Advanced Research on Antimicrobial Resistance in Farm Animals

A special issue of Veterinary Sciences (ISSN 2306-7381). This special issue belongs to the section "Veterinary Microbiology, Parasitology and Immunology".

Deadline for manuscript submissions: closed (15 June 2025) | Viewed by 18518

Special Issue Editor


E-Mail Website
Guest Editor
1. Faculty of Veterinary Medicine, Latvia University of Life Sciences and Technologies, 3001 Jelgava, Latvia
2. Institute of Food Safety, Animal Health and Environment BIOR, 1076 Riga, Latvia
Interests: antimicrobial resistance; epidemiology; zoonoses; foodborne pathogens

Special Issue Information

Dear Colleagues,

Globally, antimicrobial resistance threatens food safety and animal, human and environmental health. Antimicrobials in animal production are considered to be among the most important antimicrobial resistance drivers. The misuse and overuse of antimicrobials in productive animals boost antimicrobial consumption, thus contributing to antimicrobial resistance. The spread of resistant microorganisms have been reported in productive animals, farms and general environments, risking antimicrobial resistance dissemination. Humans may acquire resistant microorganisms from animals, foods and the environment, and alarming findings regarding resistant bacterial indicators and zoonotic foodborne pathogens in farm animals and foods of animal origin have been reported.

This Special Issue aims to present recent advances in the research on antimicrobial resistance, including antimicrobial resistance among farm animals and its transmission to humans and the environment, the molecular epidemiology of antimicrobial resistance and strategies for the reduction or prevention of emergence and dissemination of resistant microorganisms. Submissions concerning emerging problems in the development and dissemination of antimicrobial resistance are welcome.

Dr. Margarita Terentjeva
Guest Editor

Manuscript Submission Information

Manuscripts should be submitted online at www.mdpi.com by registering and logging in to this website. Once you are registered, click here to go to the submission form. Manuscripts can be submitted until the deadline. All submissions that pass pre-check are peer-reviewed. Accepted papers will be published continuously in the journal (as soon as accepted) and will be listed together on the special issue website. Research articles, review articles as well as short communications are invited. For planned papers, a title and short abstract (about 250 words) can be sent to the Editorial Office for assessment.

Submitted manuscripts should not have been published previously, nor be under consideration for publication elsewhere (except conference proceedings papers). All manuscripts are thoroughly refereed through a single-blind peer-review process. A guide for authors and other relevant information for submission of manuscripts is available on the Instructions for Authors page. Veterinary Sciences is an international peer-reviewed open access monthly journal published by MDPI.

Please visit the Instructions for Authors page before submitting a manuscript. The Article Processing Charge (APC) for publication in this open access journal is 2100 CHF (Swiss Francs). Submitted papers should be well formatted and use good English. Authors may use MDPI's English editing service prior to publication or during author revisions.

Keywords

  • antimicrobial resistance
  • foodborne pathogens
  • indicator bacteria
  • animal health
  • public health
  • mechanisms of antimicrobial resistance
  • alternatives to antimicrobials

Benefits of Publishing in a Special Issue

  • Ease of navigation: Grouping papers by topic helps scholars navigate broad scope journals more efficiently.
  • Greater discoverability: Special Issues support the reach and impact of scientific research. Articles in Special Issues are more discoverable and cited more frequently.
  • Expansion of research network: Special Issues facilitate connections among authors, fostering scientific collaborations.
  • External promotion: Articles in Special Issues are often promoted through the journal's social media, increasing their visibility.
  • Reprint: MDPI Books provides the opportunity to republish successful Special Issues in book format, both online and in print.

Further information on MDPI's Special Issue policies can be found here.

Published Papers (5 papers)

Order results
Result details
Select all
Export citation of selected articles as:

