131, 798, 742, 699 cm−1. 1H NMR (300 MHz, DMSO-d6) δ 8.89 (s, 1H), 8.44–8.32 (m, 2H), 7.43–7.26 (m, 5H), 5.29 (s, 2H). 13C NMR (75 MHz, DMSO-d6) δ 159.63, 150.22, 147.52, 143.89, 141.85, 137.84, 136.49, 128.69, 127.81, 127.77, 125.67, 121.21, 120.50, 113.41, 49.43. HRMS (EI+) m/z, calcd for C17H11N4OS [M+H]+: 319.0654, found: 319.0658.
7-Benzyl-6-oxo-6,7-dihydrothiazolo[4,5-h]quinazoline-2-carbonitrile (5d) was obtained as previously described [16]. Beige solid (85%). 1H NMR (300 MHz, DMSO-d6) δ 8.49 (d, J = 8.8 Hz, 1H), 8.28 (s, 1H), 8.23 (d, J = 8.8 Hz, 1H), 7.39–7.38 (m, 5H), 5.27 (s, 2H).
3.1.6. Synthesis of Imidates 6a–d
The cyanated quinazolinone 5a–d (1.0 equiv, 50.0 mg, 0.14 mmol) was added to a solution of sodium methoxide (1.2 equiv, 9.2 mg, 0.17 mmol) in MeOH (2.0 mL, 0.07 M). The resulting mixture was heated at 50 °C (Mw) for 1 h. The resulting solution was then concentrated and Et2O was added. The precipitate was filtered and purified by column chromatography (DCM/MeOH 100 to 95:5) to afford the desired products 6a–d.
Methyl 7-benzyl-8-oxo-7,8-dihydrothiazolo[4,5-g]quinazoline-2-carbimidate (6a). White powder (0.079 g, 72%); m.p. 213–214 °C. IR (neat) νmax: 3288, 2941, 1686, 1645, 1595, 1520, 1349, 1206, 1137, 1070, 818, 754, 697 cm−1. 1H NMR (300 MHz, DMSO-d6) δ 9.59 (s, 1H), 8.81 (s, 1H), 8.65 (s, 1H), 8.60 (s, 1H), 7.46–7.21 (m, 6H), 5.24 (s, 2H), 3.96 (s, 3H). 13C NMR (75 MHz, DMSO-d6) δ 160.74, 160.32, 159.31, 150.75, 148.21, 145.25, 141.89, 136.74, 128.71 (2C), 127.79 (3C), 121.64, 121.28, 121.19, 54.27, 49.05. HRMS (EI+) m/z, calcd for C18H15N4O2S [M+H]+: 351.0916, found: 351.0917.
Methyl 7-benzyl-8-oxo-7,8-dihydrothiazolo[5,4-g]quinazoline-2-carbimidate (6b). White powder (0.065 g, 73%); m.p. 244–245 °C. IR (neat) νmax: 3221, 3093, 2942, 1673, 1650, 1607, 1431, 1323, 1276, 1129, 1067, 853, 741 cm−1. 1H NMR (300 MHz, DMSO-d6) δ 9.60 (s, 1H), 9.10 (d, J = 0.6 Hz, 1H), 8.63 (s, 1H), 8.39 (d, J = 0.6 Hz, 1H), 7.39–7.30 (m, 5H), 5.25 (s, 2H), 3.96 (s, 3H). 13C NMR (75 MHz, DMSO-d6) δ 159.39, 148.43, 147.96, 146.08, 136.81, 136.68, 134.57, 128.70, 127.73, 127.70, 127.65, 122.86, 122.51, 122.04, 121.10, 54.29, 48.93HRMS (EI+) m/z, calcd for C18H15N4O2S [M+H]+: 351.0916, found: 351.0916.
Methyl 7-benzyl-6-oxo-6,7-dihydrothiazolo[5,4-h]quinazoline-2-carbimidate (6c). White powder (0.062 g, 56%); m.p. 213–214 °C. IR (neat) νmax: 3296, 1669, 1642, 1601, 1501, 1436, 1337, 1125, 1076, 740, 695, 636 cm−1. 1H NMR (300 MHz, DMSO-d6) δ 9.44 (s, 1H), 8.84 (s, 1H), 8.32 (d, J = 8.7 Hz, 1H), 8.25 (d, J = 8.7 Hz, 1H), 7.42–7.26 (m, 5H), 5.29 (s, 2H), 3.98 (s, 3H). 13C NMR (75 MHz, DMSO-d6) δ 159.85, 159.72, 158.89, 149.51, 147.92, 143.55, 141.70, 136.64, 128.69 (2C), 127.76, 127.68 (2C), 123.98, 121.45, 120.02, 54.22, 49.30. HRMS (EI+) m/z, calcd for C18H15N4O2S [M]+: 351.0916, found: 351.0930.
