Evaluating the Sustainable Development of Red Cultural Tourism in Yunnan, China, Using GIS and Machine Learning Methods
Abstract
1. Introduction
- (1)
- To conduct a comprehensive quantitative evaluation of the current status of red cultural tourism development in Yunnan, China, using GIS and interpretable machine learning methods.
- (2)
- To analyze the spatial distribution pattern of the current development status of red cultural tourism, providing scientific data and theoretical support for the sustainable integration and coordinated development of red cultural tourism resources in Yunnan, China.
- (3)
- To examine the mechanisms of synergy between social and ecological indicators.
2. Study Area and Data
2.1. Overview of the Study Area
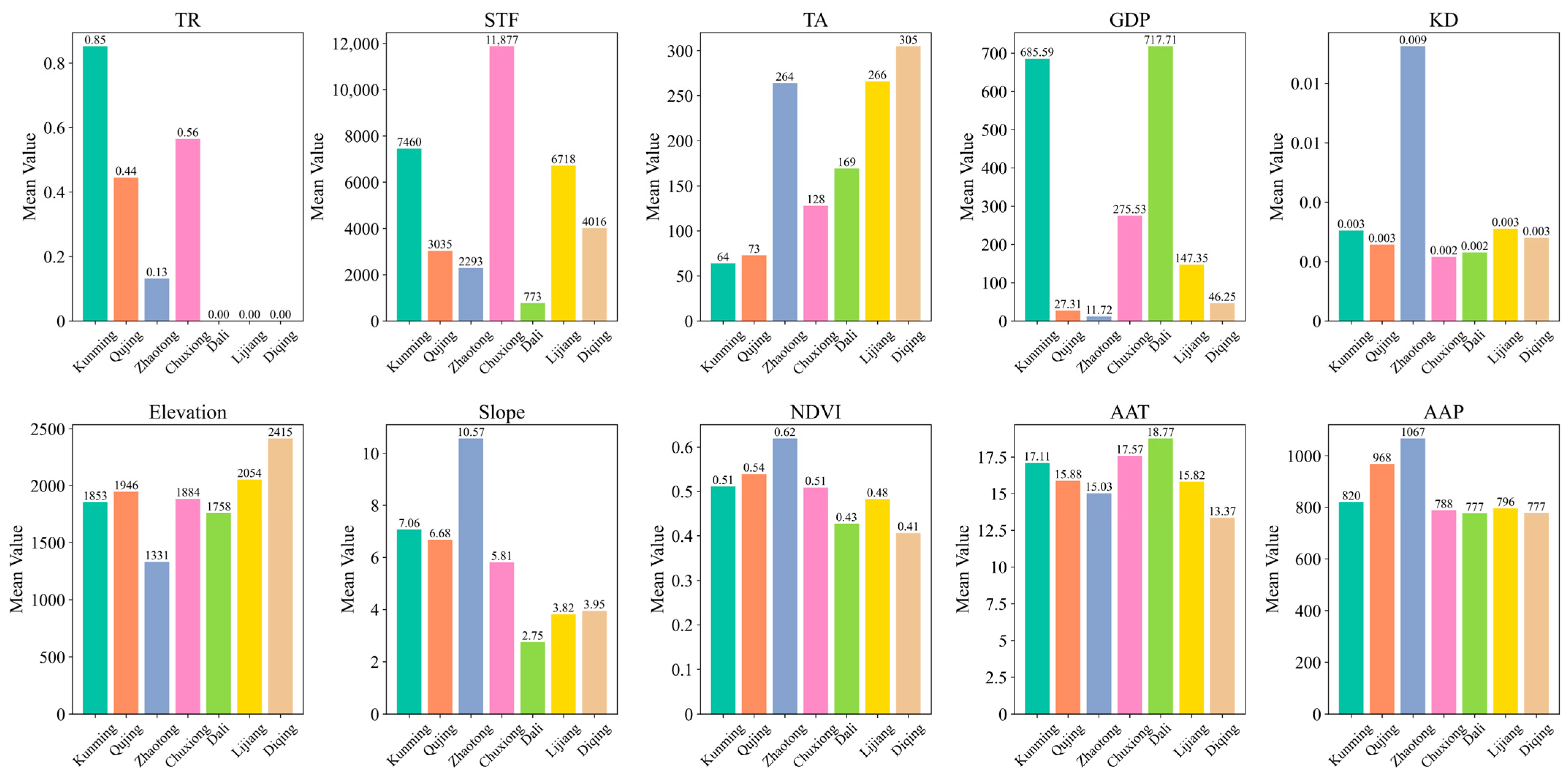
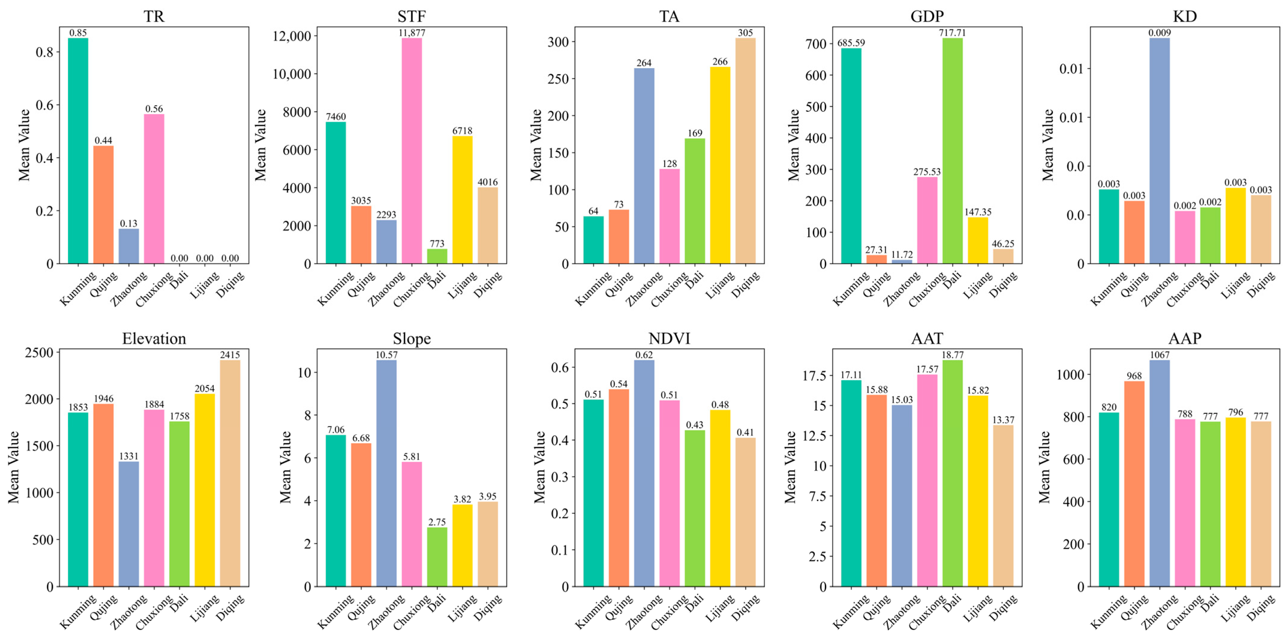
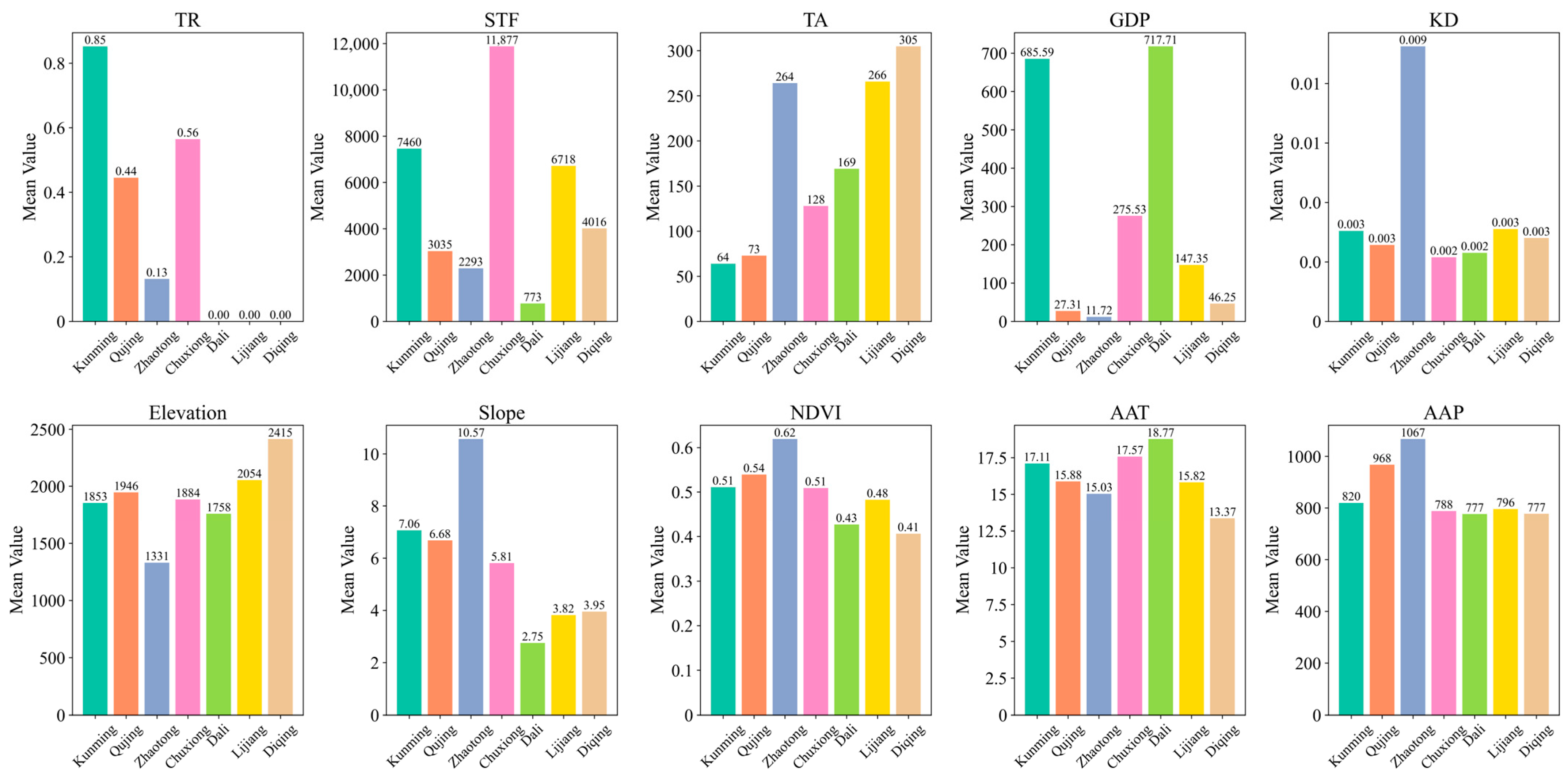
2.2. Data and Preprocessing
3. Methodology
3.1. Spatial Pattern Analysis
3.1.1. Kernel Density
3.1.2. Transportation Accessibility
3.2. Evaluation of the Current Development Status
3.2.1. K-Means Model
3.2.2. XGBoost Model
3.2.3. Inverse Distance Weighting Spatial Interpolation
3.3. Discussion of the Synergistic Mechanism
4. Results
4.1. Spatial Pattern
4.2. Development Status
4.3. Indicator Contribution
5. Discussion
5.1. Social–Ecological Synergistic Mechanism
5.2. Region-Specific Sustainable Development
6. Conclusions
- (1)
- This study constructs a multidimensional framework for evaluating the sustainable development of red cultural tourism in Yunnan based on the concept of “social–ecological” synergy. It situates the development of red cultural tourism resources within the broader context of sustainable tourism and the Social–Ecological System (SES) theory, addressing the limitation of previous studies that overly focused on ideological education, tourism experience, or economic benefits while neglecting ecological constraints.
- (2)
- The development level of red cultural tourism in Yunnan exhibits significant regional imbalance, generally showing a spatial pattern of “high in the southeast, low in the northwest.” Kunming, Qujing, and Zhaotong present relatively high overall development levels, while northwestern regions including Diqing and Lijiang lag behind.
