Who Eats the Grass? Grazing Pressure and Interactions Between Wild Kangaroos, Feral Goats and Rabbits, and Domestic Sheep on an Arid Australian Rangeland
Simple Summary
Abstract
1. Introduction
2. Materials and Methods
2.1. Study Site
2.2. Transect Survey Lines
2.3. Vegetation Survey
2.3.1. Wheel-Point Estimates of Plant Biomass
2.3.2. Vegetation Surveys of Exclosure and Control Plots
2.4. Estimates of Mammalian Herbivore Densities and Metabolic Mass
2.4.1. Kangaroos
2.4.2. Sheep
2.4.3. Rabbits
2.4.4. Goats
2.4.5. Metabolic Mass
2.5. Grazing Impact: Comparison of Grazed and Ungrazed Plots (Exclosure Analysis)
2.5.1. Vegetation Variables and Herbivore Dung Collection
2.5.2. Herbivore Plot Usage: 24 h Timelapse Videography
2.6. Statistical Analysis
2.7. Animal Ethics
3. Results
3.1. Relationship of Change in Plant Biomass to Rainfall, Temperature, and Herbivore Density
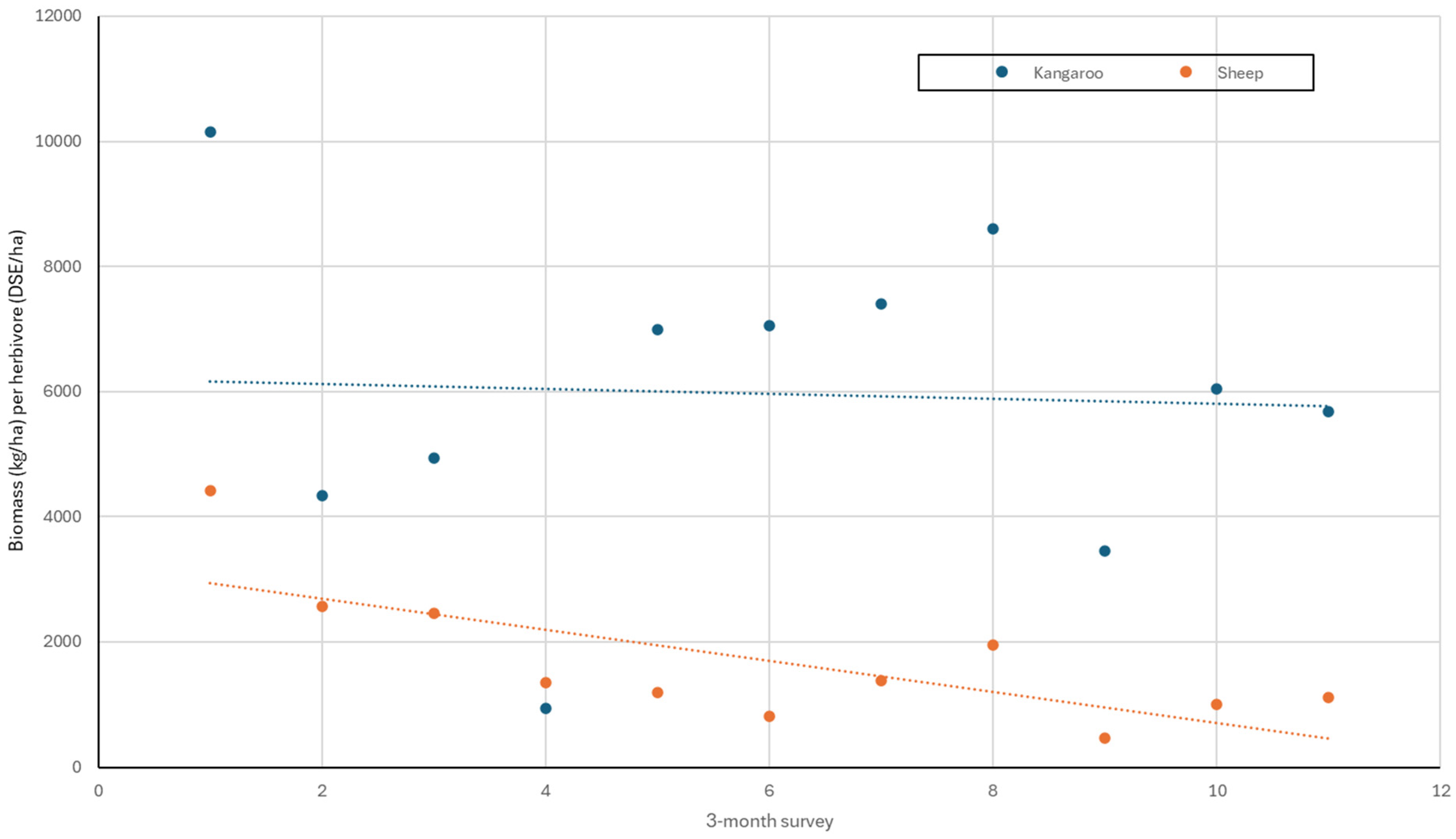
3.2. Biomass Availability per Herbivore (DSE)—Grazing Pressure
3.3. Relative Herbivore Load
3.4. Short-Term Relationships Between Herbivore Density and Vegetation Biomass
3.5. Effects of Grazing—Exclosure Versus Grazing Plots
3.5.1. Effects on Pasture and Its Components
3.5.2. Herbivore Usage and Grazing Effects on Plots
4. Discussion
4.1. Grazing Pressure and Relative Change in Pasture Biomass
4.2. Pasture Offtake in Stocked and Unstocked Paddocks
4.3. Management of Grazing Pressure
Author Contributions
Funding
Institutional Review Board Statement
Data Availability Statement
Acknowledgments
Conflicts of Interest
Appendix A
| Land Class | Soil Type | Vegetation Community | Survey Year |
|---|---|---|---|
| 12 | 2—Plains with gilgais, channels and depressions: clay and texture contrast | Cottonbush | 1986 |
| 13 | 2—Plains with gilgais, channels and depressions: clay and some texture contrast | Saltbush and cottonbush Cottonbush | 1986 |
| 14 | 2—Plains with gilgais, channels and depressions: clay and some texture contrast | Cottonbush and bluebush | 1986 |
| 15 | 2—Plains with gilgais, channels and depressions: mixed clay and texture contrast | Copperburrs | 1986 |
| 16 | 2—Broad low ridges with complex mosaic of hummock, scalds and stony surfaces: heavy clay | Cottonbush and Copperburrs | 1986 |
| 17 | 1—Broad low ridges with complex mosaic of hummock, scalds and stony surfaces: texture contrast | Copperburrs | 1986 |
| 18 | 2—Broad low ridges with complex mosaic of hummock, scalds and stony surfaces: clay and texture contrast | Cottonbush | 1986 |
| 19 | 2—Plains with clay and texture contrast soils, scalded hummock surfaces, soft (reclaimed) scalds and depressions: heavy clay | Cottonbush | 1986 |
| 20 | 2—Plains with clay and texture contrast soils, scalded hummock surfaces, soft (reclaimed) scalds and depressions: heavy clay | Cottonbush and saltbush | 1986 |
| 21 | 2—Plains with clay and texture contrast soils, scalded hummock surfaces, soft (reclaimed) scalds and depressions: mixed | Cottonbush and copperburrs | 1986 |
| 22 | 2—Plains with clay and texture contrast soils, scalded hummock surfaces, soft (reclaimed) scalds and depressions: mixed | Cottonbush—saltbush plains | 1986 |
| 25 | 1—Heavily scalded texture contrast | Saltbush—cottonbush | 1991 |
| 26 | 2—Texture contrast/heavy clay | plains | 1991 |
| Cottonbush | |||
| 28 | 2—degraded texture contrast/heavy clay | Mitchell grass | 1991 |
| Saltbush plains | |||
| 31 | 3—heavy clay depressions with scalding | Grass | 1991 |
| 32 | 3—heavy clay depressions | Bluebush plains | 1991 |
| 33 | 4—footslopes—desert loam soils | Saltbush plains | 1991 |
| 34 | 4—desert loam soils | Dense saltbush | 1991 |
| 35 | 4—desert loam soils | 1991 | |
| 36 | 4—desert loam soils | 1991 | |
| 37 | 5—footslopes—brown gibber soils | 1991 |
References
- Pickup, G.; Stafford Smith, D.M. Integrating models of soil dynamics, animal behaviour and vegetation response for the management of arid lands. Aust. Geogr. 1987, 18, 19–23. [Google Scholar] [CrossRef]
- Stafford Smith, D.M. Behavioural Ecology of Sheep in the Australian Arid Zone. Ph.D. Thesis, Australian National University, Canberra, NSW, Australia, 1984. [Google Scholar]
- Freudenberger, D.; Landsberg, J. Management of Stock Watering Points and Grazing to Maintain Landscape Function and Biological Diversity in Rangelands. In Management for Sustainable Ecosystems; Hale, P., Petrie, A., Moloney, D., Sattler, P., Eds.; Centre for Conservation Biology: Brisbane, QLD, Australia, 2000; pp. 71–77. [Google Scholar]
- Lange, R.T. The piosphere: Sheep track and dung patterns. J. Range Manag. 1969, 22, 396–400. [Google Scholar] [CrossRef]
- Thrash, I. Determinants of the extent of indigenous large herbivore impact on herbaceous vegetation at watering points in the north-eastern lowveld, South Africa. J. Arid. Environ. 2000, 44, 61–72. [Google Scholar] [CrossRef]
- Harrington, G.N.; Wilson, A.D.; Young, M.D. Management of Rangeland Ecosystems. In Management of Australia’s Rangelands; Harrington, G.N., Wilson, A.D., Young, M.D., Eds.; CSIRO: Melbourne, VIC, Australia, 1984. [Google Scholar]
- Caughley, G.; Gunn, A. Dynamics of large herbivores in deserts: Kangaroos and caribou. Oikos 1993, 67, 47–55. [Google Scholar] [CrossRef]
- Caughley, G. Ecological Relationships. In Kangaroos Their Ecology and Management in the Sheep Rangelands of Australia; Caughley, G., Shepherd, N., Short, J., Eds.; Cambridge University Press: Cambridge, UK, 1987; pp. 159–187. [Google Scholar]
- Caughley, G.; Lawton, J.H. Plant-Herbivore Systems. In Theoretical Ecology; May, R.M., Ed.; Blackwell, Scientific Publications: Oxford, UK, 1981; pp. 132–166. [Google Scholar]
- Gasaway, W.C.; Gasaway, K.T.; Berry, H.H. Persistent low densities of plains ungulates in Etosha National Park, Namibia: Testing the food-regulating hypothesis. Can. J. Zool. 1996, 74, 1556–1572. [Google Scholar] [CrossRef]
- McLeod, S.R. Is the concept of carrying capacity useful in variable environments? Oikos 1997, 79, 529–542. [Google Scholar] [CrossRef]
