Journal Description
Optics
Optics
is an international, peer-reviewed, open access journal on optics published quarterly online by MDPI.
- Open Access— free for readers, with article processing charges (APC) paid by authors or their institutions.
- High Visibility: indexed within ESCI (Web of Science), Scopus, EBSCO, and other databases.
- Rapid Publication: manuscripts are peer-reviewed and a first decision is provided to authors approximately 23 days after submission; acceptance to publication is undertaken in 4.8 days (median values for papers published in this journal in the first half of 2025).
- Recognition of Reviewers: APC discount vouchers, optional signed peer review, and reviewer names published annually in the journal.
Impact Factor:
1.6 (2024);
5-Year Impact Factor:
1.5 (2024)
Latest Articles
High-Resolution Caustic Beam Shaping via Polarization Transformation Through Highly Anisotropic Scattering Media
Optics 2025, 6(4), 66; https://doi.org/10.3390/opt6040066 - 11 Dec 2025
Abstract
►
Show Figures
Manipulating complex light fields through highly anisotropic scattering medium (HASM) remains a fundamental challenge due to the intricate underlying physics and broad application potential. We introduce a unified theoretical and experimental framework for generating and controlling arbitrarily polarized curved caustic beams using an
[...] Read more.
Manipulating complex light fields through highly anisotropic scattering medium (HASM) remains a fundamental challenge due to the intricate underlying physics and broad application potential. We introduce a unified theoretical and experimental framework for generating and controlling arbitrarily polarized curved caustic beams using an extended polarization transfer matrix (EPTM) for the first time, enabling intuitive polarization transformation through HASM. The EPTM is experimentally measured via a four-step phase-shifting technique, and its submatrices are independently modulated with tailored caustic phase profiles. This strategy facilitates the creation of diverse high-resolution caustic beams, including Gaussian and vortex types with tunable energy distribution, polarization states, and vorticity. The achievement of polarization transformation through HASM by our approach offers versatile manipulation over optical field properties such as multiple high-resolution caustic beams, angular momentum flux, and polarization, paving the way for enhanced functionality in advanced optical systems.
Full article
Open AccessArticle
Improving Channel Uniformity of Multiplexer with High-Degree-of-Freedom Auxiliary Waveguides
by
Qingran Liu, Chenyan Zhang, Pengju Hu, Huanjie Chen, Xiyan Xu and Chongfu Zhang
Optics 2025, 6(4), 65; https://doi.org/10.3390/opt6040065 - 11 Dec 2025
Abstract
►▼
Show Figures
In order to further mitigate the channel non-uniformity at the junction between the input slab and the arrayed waveguide grating in traditional AWG structures, we design a highly flexible, structurally adaptive linear auxiliary waveguide. Through systematic parameter scanning utilizing the Particle Swarm Optimization
[...] Read more.
In order to further mitigate the channel non-uniformity at the junction between the input slab and the arrayed waveguide grating in traditional AWG structures, we design a highly flexible, structurally adaptive linear auxiliary waveguide. Through systematic parameter scanning utilizing the Particle Swarm Optimization (PSO) algorithm, an optimal set of geometric parameters for the auxiliary waveguide is identified. This optimization strategy achieves a significant reduction in loss non-uniformity by 0.5 dB relative to the conventional AWG configuration, culminating in a final non-uniformity of merely 0.253 dB. This improvement underscores the critical role of advanced structural tuning and algorithmic optimization in enhancing the performance of photonic integrated circuits, particularly in dense wavelength division multiplexing (DWDM) applications for next-generation communication systems such as radio-over-fiber (RoF) architecture-based 6G. The method can provide a scalable and efficient pathway toward high-uniformity, AWG designs without introducing additional fabrication complexity or incurring substantial costs.
Full article

Figure 1
Open AccessArticle
Development of a High-Accuracy Spectral Irradiance Modeling for Evaluating Properties of Output Light from White Light-Emitting Diodes
by
Quang-Khoi Nguyen and Quoc-Cuong Nguyen
Optics 2025, 6(4), 64; https://doi.org/10.3390/opt6040064 - 10 Dec 2025
Abstract
►▼
Show Figures
An efficient method for evaluating the spectral irradiance properties of the white light of white LEDs is conducted. The method includes two main steps. The first step is to build up spectral irradiance modeling for the blue and yellow emission bands. The photometric
[...] Read more.
An efficient method for evaluating the spectral irradiance properties of the white light of white LEDs is conducted. The method includes two main steps. The first step is to build up spectral irradiance modeling for the blue and yellow emission bands. The photometric parameter of the spectral irradiance of white light which is generated by yellow and blue light mixing is determined based on the photometry and colorimetry theories. The correlated color temperature value strongly depends on the power ratios of blue and yellow light. In addition, the result indicates that the emission bandwidth of yellow phosphor is also an important factor for increasing the color performance of output light. The selection of material with a broader bandwidth of yellow light can control a slower variation in color property compared to the case of using a material with a narrower bandwidth. In addition, the blue light hazard ratio of the spectral irradiance of white light can be extracted, which is helpful for designing the white light with moderate blue and yellow power ratios before fabricating the white LEDs product.
Full article