Methyl 7-benzyl-6-oxo-6,7-dihydrothiazolo[4,5-h]quinazoline-2-carbimidate (6d). White powder (0.065 g, 59%); m.p. 205–206 °C. IR (neat) νmax: 3271, 2953, 1669, 1603, 1453, 1326, 1149, 1062, 896, 794, 520 cm−1. 1H NMR (300 MHz, DMSO-d6) δ 9.57 (s, 1H), 8.85 (s, 1H), 8.28–8.19 (m, 2H), 7.43–7.24 (m, 5H), 5.27 (s, 2H), 3.97 (s, 3H). 13C NMR (75 MHz, DMSO-d6) δ 161.71, 159.64, 159.25, 155.81, 150.33, 144.44, 136.50, 132.75, 128.68 (2C), 127.78, 127.73 (2C), 124.97, 122.43, 118.81, 54.26, 49.44. HRMS (EI+) m/z, calcd for C18H15N4O2S [M+H]+: 351.0916, found: 351.0919.
3.1.7. Synthesis of Compounds 10a and 10b
The 2-cyano-4- or 5-nitrophenyl)-N,N-dimethylformimidamide 9a or 9b (1.0 equiv) was dissolved in AcOH (1 M) and 2-fluoro-4-methoxyaniline (1.5 equiv) was added. The reaction mixture was heated at 118 °C (Mw) for 10 min. The resulting solution was diluted with CH2Cl2 and neutralized with a saturated solution of NaHCO3 and Na2CO3 (to pH = 8–9). The organic layer was washed twice with water (150 mL) and brine, dried over MgSO4 and concentrated under reduced pressure. The crude product was purified on silica gel by column chromatography (DCM 100: 0 to DCM/EtOAc 50:50, v/v) to afford the desired products 10a or 10b.
N-(2-Fluoro-4-methoxyphenyl)-6-nitroquinazolin-4-amine (10a).. Orange powder (99%, 1.60 g); m.p. 186–187 °C. IR (neat) νmax: 3413, 3401, 3099, 1620, 1586, 1527, 1512, 1362, 1342, 1285, 1114, 1024, 829, 746, 523, 448 cm−1. 1H NMR (300 MHz, CDCl3) δ 9.02 (d, J = 2.3 Hz, 1H), 8.83 (s, 1H), 8.56 (dd, J = 9.2, 2.4 Hz), 8.16 (s, 1H), 8.01 (d, J = 9.2 Hz, 1H), 7.92 (t, J = 9.2 Hz, 1H), 6.82–6.73 (m, 2H), 3.83 (s, 3H). 13C NMR (75 MHz, CDCl3) δ 159.4, 158.8 (d, J = 10.5 Hz), 158.2, 156.3 (d, J = 246.8 Hz), 153.3, 145.0, 130.5, 126.9 (d, J = 2.9 Hz), 126.8, 118.6, 117.8 (d, J = 11.9 Hz), 114.3, 110.1 (d, J = 3.1 H), 102.3 (d, J = 23.2 Hz), 55.9. HRMS (EI+) m/z, calcd for C15H12N4O3F [M+H]+: 315.0893, found: 315.0883.
N-(2-Fluoro-4-methoxyphenyl)-7-nitroquinazolin-4-amine (10b). Orange powder (97%, 1.31 g); m.p. 217–218 °C. IR (neat) νmax: 3442, 2974, 2901, 1607, 1546, 1525, 1504, 1357, 1280, 1203, 1156, 1104, 1060, 808, 740, 523 cm−1. 1H NMR (300 MHz, DMSO-d6) δ 10.13 (s, 1H), 8.71 (d, J = 9.1 Hz, 1H), 8.59 (s, 1H), 8.51 (d, J = 2.4 Hz, 1H), 8.36 (dd, J = 9.1, 2.4 Hz, 1H), 7.42 (t, J = 8.9 Hz, 1H), 6.99 (dd, J = 12.2, 2.4 Hz, 1H), 6.86 (ddd, J = 8.8, 2.8, 1.1 Hz, 1H), 3.82 (s, 3H). 13C NMR (75 MHz, DMSO-d6) δ 159.02, 159.00 (d, J = 10.0 Hz), 157.91 (d, J = 162.4 Hz), 156.04, 150.13, 149.56, 129.33, 125.67, 122.98, 119.62, 118.27, 117.96 (d, J = 12.9 Hz), 110.21 (d, J = 3.0 Hz), 102.22 (d, J = 23.8 Hz), 55.83. HRMS (EI+) m/z, calcd for C15H12N4O3F [M+H]+: 315.0893, found: 315.0899.