Research

Jump to: Review, Other

18 pages, 1256 KB  
Article
Analysis of Antimicrobial Residues and Resistance Profiles of Escherichia coli and Enterococcus spp. in Lagoon Water from California Dairies
by Siqi Wang, Sharif S. Aly, Essam Abdelfattah, Pius Ekong, David B. Sheedy, Wagdy ElAshmawy, Betsy M. Karle, Randi Black, Deniece R. Williams, Pramod Pandey and Emmanuel Okello
Vet. Sci. 2025, 12(10), 960; https://doi.org/10.3390/vetsci12100960 - 8 Oct 2025
Cited by 1 | Viewed by 989
Abstract
The widespread use of antimicrobial drugs (AMDs) in livestock production contributes to antimicrobial resistance (AMR), a global One Health concern affecting humans, animals, and the environment. This study analyzed AMD residues and the AMR profiles in Escherichia coli and Enterococcus spp./Streptococcus spp. [...] Read more.
The widespread use of antimicrobial drugs (AMDs) in livestock production contributes to antimicrobial resistance (AMR), a global One Health concern affecting humans, animals, and the environment. This study analyzed AMD residues and the AMR profiles in Escherichia coli and Enterococcus spp./Streptococcus spp. (ES) isolated from lagoon water samples collected from nine California dairies. Antimicrobial susceptibility testing was performed using the microbroth dilution method, and enzyme-linked immunosorbent assay (ELISA) kits were used to detect AMD residues in lagoon water. Overall, residues of florfenicol and tilmicosin were detected in more than 90% of the samples, while tetracycline was detected in 74.2 ± 4.6% of the samples. In contrast, penicillin and sulfamethazone residues were low, observed in only 3.4 ± 1.9% and 32.3 ± 5.0% of samples, respectively. The very low prevalence of penicillin was likely due to limited use in dairy cattle, given its prolonged withdrawal period. Prevalence estimates for AMR in the lagoon samples showed 100% resistance of E. coli to tiamulin, tilmicosin or tylosin and high prevalence against florfenicol (96.0% ± 2.0) or gamithromycin (92.0% ± 1.9). However, low AMR estimates (less than 10%) were observed against other AMDs tested. Similarly, the prevalence estimates for AMR of ES isolates in the studied lagoon were high against florfenicol (95.1% ± 2.0), tildipirosin (97.6% ± 1.7), or tilmicosin (98.8% ± 1.2), but low against ampicillin (4.9% ± 1.9) and penicillin (8.5% ± 2.4). Despite numerical differences in AMR prevalence by season, region, and sampling point, these variations were not statistically significant. Logistic regression models were applied to explore associations between AMD residues and AMR phenotypes where appropriate. Tilmicosin residues were significantly associated with reduced resistance to danofloxacin, enrofloxacin, and tildipirosin in E. coli isolates, while sulfamethoxazole residues were linked to increased tetracycline resistance in Enterococcus spp. The presence of florfenicol residues, potentially originating from treated calves and heifers, helps explain the high prevalence of resistance to this drug in both bacterial species. However, not all AMD residues were associated with AMR, underscoring the complex ecological and genetic factors involved in the development and maintenance of resistance in dairy environments. These findings underscore the importance of integrating AMR surveillance and prudent AMD use practices across all segments of dairy production systems. Full article
(This article belongs to the Special Issue Advanced Research on Antimicrobial Resistance in Farm Animals)
Show Figures

Figure 1

25 pages, 5731 KB  
Article
Streptococcus suis Research Update: Serotype Prevalence and Antimicrobial Resistance Distribution in Swine Isolates Recovered in Spain from 2020 to 2022
by Máximo Petrocchi Rilo, César Bernardo Gutiérrez Martín, Vanessa Acebes Fernández, Álvaro Aguarón Turrientes, Alba González Fernández, Rubén Miguélez Pérez and Sonia Martínez Martínez
Vet. Sci. 2024, 11(1), 40; https://doi.org/10.3390/vetsci11010040 - 18 Jan 2024
Cited by 11 | Viewed by 5334
Abstract
This study aimed to update the Streptococcus suis serotype distribution in Spain by analysing 302 clinical isolates recovered from diseased pigs between 2020 and 2022. The main objectives were to identify prevalent serotypes, differentiate specific serotypes 1, 14, 2, and 1/2, investigate specific [...] Read more.
This study aimed to update the Streptococcus suis serotype distribution in Spain by analysing 302 clinical isolates recovered from diseased pigs between 2020 and 2022. The main objectives were to identify prevalent serotypes, differentiate specific serotypes 1, 14, 2, and 1/2, investigate specific genotypic and phenotypic antimicrobial resistance features, and explore associations between resistance genes and phenotypic resistances. Serotypes 9 (21.2%), 1 (16.2%), 2 (15.6%), 3 (6%), and 7 (5.6%) were the most prevalent, whereas serotypes 14 and 1/2 corresponded with 4.3% and 0.7% of all isolates. Antimicrobial resistance genes, including tet(O), erm(B), lnu(B), lsa(E), tet(M), and mef(A/E), were analysed, which were present in 85.8%, 65.2%, 7%, 7%, 6.3%, and 1% of the samples, respectively. Susceptibility testing for 18 antimicrobials revealed high resistance levels, particularly for clindamycin (88.4%), chlortetracycline (89.4%), and sulfadimethoxine (94.4%). Notably, seven significant associations (p < 0.0001) were detected, correlating specific antimicrobial resistance genes to the observed phenotypic resistance. These findings contribute to understanding the S. suis serotype distribution and its antibiotic resistance profiles in Spain, offering valuable insights for veterinary and public health efforts in managing S. suis-associated infections. Full article
(This article belongs to the Special Issue Advanced Research on Antimicrobial Resistance in Farm Animals)
Show Figures