Figure 1
Open AccessArticle
Optimizing SAW Device Performance Using Titanium-Doped Lithium Niobate Substrates
by
Mohamed Beriniz, Kamal Maaider, Noureddine El Barbri, Ali Amkor and Abdelghani Khalil
Optics 2025, 6(4), 63; https://doi.org/10.3390/opt6040063 - 4 Dec 2025
Abstract
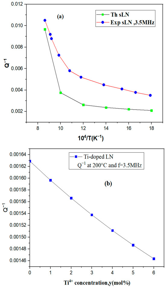
This study introduces a new theoretical framework for the ferroelectric phase transition in lithium niobate (LiNbO3), which explicitly incorporates electrostatic interactions between both first and second nearest-neighbor ions. This extended model is applied to estimate the inverse quality factor (Q
[...] Read more.
This study introduces a new theoretical framework for the ferroelectric phase transition in lithium niobate (LiNbO3), which explicitly incorporates electrostatic interactions between both first and second nearest-neighbor ions. This extended model is applied to estimate the inverse quality factor (Q−1), the equivalent mechanical resistance (Rm), and the Curie temperature (Tc) of pure and titanium-doped lithium niobate (LiNbO3:Ti). The proposed analytical expression for Tc is given by: . The analysis reveals that variations in Q−1 and Tc are governed by factors such as ionic mass, charge, and defect structure. The theoretical predictions show good agreement with experimental data reported in the literature—particularly for Q−1 in pure LiNbO3 and for Tc in Ti-doped LiNbO3—thus validating the reliability of the proposed model. Moreover, at constant temperature, both the inverse quality factor and the equivalent mechanical resistance decrease as the Ti concentration increases. This trend highlights that titanium doping enhances the acoustic performance of LiNbO3 substrates, making them more suitable for high-performance surface acoustic wave (SAW) device applications.
Full article
(This article belongs to the Special Issue Strain Engineering of Two-Dimensional Materials for Electronic/Optoelectronic Applications)
►▼
Show Figures

Figure 1
Open AccessArticle
Harmonic Suppression Method for Optical Encoder Based on Photosensitive Unit Parameter Optimization
by
Bowei Lv, Shitao Li and Jie Liu
Optics 2025, 6(4), 62; https://doi.org/10.3390/opt6040062 - 1 Dec 2025
Abstract
Optical encoders are high-precision positioning sensors based on the principle of grating diffraction. However, harmonic distortion remains a critical factor limiting the further improvement of measurement accuracy. In response to this challenge, this paper proposes a strategy to suppress harmonic components in the
[...] Read more.
Optical encoders are high-precision positioning sensors based on the principle of grating diffraction. However, harmonic distortion remains a critical factor limiting the further improvement of measurement accuracy. In response to this challenge, this paper proposes a strategy to suppress harmonic components in the output signals of optical encoders. In this work, a general expression for the light intensity distribution of the grating image is derived. Then, orthogonal sine-cosine signals are generated using a grid photoelectric sensor array, which replaces the conventional slit grating. Furthermore, a method for the co-optimization of the photosensitive unit width and offset is proposed, which effectively suppresses the third and fifth harmonic components. Theoretical and simulation results collectively demonstrate that the proposed method achieves near-complete suppression of the third and fifth harmonics, leading to a significant improvement in output signal quality. This work provides an effective approach for developing high-precision optical encoder systems with low harmonic distortion.
Full article
(This article belongs to the Special Issue Optical Sensing and Optical Communication: Technologies, Systems, and Applications)
►▼
Show Figures

Figure 1
Open AccessArticle
Data-Driven Inverse Design of Hybrid Waveguide Gratings Using Reflection Spectra via Tandem Networks and Conditional VAEs
by
Shahrzad Dehghani, Christopher Knoth, Shaghayegh Eskandari, Maximilian Buchmüller, Tobias Meisen and Patrick Görrn
Optics 2025, 6(4), 61; https://doi.org/10.3390/opt6040061 - 26 Nov 2025
Abstract
This study presents a data-driven inverse design approach for one-dimensional hybrid waveguide gratings using full reflection spectra across the visible range and a complete span of incident angles. Traditionally, designing such structures to achieve specific optical responses relies on parameter sweeps and iterative
[...] Read more.
This study presents a data-driven inverse design approach for one-dimensional hybrid waveguide gratings using full reflection spectra across the visible range and a complete span of incident angles. Traditionally, designing such structures to achieve specific optical responses relies on parameter sweeps and iterative simulations which are computationally expensive, time-consuming, and often inefficient. To overcome this, we generated a comprehensive dataset using rigorous coupled-wave analysis (RCWA) simulations and trained two machine learning models: a deterministic tandem network and a generative conditional Variational Autoencoder (cVAE). Both models were trained on noisy reflection spectra to mimic real-world measurements. They both predict structural parameters accurately on clean and noisy data. On clean data, the mean absolute error (MAE) for silver thickness and grating period is below 1 nm. For the dielectric layer, the error is about 13–15 nm. When noise is added, the Tandem network performs best with low to moderate noise. The cVAE, however, stays more stable under high noise conditions. At , the cVAE model reliably predicts the silver thickness and grating period, with MAEs below 6 nm. The main error comes from the dielectric thickness. Sensitivity analysis of reflection spectra confirms this trend. The reflection is least sensitive to the dielectric thickness, while silver thickness and grating period dominate. This analysis provides physical insight for waveguide design as well in which, accurate control of silver thickness and grating period is far more critical than small errors in dielectric thickness. In general, our approach enables rapid prediction of structural parameters of hybrid waveguide gratings from reflection spectra. This reduces design time and reliance on complex microscopic measurements, with potential applications in sensing, communication, and integrated photonics.
Full article
(This article belongs to the Special Issue Optical Sensing and Optical Communication: Technologies, Systems, and Applications)
►▼
Show Figures

