Abstract
Low-calorie and zero-calorie sweeteners are increasingly consumed as sugar substitutes in low-calorie and low-glycemic diets. This study evaluated the thermal decomposition kinetics of commercial sweetener samples. The natural sweetener samples presented more straightforward thermal decomposition profiles in a heating process, according to the following stability order: xylitol > erythritol > C1 (saccharin-based) > A1 (aspartame-based). The kinetic parameters were calculated using the ASTM E-698 method, indicating that the xylitol sample required the lowest energy to initiate the decomposition process. In contrast, the saccharin-based sample presented the highest activation energy value among all those analyzed.
1. Introduction
Low/zero-calorie sweeteners have played an essential role in the food industry since their discovery, mainly in the 20th century. Their intense sweetness and low-calorie content have significantly changed how people eat [1].
According to IMARC [2], the global market for these additives reached approximately USD 29 billion in 2023. It was mainly driven by the significant increase in the incidence of diabetes mellitus in the world population. The International Diabetes Federation projects that one in eight adults will be living with diabetes by 2045, which will correspond to more than 780 million people [3]. In this epidemic scenario, the industry has intensely promoted low- or zero-calorie sweeteners as sugar substitutes in the composition of various foods and beverages. The most consumed artificial sweetener is aspartame; it accounts for 50% of global consumption followed by sucralose (20–30%) and saccharin (10–15%) [4]. However, there are some controversies regarding the ingestion of these artificial sweeteners. The WHO 2023 released the results of the hazard and risk assessments of aspartame carried out by the International Agency for Research on Cancer (IARC), which classified aspartame as possibly carcinogenic to humans [5]. In this scenario, the global market for natural sweeteners as sugar alcohols has increased significantly in recent years, reaching USD 700–900 million for erythritol and USD 800–1.2 billion for xylitol in 2023 [4].
One of the main applications of sweeteners is their use as a food additive. As tabletop components or ingredients in food processing, these products are subjected to temperature range, pH variation, and mechanical deformation [6,7,8]. To achieve the best use of it, it becomes essential to understand the changes that may occur in food quality during processing, but also how these sweeteners behave during a long period of storage. Therefore, thermal analysis techniques make it possible to evaluate the resistance to the degradation of these compounds, as well as their decomposition profile. From data collected during the evolution of the chemical reaction, it is possible to perform a kinetic study with a predetermination of the behavior of materials under temperature variations [9,10,11]. So, the present study aimed to conduct a comparative evaluation of the kinetic decomposition of commercial samples of some of the leading natural and artificial tabletop sweeteners consumed worldwide.
2. Materials and Methods
2.1. Materials
This study analyzed four samples of natural and artificial commercial tabletop sweeteners, and their compositions on their packaging labels are described as follows: erythritol, xylitol, aspartame-based (A1) (dextrose, maltodextrin, and aspartame), and saccharin-based (C1) (dextrose, saccharin, cream of tartar, calcium silicate). Some properties of these sweeteners are shown in Table 1. It is worth mentioning that the amount or percentage of each ingredient was not included on the labels. However, the nutrition labels on the packaging of these products provide the following information: for all samples, each 1 g sachet contains 1 g of total sugars.
Table 1.
Some properties and characteristics of artificial and natural sweeteners [7,8,9,10,11,12,13,14].
2.2. Methods
Thermogravimetry (TG), Derivative Thermogravimetry (DTG), and Differential Scanning Calorimetry (DSC) analyses were performed to evaluate the mass variation transition profile of natural and artificial sweetener samples as a function of temperature. Sample analyses were performed on a SDT Q600 model (TA instrument New Castle, DE, USA) with three different heating rates of 5, 10, and 20 °C min−1. Approximately 10 mg of each sample was heated in a platinum crucible in the 25 to 600 °C temperature range under a nitrogen atmosphere (flow rate of 100 mL min−1).