- Ludwig, J.A.; Freudenberger, D. Towards a Sustainable Future for Rangelands. In Landscpe Ecology, Function and Management: Principles from Australia’s Rangelands; Ludwig, J., Tongway, D., Freudenberger, D., Noble, J., Hodgkinson, K., Eds.; CSIRO: Melbourne, VIC, Australia, 1997; pp. 121–131. [Google Scholar]
- Johnston, P.W.; Tannock, P.R.; Beale, I.F. Objective ‘safe’ grazing capacities for south-west Queensland Australia: Model application and evaluation. Rangel. J. 1996, 18, 259–269. [Google Scholar] [CrossRef]
- Hodgkinson, K.C. Elemensts of Grazing Strategies for Perennial Grass Managementin Rangelands. In Desertified Grasslands: Their Biology and Management; Chapman, G.P., Ed.; Linnean Society: London, UK, 1992; pp. 77–94. [Google Scholar]
- Graetz, R.D.; Wilson, A.D. Saltbush and Bluebush. In Management of Australia’s Rangelands; Harrington, G.N., Wilson, A.D., Young, M.D., Eds.; CSIRO: Melbourne, VIC, Australia, 1984. [Google Scholar]
- Grice, D.; Barchia, I. Does grazing reduce survival of indigenous perennial grasses of the semi-arid woodlands of western New South Wales? Aust. J. Ecol. 1992, 17, 195–205. [Google Scholar] [CrossRef]
- Hodgkinson, K.C.; Cook, J.D. The Ecology of Perennial Grass Collapse After Grazing. In Ecological Research and Management in the Mulgaland: Conference Proceedings, 5–6 July 1994; M.J., Beutel, T.S., Eds.; University of Queensland Gatton College: Lawes, QLD, Australia, 1995. [Google Scholar]
- Freudenberger, D.; Noble, J.; Hodgkinson, K. Management for Production and Conservation Goals in Rangelands. In Landscape Ecology, Function and Managment; Ludwig, J., Tongway, D., Freudenberger, D., Noble, J., Hodgkinson, K., Eds.; CSIRO: Melbourne, VIC, Australia, 1997; pp. 93–106. [Google Scholar]
- Landsberg, J.; Stol, J. Spatial distribution of sheep, feral goats and kangaroos in woody rangeland paddocks. Rangel. J. 1996, 18, 270–291. [Google Scholar] [CrossRef]
- Freudenberger, D.; Hodgkinson, K.; Noble, J. Causes and Consequences of Landscape Dysfunction in Rangelands. In Landscape ecology—Function and Management; Ludwig, J., Tongway, D., Freudenberger, D., Noble, J., Hodgkinson, K., Eds.; CSIRO Publishing: Melbourne, VIC, Australia, 1997; pp. 63–77. [Google Scholar]
- Wilson, A.D. Forage utilization by sheep and kangaroos in a semi-arid woodland. Rangel. J. 1991, 13, 81–90. [Google Scholar] [CrossRef]
- Wilson, A.D. The influence of kangaroos and forage supply on sheep productivity in the semi-arid woodlands. Rangel. J. 1991, 13, 69–80. [Google Scholar] [CrossRef]
- Pople, A.R.; McLeod, S.R. Kangaroo Management and Sustainable Use of the Rangelands. In Management for Sustainable Ecosystems; Hale, P., Petrie, A., Moloney, D., Sattler, P., Eds.; Centre for Conservation Biology, University of Queensland: Brisbane, QLD, Australia, 2000; pp. 78–86. [Google Scholar]
- Sinclair, A.R.E. Carrying Capacity and the Overabundance of Deer. In The Science of Overabundance: Deer Ecology and Population Management; McShea, W.J., Underwood, H.B., Rappole, J.H., Eds.; Smithonian Institution Press: Washington, DC, USA, 1997; pp. 380–394. [Google Scholar]
- Shepherd, N.; Caughley, G. Options for Management of Kangaroos. In Kangaroos Their Ecology and Management in the Sheep Rangelands of Australia; Caughley, G., Shepherd, N., Short, J., Eds.; Cambridge University Press: Cambridge, UK, 1987. [Google Scholar]
- WCMC. Western Catchment Regional Strategy; Western Catchment Management Committee: Cobar, NSW, Australia, 1997. [Google Scholar]
- Browne, R. Exploring Management Options and Considerations for Land and Kangaroo Conservation in an Economically and Ecologically Sustainable Rural Community. In Conservation Through Sustainable Use of Wildlife; Grigg, G.C., Hale, P., Lunney, D., Eds.; Centre for Conservation Biology, University of Queensland: Brisbane, QLD, Australia, 1995; pp. 195–198. [Google Scholar]
- Martin, A.L. The Pastoralist’s Role—Where to now? In Conservation Through Sustainable Use of Wildlife; Grigg, G.C., Hale, P., Lunney, D., Eds.; Center for Conservation Biology, The University of Queensland: Brisbane, QLD, Australia, 1995; pp. 6–8. [Google Scholar]
- Norbury, G.L.; Norbury, D.C. The distribution of red kangaros in relation to range regeneration. Rangel. J. 1993, 15, 3–11. [Google Scholar] [CrossRef]
- Norbury, G.L.; Norbury, D.C.; Hacker, R.B. Impact of red kangaroos on the pasture layer in the Western Australian arid zone. Rangel. J. 1993, 15, 12–23. [Google Scholar] [CrossRef]
- Edwards, G.P.; Croft, D.B.; Dawson, T.J. Competition between red kangaroos (Macropus rufus) and sheep (Ovis aries) in the arid rangelands of Australia. Aust. J. Ecol. 1996, 21, 165–172. [Google Scholar] [CrossRef]
- Edwards, G.P.; Dawson, T.J.; Croft, D.B. The dietary overlap between red kangaroos (Macropus rufus) and sheep (Ovis aries) in the arid rangelands of Australia. Aust. J. Ecol. 1995, 20, 324–334. [Google Scholar] [CrossRef]
- Pople, A.-R. Aerial surveys for kangaroo management. Aust. Zool. 1999, 31, 263–320. [Google Scholar]
- Freudenberger, D.; Noble, I.R. Consumption, Regulation and Off-Take: A Landscape Perspective on Pastoralism. In Landscape Ecology: Function and Management; Ludwig, J., Tongway, D., Freudenberger, D., Noble, J., Hodgkinson, K., Eds.; CSIRO Publishing: Melbourne, VIC, Australia, 1997; pp. 35–48. [Google Scholar]
- Choquenot, D. The outsiders: Competition between introduced herbivores and domestic stock in rangeland grazing systems. Australian rangelands in a changing environment. Unpubl. Proc. Aust. Rangel. Soc. Bienn. Conf. 1992, 7, 106–116. [Google Scholar]
- Landsberg, J.; Stol, J.; Müller, W.J. Telling the sheep (dung) from the goats. Rangel. J. 1994, 16, 122–134. [Google Scholar] [CrossRef]
- Wilson, A.D.; Leigh, J.H.; Hindley, N.L.; Mulham, W. Comparison of the diets of goats and sheep on a Casuarina cristata—Heterodendrum oleifolium woodland community in western New South Wales. Aust. J. Exp. Agric. Anim. Husb. 1975, 15, 45–53. [Google Scholar] [CrossRef]
- Dawson, T.J.; Ellis, B.A. Comparison of the diets of yellow-footed rock-wallabies and sympatric herbivores in western New South Wales. Aust. Wildl. Res. 1979, 6, 245–254. [Google Scholar] [CrossRef]