Figure 1
Open AccessArticle
Quantum Theory of Polarized Superlattice Optical Response: Faithful Reproduction of Nakamura’s Blue Laser Spectra
by
Pedro Pereyra and Victor G. Ibarra-Sierra
Optics 2025, 6(4), 60; https://doi.org/10.3390/opt6040060 - 20 Nov 2025
Abstract
Earlier quantum calculations of the optical response of Nakamura’s blue laser diode, assuming Kronig–Penney-like band-edge profiles, omitted the effects of charge polarization, cladding-layer asymmetry, and recombination delay times, while such simplified model reproduces the overall emission structure, underestimates the spectral width and fails
[...] Read more.
Earlier quantum calculations of the optical response of Nakamura’s blue laser diode, assuming Kronig–Penney-like band-edge profiles, omitted the effects of charge polarization, cladding-layer asymmetry, and recombination delay times, while such simplified model reproduces the overall emission structure, underestimates the spectral width and fails to capture the decrease in peak intensities at higher energies. Here, we present a detailed quantum theory of polarized-asymmetric superlattices that explicitly incorporates spontaneous and piezoelectric polarization, confining-layer asymmetry, and recombination lifetimes. Local Stark fields are modeled by linear band-edge potentials, and the corresponding Schrödinger equation is solved using Airy functions within the Theory of Finite Periodic Systems. This approach enables the exact calculation of subband eigenvalues, eigenfunctions, transition probabilities and optical spectra. We show that to faithfully reproduce Nakamura’s blue laser spectra, smaller effective masses must be considered, unless unrealistically small barrier heights and widths are assumed. Furthermore, by employing the time distribution of transition probabilities, we capture the energy dependence of recombination lifetimes and their influence on peak intensities. The resulting analysis reproduces the observed spectral broadening and peak-height evolution, while also providing estimates of the magnitude of the Stark effect and mean recombination lifetimes.
Full article
(This article belongs to the Section Laser Sciences and Technology)
►▼
Show Figures

Figure 1
Open AccessArticle
Infrared Dielectric Function of Dragonfly Dielectric Ink 1092 Polymer from 300 cm−1 to 6000 cm−1
by
Dustin Louisos, Joseph Engeland, Nuren Z. Shuchi, Samuel I. Gatley, John F. Federici, Benjamin Thomas, Ian Gatley, Glenn D. Boreman and Tino Hofmann
Optics 2025, 6(4), 59; https://doi.org/10.3390/opt6040059 - 19 Nov 2025
Abstract
►▼
Show Figures
This work focuses on the characterization of the complex dielectric function of a polymer material, which is UV-cured dielectric ink 1092, used in the DragonFly IV 3D inkjet printer. Infrared spectroscopic ellipsometry was performed over the spectral range of 300–4000 cm−1 at
[...] Read more.
This work focuses on the characterization of the complex dielectric function of a polymer material, which is UV-cured dielectric ink 1092, used in the DragonFly IV 3D inkjet printer. Infrared spectroscopic ellipsometry was performed over the spectral range of 300–4000 cm−1 at multiple angles of incidence to extract both real and imaginary components of the dielectric response. In addition, polarized transmission measurements were taken over the spectral range from 300–6000 cm−1 to aid in characterization. We report an isotropic dielectric function model that is composed of oscillators with both Gaussian and Lorentzian broadening. This model reveals strong absorption bands at 925–1500 cm−1, 1600–1775 , and 2840–3000 cm−1 while otherwise appearing largely transparent. This parameterized dielectric function is critical in first-principles modeling of infrared optical components and metamaterials fabricated using this polymer.
Full article