3.1.8. Compounds 11a and 11b
Synthetized from 10a and 10b, Following the General Procedure Described for the Cyanothioformamides 4a–c
N4-(2-Fluoro-4-methoxyphenyl)quinazoline-4,6-diamine (11a). White powder (99%, 1.15 g); m.p. 166–167 °C. IR (neat) νmax: 3352, 1625, 1576, 1513, 1422, 1216, 1152, 1026, 846, 833, 466, 391 cm−1. 1H NMR (300 MHz, CDCl3) δ 8.59 (s, 1H), 8.29 (t, J = 9.3 Hz, 1H), 7.75 (d, J = 8.9 Hz, 1H), 7.22 (dd, J = 8.9, 2.4 Hz, 1H), 7.12 (s, 1H), 6.93 (d, J = 2.4 Hz, 1H), 6.81–6.73 (m, 2H), 3.82 (s, 3H). 13C NMR (75 MHz, CDCl3) δ 156.8, 156.6 (d, J = 59.4 Hz), 154.9 (d, J = 243.9 Hz), 151.9, 145.3, 144.2, 130.4, 125.0 (d, J = 2.3 Hz), 123.9, 120.0 (d, J = 10.6 Hz), 116.4, 109.7 (d, J = 3.2 Hz), 102.1 (d, J = 23.3 Hz), 101.0, 55.9. HRMS (EI+) m/z, calcd for C15H14FN4O3, [M+H]+: 285.1152, found: 285.1145.
N4-(2-Fluoro-4-methoxyphenyl)quinazoline-4,7-diamine (11b). White powder (99%, 1.15 g); m.p. 280–281 °C. IR (neat) νmax: 3675, 2988, 2901, 1511, 1405, 1148, 1066, 1056, 850, 562 cm−1. 1H NMR (300 MHz, DMSO-d6) δ 9.16 (s, 1H), 8.15 (s, 1H), 8.06 (d, J = 8.9 Hz, 1H), 7.34 (t, J = 8.9 Hz, 1H), 6.92 (dd, J = 12.2, 2.9 Hz, 1H), 6.86 (dd, J = 8.9, 2.3 Hz, 1H), 6.80 (ddd, J = 8.8, 2.9, 1.1 Hz, 1H), 6.68 (d, J = 2.2 Hz, 1H), 5.99 (s, 2H), 3.79 (s, 3H). 13C NMR (75 MHz, DMSO-d6) δ 159.42, 158.31, 157.93, 154.84, 152.89, 151.82, 129.50, 124.02, 119.36, 116.46, 109.81, 105.61, 102.16, 101.84, 55.73. HRMS (EI+) m/z, calcd for C15H14FN4O3, [M+H]+: 285.1152, found: 285.1156.
3.1.9. Compounds 12a and 12b
Synthetized from 11a and 11b, Following the General Procedure Described for Quinazolines 3a–c, with DIPEA Instead of Pyridine
N6-(4-Chloro-5H-1,2,3-dithiazol-5-ylidene)-N4-(2-fluoro-4-methoxyphenyl)quinazoline-4,6-diamine (12a). Orange powder (0.354 g, 68%); m.p. 181–182 °C. IR (neat) νmax: 3675, 3464, 2971, 2901, 2206, 1566, 1531, 1409, 1277, 1202, 1064, 1034, 871, 750, 651, 501, 454 cm−1. 1H NMR (300 MHz, CDCl3) δ 8.76 (s, 1H), 8.24 (t, J = 9.3 Hz, 1H), 8.02 (d, J = 8.8 Hz, 1H), 7.74–7.65 (m, 2H), 7.33 (s, 1H), 6.84–6.73 (m, 2H), 3.83 (s, 3H). 13C NMR (75 MHz, CDCl3) δ 166.4, 160.4, 157.6, 157.6, 157.4, 155.3 (d, J = 244.0 Hz), 154.8, 149.2, 131.2, 125.7, 125.5 (d, J = 1.9 Hz), 119.1 (d, J = 10.8 Hz), 116.0, 110.6, 109.8 (d, J = 3.1 Hz), 102.1 (d, J = 23.1 Hz), 55.9. HRMS (EI+) m/z, calcd for C17H15ClFN5OS2 [M+H]+: 420.0156, found: 420.0148.
N6-(4-Chloro-5H-1,2,3-dithiazol-5-ylidene)-N4-(2-fluoro-4-methoxyphenyl)quinazoline-4,7-diamine (12b). Yellow powder (0.372 g, 58%); m.p. 185–186 °C. IR (neat) νmax: 1583, 1535, 1493, 1418, 1307, 1207, 1027, 882, 838, 652, 540 cm−1. 1H NMR (300 MHz, DMSO-d6) δ 9.73 (s, 1H), 8.54 (d, J = 8.8 Hz, 1H), 8.42 (s, 1H), 7.51–7.34 (m, 3H), 6.97 (dd, J = 12.1, 2.8 Hz, 1H), 6.89–6.81 (m, 1H), 3.81 (s, 3H). 13C NMR (75 MHz, DMSO-d6) δ 161.89, 159.42, 158.80, 157.39 (d, J = 187.9 Hz), 155.56, 155.41, 151.04, 146.66, 129.47, 125.61, 119.97, 118.50 (d, J = 13.3 Hz), 114.59, 112.43, 110.05 (d, J = 2.9 Hz), 102.14 (d, J = 24.0 Hz), 55.79. HRMS (EI+) m/z, calcd for C17H12N5OFS235Cl [M+H]+: 420.0156, found: 420.0156.