- (3)
- Annual average precipitation (AAP), transportation accessibility (TA), and annual average temperature (AAT) are the core indicators influencing the development of red cultural tourism resources. Among them, transportation conditions and resource clustering play a dominant role in social influence, while climatic and topographic factors hold key significance for ecological carrying capacity.
- (4)
- Regions such as northeastern Zhaotong show stability across different indicator models, reflecting a relatively balanced “social–ecological” synergistic system. In contrast, cities such as Dali and Qujing exhibit differences across indicator models, suggesting that their development is constrained by the lack of coordination between social and ecological factors.
- (1)
- Formulating differentiated regional development strategies. The northwest and northeast should focus on improving transportation infrastructure and digital promotion platforms to enhance transportation accessibility (TA) and visibility, while strictly protecting ecological authenticity [50]. The more developed southeast should further emphasize green infrastructure construction and low-impact environmental development to avoid ecological degradation caused by over-tourism.
- (2)
- Promoting multi-departmental coordinated governance. It is recommended to establish cross-departmental coordination mechanisms, integrating the management of red tourism resources into the overall planning of the Long March National Cultural Park, rural revitalization, and ecological civilization construction, thereby achieving multi-objective synergy of cultural heritage preservation, economic development, and ecological protection [16].
- (3)
- Establishing dynamic monitoring and adaptive management mechanisms. It is encouraged to adopt a combination of long-term positioning monitoring and real-time updates of socio-economic data, developing a series of WebGIS to evaluate the “social–ecological” synergy status of red tourism sites in real time and to adjust management strategies accordingly [51].
Author Contributions
Funding
Data Availability Statement
Acknowledgments
Conflicts of Interest
References
- Wang, K.; Zhao, Y.; Tan, J.; Gan, C. A Study on the Social Well-Being Effect of the Integrated Development of China’s Cultural and Tourism Industries. J. Southwest Univ. (Soc. Sci. Ed.). 2024, 50, 214–226. [Google Scholar] [CrossRef]
- Chen, S. The Inheritance and Protection of Intangible Cultural Heritage Under the Background of Cultural and Tourism Integration—Take Shanghai “Shanghai Intangible Cultural Heritage” as an Example. Acad. J. Manag. Soc. Sci. 2024, 9, 1–6. [Google Scholar] [CrossRef]
- Wang, Z.; Sun, D. Research on the Protection and Inheritance of Lingbi Zhong Kui Painting in the Context of Cultural Tourism Integration. Front. Art Res. 2023, 5, 99–105. [Google Scholar] [CrossRef]
- Kong, H.T.T.; Zou, R.; Xiao, H. Twenty years of red tourism research: A systematic literature review using the theories-contexts-characteristics-methods framework. Tour. Manag. Perspect. 2025, 58, 101390. [Google Scholar] [CrossRef]
- Wu, J. Study on the Impact Mechanism of Red Tourism on Ideological and Political Education Among College Students. Int. J. Soc. Sci. Educ. Res. 2025, 8, 123–132. [Google Scholar] [CrossRef]
- Bai, Y.; Wang, M.; Xu, X.; Li, J.; Cheng, X. Analysis of Population Flow Changes in Red Tourism Counties of China Before and After the COVID-19 Pandemic Based on Mobile Signaling Data. Sustainability 2025, 17, 148. [Google Scholar] [CrossRef]