Figure 1
Open AccessArticle
Optical Characterization of a Sensitive Lophine Layer for the Detection of Hydrogen Ions (H+)
by
Pedro Marcos Velasco-Bolom, Jorge Luis Camas-Anzueto, Rocío Meza-Gordillo, Madaín Pérez-Patricio, Marcoantonio Ramírez-Morales, Gilberto Anzueto-Sánchez, Rubén Grajales-Coutiño and José Antonio Hoyo-Montaño
Optics 2025, 6(4), 58; https://doi.org/10.3390/opt6040058 - 19 Nov 2025
Abstract
The scientific community has been interested in lophine’s versatility and usage in various applications. Research has shown that humic acid is a material that exhibits interference with lophine. Humic molecules associate with each other in supramolecular conformations through weak hydrophobic interactions at alkaline
[...] Read more.
The scientific community has been interested in lophine’s versatility and usage in various applications. Research has shown that humic acid is a material that exhibits interference with lophine. Humic molecules associate with each other in supramolecular conformations through weak hydrophobic interactions at alkaline or neutral pH and hydrogen bonds at low pH. This work presents the characterization of a sensitive lophine layer based on water’s hydrogen ions (pH). We conducted a spectroscopy study to analyze how the absorbance at different amounts of lophine depends on pH. This study demonstrates the hyperchromic behavior of imidazole at various pH values, which may be utilized in an intrinsic fiber optic pH sensor. The dynamic range of the fiber optic sensor was 5 to 11.3 pH units. The sensor was developed by coating a thinned fiber with a sensitive lophine layer. It achieves a sensitivity of 0.27 dB/pH and a response time of 5 s.
Full article
(This article belongs to the Section Photonics and Optical Communications)
►▼
Show Figures

Figure 1
Open AccessArticle
Hybrid Routing and Spectrum Allocation in Elastic Optical Networks by Machine Learning and Topological Metrics
by
Renan Carvalho, Diego Pinheiro, Henrique Dinarte, Raul Almeida, Jr. and Carmelo Bastos-Filho
Optics 2025, 6(4), 57; https://doi.org/10.3390/opt6040057 - 14 Nov 2025
Abstract
To meet the increasing demands for data, elastic optical networks (EONs) require highly efficient resource management. While classical Routing and Spectrum Assignment (RSA) algorithms establish a path and allocate spectrum, advanced versions such as Routing, Modulation-format-selection, and Spectrum Assignment (RMSA) also optimize modulation
[...] Read more.
To meet the increasing demands for data, elastic optical networks (EONs) require highly efficient resource management. While classical Routing and Spectrum Assignment (RSA) algorithms establish a path and allocate spectrum, advanced versions such as Routing, Modulation-format-selection, and Spectrum Assignment (RMSA) also optimize modulation format selection. However, these approaches often lack adaptability to diverse network aspects. The hybrid routing and spectrum assignment (HRSA) algorithm offers a more flexible and robust approach by providing multiple choices between route (resource savings) and spectrum prioritization (fragmentation mitigation and network load balancing) for each network node pair. Despite its potential, the adaptive nature of HRSA introduces complexity, and the influence of topological features on its decisions remains not fully understood. This knowledge gap hinders the ability to optimize network design and resource allocation fully. This paper examines how topological features influence HRSA’s adaptive decisions regarding routing and spectrum assignment prioritization for source-destination node pairs in EONs. By employing machine learning approaches—Decision Tree (DT), Random Forest (RF), Extreme Gradient Boosting (XGBoost), and Support Vector Machine (SVM)—we model and identify the key topological features that influence HRSA’s decision-making. Then, we compare the models generated by each approach and extract insights using an a posteriori analysis technique to evaluate feature importance. Our results show the algorithm’s behavior is highly predictable (over 91% accuracy), with decisions driven primarily by the network’s structure and node metrics. This work advances the understanding of how topological features influence the RSA problem.
Full article
(This article belongs to the Section Photonics and Optical Communications)
►▼
Show Figures