3.1.10. Compounds 13a and 13b
Synthetized from 12a and 12b, Following the General Procedure Described for Quinazolines 4a–c
(4-[(2-Fluoro-4-methoxyphenyl)amino]quinazolin-6-yl)carbamothioyl cyanide (13a). Red powder (0.380 g, 90%); m.p. 210–211 °C. IR (neat) νmax: 3677, 2972, 2904, 1600, 1575, 1511, 1392, 1263, 1066, 832, 574 cm−1. 1H NMR (300 MHz, DMSO-d6) δ 10.33 (s, 1H), 8.67–8.45 (m, 2H), 7.98 (dd, J = 8.9, 2.1 Hz, 0.85H, major), 7.90 (s, 0.15H, minor), 7.82 (d, J = 8.9 Hz, 1H), 7.41 (t, J = 8.9 Hz, 1H), 6.99 (dd, J = 12.1, 2.7 Hz, 1H), 6.86 (dd, J = 8.8, 2.7 Hz, 1H), 3.81 (s, 3H). 13C NMR (75 MHz, DMSO-d6) δ 161.82, 159.43, 159.17, 157.46 (d, J = 236.8 Hz), 152.82, 130.66, 129.20, 125.07, 118.23, 117.78, 116.40, 115.81, 114.31, 110.22 (d, J = 3.0 Hz), 102.20 (d, J = 23.6 Hz), 55.84. 19F NMR (282 MHz, DMSO-d6) δ −116.79 (major), −116.89 (minor). HRMS (EI+) m/z, calcd for C17H13N5OFS [M+H]+: 354.0825, found: 354.0824.
(4-[(2-Fluoro-4-methoxyphenyl)amino]quinazolin-7-yl)carbamothioyl cyanide (13b). Red powder (0.267 g, 91%); m.p. 199–200 °C. IR (neat) νmax: 3675, 2988, 2901, 1603, 1561, 1539, 1401, 1359, 1228, 1066, 906 cm−1. 1H NMR (300 MHz, DMSO-d6) δ 14.17 (s, 1H), 10.70 (s, 1H), 8.65 (s, 1H), 8.49 (d, J = 8.9 Hz, 1H), 7.93 (s, 1H), 7.64 (d, J = 8.9 Hz, 1H), 7.43 (t, J = 8.9 Hz, 1H), 7.03 (dd, J = 12.2, 2.8 Hz, 1H), 6.89 (dd, J = 8.9, 2.8 Hz, 1H), 3.82 (s, 3H). 13C NMR (75 MHz, DMSO-d6) δ 161.81, 159.66, 159.50, 159.36, 157.58 (d, J = 247.3 Hz), 152.48, 143.14, 129.40, 129.36, 124.36, 117.29 (d, J = 13.0 Hz), 112.85, 110.34 (d, J = 3.0 Hz), 109.73, 102.23 (d, J = 23.6 Hz), 55.89 (major), 54.93 (minor). 19F NMR (282 MHz, DMSO-d6) δ −116.92 (minor), −116.98 (major). HRMS (EI+) m/z, calcd for C17H13N5OFS [M+H]+: 354.0825, found: 354.0827.
3.1.11. Compounds 14a and 14b Were Synthetized from 13a and 13b, Following the General Procedure Described for Quinazolines 5a–c, Using LiBr Instead of KI as an Additive
8-[(2-Fluoro-4-methoxyphenyl)amino]thiazolo[4,5-g]quinazoline-2-carbonitrile (14a). Yellow powder (0.068 g, 39%); m.p. 259–260 °C. IR (neat) νmax: 2925, 1560, 1535, 1415, 1198, 1035, 842, 792 cm−1. 1H NMR (300 MHz, DMSO-d6) δ 10.18 (s, 1H), 9.48 (s, 1H), 8.76 (s, 1H), 8.53 (s, 1H), 7.45 (t, J = 8.9 Hz, 1H), 7.00 (dd, J = 12.2, 2.7 Hz, 1H), 6.91–6.83 (m, 1H), 3.82 (s, 3H). 13C NMR (75 MHz, DMSO-d6) δ 159.97, 159.34, 159.02, 157.70 (d, J = 247.1 Hz), 155.86, 149.36, 147.60, 139.72, 129.43 (d, J = 2.8 Hz), 121.84, 119.63, 118.10 (d, J = 12.8 Hz), 114.90, 113.29, 110.18 (d, J = 2.8 Hz), 102.20 (d, J = 23.8 Hz), 55.82. HRMS (EI+) m/z, calcd for C17H11N5OFS [M+H]+: 352.0668, found: 352.0670.