- Dawson, T.J.; Ellis, B.A. Diets of mammalian herbivores in Australian arid shrublands: Seasonal effects on overlap between red kangaroos, sheep and rabbits and on dietary niche breadths and electivities. J. Arid. Environ. 1994, 26, 257–271. [Google Scholar] [CrossRef]
- Short, J.; Milkovits, G. Distribution and status of the brush-tailed rock-wallaby in south-eastern Australia. Aust. Wildl. Res. 1990, 17, 169–179. [Google Scholar] [CrossRef]
- Lim, T.L.; Giles, J.R. Studies on the yellow-footed rock-wallaby, Petrogale xanthopus Gray (Marsupialia: Macropodidae). III. Distribution and management in Western New South Wales. Aust. Wildl. Res. 1987, 14, 147–161. [Google Scholar] [CrossRef]
- Auld, T.D. Regeneration in the populations of the arid zone plants Acacia carnei and A. oswaldii. Proc. Ecol. Soc. Aust. 1990, 16, 267–272. [Google Scholar]
- Auld, T.D. The impact of herbivores on regeneration in four trees from arid Australia. Aust. Rangel. J. 1995, 17, 213–227. [Google Scholar] [CrossRef]
- Yokum, C.F. Ecology of feral goats in Haleakala National Park, Maui, Hawaii. Am. Midl. Nat. 1967, 77, 419–451. [Google Scholar]
- Coblenz, B.E. Some range relationships of feral goats on Santa Catalina Island, California. J. Range Manag. 1977, 30, 415–419. [Google Scholar] [CrossRef]
- Tiver, F.; Andrew, M.H. Relative effects of herbivory by sheep, rabbits, goats and kangaroos on regeneration and recruitment of shrubs and trees in eastern South Australia. J. Appl. Ecol. 1997, 34, 903–914. [Google Scholar] [CrossRef]
- Morton, S.R. Pests or scapegoats? Australas. Sci. 1998, September, 27–28. [Google Scholar]
- Tyndale-Biscoe, H. Mammals as pests in Australia. Australas. Sci. 1988, September, 21–24. [Google Scholar]
- Parkes, J.; Henzell, R.; Pickles, G. Managing Vertebrate Pest: Feral Goats; Government Publishing Service: Canberra, NSW, Australia, 1996. [Google Scholar]
- Miller, M. Natural Heritage Trust Project Proposal; Western Division Newsletter; NSW Agriculture and the Department of Land and Water Conservation: Sydney, NSW, Australia, 1999; ISSN 0.314-5352.
- Dawson, T.J.; Ellis, B.A. Diets of mammalian herbivores in Australian arid, hilly shrublands: Seasonal effects on overlap between euros (hill kangaroos), sheep and feral goats, and on dietary niche breadths and electivities. J. Arid. Environ. 1996, 34, 491–506. [Google Scholar] [CrossRef]
- Wilson, A.D.; Harrington, G.N.; Beale, I.F. Grazing Management. In Managment of Australia’s Rangelands; Harrington, G.N., Wilson, A.D., Young, M.D., Eds.; CSIRO: Melbourne, VIC, Australia, 1984. [Google Scholar]
- Harrington, G. The effects of feral goats and sheep on the shrub populations in a semi-arid woodland. Aust. Rangel. J. 1979, 1, 334–345. [Google Scholar] [CrossRef]
- Ekblad, R.L.; Stuth, J.W.; Owens, M.K. Grazing pressure impacts on potential competition between Angora goats and white-tailed deer. Small Rumin. Res. 1993, 11, 195–208. [Google Scholar] [CrossRef]
- Chapman, M. Kangaroos and feral goats as economic resources for graziers: Some views from South-West Queensland. Rangel. J. 2003, 25, 20–36. [Google Scholar] [CrossRef]
- Mutze, G.; Cooke, B.; Jennings, S. Density-dependent grazing impacts of introduced European rabbits and sympatric kangaroos on Australian native pastures. Biol. Invasions 2016, 18, 2365–2376. [Google Scholar] [CrossRef]
- Williams, K.; Parer, I.; Coman, B.; Burley, J.; Braysher, M. Managing Vertebrate Pests: Rabbits—Bureau of Resource Sciences. In CSIRO Division of Wildlife and Ecology; Australian Government Publishing Service: Canberra, NSW, Australia, 1995. [Google Scholar]
- Crisp, M.D. Demography and survival under grazing of three Australian semi-desert shrubs. Oikos 1978, 30, 520–528. [Google Scholar] [CrossRef]
- Lange, R.T.; Graham, C.R. Rabbits and the failure of regeneration in Australian arid zone Acacia. Aust. J. Ecol. 1983, 8, 377–381. [Google Scholar] [CrossRef]
- Cooke, B.D. The effects of rabbit grazing on regeneration of sheoaks, Allocasuarina verticilliata and saltwater ti-trees, Melaleuca halmaturorum, in the Coorong National Park, South Australia. Aust. J. Ecol. 1987, 13, 11–20. [Google Scholar] [CrossRef]
- Henzell, R. Rabbits, Feral Goats, Mulga and Rangeland Stability. Working Papers. In Proceedings of the 9th Australian Vertebrate Pest Control Conference, Adelaide, SA, Australia, 15 April 1991. [Google Scholar]
- Foran, B.D.; Low, W.A.; Strong, B.W. The response of rabbit populations and vegetation to rabbit control on a calcareous shrubby grassland in central Australia. Aust. Wildl. Res. 1985, 12, 237–247. [Google Scholar] [CrossRef]
- Mallett, K.J.; Cooke, B.D. The Ecology of the Common Wombat in South Australia; Nature Conservation Society of South Australia: Adelaide, SA, Australia, 1986. [Google Scholar]
- Tatnell, W.A.; March, N.A.P. Rabbits in the semiarid rangelands—Land systems, land degradation and sustainability. In Proceedings of the Australian Vertebrate Pest Conference, Adelaide, SA, Australia, 15 April 1991; Volume 9, pp. 29–32. [Google Scholar]
- Martin, W.; Sobey, W. Improvement in seabird nesting habitat on Bowen Island, New South Wales, by eradication of rabbits. Corella 1983, 7, 40. [Google Scholar]
- Priddel, D.; Carlile, N.; Davey, C.; Fullagar, P. The status of Gould’s petrel, Pterodroma leucoptera leucoptera, on Cabbage Tree Island, new South Wales. Wildl. Res. 1995, 22, 601–610. [Google Scholar] [CrossRef]
- Robinson, A.C. The sticknest rat Leporillus conditor on Franklin Island, Nuyits Archipelago. Aust. Mammal. 1975, 1, 319–327. [Google Scholar] [CrossRef]
- Watts, C.H.S.; Eves, B.M. Notes on the nests and diets of the white-tailed sticknest rat Leporillus apicalis in northern South Australia. South Aust. Nat. 1976, 51, 9–12. [Google Scholar]
- Calaby, J.H. Australian mammals since 1770. Aust. Nat. Hist. 1969, 16, 271–275. [Google Scholar]
- Poole, W.E.; Merchant, J.C.; Carpenter, S.M.; Calaby, J.H. Reproduction, growth and age determination in the yellow-footed rock-wallaby, Petrogale xamthopus Gray, in captivity. Aust. Wildl. Res. 1985, 12, 127–136. [Google Scholar] [CrossRef]