Figure 1

12 pages, 293 KB  
Article
In Vitro Effect of Eucalyptus Essential Oils and Antiseptics (Chlorhexidine Gluconate and Povidone-Iodine) against Bacterial Isolates from Equine Wounds
by José Pimenta, Carla Dias, Mário Cotovio and Maria José Saavedra
Vet. Sci. 2024, 11(1), 12; https://doi.org/10.3390/vetsci11010012 - 26 Dec 2023
Cited by 3 | Viewed by 5177
Abstract
Considering the increasing antibiotics resistance, there has been a propensity to replace them with antiseptics when it comes to wound management and treatment. Nevertheless, in recent years, there have been reports regarding resistance to antiseptics by some bacterial strains. There is also concern [...] Read more.
Considering the increasing antibiotics resistance, there has been a propensity to replace them with antiseptics when it comes to wound management and treatment. Nevertheless, in recent years, there have been reports regarding resistance to antiseptics by some bacterial strains. There is also concern about the environmental impact of these substances. The aim of this study was to compare the antimicrobial efficacy of antiseptics and eucalyptus essential oils on bacterial strains from horse’s wounds. We used twelve Escherichia coli, eight Staphylococcus aureus, two Staphylococcus pseudintermedius, one Staphylococcus vitulinus and one Staphylococcus saprophyticus strains from equine wounds. The effect of Eucalyptus radiata essential oil, Eucalyptus globulus essential oil, povidone-iodine and chlorhexidine gluconate against the isolated strains was evaluated applying the Kirby-Baüer method. Regarding the Escherichia coli strains, E. radiata and the mixture of E. radiata and E. globulus had a better inhibitory effect than antiseptics. E. globulus had a better effect against most Staphylococcus spp. compared to E. radiata. For both Gram-negative and Gram-positive strains tested, chlorhexidine gluconate had a better inhibitory effect than povidone-iodine. The antibacterial efficacy of essential oils highlights their potential to substitute or complement the use of antiseptics and so reduce resistance to antiseptics. Full article
(This article belongs to the Special Issue Advanced Research on Antimicrobial Resistance in Farm Animals)

Review

Jump to: Research, Other

17 pages, 338 KB  
Review
Unravelling Antimicrobial Resistance in Mycoplasma hyopneumoniae: Genetic Mechanisms and Future Directions
by Raziallah Jafari Jozani, Mauida F. Hasoon Al Khallawi, Darren Trott, Kiro Petrovski, Wai Yee Low and Farhid Hemmatzadeh
Vet. Sci. 2024, 11(11), 542; https://doi.org/10.3390/vetsci11110542 - 5 Nov 2024
Cited by 3 | Viewed by 3669
Abstract
Antimicrobial resistance (AMR) in Mycoplasma hyopneumoniae, the causative agent of Enzootic Pneumonia in swine, poses a significant challenge to the swine industry. This review focuses on the genetic foundations of AMR in M. hyopneumoniae, highlighting the complexity of resistance mechanisms, including [...] Read more.
Antimicrobial resistance (AMR) in Mycoplasma hyopneumoniae, the causative agent of Enzootic Pneumonia in swine, poses a significant challenge to the swine industry. This review focuses on the genetic foundations of AMR in M. hyopneumoniae, highlighting the complexity of resistance mechanisms, including mutations, horizontal gene transfer, and adaptive evolutionary processes. Techniques such as Whole Genome Sequencing (WGS) and multiple-locus variable number tandem repeats analysis (MLVA) have provided insights into the genetic diversity and resistance mechanisms of M. hyopneumoniae. The study underscores the role of selective pressures from antimicrobial use in driving genomic variations that enhance resistance. Additionally, bioinformatic tools utilizing machine learning algorithms, such as CARD and PATRIC, can predict resistance traits, with PATRIC predicting 7 to 12 AMR genes and CARD predicting 0 to 3 AMR genes in 24 whole genome sequences available on NCBI. The review advocates for a multidisciplinary approach integrating genomic, phenotypic, and bioinformatics data to combat AMR effectively. It also elaborates on the need for refining genotyping methods, enhancing resistance prediction accuracy, and developing standardized antimicrobial susceptibility testing procedures specific to M. hyopneumoniae as a fastidious microorganism. By leveraging contemporary genomic technologies and bioinformatics resources, the scientific community can better manage AMR in M. hyopneumoniae, ultimately safeguarding animal health and agricultural productivity. This comprehensive understanding of AMR mechanisms will be beneficial in the adaptation of more effective treatment and management strategies for Enzootic Pneumonia in swine. Full article
(This article belongs to the Special Issue Advanced Research on Antimicrobial Resistance in Farm Animals)