8-[(2-Fluoro-4-methoxyphenyl)amino]thiazolo[5,4-g]quinazoline-2-carbonitrile (14b). Yellow powder (0.040 g, 10%); m.p. 255–256 °C. IR (neat) νmax: 2922, 1557, 1532, 1459, 1409, 1350, 1282, 1122, 1028, 849, 796 cm−1. 1H NMR (300 MHz, DMSO-d6) δ 10.08 (s, 1H), 9.36 (s, 1H), 8.67 (s, 1H), 8.55 (s, 1H), 7.45 (t, J = 8.8 Hz, 1H), 7.05–6.96 (m, 1H), 6.87 (d, J = 8.8 Hz, 1H), 3.82 (s, 3H). 13C NMR (75 MHz, DMSO-d6) δ 159.20, 158.91, 157.34 (d, J = 214.2 Hz), 155.42, 155.36 (3C), 154.02, 141.95, 132.58, 129.11 (d, J = 3.2 Hz), 122.48, 118.28, 118.27 (d, J = 13.0 Hz), 112.99, 110.18 (d, J = 2.9 Hz), 102.21 (d, J = 23.6 Hz), 55.81. HRMS (EI+) m/z, calcd for C17H11N5OFS [M+H]+: 352.0668, found: 352.0676.
3.1.12. Compounds 15a and 15b Were Synthetized from 14a and 14b, Following the General Procedure Described for Quinazolines 6a–c
Methyl 8-[(2-fluoro-4-methoxyphenyl)amino]thiazolo[4,5-g]quinazoline-2-carbimidate (15a). Pale yellow powder (0.038 g, 70%); m.p. 246–247 °C. IR (neat) νmax: 3444, 3270, 1653, 1601, 1556, 1530, 1410, 1348, 1146, 1036, 948, 856, 847, 539 cm−1. 1H NMR (300 MHz, DMSO-d6) δ 10.06 (s, 1H), 9.52 (s, 1H), 9.34 (s, 1H), 8.63 (s, 1H), 8.49 (s, 1H), 7.45 (m, 1H), 6.99 (m, 1H), 6.87 (dd, J = 8.9, 2.7 Hz, 1H), 3.99 (s, 3H), 3.82 (s, 3H). 13C NMR (75 MHz, DMSO-d6) δ 160.46, 159.84, 159.60, 158.92, 157.44 (d, J = 201.5 Hz), 155.16, 150.37, 146.84, 140.73, 129.49 (d, J = 2.9 Hz), 121.51, 118.44, 118.29, 114.31, 110.10 (d, J = 2.7 Hz), 102.19 (d, J = 23.8 Hz), 55.81, 54.31. 19F NMR (282 MHz, DMSO-d6) δ −116.67. HRMS (EI+) m/z, calcd for C18H15N5O2FS [M+H]+: 384.0930, found: 384.0924.
Methyl 8-[(2-fluoro-4-methoxyphenyl)amino]thiazolo[5,4-g]quinazoline-2-carbimidate (15b). Pale yellow powder (0.030 g, 55%); m.p. 239–240 °C. IR (neat) νmax: 3296, 1647, 1600, 1546, 1511, 1464, 1391, 1325, 1269, 1147, 1095, 949, 847, 832, 539 cm−1. 1H NMR (300 MHz, DMSO-d6) δ 9.97 (s, 1H), 9.69 (s, 1H), 9.30 (s, 1H), 8.51 (s, 2H), 7.44 (t, J = 9.0 Hz, 1H), 7.03–6.95 (m, 1H), 6.86 (d, J = 9.0 Hz, 1H), 3.98 (s, 3H), 3.82 (s, 3H). 13C NMR (75 MHz, DMSO-d6) δ 162.80, 159.21, 158.76, 155.10, 133.57, 129.14, 121.46, 118.10, 110.14, 102.36, 102.05 55.81, 54.33. HRMS (EI+) m/z, calcd for C18H15N5O2FS [M+H]+: 384.0930, found: 384.0945.
3.2. Kinase Inhibition Assays
Kinase enzymatic activities were assayed in 384-well plates using the ADP-GloTM assay kit (Promega, Madison, WI, USA) according to the recommendations of the manufacturer. This luminescent ADP detection assay was described by Zegzouti and co-workers and provides a homogeneous and high-throughput screening method to measure kinase activity by quantifying the amount of ADP produced during a kinase reaction [19]. Briefly, the reactions were carried out in a final volume of 6 µL for 30 min at 30 °C in an appropriate kinase buffer (10 mM MgCl2, 1 mM EGTA, 1 mM DTT, 25 mM Tris-HCl pH 7.5, 50 µg/mL heparin), with peptide or protein as substrate in the presence of 10 µM ATP. Peptide substrates were obtained from ProteoGenix (Schiltigheim, France) or Sigma for Histone H1, Poly (L-glutamic acid–L-tyrosine) sodium salt, Casein and MBP. After that, 6 µL of ADP-GloTM Kinase Reagent was added to stop the kinase reaction. After an incubation time of 50 min at room temperature (rt), 12 µL of Kinase Detection Reagent was added for one hour at rt. The transmitted signal was measured using the Envision (PerkinElmer, Waltham, MA, USA) microplate luminometer and expressed as Relative Light Units (RLUs). Kinase activities are expressed as percentages of remaining kinase activities detected after treatment with 1 or 10 µM of the tested compounds. The maximum kinase activity was measured in the absence of inhibitor but with an equivalent dose of DMSO (solvent of the tested compounds).