- Jones, W.J. The Mammals of South Australia, Part II. The Bandicoots and the Herbivorous Marsupials; Government Printer: Adelaide, SA, Australia, 1924. [Google Scholar]
- McManus, T.J. Seabird Islands No. 72, St Helens Island Tasmania. Corella 1979, 3, 52–54. [Google Scholar]
- Norman, F.I. Longterm effects of rabbit reduction on Rabbit Island, Wilson’s Promontory, Victoria. Victorian Nat. 1988, 105, 136–141. [Google Scholar]
- Freudenberger, D. Total Grazing Pressure: Sometimes a Problem, but Always a Resource. In Managing Total Grazing Pressure in the Rangelands: How and Why? Conference and Workshop Series; Pahl, L., Ed.; Queensland Department of Primary Industries: Brisbane, QLD, Australia, 1997; pp. 9–21. [Google Scholar]
- Coughenour, M.B. Spatial components of plant-herbivore interactions in pastoral, ranching, and native ungulate ecosystems. J. Range Manag. 1991, 44, 530–542. [Google Scholar] [CrossRef]
- Andrew, M.H.; Lange, R.T. The spatial distributions of sympatric populations of kangaroos and sheep: Examples of dissociation between the species. Aust. Wildl. Res. 1986, 13, 367–373. [Google Scholar] [CrossRef]
- Terpstra, J.W.; Wilson, A.D. Grazing distribution of sheep and kangaroos in a semi-arid woodland. Appl. Anim. Behav. Sci. 1989, 24, 343–352. [Google Scholar] [CrossRef]
- Hacker, R.B.; Sinclair, K.; Waters, C.M. Total grazing pressure—A defining concept for extensive pastoral systems in the southern rangelands of Australia. Rangel. J. 2019, 41, 457–460. [Google Scholar] [CrossRef]
- Griffiths, M.; Barker, R. The plants eaten by kangaroos grazing together in a paddock in south-western Queensland. CSIRO Wildl. Res. 1966, 11, 145–167. [Google Scholar] [CrossRef]
- Storr, G.M. Diet of kangaroos (Megaleia rufa and Macropus robustus) and merino sheep near Port Hedland, Western Australia. J. R. Soc. West. Aust. 1968, 51, 25–32. [Google Scholar]
- Griffiths, M.; Barker, R.; MacLean, L. Further observations on plants eaten by kangaroos and sheep grazing together in a paddock in south-western Queensland. Aust. Wildl. Res. 1974, 1, 27–43. [Google Scholar] [CrossRef]
- Dawson, T.J.; Denny, M.J.S.; Russell, E.M.; Ellis, B.A. Water usage and diet preferences of free ranging kangaroos, sheep and feral goats in the Australian arid zone during summer. J. Zool. Lond. 1975, 177, 1–23. [Google Scholar] [CrossRef]
- Ellis, B.A.; Russell, E.M.; Dawson, T.J.; Harrop, C.J.F. Seasonal changes in diet preferences of free-ranging red kangaros, euros and sheep in western New South Wales. Aust. Wildl. Res. 1977, 4, 127–144. [Google Scholar] [CrossRef]
- Squires, V.R. Competitive interactions in the dietary preference of kangaroos and sheep, cattle and goats in inland Australia. J. Arid. Environ. 1982, 5, 337–345. [Google Scholar] [CrossRef]
- Barker, R.D. The Diet of Herbivores in the Sheep Rangelands. In Kangaroos Their Ecology and Management in the Sheep Rangelands of Australia; Caughley, G., Shepherd, N., Short, J., Eds.; Cambridge University Press: Cambridge, UK, 1987; pp. 69–83. [Google Scholar]
- Dawson, T.J. Diets of Macropodoid Marsupials: General Patterns and Environmental Influences. In Kangaroos, Wallabies and Rat-kangaroos; Grigg, G., Jarman, P., Hume, I., Eds.; Surrey Beatty & Sons: Chipping Norton, UK, 1989; Volume 1, pp. 129–142. [Google Scholar]
- Vandermeer, J.H. On the covariance of the community matrix. Ecology 1972, 53, 187–189. [Google Scholar] [CrossRef]
- Strong, D.R. Natural variability and the manifold mechanisms of ecological communities. Am. Nat. 1983, 122, 636–660. [Google Scholar] [CrossRef]
- Belovsky, G.E. Generalist herbivore foraging and its role in competitive interactions. Am. Zool. 1986, 26, 51–69. [Google Scholar] [CrossRef]
- Short, J. The functional response of kangaroos, sheep and rabbits in an arid grazing system. J. Appl. Ecol. 1985, 22, 435–447. [Google Scholar] [CrossRef]
- Short, J. Factors Affecting Food Intake of Rangeland Herbivores. In Kangaroos Their Ecology and Management in the Sheep Rangelands of Australia; Caughley, G., Shepherd, N., Short, J., Eds.; Cambridge University Press: Cambridge, UK, 1987; pp. 84–99. [Google Scholar]
- McLeod, S. The Foraging Behaviour of the Arid Zone Herbivores, the Red Kangaroo (Macropus rufus) and the Sheep (Ovis aries) and Their Role in Its Competitive Interactions, Population Dynamics and Life-History Strategies. Ph.D. Thesis, University of New South Wales, Sydney, NSW, Australia, 1996. [Google Scholar]
- Edwards, G.P. Competition Between Red Kangaroos and Sheep in Arid New South Wales. Ph.D. Thesis, University of New South Wales, Sydney, NSW, Australia, 1990. [Google Scholar]
- Schoener, T.W. Competition and the form of habitat shift. Theor. Popul. Biol. 1974, 6, 265–307. [Google Scholar] [CrossRef]
- Schoener, T.W. Alternatives to Lotka-Volterra competition: Models of intermediate complexity. Theor. Popul. Biol. 1976, 10, 309–333. [Google Scholar] [CrossRef] [PubMed]
- Dawson, T.J. Kangaroos—Biology of the Largest Marsupials, 2nd ed.; CSIRO Publishing: Melbourne, VIC, Australia, 2012. [Google Scholar]
- McNaughton, S.J. Compensatory plant growth as a response to herbivory. Oikos 1983, 40, 329–336. [Google Scholar] [CrossRef]
- McNaughton, S.J. Grasses and grazers, science and management. Ecol. Appl. 1993, 3, 17–20. [Google Scholar] [CrossRef] [PubMed]
- Williams, K.J.; Wilsey, B.J.; McNaughton, S.J.; Banyikwa, F.F. Temporally variable rainfall does not limit yields of Serengeti grasses. Oikos 1998, 81, 463–470. [Google Scholar] [CrossRef]
- Caughley, G. Introduction to the Sheep Rangelands. In Kangaroos Their Ecology and Management in the Sheep Rangelands of Australia; Caughley, G., Shepherd, N., Short, J., Eds.; Cambridge University Press: Cambridge, UK, 1987; pp. 1–13. [Google Scholar]
- Bell, F.C. Climate of Fowlers Gap Station. In Lands of Fowlers Gap Station, New South Wales; Research Series; Mabbutt, J.A., Ed.; The University of New South Wales: Sydney, NSW, Australia, 1973; Volume 3, pp. 45–64. [Google Scholar]
- Pickard, J. Illustrated Glosaary of Australian Rural Fence Terms; Heritage Branch Report HB 09/01; Heritage Branch, News South Wales Department of Planning: Sydney, NSW, Australia, 2009.