Figure 1
Open AccessArticle
Photophysical, Electrochemical, Density Functional Theory, and Spectroscopic Study of Some Oligothiophenes
by
Mamoun M. Bader, Phuong-Truc T. Pham, Juri A. Busaili, Samar M. Alrifai, Sarah H. Younas and El Hadj Elandaloussi
Optics 2025, 6(4), 56; https://doi.org/10.3390/opt6040056 - 10 Nov 2025
Abstract
Dicyanovinyl (DCV) oligothiophenes are interesting materials due to their unique optical and electronic properties. They are relatively easy to prepare using Knoevenagel condensation reactions from the corresponding aldehydes. Understanding their optical and electrochemical characteristics is important for both building structure/property relationships and for
[...] Read more.
Dicyanovinyl (DCV) oligothiophenes are interesting materials due to their unique optical and electronic properties. They are relatively easy to prepare using Knoevenagel condensation reactions from the corresponding aldehydes. Understanding their optical and electrochemical characteristics is important for both building structure/property relationships and for optimizing their performance in various applications. We report on the electrochemical and photophysical properties of three oligothiophenes end-capped with dicyanovinyl -CH=C(CN)2 or DCV groups. The compounds included in this study are DCV-T-DCV (1), DCV-2T-DCV (2), and DCV-3T-DCV (3), where T represents one thiophene unit. Introduction of the DCV groups into oligothiophenes results in unique evolution of their electrochemical and optical behavior. First, new reversible two-electron reduction processes in the series DCV-nT-DCV start to appear with a gradual increase in the reduction potential with an increasing number of thiophene units. This was consistent with the electronic spectroscopic results. These results demonstrate that the DCV groups can be used in molecular design and fine-tuning of the optical and redox properties of oligothiophene and presumably this strategy can be extended to other conjugated organic molecules. We also report on the photophysical and vibrational spectroscopic properties of these compounds. The C=C stretching bands in Raman and IR spectra reveal more quinoidal nature in shorter molecules and more dominant benzoidal character in longer molecules. The DCV-induced modulation of electrochemical, optical, and vibrational properties highlights their potential in diverse optoelectronic applications.
Full article
(This article belongs to the Topic Nanomaterials for Photonics and Optoelectronics: Practical Applications and Advances)
►▼
Show Figures

Figure 1
Open AccessArticle
Multi-Channel Wide-Spectrum High-Resolution Spectrometer for Thin-Film Thickness Measurement
by
Tong Wu, Haopeng Li, Chuan Zhang, Jingwei Yu, Jianjun Liu, Zepei Zheng, Bosong Duan, Anyu Sun and Bingfeng Ju
Optics 2025, 6(4), 55; https://doi.org/10.3390/opt6040055 - 3 Nov 2025
Abstract
►▼
Show Figures
With the increasing application of oxide films in nuclear fuel assemblies, the accurate measurement of thin-film thickness has become increasingly critical. Traditional spectral interferometry techniques have limitations when dealing with new materials and complex structures; therefore, this study proposes a multi-channel wide-spectrum high-resolution
[...] Read more.
With the increasing application of oxide films in nuclear fuel assemblies, the accurate measurement of thin-film thickness has become increasingly critical. Traditional spectral interferometry techniques have limitations when dealing with new materials and complex structures; therefore, this study proposes a multi-channel wide-spectrum high-resolution analysis technique. This technique optimizes the utilization of photosensitive elements through multi-channel spectral sampling, combined with precision spectroscopic components and an independent optical focusing and imaging system. Simultaneously, it adopts optical correction technologies such as coma optimization and astigmatism correction to improve imaging quality and spectral resolution. Additionally, it enhances data accuracy by means of multi-channel calibration based on the least squares method and non-linear correction. The technique enables high-precision measurement ranging from the nanometer to the millimeter scale, resulting in a significantly wider measurement range compared to traditional spectrometers. Simulation verification shows that this technique outperforms existing technologies in information acquisition, analysis accuracy, and detection efficiency, and has broad application prospects in fields such as semiconductor chip manufacturing and optical coating. In the future, focus will be placed on expanding the spectral range, improving resolution, and enhancing real-time measurement capabilities.
Full article

Figure 1
Open AccessArticle
A Spatial Resolution-Based Evaluation Method for Subpixel Registration Algorithms
by
Fan Li, Junliang Yang, Hui Zhang and Pingquan Wang
Optics 2025, 6(4), 54; https://doi.org/10.3390/opt6040054 - 2 Nov 2025
Abstract
►▼
Show Figures
Digital image correlation (DIC) technology is widely employed in speckle-based measurement techniques, including X-ray speckle tracking. By enhancing DIC’s measurement capability to the subpixel scale through subpixel registration technology, the accuracy of such tracking methods is significantly improved. Consequently, selecting an appropriate subpixel
[...] Read more.
Digital image correlation (DIC) technology is widely employed in speckle-based measurement techniques, including X-ray speckle tracking. By enhancing DIC’s measurement capability to the subpixel scale through subpixel registration technology, the accuracy of such tracking methods is significantly improved. Consequently, selecting an appropriate subpixel registration algorithm becomes crucial for advancing the precision of both DIC and its application in tracking methods. Nevertheless, current evaluation approaches for these algorithms overlook spatial resolution—an essential metric not only for X-ray speckle tracking but also for other comparable methodologies. Inspired by the modulation transfer function, this study proposes a novel evaluation method that uses the root mean square error of displacement measurement at different spatial frequencies to assess spatial resolution. Two widely used subpixel registration algorithms—the peak-finding algorithm and the iterative spatial domain cross-correlation algorithm—are evaluated and compared. The result strongly contrasts with traditional evaluations based on ideal translational conditions, and underscores the necessity of incorporating spatial resolution and speckle size into algorithm selection criteria for practical applications.
Full article