3.3. Cytotoxic Activity
3.3.1. Cell Culture
Skin normal fibroblastic cells were purchased from Lonza (Basel, Switzerland). Huh7-D12, Caco-2, HCT-116, MDA-MB-231, MDA-MB-468, MCF-7 and PC-3 cancer cell lines were obtained from ATCC (American Type Culture Collection). Cells were grown at 37 °C, 5% CO2 in ATCC recommended media: DMEM for Huh7-D12, MDA-MB-231, MDA-MB-468 and fibroblastic cells, EMEM for MCF-7 and Caco-2, McCoy’s for HCT-116 and RPMI for PC-3 cells. All culture media were supplemented by 10% of FBS, 1% of penicillin–streptomycin and 2 mM glutamine.
3.3.2. Cytotoxic Assay
Chemicals were solubilized in DMSO at a concentration of 10 mM (stock solution) and diluted in culture medium to the desired final concentrations. The dose effect cytotoxic assays (IC50 determination) were performed by increasing the concentrations of each chemical (final well concentrations: 0.1 μM, 0.3 μM, 0.9 μM, 3 μM, 9 μM and 25 μM). Cells were plated in 96-well plates (4000 cells/well). Twenty-four hours after seeding, the cells were exposed to chemicals. After 48 h of treatment, the cells were washed in PBS and fixed in cooled 90% ethanol/5% acetic acid for 20 min and the nuclei were stained with Hoechst 33342 (B2261 Merck KGaA, Darmstadt, Germany). Image acquisition and analysis were performed using a Cellomics ArrayScan VTI/HCS Reader (ThermoScientific, Les Ulis, France). The survival percentages were calculated as the percentage of cell number after compound treatment over cell number after DMSO treatment. The relative IC50 values were calculated using the curve fitting XLfit 5.5.0.5 (idbs) integrated in Microsoft Excel as an add-on. The four-parameter logistic model or sigmoidal dose–response model describing the sigmoid-shaped response pattern was used (fit = (A + [(B − A)/(1 + [(C/x)^D])]), where fit is the response and X is the tested concentration of the compound. The lower asymptote is A (also referred to as the bottom of the curve or lower plateau or the min) and the upper asymptote is B (also referred to as the top of the curve or upper plateau or the max). The slope of the linear part of the curve is described by the factor D. The parameter C is the concentration corresponding to the response midway between A and B.
4. Conclusions
The syntheses of four regioisomers of the model compound I, and two of II (EHT 1610) were accomplished with the aim of comparing their biological activities (Figure 4). Except for the synthesis of compound 15b, for which the last two steps need to be optimized, the overall yields are encouraging and suggest the possibility of extending this chemical library.
Figure 4.
Model compounds I and II and the synthesized regioisomers 6a–d, 15a and 15b hitherto undescribed.
The results of the biological evaluations carried out during this project confirm that straight (or linear) thiazoloquinazolines are not inhibitors of kinases, and in particular of DYRK1A kinase, which was mainly targeted by our group. Despite these results, we still observed moderate inhibition of JAK3 kinase activity with the thiazoloquinazolinone derivatives 6a and 6c, and with the thiazoloquinazoline derivatives 15a and 15b.
For the first time, a study of the potential cytotoxicity of such polycyclic compounds was carried out, showing that the majority of them can inhibit the growth of seven cancer cell lines (colon, breast, liver and prostate), with IC50 values in the micromolar range. Among the tested thiazoloquinazolinone derivatives (5 and 6 series), the 7-Benzyl-8-oxo-7,8-dihydrothiazolo[5,4-g]quinazolinones 5b and 6b proved to be the most potent in stopping the growth of the cancer cell lines tested, with IC50 values in the micromolar range. Since these compounds showed no toxicity against normal cells, a larger program of investigations will be launched to investigate the real potential interest of such compounds in anticancer applications.
Supplementary Materials
The following supporting information can be downloaded at: https://www.mdpi.com/article/10.3390/ph17111452/s1: Synthesis of detailed procedures and physicochemical characterization of 1 and 2 series (Sections S3–S4), 7 and 8 series (Sections S4–S5) and 9 series (Section S6). 1H NMR and 13C NMR spectra of all new compounds (Sections S7–S33). Kinase inhibition assays and cytotoxic evaluation (Section S34–S35).