- Milthorpe, P.L. Pasture lands of Fowlers Gap Station. In Lands of Fowlers Gap Station, New South Wales; Mabbutt, J.A., Ed.; The University of New South Wales: Sydney, NSW, Australia, 1973; pp. 205–216. [Google Scholar]
- Mabbutt, J.A.; Burrell, J.P.; Corbett, J.R.; Sullivan, M.E. Land Systems of Fowlers Gap Station. In Lands of Fowlers Gap Station, New South Wales; Research Series; Mabbutt, J.A., Ed.; The University of New South Wales: Sydney, NSW, Australia, 1973; Volume 3, pp. 25–65. [Google Scholar]
- Corbett, J.R. Soils on Fowlers Gap Station. In Lands of Fowlers Gap Station, New South Wales; Research Series; Mabbutt, J.A., Ed.; The University of New South Wales: Sydney, NSW, Australia, 1973; Volume 3, pp. 151–174. [Google Scholar]
- Tidmarsh, C.E.M.; Havenga, C.M. The wheel point method of survey and measurement of semi-open grasslands and Karoo vegetation in South Africa. Mem. Bot. Surv. S. Afr. 1955, 29, 49. [Google Scholar]
- Arzani, H.; King, G.W. Comparison of wheel point and point frame methods for plant cover measurment of semiarid and arid rangeland vegetation of New South Wales. Rangel. J. 1994, 16, 94–105. [Google Scholar] [CrossRef]
- Goodall, D.W. Some considerations in the use of point quadrats for the analysis of vegetation. Austr. J. Sci. Res. B. 1952, 5, 1–41. [Google Scholar] [CrossRef]
- Moss, G.L. Home Range, Grouping Patterns and the Mating System of the Red Kangaroo (Macropus rufus) in the Arid Zone. Ph.D. Thesis, University of New South Wales, Sydney, NSW, Australia, 1995. [Google Scholar]
- Moss, G.L.; Croft, D.B. Body condition of the red kangaroo (Macropus rufus) in arid Australia: The effect of environmental condition, sex and reproduction. Aust. J. Ecol. 1999, 24, 97–109. [Google Scholar] [CrossRef]
- Caughley, G.; Shepherd, N.; Short, J. Kangaroos: Their Ecology and Management in the Sheep Rangelands of Australia; Cambridge University Press: Cambridge, UK, 1987. [Google Scholar]
- Burnham, K.P.; Anderson, D.R. The need for distance data in transect counts. J. Wildl. Manag. 1984, 48, 1248–1254. [Google Scholar] [CrossRef]
- Watson, D.M.; Dawson, T.J. The effects of age, sex, reproductive status, and temporal factors on the time-use of free-ranging red kangaroos (Macropus rufus) in western new South Wales. Wildl. Res. 1993, 20, 785–801. [Google Scholar] [CrossRef]
- Robertson, G. Effect of drought and high summer rainfall on biomass and composition of grazed pastures in western New South Wales. Aust. Rangel. J. 1987, 9, 79–85. [Google Scholar] [CrossRef]
- Robertson, G. Plant Dynamics. In Kangaroos: Their Ecology and Management in the Sheep Rangelands of Australia; Caughley, G., Shepherd, N., Short, J., Eds.; Cambridge University Press: Cambridge, UK, 1987; pp. 50–68. [Google Scholar]
- Wellard, G. The Effect of Weather on Soil Moisture and Plant Growth in the Arid Zone. In Kangaroos: Their Ecology and Managment in the Sheep Rangelands of Australia; Caughley, G., Shepherd, N., Short, J., Eds.; Cambridge University Press: Cambridge, UK, 1987; pp. 35–49. [Google Scholar]
- Freudenberger, D.; Wilson, A.; Palmer, R. The effect of perennial grasses, stocking rate and rainfall on sheep production in a semi-arid woodland of eastern Australia. Rangel. J. 1999, 21, 199–219. [Google Scholar] [CrossRef]
- Newsome, A.E. An ecological comparison of the two arid-zone kangaroos of Australia, and their anomalous prosperity since the introduction of ruminant stock to their environment. Q. Rev. Biol. 1975, 50, 389–428. [Google Scholar]
- Gilroy, J.H. New South Wales Kangaroo Management Program: 2002 and beyond. Aust. Mammal. 2004, 26, 3–8. [Google Scholar] [CrossRef]
- Silva, L.M.; Croft, D.B. Nest-site selection, diet and parental care of the Wedge-tailed Eagle Aquila audax in Western New South Wales. Corella 2007, 31, 23–31. [Google Scholar]
- Marlow, N.J.; Croft, D.B. The effect of rabbit-warren ripping on the consumption of native fauna by foxes in the aridzone of New South Wales. Conserv. Sci. West. Aust. 2016, 10, 4. [Google Scholar]
- Noy-Meir, I. Desert ecosystems: Environment and producers. Annu. Rev. Ecol. Syst. 1973, 4, 25–51. [Google Scholar] [CrossRef]
- Burbidge, A.A.; McKenzie, N.L.; Brennan, K.E.C.; Woinarski, J.C.Z.; Dickman, C.R.; Baynes, A.; Gordon, G.; Menkhorst, P.W.; Robinson, A.C. Conservation status and biogeography of Australia’s terrestrial mammals. Aust. J. Zool. 2008, 56, 411–422. [Google Scholar] [CrossRef]
- Ludwig, J.; Tongway, D.; Freudenberger, D.; Noble, J. Landscape Ecology, Function and Management: Principles from Australia’s Rangelands; Hodgkinson, K., Ed.; CSIRO Publishing: Melbourne, VIC, Australia, 1997. [Google Scholar]
- Hodgkinson, K.; Freudenberger, D. Production Pulses and Flow-Ons in Rangeland Landscapes. In Landscape Ecology, Function and Management—Principles from Australia’s Rangelands; Ludwig, J., Tongway, D., Freudenberger, D., Noble, J., Hodgkinson, K., Eds.; CSIRO Publishing: Melbourne, VIC, Australia, 1997. [Google Scholar]
- Milchunas, D.G.; Lauenroth, W.K. Quantitative effects of grazing on vegetation and soils over a global range of environments. Ecol. Monogr. 1993, 63, 327–336. [Google Scholar] [CrossRef]
- O’Connor, T.G.; Roux, P.W. Vegetation changes (1949–1971) in a semi-arid, grass dwarf shrubland in the Karoo, South Africa:influence of rainfall variability and grazing by sheep. J. Appl. Ecol. 1995, 32, 612–626. [Google Scholar] [CrossRef]
- Friedel, M.H. Discontinuous change in arid woodland and grassland vegetation along gradients of cattle grazing in central Australia. J. Arid. Environ. 1997, 37, 145–164. [Google Scholar] [CrossRef]
- van de Koppel, J.; Rietkerk, M.; Weissing, F.J. Catastrophic vegetation shifts and soil degradation in terrestrial grazing systems. Trends Ecol. Evol. 1997, 12, 352–356. [Google Scholar] [CrossRef] [PubMed]
- Rietkerk, M.; van de Koppel, J. Alternate stable states and threshold effects n semi-arid grazing systems. Oikos 1997, 78, 69–76. [Google Scholar] [CrossRef]
- Rietkerk, M.; Van de Bosch, F.; Van de Koppel, J. Site specific properties and irreversible vegetation changes in semi-arid grazing systems. Oikos 1997, 80, 241–252. [Google Scholar] [CrossRef]
- van de Koppel, J.; Rietkerk, M. Herbivore regulation and irreversible vegetation change in semi-arid grazing systems. Oikos 2000, 90, 253–260. [Google Scholar] [CrossRef]
- Turner, M.D. Spatial and temporal scaling of grazing impact on the species composition and productivity of Sahelian annual grasslands. J. Arid. Environ. 1999, 41, 277–297. [Google Scholar] [CrossRef]
- Pickup, G. Modelling patterns of defoliation by grazing animals in rangelands. J. Appl. Ecol. 1994, 31, 231–246. [Google Scholar] [CrossRef]
- Brooke, G.; McGarva, L. The Glove Box Guide to Plants of the NSW Rangelands; NSW Agriculture: Orange, FL, USA, 1998.