- Wu, J.; Chen, X.; Xu, X. Under the Background of Rural Revitalization, Jiaxing Red Cultural Tourism-Taking Sanxing Village as an Example. Lit. Art Dev. Innov. 2024, 1, 89–92. [Google Scholar] [CrossRef]
- He, H.; Li, X.; Peng, B.; Shen, Z. Research on the Interactive Interface Design of Zhaoqing Red Culture Tourism in the Context of Rural Revitalization. Sci. J. Humanit. Soc. Sci. 2024, 6, 233–242. [Google Scholar] [CrossRef]
- Cao, X. Study on the Strategy of Red Literature and Tourism Brand Communication Helping Study Tourism Economic Development in Liaoning Province under the Background of Internet. Appl. Math. Nonlinear Sci. 2024, 9, 1–18. [Google Scholar] [CrossRef]
- Wang, F.; Sanagustín-Fons, V.; Martínez-Quintana, V. Red Tourism and Youth Education: A Systematic Review of the Literature. Societies 2025, 15, 69. [Google Scholar] [CrossRef]
- Lv, F.; He, J.; He, F.; Wang, Y. Research on the Fusion Path of Cultural Tourism of Shenyang Red Cultural Resources. E3S Web Conf. 2020, 179, 02120. [Google Scholar] [CrossRef]
- He, Y.; Peng, Z.; Zeng, B.; Zheng, Q.; Wang, J. Study on the Construction of Collective Memory and Heritage Identity of Residents in Red Cultural Heritage Sites—Taking Tongdao Red Army Long March Transfer Memorial Hall as an Example. Tour. Sci. 2025, 1–15. [Google Scholar] [CrossRef]
- Wang, J.; Li, M.; Ma, X.; Wang, J. Research on the Design of Red Culture Tourism Sign Guiding System-Taking the Former Central Soviet District of Gannan as an Example. E3S Web Conf. 2020, 179, 02038. [Google Scholar] [CrossRef]
- Wang, H.; Zhang, B.; Qiu, H. How a hierarchical governance structure influences cultural heritage destination sustainability: A context of red tourism in China. J. Hosp. Tour. Manag. 2022, 50, 421–432. [Google Scholar] [CrossRef]
- Lin, C. Red Tourism: Rethinking Propaganda as a Social Space. Commun. Crit. Cult. Stud. 2015, 12, 328–346. [Google Scholar] [CrossRef]
- Xiang, J. Study on Yunnan Weixin Red Tourism development under the background of the Long March National Cultural Park. Yunnan Univ. Finance Econ. 2022. [Google Scholar] [CrossRef]
- Qin, Y.; Cao, L.; Li, W.; Darvishi Boloorani, A.; Li, Y.; Ke, X.; Soleimani, M.; Yu, Q.; Zhou, C. Suitability Assessment Method of Red Tourism Development Using Geospatial and Social Humanity Data: A Case Study of Ruijin City, East China. Sustainability 2023, 15, 8582. [Google Scholar] [CrossRef]
- Li, Z.; Rehman, A.; Zhao, B.; Peng, J. Analysis of the Relationship Between Tourist Motivation, Satisfaction and Loyalty for China Special Theme Tourism. Asian Res. J. Arts Soc. Sci. 2016, 1, 1–14. [Google Scholar] [CrossRef]
- Liao, Z.; Wang, L. Spatial differentiation and influencing factors of red tourism resources transformation efficiency in China based on RMP-IO analysis. Sci. Rep. 2024, 14, 10761. [Google Scholar] [CrossRef]
- Liang, S. Research on Route Planning of Red Tourist Attractions in Guangzhou Based on Ant Colony Algorithm. Autom. Mach. Learn. 2023, 4, 8–16. [Google Scholar] [CrossRef]
- Zhou, X.; Guo, Y.; Xie, X.; Liu, C.; Zhang, F. The influence of a destination’s red cultural atmospherics on tourists’ confidence in Chinese culture. Front. Psychol. 2022, 13, 992125. [Google Scholar] [CrossRef] [PubMed]
- Sejati, A.W.; Putri, S.N.A.K.; Tyas, W.P.; Buchori, I.; Handayani, W.; Basuki, Y.; Barbarossa, G.; Husna, I.N. Predicting urban carrying capacity to support sustainable tourism using GIS. J. Policy Res. Tour. Leis. Events 2025, 17, 632–655. [Google Scholar] [CrossRef]