Author Contributions
Conceptualization, T.B.; methodology, N.B. and T.B.; chemical investigations, N.B. helped by A.P.-B.; biological evaluations, B.B., T.R., S.B., H.S. and R.L.G.; writing—original draft preparation, T.B.; writing—review and editing, N.B., C.C., C.F. and T.B.; supervision, C.F. and T.B.; funding acquisition, C.F. and T.B. All authors have read and agreed to the published version of the manuscript.
Funding
This work was partially supported by the European Regional Development Fund (ERDF), Labex SynOrg (ANR-11-LABX-0029), Carnot Institute I2C, and graduate school for research Xl-Chem (ANR-18-EURE-0020 XL CHEM).
Institutional Review Board Statement
Not applicable.
Informed Consent Statement
Not applicable.
Data Availability Statement
Data are contained within the article and Supplementary Materials.
Acknowledgments
We gratefully acknowledge the MESR (Ministère de l’Enseignement Supérieur & de la Recherche and University of Rouen Normandie, France) for the doctoral fellowships to N.B. T.B. and his co-workers thank the University of Rouen Normandie, INSA Rouen Normandie, CNRS (Centre National de la Recherche Scientifique) and Region Normandie for multiform support. The authors also thank the Cancéropôle Grand Ouest (“Marines molecules, metabolism and cancer” network), IBiSA (French Infrastructures en sciences du vivant: biologie, santé et agronomie), Biogenouest (Western France life science and environment core facility network supported by the Conseil Régional de Bretagne) for supporting the KISSf screening facility (FR2424, CNRS and Sorbonne Université), Roscoff, France.
Conflicts of Interest
The authors declare no conflict of interest. The funders had no role in the design of the study; collection, analyses, or interpretation of data; writing of the manuscript, or decision to publish the results.
References
- Testard, A.; Logé, C.; Léger, B.; Robert, J.-M.; Lozach, O.; Blairvacq, M.; Meijer, L.; Thiéry, V.; Besson, T. Thiazolo[5,4-f ]quinazolin-9-ones, inhibitors of glycogen synthase kinase-3. Bioorg. Med. Chem. Lett. 2006, 16, 3419–3423. [Google Scholar] [CrossRef] [PubMed]
- Logé, C.; Testard, A.; Thiéry, V.; Lozach, O.; Blairvacq, M.; Robert, J.-M.; Meijer, L.; Besson, T. Novel 9-oxo-thiazolo[5,4-f]quinazoline-2-carbonitrile derivatives as dual cyclin-dependent kinase 1 (CDK1)/glycogen synthase kinase-3 (GSK-3) inhibitors: Synthesis, biological evaluation and molecular modeling studies. Eur. J. Med. Chem. 2008, 43, 1469–1477. [Google Scholar] [CrossRef] [PubMed]
- Couly, F.; Dubouilh-Benard, C.; Besson, T.; Fruit, C. Late-stage C–H arylation of thiazolo[5,4-f ]quinazolin-9(8H)-one backbone: Synthesis of an array of potential kinase inhibitors. Synthesis 2017, 49, 4615–4622. [Google Scholar] [CrossRef]
- Hédou, D.; Godeau, J.; Loaëc, N.; Meijer, L.; Fruit, C.; Besson, T. Synthesis of thiazolo[5,4-f]quinazolin-9(8H)-ones as multi-target directed ligands of Ser/Thr kinases. Molecules 2016, 21, 578–596. [Google Scholar] [CrossRef] [PubMed]
- Foucourt, A.; Hédou, D.; Dubouilh-Benard, C.; Désiré, L.; Casagrande, A.-S.; Leblond, B.; Loäec, N.; Meijer, L.; Besson, T. Design and synthesis of thiazolo[5,4-f]quinazolines as DYRK1A inhibitors, Part I. Molecules 2014, 19, 15546–15571. [Google Scholar] [CrossRef] [PubMed]
- Foucourt, A.; Hédou, D.; Dubouilh-Benard, C.; Girard, A.; Taverne, T.; Casagrande, A.-S.; Désiré, L.; Leblond, B.; Besson, T. Design and synthesis of thiazolo[5,4-f]quinazolines as DYRK1A inhibitors, Part II. Molecules 2014, 19, 15411–15439. [Google Scholar] [CrossRef] [PubMed]
- Courtadeur, S.; Benyamine, H.; Delalonde, L.; de Oliveira, C.; Leblond, B.; Foucourt, A.; Besson, T.; Casagrande, A.-S.; Taverne, T.; Girard, A.; et al. A Novel DYRK1A (Dual Specificity Tyrosine Phosphorylation-Regulated Kinase 1A) Inhibitor for the Treatment of Alzheimer’s Disease: Effect on Tau and Amyloid Pathologies in Vitro. J. Neurochem. 2015, 133, 440–451. [Google Scholar] [CrossRef] [PubMed]