- Belovsky, G.E.; Schmitz, O.J.; Slade, J.B.; Dawson, T.J. Effects of spines and thorns on Australian arid zone herbivores of different body masses. Oecologia 1991, 88, 521–528. [Google Scholar] [CrossRef] [PubMed]
- Cunningham, G.M.; Mulham, W.E.; Milthorpe, P.L.; Leigh, J.H. Plants of Western New South Wales; Incata Press: Melbourne, VIC, Australia, 1992. [Google Scholar]
- Noy-Meir, I. Desert ecosystems: Higher trophic levels. Annu. Rev. Ecol. Syst. 1974, 5, 195–214. [Google Scholar] [CrossRef]
- Tongway, D.J.; Ludwig, J.A. Vegetation and soil patterning in semi-arid mulga-lands in semi-arid Australia. Aust. J. Ecol. 1990, 15, 23–34. [Google Scholar] [CrossRef]
- Ludwig, J.A.; Tongway, D.J. Spatial organisation of landscapes and its function in semi-arid woodlands, Australia. Landsc. Ecol. 1995, 10, 51–63. [Google Scholar] [CrossRef]
- Harrington, G.N.; Johns, G.G. Herbaceous biomass in a Eucalyptus savanna woodland after removing trees and/or shrubs. J. Appl. Ecol. 1990, 27, 775–787. [Google Scholar] [CrossRef]
- Greene, R.S.B.; Sawtell, G.R. A collection system for measuring runoff and soil erosion with a mobile rainfall simulator on sealed and stony red earth soils. Aust. J. Soil Res. 1992, 30, 457–463. [Google Scholar]
- Noble, J.C.; Greene, R.S.B.; Müller, W.J. Herbage production following rainfall redistribution in a semi-arid mulga (Acacia aneura) woodland in western New South Wales. Rangel. J. 1998, 20, 206–225. [Google Scholar] [CrossRef]
- Wilson, A.D.; Harrington, G.N. Grazing Ecology and Animal Production. In Managment of Australia’s Rangelands; Wilson, A.D., Harrington, G.N., Eds.; CSIRO: Melbourne, VIC, Australia, 1984. [Google Scholar]
- Westoby, M. Does heavy grazing usually improve the food resource for grazers? Am. Nat. 1985, 126, 870–871. [Google Scholar] [CrossRef]
- Hobbs, N.T.; Baker, D.L.; Bear, G.D.; Bowden, D.C. Ungulate grazing in sagebrush grassland: Effects of resource competition on secondary production. Ecol. Appl. 1996, 6, 218–227. [Google Scholar] [CrossRef]
- Lange, R.T.; Nicolson, A.D.; Nicolson, D.A. Vegetation management of chenopod rangelands in South Australia. Aust. Rangel. J. 1984, 6, 46–54. [Google Scholar] [CrossRef]
- Yates, C.J.; Norton, D.A.; Hobbs, R.J. Grazing effects on plant cover, soil and microclimate in fragmented woodlands in south-western Australia: Implication for restoration. Austral Ecol. 2000, 25, 36–47. [Google Scholar] [CrossRef]
- Bridle, K.L.; Kirkpatrick, J.B. Comparative effects of stock and wild vertebrate herbivore grazing on treeless subalpine vegetation, eastern central plateau, Tasmania. Aust. J. Bot. 1999, 47, 817–834. [Google Scholar]
- Edwards, G.P.; Croft, D.B.; Dawson, T.J. Observations of differential sex/age class mobility in red kangaroos (Macropus rufus). J. Arid. Environ. 1994, 27, 169–177. [Google Scholar] [CrossRef]
- Frank, D.A.; McNaughton, S.J. Evidence for the promotion of aboveground grassland production by native large herbivores in Yellowstone National Park. Oecologia 1993, 96, 157–161. [Google Scholar] [CrossRef] [PubMed]
- Fryxell, J.M. Forage quality and aggregations by large herbivores. Am. Nat. 1991, 138, 478–498. [Google Scholar] [CrossRef]
- McNaughton, S.J. Grazing lawns: Animals in herds, plant form, and coevolution. Am. Nat. 1984, 124, 863–886. [Google Scholar] [CrossRef]
- Hobbs, N.T.; Swift, D.M. Grazing in herds: When are nutritional benefits realized? Am. Nat. 1988, 131, 760–764. [Google Scholar] [CrossRef]
- Sinclair, A.R.E. The resource limitation of trophic levels in tropical grassland ecosystems. J. Anim. Ecol. 1975, 44, 497–520. [Google Scholar] [CrossRef]
- Owen-Smith, N. Factors influencing the consumption of plant products by large herbivores. In The Ecology of Tropical Savannas; Huntley, B.J., Walker, B.H., Eds.; Springer: Berlin/Heidelberg, Germany, 1982; pp. 359–404. [Google Scholar]
- Grice, A.C.; Barchia, I. Changes in grass density in Australian semi-arid woodlands. Rangel. J. 1995, 17, 26–36. [Google Scholar] [CrossRef]
- Brown, B.J.; Allen, T.F.H. The importance of scale in evaluating herbivory impacts. OIKOS 1989, 54, 189–194. [Google Scholar] [CrossRef]
- Wijas, B.J.; Cornwell, W.K.; Letnic, M. Herbivores disrupt the flow of food resources to termites in dryland ecosystems. Ecology 2023, 104, e4035. [Google Scholar] [CrossRef] [PubMed]
- Hobbs, N.T.; Swift, D.M. Estimates of habitat carrying capacity incorporating explicit nutritional constraints. J. Wildl. Manag. 1985, 49, 814–822. [Google Scholar] [CrossRef]
- Clancy, T.F.; Croft, D.B. Differences in habitat use and grouping behavior between macropods and eutherian herbivores. J. Mammal. 1991, 72, 441–449. [Google Scholar] [CrossRef]
- Croft, D.B.; Witte, I. The Perils of Being Populous: Control and Conservation of Abundant Kangaroo Species. Animals 2021, 11, 1753. [Google Scholar] [CrossRef]
- Mills, C.H.; Waudby, H.; Finlayson, G.; Parker, D.; Cameron, M.; Letnic, M. Grazing by over-abundant native herbivores jeopardizes conservation goals in semi-arid reserves. Glob. Ecol. Conserv. 2020, 24, e01384. [Google Scholar] [CrossRef]
- Croft, D.B.; Montague-Drake, R.; Dowle, M. Biodiversity and Water Point Closure: Is the Grazing Piosphere a Persistent Effect? In Animals of Arid Australia: Out There on Their Own? Dickman, C.R., Lunney, D., Burgin, S., Eds.; Royal Zoological Society of New South Wales: Mosman, NSW, Australia, 2007; pp. 143–171. [Google Scholar]
- Pepler, A.; Osman, M. Recent trends in extratropical lows and their rainfall over Australia. J. South. Hemisph. Earth Syst. Sci. 2024, 74, ES24002. [Google Scholar] [CrossRef]