Other

Jump to: Research, Review

12 pages, 1058 KB  
Systematic Review
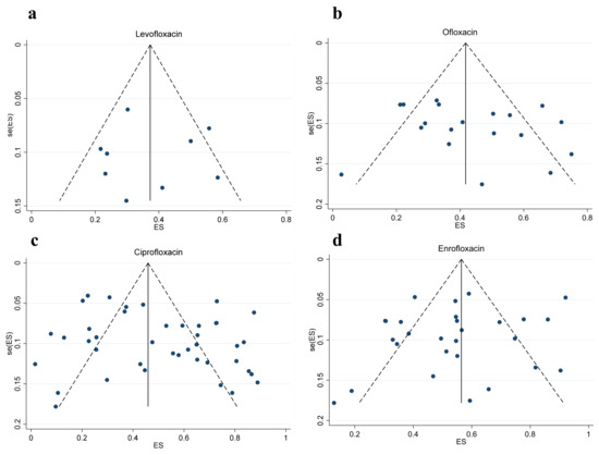
2002–2022 Quinolone Resistance in Escherichia coli of Swine in Mainland China: A Meta-Analysis
by Xuelin Long, Shujun Liu, Runmin Kang, Yue Sun, Mingyue Tian, Lijun Zhao, Changwei Lei, Hongning Wang and Xin Yang
Vet. Sci. 2025, 12(4), 345; https://doi.org/10.3390/vetsci12040345 - 9 Apr 2025
Cited by 1 | Viewed by 1589
Abstract
Swine have emerged as significant reservoirs of antibiotic-resistant strains and genes. To establish a sound rationale for applying quinolone antibiotics in the swine industry, a meta-analysis was performed on the resistance rate of swine-derived Escherichia coli to quinolone antibiotics in China from 2002 [...] Read more.
Swine have emerged as significant reservoirs of antibiotic-resistant strains and genes. To establish a sound rationale for applying quinolone antibiotics in the swine industry, a meta-analysis was performed on the resistance rate of swine-derived Escherichia coli to quinolone antibiotics in China from 2002 to 2022. We systematically searched through three databases, PubMed, Web of Science, and CNKI, and included 53 eligible studies within the specified timeframe. Resistance rates were calculated using a random-effects model and the Freeman–Tukey double-arcsine transformation. The resistance rates observed were as follows: 37% for levofloxacin (95% CI: 27~47%), 43% for ofloxacin (95% CI: 34~51%), 54% for enrofloxacin (95% CI: 46~62%), and 50% for ciprofloxacin (95% CI: 42~58%). Further subgroup analyses illuminated that the resistance rates were higher in mainland China’s eastern regions than in western regions. Additionally, there was no significant decrease in the resistance rate over time in different periods. From 2002 to 2022, Escherichia coli strains from swine in various regions of mainland China exhibited differing degrees of generalized resistance to quinolones. This poses a potential public health risk and underscores the fact that the control of quinolone antibiotics remains a prolonged and ongoing challenge. Full article
(This article belongs to the Special Issue Advanced Research on Antimicrobial Resistance in Farm Animals)
Show Figures

Figure 1

Back to TopTop