- Chaikuad, A.; Diharce, J.; Schröder, M.; Foucourt, A.; Leblond, B.; Casagrande, A.-S.; Désiré, L.; Bonnet, P.; Knapp, S.; Besson, T. An Unusual Binding Mode of the Methyl 9-Anilinothiazolo[5,4-f] quinazoline-2-carbimidates (EHT 1610 and EHT 5372) Confers High Selectivity for DYRK Kinases. J. Med. Chem. 2016, 59, 10315–10321. [Google Scholar] [CrossRef] [PubMed]
- Couly, F. Modifications fonctionnelles en position C2 des 8-alkylthiazolo[5,4-f]quinazolin-9(8H)-ones et stratégie d’extension de fragment pour la synthèse d’inhibiteurs de kinases de la famille DYRK. Ph.D. Thesis, University of Rouen Normandie, Mont-Saint-Aignan, France, 12 October 2018. [Google Scholar]
- Appel, R.; Janssen, H.; Siray, M.; Knoch, F. Synthese und reaktionen des 4,5-dichloro-1,2,3-dithiazolium-chlorids. Chem. Ber. 1985, 118, 1632–1643. [Google Scholar] [CrossRef]
- Broudic, N.; Pacheco-Benichou, A.; Fruit, C.; Besson, T. Synthesis of 2-Cyanobenzothiazoles via Pd-Catalyzed/Cu-Assisted C-H Functionalization/Intramolecular C-S Bond Formation from N-Arylcyanothioformamides. Molecules 2022, 27, 8426. [Google Scholar] [CrossRef] [PubMed]
- Broudic, N.; Pacheco-Benichou, A.; Fruit, C.; Besson, T. Synthesis of trifunctional thiazole-fused anthranilonitrile and anthranilic acid derivatives. Synthesis 2023, 55, 3263–3271. [Google Scholar] [CrossRef]
- Bhansali, R.S.; Rammohan, M.; Lee, P.; Laurent, A.; Wen, Q.; Suraneni, P.; Tsai, Y.-C.; Jenni, S.; Bornhauser, B.; Siret, A.; et al. DYRK1A regulates B-cell leukemia through phosphorylation of FOXO1 and STAT3. J. Clin. Investig. 2021, 131, e135937. [Google Scholar] [CrossRef] [PubMed]
- Elagib, K.E.; Brock, A.; Clementelli, C.M.; Mosoyan, G.; Delehanty, L.L.; Sahu, R.K.; Pacheco-Benichou, A.; Fruit, C.; Besson, T.; Morris, S.W.; et al. Relieving Dyrk1a repression of MKL1 confers an adult-like phenotype to human infantile megakaryocytes. J. Clin. Investig. 2022, 132, e154839. [Google Scholar] [CrossRef] [PubMed]
- Carey-Smith, S.L.; Simad, M.H.; Panchal, K.; Aya-Bonilla, C.; Smolders, H.; Lin, S.; Armitage, J.D.; Nguyen, V.T.; Bentley, K.; Ford, J.; et al. Efficacy of DYRK1A inhibitors in novel models of Down syndrome acute lymphoblastic leukemia. Haematologica 2024, 109, 2309–2315. [Google Scholar] [CrossRef] [PubMed]
- Hédou, D.; Guillon, R.; Lecointe, C.; Logé, C.; Chosson, E.; Besson, T. Novel synthesis of angular thiazolo[5,4-f] and [4,5-h]quinazolines, preparation of their linear thiazolo[4,5-g] and [5,4-g]quinazoline analogs. Tetrahedron 2013, 69, 3182–3191. [Google Scholar] [CrossRef]
- Michaelidou, S.S.; Koutentis, P.A. The synthesis of 2-cyano-cyanothioformanilides from 2-(4-chloro-5H-1,2,3-dithiazol-5-ylideneamino)benzonitriles using DBU. Synthesis 2009, 2009, 4167–4174. [Google Scholar] [CrossRef]
- Zegzouti, H.; Zdanovskaia, M.; Hsiao, K.; Goueli, S.A. ADP-Glo: A Bioluminescent and homogeneous ADP monitoring assay for kinases. Assay Drug Dev. Technol. 2009, 7, 560–572. [Google Scholar] [CrossRef] [PubMed]
- Sebaugh, J.L. Guidelines for accurate EC50/IC50 estimation. Pharm. Stat. 2011, 10, 128–134. [Google Scholar] [CrossRef] [PubMed]
Disclaimer/Publisher’s Note: The statements, opinions and data contained in all publications are solely those of the individual author(s) and contributor(s) and not of MDPI and/or the editor(s). MDPI and/or the editor(s) disclaim responsibility for any injury to people or property resulting from any ideas, methods, instructions or products referred to in the content. |
© 2024 by the authors. Licensee MDPI, Basel, Switzerland. This article is an open access article distributed under the terms and conditions of the Creative Commons Attribution (CC BY) license (https://creativecommons.org/licenses/by/4.0/).