- Munn, A.J.; Dawson, T.J.; McLeod, S.R.; Croft, D.B.; Thompson, M.B.; Dickman, C.R. Field metabolic rate and water turnover of red kangaroos and sheep in an arid rangeland: An empirically derived dry-sheep-equivalent for kangaroos. Aust. J. Zool. 2008, 57, 22–28. [Google Scholar] [CrossRef]
- Munn, A.J.; Kalkman, L.; Skeers, P.; Roberts, J.A.; Bailey, J.; Dawson, T.J. Field metabolic rate, movement distance, and grazing pressures by western grey kangaroos (Macropus fuliginosus melanops) and Merino sheep (Ovis aries) in semi-arid Australia. Mamm. Biol. 2016, 81, 423–430. [Google Scholar] [CrossRef]
- Rees, J.D.; Kingsford, R.T.; Letnic, M. In the absence of an apex predator, irruptive herbivores suppress grass seed production: Implications for small granivores. Biol. Conserv. 2017, 213, 13–18. [Google Scholar] [CrossRef]
- Juillard, L.Q.; Ramp, D. The Impacts of Drought on the Health and Demography of Eastern Grey Kangaroos. Animals 2022, 12, 256. [Google Scholar] [CrossRef] [PubMed]
- Tyndale-Biscoe, C.H.; Renfree, M.B. Reproductive Physiology of Marsupials; Cambridge University Press: Cambridge, UK, 1987. [Google Scholar]



























| Plant Category | Description |
|---|---|
| Round-leaf chenopod shrubs (RLC) | Bluebushes, e.g., Maireana spp. |
| Flat-leaf chenopod shrubs and sub-shrubs (FLC) | Saltbushes etc., e.g., Atriplex spp., Chenopodium spp., Rhagodia spp. |
| Copperburrs (COP) | Copperburrs, poverty-bushes and buckbush, e.g., Sclerolaena spp., Salsoli kali. |
| Forbs (FOR) | Diverse group of mostly ephemeral herbs, e.g., Helipterum spp., Helichrysum spp., Plantago spp. |
| Grasses (GRA) | Members of the family Poaceae, annual and perennial, e.g., Astrebla sp., Chloris spp., Digitaria spp., Enneapogon spp., Eragrostis spp., Panicum spp., Stipa spp., Tripogon loliiformes, Dactyloctenium radulans. |
| Species | Condition | Scaling Factor |
|---|---|---|
| Sheep 1 | Dry ewe and wether * | 1.0 |
| Pregnant ewe | 1.7 | |
| Early lactating ewe | 2.5 | |
| Late lactating ewe | 1.8 | |
| Goat 1 | All | 1.0 |
| Rabbit 2 | All | 0.0625 |
| Red kangaroo (25 kg) 3 | All | 0.35 |
| Eastern grey kangaroo 5 | All | 0.35 |
| Western grey kangaroo (25 kg) 4 | All | 0.31 |
| Common wallaroo 5 | All | 0.35 |
| Plant Category | Paddock | Rainfall β | Maximum Temperature β | Herbivore Density β | Variance R2 |
|---|---|---|---|---|---|
| Pasture | Unstocked 1 Stocked 1 Unstocked 2 Stocked 2 | 0.77 * 0.71 * 0.63 * 0.75 ** | −0.18 −0.34 −0.38 −0.55 * | 0.28 0.17 0.04 −0.52 # | 0.69 # 0.71 * 0.62 # 0.77 * |
| Green pasture | Unstocked 1 Stocked 1 Unstocked 2 Stocked 2 | 0.75 * 0.58 # 0.59 # 0.66 # | −0.09 −0.38 −0.33 −0.35 | 0.44 0.11 0.27 −0.13 | 0.67 # 0.56 0.62 0.56 |
| Grass | Unstocked 1 Stocked 1 Unstocked 2 Stocked 2 | 0.60 0.69 * 0.49 0.70 *** | 0.00 0.36 0.36 −0.39 * | −0.29 −0.07 −0.09 −0.91 *** | 0.55 # 0.58 0.35 0.91 *** |
| Green grass | Unstocked 1 Stocked 1 Unstocked 2 Stocked 2 | 0.54 0.56 0.57 0.75 * | 0.26 0.23 0.27 0.03 | −0.05 −0.12 0.27 −0.33 | 0.35 0.39 0.35 0.59 |
| Forbs | Unstocked 1 Stocked 1 Unstocked 2 Stocked 2 | 0.50 0.02 0.30 0.26 | −0.33 −0.91 * −0.60 # −0.74 * | 0.46 −0.25 0.23 −0.02 | 0.70 0.69 # 0.65 # 0.66 # |
| Copperburr | Unstocked 1 Stocked 1 Unstocked 2 Stocked 2 | 0.77 # 0.93 *** 0.65 # 0.82 ** | −0.01 0.14 −0.01 −0.10 | 0.10 0.48 # −0.18 −0.56 * | 0.56 0.85 ** 0.47 0.79 * |
| Green copperburrs | Unstocked 1 Stocked 1 Unstocked 2 Stocked 2 | 0.80 # 0.77 * 0.72 * 0.75 * | 0.13 0.06 0.02 0.01 | 0.37 0.40 0.25 −0.12 | 0.53 0.61 0.55 0.56 |
| Plant Category | Paddock | Rainfall β | Maximum Temperature β | Herbivore Density β | Variance R2 |
|---|---|---|---|---|---|
| Pasture | Unstocked 1 Stocked 1 Unstocked 2 Stocked 2 | 0.71 * 0.72 * 0.68 * 0.73 * | 0.51 * 0.52 * 0.47 * 0.54 * | ||
| Green pasture | Unstocked 1 Stocked 1 Unstocked 2 Stocked 2 | 0.64 * 0.69 * | 0.41 * 0.47 * | ||
| Grass | Unstocked 1 Stocked 1 Unstocked 2 Stocked 2 | 0.68 * 0.65 * | 0.47 * 0.43 * | ||
| Green grass | Unstocked 1 Stocked 1 Unstocked 2 Stocked 2 | 0.69 * | 0.48 * | ||
| Forbs | Unstocked 1 Stocked 1 Unstocked 2 Stocked21 | −0.73 * −0.80 ** −0.73 * −0.77 ** | 0.54 * 0.64 ** 0.53 * 0.59 ** | ||
| Copperburr | Unstocked 1 Stocked 1 Unstocked 2 Stocked 2 | 0.74 * 0.90 *** 0.66 * 0.86 ** | 0.41 * −0.50 * | 0.55 * 0.83 ** 0.44 * 0.78 ** | |
| Green copperburrs | Unstocked 1 Stocked 1 Unstocked 2 Stocked 2 | 0.68 * 0.70 * 0.70 * 0.72 * | 0.46 * 0.48 * 0.49 * 0.52 * |
| Exclosure | Category | Ungrazed (Median, IQR) | Grazed (Median, IQR) | Difference | Significance |
|---|---|---|---|---|---|
| L1 L2 L3 L4 M1 M2 M3 M4 | Pasture | 89, 31–176 77, 43–151 36, 25–65 71, 40–108 54, 36–72 54, 30–80 52, 36–101 74, 37–116 | 116, 53–173 82, 27–114 159, 83–215 119, 56–181 54, 39–91 54, 30–78 44, 24–73 79, 41–120 | ugr = gr ugr > gr ugr < gr ugr < gr ugr < gr ugr = gr ugr > gr ugr = gr | ns ** *** ** # ns ** ns |
| L1 L2 L3 L4 M1 M2 M3 M4 | Grass | 47, 26–86 60, 43–158 23. 10–44 26, 14–42 14, 2–27 43, 27–71 26, 21–42 29, 22–54 | 74, 33–124 73, 17–101 149, 80–204 53, 17–101 8, 3–32 30, 18–42 24, 11–34 32, 16–42 | ugr < gr ugr > gr ugr < gr ugr < gr ugr = gr ugr > gr ugr > gr ugr = gr | ** ** *** ** ns *** ** ns |
| L1 L2 L3 L4 M1 M2 M3 M4 | Forb | 58, 5–102 6, 2–18 12, 5–15 51, 19–85 16, 8–43 4, 2–9 20, 3–79 24, 8–60 | 28, 7–74 15, 9–30 7, 3–15 49, 19–106 25, 14–50 16, 6–60 13, 2–49 31, 20–60 | ugr = gr ugr = gr ugr = gr ugr = gr ugr< gr ugr < gr ugr = gr ugr < gr | ns ns ns ns * ** ns # |