Figure 1
Open AccessArticle
Quantum Beats of a Macroscopic Polariton Condensate in Real Space
by
Roman V. Cherbunin, Aleksey Liubomirov, Stella V. Kavokina, Denis Novokreschenov, Andrey Kudlis and Alexey V. Kavokin
Optics 2025, 6(4), 53; https://doi.org/10.3390/opt6040053 - 23 Oct 2025
Abstract
►▼
Show Figures
We experimentally observe harmonic oscillations in a bosonic condensate of exciton-polaritons confined within an elliptical trap. These oscillations arise from quantum beats between two size-quantized states of the condensate, split in energy due to the trap’s ellipticity. By precisely targeting specific spots inside
[...] Read more.
We experimentally observe harmonic oscillations in a bosonic condensate of exciton-polaritons confined within an elliptical trap. These oscillations arise from quantum beats between two size-quantized states of the condensate, split in energy due to the trap’s ellipticity. By precisely targeting specific spots inside the trap with nonresonant laser pulses, we control frequency, amplitude, and phase of these quantum beats. The condensate wave function dynamics is visualized on a streak camera and mapped to the Bloch sphere, demonstrating Hadamard and Pauli-Z operations. We conclude that a qubit based on a superposition of these two polariton states would exhibit a coherence time exceeding the lifetime of an individual exciton-polariton by at least two orders of magnitude.
Full article

Figure 1
Open AccessArticle
Rapid Discrimination of Platycodonis radix Geographical Origins Using Hyperspectral Imaging and Deep Learning
by
Weihang Xing, Xuquan Wang, Zhiyuan Ma, Yujie Xing, Xiong Dun and Xinbin Cheng
Optics 2025, 6(4), 52; https://doi.org/10.3390/opt6040052 - 13 Oct 2025
Abstract
►▼
Show Figures
Platycodonis radix is a commonly used traditional Chinese medicine (TCM) material. Its bioactive compounds and medicinal value are closely related to its geographical origin. The internal components of Platycodonis radix from different origins are different due to the influence of environmental factors such
[...] Read more.
Platycodonis radix is a commonly used traditional Chinese medicine (TCM) material. Its bioactive compounds and medicinal value are closely related to its geographical origin. The internal components of Platycodonis radix from different origins are different due to the influence of environmental factors such as soil and climate. These differences can affect the medicinal value. Therefore, accurate identification of Platycodonis radix origin is crucial for drug safety and scientific research. Traditional methods of identification of TCM materials, such as morphological identification and physicochemical analysis, cannot meet the efficiency requirements. Although emerging technologies such as computer vision and spectroscopy can achieve rapid detection, their accuracy in identifying the origin of Platycodonis radix is limited when relying solely on RGB images or spectral features. To solve this problem, we aim to develop a rapid, non-destructive, and accurate method for origin identification of Platycodonis radix using hyperspectral imaging (HSI) combined with deep learning. We captured hyperspectral images of Platycodonis radix slices in 400–1000 nm range, and proposed a deep learning classification model based on these images. Our model uses one-dimensional (1D) convolution kernels to extract spectral features and two-dimensional (2D) convolution kernels to extract spatial features, fully utilizing the hyperspectral data. The average accuracy has reached 96.2%, significantly better than that of 49.0% based on RGB images and 81.8% based on spectral features in 400–1000 nm range. Furthermore, based on hyperspectral images, our model’s accuracy is 14.6%, 8.4%, and 9.6% higher than the variants of VGG, ResNet, and GoogLeNet, respectively. These results not only demonstrate the advantages of HSI in identifying the origin of Platycodonis radix, but also demonstrate the advantages of combining 1D convolution and 2D convolution in hyperspectral image classification.
Full article

Figure 1
Open AccessArticle
Power-Compensated White Laser Underwater Imaging Applications Based on Transmission Distance
by
Weiyu Cai, Guangwang Ding, Xiaomei Liu, Xiang Li, Houjie Chen, Xiaojuan Ma and Hua Liu
Optics 2025, 6(4), 51; https://doi.org/10.3390/opt6040051 - 10 Oct 2025
Abstract
►▼
Show Figures
The complex aquatic environment attenuates light transmission, thereby limiting the detection range of underwater laser systems. To address the challenges of limited operational distance and significant light energy attenuation, this study investigates optimized underwater lighting and imaging applications using a combined tricolor RGB
[...] Read more.
The complex aquatic environment attenuates light transmission, thereby limiting the detection range of underwater laser systems. To address the challenges of limited operational distance and significant light energy attenuation, this study investigates optimized underwater lighting and imaging applications using a combined tricolor RGB (RED-GREEN-BLUE) white laser source. First, accounting for the attenuation characteristics of water, we propose a power-compensated white laser system based on transmission distance and underwater imaging theory. Second, underwater experiments are conducted utilizing both standard D65 white lasers and the proposed power-compensated white lasers, respectively. Finally, the theory is validated by assessing image quality metrics of the captured underwater imagery. The results demonstrate that a low-power (0.518 W) power-compensated white laser achieves a transmission distance of 5 m, meeting the requirements for a long-range, low-power imaging light source. Its capability for independent adjustment of the three-color power output fulfills the lighting demands for specific long-distance transmission scenarios. These findings confirm the advantages of power-compensated white lasers in long-range underwater detection and refine the characterization of white light for underwater illumination.
Full article