- Wang, H.; Xue, P.; Dong, J.; Jo, W.M. Understanding Memorable Red Tourism Experiences Using the Q Method. J. Resour. Ecol. 2025, 16, 856–867. [Google Scholar] [CrossRef]
- Kim, J.H. The effect of red tourism on the balanced development of the regional economy in China. Korean J. Hosp. Tour. 2018, 27, 225–241. [Google Scholar] [CrossRef]
- Zhou, H.; Zhang, Q.; Lu, L.; Jiang, Y.; Wu, K. Research on the influence path of red tourism experience on tourists’ well-being: Based on the chain mediating role of tourists’ emotion and national identity. BMC Psychol. 2025, 13, 105. [Google Scholar] [CrossRef]
- Zhou, X.; Wong, J.W.C.; Wang, S. Memorable Tourism Experiences in Red Tourism: The Case of Jiangxi, China. Front. Psychol. 2022, 13, 899144. [Google Scholar] [CrossRef]
- Tang, W.; Zhang, L.; Yang, Y. Can red tourism construct red memories? Evidence from tourists at Mount Jinggang, China. J. Destin. Mark. Manag. 2021, 20, 100618. [Google Scholar] [CrossRef]
- Zhou, H.; Zhang, Q.; Jiang, Y.; Wang, F. Can red tourism lead to spiritual transformation? Evidence from tourists visiting the Red Army Long March Xiangjiang Battle Memorial Park. PLoS ONE 2023, 18, 0280920. [Google Scholar] [CrossRef]
- Qian, L.; Guo, J.; Ren, L.; Qiu, H.; Zheng, C. Consuming communist heritage in China: User-generated image of red tourism via photographs. Tour. Rev. 2025, 80, 1193–1208. [Google Scholar] [CrossRef]
- Zuo, Z. The Influence of Ritual Sense in Red Tourism on Tourists’ Civic Behavior: The Mediating Role of Awe Emotion. Acad. J. Manag. Soc. Sci. 2025, 10, 153–159. [Google Scholar] [CrossRef]
- Zhao, N.; Liu, Y.; Cao, G.; Samson, E.L.; Zhang, J. Forecasting China’s GDP at the pixel level using nighttime lights time series and population images. GISci. Remote Sens. 2017, 54, 407–425. [Google Scholar] [CrossRef]
- Yang, Z.; Hou, S.; Yang, L.; Ning, D.; Li, Y.; Ning, D.; Li, J.; Long, Q.; Zhou, Z.; Xin, F.; et al. Guide to the Yunnan Province Party History Study and Education Experience Route; Yunnan Publishing Media Co., Ltd.: Kunming, China, 2021; pp. 4–337. [Google Scholar]
- Laasasenaho, K.; Lensu, A.; Lauhanen, R.; Rintala, J. GIS-data related route optimization, hierarchical clustering, location optimization, and kernel density methods are useful for promoting distributed bioenergy plant planning in rural areas. Sustain. Energy Technol. Assess. 2019, 32, 47–57. [Google Scholar] [CrossRef]
- Liu, Y.; Gu, H.; Shi, Y. Spatial Accessibility Analysis of Medical Facilities Based on Public Transportation Networks. Int. J. Environ. Res. Public Health 2022, 19, 16224. [Google Scholar] [CrossRef] [PubMed]
- Hu, Y.; Jiang, K.; Chen, Z.; Chen, T.; Xue, Y.; Wang, W. Analysis of the spatial structure of tourism resources and traffic accessibility in mountainous counties: Taking Luanchuan County, Henan Province as an example. Res. Agric. Mod. 2023, 44, 869–880. [Google Scholar] [CrossRef]
- Bouabdallaoui, I.; Guerouate, F.; Sbihi, M. Combination of genetic algorithms and K-means for a hybrid topic modeling: Tourism use case. Evol. Intell. 2023, 17, 1801–1817. [Google Scholar] [CrossRef]
- Chen, M.; Gao, Y.; Cheng, J. Layout of Tourist Scenic Road Network Based on Network User Evaluation Data+. Geogr. Geo-Inf. Sci. 2024, 40, 18. [Google Scholar] [CrossRef]
- Song, T.; Yan, Q.; Fan, C.; Meng, J.; Wu, Y.; Zhang, J. Significant Wave Height Retrieval Using XGBoost from Polarimetric Gaofen-3 SAR and Feature Importance Analysis. Remote Sens. 2023, 15, 149. [Google Scholar] [CrossRef]