| L1 L2 L3 L4 M1 M2 M3 M4 | Copperburr | 4, 1–6 2, 1–2 6, 3–10 3, 1–4 15, 12–22 2, 1–3 4, 3–7 5, 3–9 | 3, 2–5 1.5, 1–2 3, 2–5 2, 1–3 9, 4–26 3, 1–11 2, 1–2 10, 2–18 | ugr > gr ugr = gr ugr = gr ugr > gr ugr = gr ugr < gr ugr > gr ugr = gr | ** ns ns * ns *** ** ns |
| Condition | Category | Unstocked 2 (Median, IQR) | Stocked 2 (Median, IQR) | Difference | Significance |
|---|---|---|---|---|---|
| Ungrazed Grazed | Pasture | 59, 35–87 79, 41–120 | 65, 32–120 110, 53–173 | M = L M < L | ns * |
| Ungrazed Grazed | Grass | 27, 17–53 25, 11–39 | 34, 17–66 75, 25–127 | M < L M < L | # * |
| Ungrazed Grazed | Forb | 14, 4–43 24, 9–51 | 15, 4–57 18, 7–56 | M = L M = L | ns ns |
| Ungrazed Grazed | Copperburr | 7, 3–13 5, 2–15 | 3, 1–7 2, 1–4 | M = L M > L | ns # |
| Plot | Variables in Model | Coefficient (ß) | R2, p |
|---|---|---|---|
| Kangaroos | |||
| L1 (1995) | New faeces | +0.98 | 0.95 ** |
| L1 (1996) | New faeces Old faeces | +2.10 −1.30 | 0.98 * |
| L2 (1995) | Old faeces | +0.85 | 0.71 * |
| L2 (1996) | New faeces | +0.97 | 0.94 ** |
| L3 (1995) | None | ||
| L3 (1996) | New faeces | +0.96 | 0.91 * |
| L4 (1995) | Old faeces | +0.99 | 0.99 *** |
| L4 (1996) | New faeces Old faeces | +1.16 −0.25 | 1.00 *** |
| M1 (1995) | New faeces | +0.95 | 0.87 ** |
| M1 (1996) | None | ||
| M2 (1995) | New faeces | +0.86 | 0.74 * |
| M2 (1996) | New faeces | +0.96 | 0.93 ** |
| M3 (1995) | New faeces Total faeces | +1.57 −0.62 | 1.00 ** |
| M3 (1996) | New faeces Total faeces | +3.18 −2.45 | 0.99 * |
| M4 (1995) | Old faeces | +0.98 | 0.95 ** |
| M4 (1996) | Total faeces | +1.00 | 0.99 *** |
| Sheep | |||
| L1 (1995) | Old faeces | +1.00 | 1.00 *** |
| L1 (1996) | Old faeces | +0.98 | 0.95 ** |
| L2 (1995) | None | ||
| L2 (1996) | Old faeces | +0.91 | 0.83 * |
| L4 (1995) | Old Total | +1.08 −0.49 | 1.00 ** |
| Plot | Variables in Model | Coefficient (ß) | R2, p |
|---|---|---|---|
| Kangaroos 1 | |||
| L1 (Y1) | Sheep usage Grass greenness Relative grass greenness | +2.82 +1.82 +0.06 | 1.00 *** |
| L1 (Y2) | Forb greenness | +1.00 | 0.99 *** |
| L2 (Y1) | None | - | |
| L2 (Y2) | Grass abundance Copperburr greenness Copperburr abundance | −0.88 −0.40 −0.23 | 1.00 ** |
| L3 (Y1) | Forb abundance | −1.00 | 0.99 *** |
| L3 (Y2) | None` | - | |
| L4 (Y1) | Sheep usage Relative pasture abundance Forb greenness | +0.80 −0.27 +0.02 | 1.00 *** |
| L4 (Y2) | None | - | |
| M1 (Y1) | Forb greenness Relative forb greenness | −0.99 +0.17 | 0.99 *** |
| M1 (Y2) | None | - | |
| M2 (Y1) | None | - | |
| M2 (Y2) | Forb abundance | −0.95 | 0.90 ** |
| M3 (Y1) | Forb greenness Copperburr abundance | −0.83 −0.30 | 1.00 ** |
| M3 (Y2) | None | - | |
| M4 (Y1) | Relative copperburr abundance | +0.96 | 0.93 ** |
| M4 (Y2) | Total abundance Relative grass abundance Relative total greenness | −1.04 −0.37 −0.14 | 1.00 ** |
| Sheep 2 | |||
| L1 (Y1) | Copperburr greenness | +0.94 | 0.89 * |
| L1 (Y2) | Relative total greenness | +0.93 | 0.87 * |
| L2 (Y1) | None | ||
| L2 (Y2) | Relative grass abundance Kangaroo usage Copperburr greenness | −1.00 −0.15 +0.17 | 1.00 *** |
| L3 (Y1) | Relative grass greenness Forb abundance | −0.84 +0.43 | 0.95 ** |
| L3 (Y2) | Grass abundance Relative grass abundance | +0.89 −0.28 | 1.00 *** |
| L4 (Y1) | None | ||
| L4 (Y2) | Grass abundance Relative grass abundance | +1.82 +0.06 | 1.00 ** |
| Plant Variable | Animal Variable | Coefficient (β) | R2, p |
|---|---|---|---|
| Stocked 2 | |||
| Total plant abundance difference | Sheep usage | −0.82 | 0.67 * |
| Grass abundance difference | Sheep usage | −0.90 | 0.81 ** |
| Pasture abundance difference | Sheep usage | −0.81 | 0.66 * |
| Plant greenness difference | Sheep usage | +0.77 | 0.59 * |
| Relative copperburr abundance | Kangaroo usage | +0.83 | 0.69 * |
| Relative grass abundance | Kangaroo usage | +0.79 | 0.62 * |
| Relative forb greenness | Kangaroo usage | +0.82 | 0.68 * |
| Unstocked 2 | |||
| Plant greenness difference | New roo faeces | +0.75 | 0.57 * |
| Relative forb greenness | New roo faeces | +0.82 | 0.68 * |
| Relative grass greenness | New roo faeces | +0.86 | 0.75 ** |
Disclaimer/Publisher’s Note: The statements, opinions and data contained in all publications are solely those of the individual author(s) and contributor(s) and not of MDPI and/or the editor(s). MDPI and/or the editor(s) disclaim responsibility for any injury to people or property resulting from any ideas, methods, instructions or products referred to in the content. |
© 2025 by the authors. Licensee MDPI, Basel, Switzerland. This article is an open access article distributed under the terms and conditions of the Creative Commons Attribution (CC BY) license (https://creativecommons.org/licenses/by/4.0/).
Share and Cite
Witte, I.; Croft, D.B. Who Eats the Grass? Grazing Pressure and Interactions Between Wild Kangaroos, Feral Goats and Rabbits, and Domestic Sheep on an Arid Australian Rangeland. Wild 2025, 2, 5. https://doi.org/10.3390/wild2010005
Witte I, Croft DB. Who Eats the Grass? Grazing Pressure and Interactions Between Wild Kangaroos, Feral Goats and Rabbits, and Domestic Sheep on an Arid Australian Rangeland. Wild. 2025; 2(1):5. https://doi.org/10.3390/wild2010005
Chicago/Turabian StyleWitte, Ingrid, and David B. Croft. 2025. "Who Eats the Grass? Grazing Pressure and Interactions Between Wild Kangaroos, Feral Goats and Rabbits, and Domestic Sheep on an Arid Australian Rangeland" Wild 2, no. 1: 5. https://doi.org/10.3390/wild2010005
APA StyleWitte, I., & Croft, D. B. (2025). Who Eats the Grass? Grazing Pressure and Interactions Between Wild Kangaroos, Feral Goats and Rabbits, and Domestic Sheep on an Arid Australian Rangeland. Wild, 2(1), 5. https://doi.org/10.3390/wild2010005