Figure 1
Open AccessArticle
Development of Projection Optical Microscopy and Direct Observation of Various Nanoparticles
by
Toshihiko Ogura
Optics 2025, 6(4), 50; https://doi.org/10.3390/opt6040050 - 9 Oct 2025
Abstract
The optical microscope is an indispensable observation instrument that has fundamentally contributed to progress in science and technology. Dark-field microscopy and scattered light imaging techniques enable high-contrast observation of nanoparticles in water. However, the scattered light is focused by the optical lenses, resulting
[...] Read more.
The optical microscope is an indispensable observation instrument that has fundamentally contributed to progress in science and technology. Dark-field microscopy and scattered light imaging techniques enable high-contrast observation of nanoparticles in water. However, the scattered light is focused by the optical lenses, resulting in a blurred image of the nanoparticle structure. Here, we developed a projection optical microscope (PROM), which directly observes the scattered light from the nanoparticles without optical lenses. In this method, the sample is placed below the focus position of the microscope’s objective lens and the projected light is detected by an image sensor. This enables direct observation of the sample with a spatial resolution of approximately 20 nm. Using this method, changes in the aggregation state of nanoparticles in solution can be observed at a speed faster than the video frame rate. Moreover, the mechanism of such high-resolution observation may be related to the quantum properties of light, making it an interesting phenomenon from the perspective of optical engineering. We expect this method to be applicable to the observation and analysis of samples in materials science, biology and applied physics, and thus to contribute to a wide range of scientific, technological and industrial fields.
Full article
(This article belongs to the Section Engineering Optics)
►▼
Show Figures

Figure 1
Open AccessArticle
Optimization of Convex Transmissive Volume Bragg Grating for Hyperspectral Imaging Applications
by
Yueying Li, Jiazhu Duan, Xiangjie Zhao, Yingnan Peng, Yongquan Luo, Dayong Zhang and Yibo Chen
Optics 2025, 6(4), 49; https://doi.org/10.3390/opt6040049 - 7 Oct 2025
Abstract
The Volume Bragg Grating (VBG) imaging technique provides a novel approach to gaze-type hyperspectral imaging. However, collimation constraints of the incident beam during narrow-band filtering and high-spatial-resolution imaging introduce system complexity, hindering miniaturization and modularization of the optical system. To address these limitations,
[...] Read more.
The Volume Bragg Grating (VBG) imaging technique provides a novel approach to gaze-type hyperspectral imaging. However, collimation constraints of the incident beam during narrow-band filtering and high-spatial-resolution imaging introduce system complexity, hindering miniaturization and modularization of the optical system. To address these limitations, this paper proposes a convex transmissive VBG structure with tunable design parameters to enhance the field of view (FOV), relax collimation requirements, improve imaging quality, narrow filter spectral bandwidth, and simplify the optical system design. For the precise analysis and optimization of convex VBG performance, we established a physical model for filtered imaging using a convex transmissive VBG with polychromatic extended sources. An evaluation metric termed the “Maximal Splitting Angle (MSA)” was introduced to quantify the dispersion extent of image spots. This approach was employed to investigate the intrinsic correlations between structural parameters (such as the radius of curvature, vector tilt angle, grating period, and thickness) and key system performance indicators (spatial resolution and spectral resolution). The necessity of optimizing these parameters was rigorously demonstrated. Theoretical analysis confirms that convex transmissive VBG achieves superior spatial and spectral resolution over planar VBG under reduced collimation constraints. The experimental results show a 58.5% enhancement in spatial resolution and a 63.6% improvement in spectral bandwidth for the convex transmissive VBG system. Crucially, while planar transmissive VBG suffers from stray fringe interference during wavelength tuning, its convex counterpart remains unaffected. This study proposes a novel device structure, offering new perspectives for optimizing VBG-filtered spectral imaging systems.
Full article
(This article belongs to the Topic Color Image Processing: Models and Methods (CIP: MM))
►▼
Show Figures