- Dang, M.; Yang, S. Design Method for Travel E-commerce Platform Based on HHO improved K-means Clustering Algorithm. EAI Endorsed Trans. Scalable Inf. Syst. 2024, 11, 5782. [Google Scholar] [CrossRef]
- Haider, M.H.; Abaas, J.I.; Saleem, E.; Basim, M.A. Developing Spatial Models of Groundwater Quality in the Southwestern Desert of Iraq Using GIS, Inverse Distance Weighting, and Kriging Interpolation Techniques. Math. Model. Eng. Probl. 2023, 10, 1169–1179. [Google Scholar] [CrossRef]
- Beshr, A.A.A.; Kaloop, M.R. Using modified inverse distance weight and principal component analysis for spatial interpolation of foundation settlement based on geodetic observations. Open Geosci. 2022, 14, 1310–1323. [Google Scholar] [CrossRef]
- Liu, K.; Liao, C. Examining the importance of neighborhood natural, and built environment factors in predicting older adults’ mental well-being: An XGBoost-SHAP approach. Environ. Res. 2024, 262, 119929. [Google Scholar] [CrossRef] [PubMed]
- Kuang, B.; Yang, H.; Jung, T. The Impact of Visual Elements in Street View on Street Quality: A Quantitative Study Based on Deep Learning, Elastic Net Regression, and SHapley Additive exPlanations (SHAP). Sustainability 2025, 17, 3454. [Google Scholar] [CrossRef]
- Huang, X.; Wang, J.; Wang, Z.; Wang, L.; Cheng, C. Experimental study on the influence of virtual tourism spatial situation on the tourists’ temperature comfort in the context of metaverse. Front. Psychol. 2023, 13, 1062876. [Google Scholar] [CrossRef] [PubMed]
- Nicolau, J.L.; Casado, D.A.B.; Navarro, R.S. Assessing the effects of interaction with attractions and types of visit on day trippers’ satisfaction. Curr. Issues Tour. 2024, 27, 1299–1315. [Google Scholar] [CrossRef]
- Yan, Y.; Che, L.; Wu, D.; Zhang, C.; Liu, D. Study on Vertical Planning and Design of Road Network and Site of High-speed Railway Hub Area Under Complex Topographic Condition. Urban Roads Bridges Flood Control 2021, 2, 6–8. [Google Scholar] [CrossRef]
- Qu, Y.; Zhao, W.; Zhan, L.; Zhan, L.; Cui, Y.; Li, Y. Unlocking rural resources for revitalization: Examining the process and impact of compensated use of rural residential land through a social-ecological system framework. Habitat Int. 2025, 166, 103581. [Google Scholar] [CrossRef]
- Xin, S.; Chen, N.; Li, Z. Enhancing ecosystem services and socio-ecological system coupling coordination through LULC optimization. Ecol. Indic. 2025, 179, 114160. [Google Scholar] [CrossRef]
- Dan, C. Discussion on the Integration of Beihai Red Resources into the Ideological and Political Teaching of Landscape Painting Course. Curr. Teach. Methodol. 2023, 6, 31–39. [Google Scholar] [CrossRef]
- Skandali, D. Metaverse Tourism: Opportunities, AI-Driven Marketing, and Ethical Challenges in Virtual Travel. Encyclopedia 2025, 5, 135. [Google Scholar] [CrossRef]
- Sang, K.; Piovan, S.; Fontana, G.L. A WebGIS for Visualizing Historical Activities Based on Photos: The Project of Yunnan–Vietnam Railway Web Map. Sustainability 2021, 13, 419. [Google Scholar] [CrossRef]
- Gricar, S.; Šugar, V.; Starc, J. Interrelationships Among Tourism, Economic, and Environmental Time Series—The Case of Slovenia. Sustainability 2023, 15, 14488. [Google Scholar] [CrossRef]







| Indicator Categories | Data Used | Data Source |
|---|---|---|
| Social Influence | Tourist Ratings (TR) in 2025 | Baidu Maps (https://map.baidu.com/) (accessed on 14 January 2025) |
| Search Term Frequency (STF) in 2025 | Baidu Baike (https://baike.baidu.com/) (accessed on 14 January 2025) | |