Figure 1
Open AccessArticle
Research on Synchronous Inversion Algorithm Based on Tri-Wavelength DIAL
by
Zhixiao Xu, Hangbo Hua, Jing Yu, Zhitian Niu and Ming Kong
Optics 2025, 6(4), 48; https://doi.org/10.3390/opt6040048 - 6 Oct 2025
Abstract
►▼
Show Figures
Traditionally, retrieving both temperature and CO2 concentration in atmospheric remote sensing has relied on two independent lidar systems, leading to increased system complexity and limited coordination. To address this challenge, we propose a coordinated retrieval approach using a three-wavelength differential absorption lidar
[...] Read more.
Traditionally, retrieving both temperature and CO2 concentration in atmospheric remote sensing has relied on two independent lidar systems, leading to increased system complexity and limited coordination. To address this challenge, we propose a coordinated retrieval approach using a three-wavelength differential absorption lidar (DIAL) system. A temperature-sensitive wavelength is selected to distinguish strong absorption from weak absorption, forming the tri-wavelength configuration. By exploiting the different sensitivities of absorption cross-sections to thermal and molecular variations, simultaneous retrieval of both parameters is achieved. A standard atmospheric profile under clean-air conditions is constructed. The CO2 absorption spectrum near 1573 nm is generated using Voigt line shapes and data from the HITRAN database. Extinction and backscatter coefficients are retrieved through the Klett method. A layer-by-layer solution of the coupled differential equations is then performed to extract temperature and concentration simultaneously. Results are benchmarked against the atmospheric model, demonstrating the feasibility of the approach. This method provides a promising pathway for high-precision, multi-parameter DIAL sensing.
Full article

Figure 1
Open AccessArticle
Simulations and Analysis of Spatial Transmission Efficiency of Wireless Optical Communications Across Sea–Air Media
by
Yingying Li, Zhuang Liu, Shuwan Yu, Qiang Fu, Yingchao Li, Chao Wang and Haodong Shi
Optics 2025, 6(4), 47; https://doi.org/10.3390/opt6040047 - 1 Oct 2025
Abstract
►▼
Show Figures
Wireless optical communication technology offers advantages, such as high-data transmission rates, confidentiality, and robust anti-interception capabilities, making it highly promising for cross-sea–air interface communication applications. However, to our knowledge, no studies have been conducted on the spatial transmission efficiency of light after it
[...] Read more.
Wireless optical communication technology offers advantages, such as high-data transmission rates, confidentiality, and robust anti-interception capabilities, making it highly promising for cross-sea–air interface communication applications. However, to our knowledge, no studies have been conducted on the spatial transmission efficiency of light after it passes through ocean waves. To address this issue, a seawater-wave–atmosphere model based on Gerstner waves was constructed. Using the Monte Carlo method, the optical power distributions of the laser light passing through the sea–air interface at the first- and second-level sea scales were simulated. The optimal positions for deploying one to three receiving optical systems were analyzed, and a laser communication receiving system was designed. Furthermore, simulations were conducted to determine the optical transmission efficiency of the designed optical receiver system. At the first-level sea scale, the optimal position for a single-point detector was (0°, ±5.61°), whereas those for the two detectors were (0°, ±5.61°) and (0°, ±5.68°). At the second-level sea scale, the optimal position for a single-point detector was (0°, ±3.17°), and the optimal positions for the two detectors were (0°, ±3.1°) and (0°, ±2.98°). Under the designed conditions, the optical transmission efficiency for a single detector at the first- and second-level sea scales was 0.74–0.88%, respectively, while it was 0.79–1.09% in the two-detector case. At the second-level sea scale, the optical transmission efficiency for a single detector was 0.37–2.09% and 0.50–1.97% in the two-detector case.
Full article

Figure 1
Highly Accessed Articles
Latest Books
E-Mail Alert
News
Topics
Topic in
Energies, Entropy, Photonics, Technologies, Optics, Solar
Advances in Solar Technologies, 2nd Edition
Topic Editors: Jayanta Deb Mondol, Annamaria Buonomano, Biplab DasDeadline: 31 March 2026
Topic in
Electronics, Photonics, Sensors, Energies, Optics
Quantum Wireless Sensing
Topic Editors: Deepak Mishra, Chao Cai, Jie ZhangDeadline: 30 April 2026
Topic in
Nanomaterials, Polymers, Photonics, Nanomanufacturing, Crystals, Applied Sciences, Optics
Nanomaterials for Photonics and Optoelectronics: Practical Applications and Advances
Topic Editors: Luciana R. P. Kassab, Raul Rangel-Rojo, Rafael Salas-MontielDeadline: 31 May 2026
Topic in
Applied Sciences, Optics, Sensors, Materials, Fibers, Photonics, Micromachines
Distributed Optical Fiber Sensors
Topic Editors: Jian Li, Hao Wu, Giancarlo C. Righini, Zhe Ma, Yahui WangDeadline: 30 June 2026
Conferences
Special Issues
Special Issue in
Optics
Advancements in Optical Imaging and Sensing for Biomedical and Environmental Applications
Guest Editors: Zhen Ding, Wei Zhang, Chen HuiDeadline: 31 December 2025
Special Issue in
Optics
Optical Network on Chip and Silicon Photonics
Guest Editor: Meisam AbdollahiDeadline: 31 January 2026
Special Issue in
Optics
Multimodal Vibrational Spectroscopy and Laser Applications in Molecular and Material Research
Guest Editors: Swapnil Singh, Pawan K. KanaujiaDeadline: 20 February 2026
Special Issue in
Optics
Advances in Biophotonics Using Optical Microscopy Techniques
Guest Editor: Ellas SpyratouDeadline: 28 February 2026