| Transportation Network (TN) in 2020 | Xingtu Cloud Open Platform (https://open.geovisearth.com/) (accessed on 6 November 2024) | |
| GDP in 2020 | GitHub (https://github.com/thestarlab/ChinaGDP) (accessed on 30 May 2025) [31] | |
| Red Cultural Tourism Resource POI in 2024 | The Yunnan Provincial Committee of the Communist Party of China and Amap (https://ditu.amap.com/) (accessed on 14 January 2025) [32] | |
| Ecological Carrying Capacity | Elevation in 2023 | Geospatial Data Cloud (http://www.gscloud.cn/) (accessed on 30 May 2025) |
| Slope in 2023 | Obtain from ArcGIS Processing of Elevation Data | |
| NDVI in 2024 | NASA Earth Observation Data (https://www.earthdata.nasa.gov/) (accessed on 30 May 2025) | |
| Annual Average Temperature (AAT) in 2023 | National Qinghai–Tibet Plateau Scientific Data Center Platform (https://data.tpdc.ac.cn/zh-hans/data/faae7605-a0f2-4d18-b28f-5cee413766a2) (accessed on 30 May 2025) | |
| Annual Average Precipitation (AAP) in 2023 | National Qinghai–Tibet Plateau Scientific Data Center Platform (https://data.tpdc.ac.cn/zh-hans/data/71ab4677-b66c-4fd1-a004-b2a541c4d5bf) (accessed on 30 May 2025) |
| Road Levels | National Roads | Provincial Roads | County Roads | Rural Roads | Urban Roads |
|---|---|---|---|---|---|
| Speed (km/h) | 80 | 60 | 40 | 20 | 25 |
| City | Name | SI Score | ECC Score | C Score |
|---|---|---|---|---|
| Kunming | Red Army Long March Kedu Memorial Hall | 55.07 | 54.76 | 62.98 |
| Qujing | Sanyuanggong Red Army Long March Memorial Park in Qujing | 50.78 | 62.54 | 45.89 |
| Zhaotong | Zhaxi Conference Memorial Hall | 70.20 | 68.00 | 69.41 |
| Dali | Red Army Long March Exhibition Hall in Dali | 33.17 | 65.40 | 43.65 |
| Indicator Categories | Social Influence | Ecological Carrying Capacity | Comprehensive |
|---|---|---|---|
| Variance Among Cities | 121.26 | 39.84 | 72.51 |
Disclaimer/Publisher’s Note: The statements, opinions and data contained in all publications are solely those of the individual author(s) and contributor(s) and not of MDPI and/or the editor(s). MDPI and/or the editor(s) disclaim responsibility for any injury to people or property resulting from any ideas, methods, instructions or products referred to in the content. |
© 2025 by the authors. Licensee MDPI, Basel, Switzerland. This article is an open access article distributed under the terms and conditions of the Creative Commons Attribution (CC BY) license (https://creativecommons.org/licenses/by/4.0/).
Share and Cite
Zhou, Z.; Cheng, F.; Shen, S.; Gao, Y.; Li, Z.; Wang, J. Evaluating the Sustainable Development of Red Cultural Tourism in Yunnan, China, Using GIS and Machine Learning Methods. Reg. Sci. Environ. Econ. 2025, 2, 32. https://doi.org/10.3390/rsee2040032
Zhou Z, Cheng F, Shen S, Gao Y, Li Z, Wang J. Evaluating the Sustainable Development of Red Cultural Tourism in Yunnan, China, Using GIS and Machine Learning Methods. Regional Science and Environmental Economics. 2025; 2(4):32. https://doi.org/10.3390/rsee2040032
Chicago/Turabian StyleZhou, Zetong, Feng Cheng, Siyi Shen, Yechuan Gao, Zhi Li, and Jie Wang. 2025. "Evaluating the Sustainable Development of Red Cultural Tourism in Yunnan, China, Using GIS and Machine Learning Methods" Regional Science and Environmental Economics 2, no. 4: 32. https://doi.org/10.3390/rsee2040032
APA StyleZhou, Z., Cheng, F., Shen, S., Gao, Y., Li, Z., & Wang, J. (2025). Evaluating the Sustainable Development of Red Cultural Tourism in Yunnan, China, Using GIS and Machine Learning Methods. Regional Science and Environmental Economics, 2(4), 32. https://doi.org/10.3390/rsee2040032