The kinetic study of all samples was carried out using the ASTM E-698 methodology [15]. The software to obtain the kinetic parameters was Kinetics Neo version 3.0.1, Netzsch. The method uses the Arrhenius equation to describe the change in reaction rate as a function of temperature (Equation (1)).
where k is the rate constant, A is the Arrhenius constant, T is the temperature, R is the gas constant, and Ea is the activation energy.
As indicated in Equation (2), a particular sample’s thermal degradation rate (dα/dt) can be characterized by the extent of reaction progress (α) and temperature (T).
The samples are exposed to various linear heating rates designated as β (Equation (3)).
Combining Equations (1)–(3), the rate equation employed by this model is presented in Equation (4).
3. Results and Discussion
3.1. Thermal Characterization
The TG curves of the tabletop sweetener samples (Figure 1) showed that erythritol and xylitol have greater thermal stability than the artificial sweeteners. Xylitol exhibited complete mass loss in a single stage from 200 to 330 °C, being the most resistant to degradation among all samples. Similarly, erythritol showed a complete mass loss from 170 to 290 °C. Corroborating the last data, DTG curves exhibited only one peak at 280 °C. Artificial sweeteners showed lower thermal stability and a more complex decomposition profile among all the samples analyzed. The two samples (A1 and C1) presented an initial mass loss of 65 to 100 °C (Δm = 10%), which could be attributed to water loss. A second stage of mass loss was observed from 130 to 600 °C (Δm = 70%) and from 160 to 600 °C (Δm = 68%) in the curves of the samples based on aspartame (A1) and saccharin (C1), respectively. The DTG curve of the aspartame-based sample exhibited three mass loss peaks (80, 230, and 300 °C), a more complex thermal decomposition profile. The saccharin-based sample showed two mass loss peaks (80 and 218 °C). It was also observed that the samples based on artificial sweeteners (A1 and C1) presented approximately 20% of residue at 600 °C.
Figure 1.
TG/DTG curves of samples erythritol, xylitol, A1 (aspartame, dextrose, and maltodextrin), and C1 (saccharin and dextrose) at the heating rate of 10 °C min−1.
Figure 2 shows the DSC curves for all sweeteners. The erythritol curve exhibited two endothermic events: an intense and narrow event at 119 °C related to the Tm and a decomposition event around 285 °C. Xylitol was observed to melt at around 94 °C, followed by its decomposition at 325 °C. The DSC curves of the aspartame (A1)- and saccharin (C1)-based samples exhibited similar thermal profiles. Both samples presented an endothermic event around 82 °C related to water loss. The second event at around 145 and 149 °C can be attributed to the melting of dextrose, corroborating the literature [16,17]. The third event refers to the decomposition of the samples. The apparent similarity between the thermal profiles of samples A1 and C1 suggests high dextrose content in these sweeteners. It is worth mentioning that the labels on commercial tabletop sweeteners list different sweetening ingredients in the product’s composition. As aspartame and saccharin have a sweetening power hundreds of times greater than sucrose, only a tiny amount of these additives is necessary to sweeten a food or beverage taste. Manufacturers use compounds such as dextrose and maltodextrin to provide volume and texture, making the dietary sweetener easier to use in the preparation of foods and beverages.
Figure 2.
DSC curves of samples (a) erythritol, (b) xylitol, (c) A1 (aspartame, dextrose, and maltodextrin), and (d) C1 (saccharin and dextrose) at the heating rate of 10 °C min−1.
Some researchers performed the thermal characterization of pure maltodextrin, aspartame, and saccharin samples. Castro-Cabado [18] evaluated the thermal degradation profile of a maltodextrin sample (dextrose equivalent from 11 to 15). The authors observed that a maltodextrin sample remained stable up to 208 °C, with a single mass loss up to 400 °C in the TG curve. The DTG curve of this sample exhibited a single decomposition peak at 308 °C, which the authors stated to be a typical profile of the thermal degradation of polysaccharides, with the depolymerization and formation of molecules of lower molecular weight.
Some authors [19] analyzed a sample of aspartame hemihydrates and observed four endothermic events at 47, 111, 173, and 232 °C in its DSC curve. The events at 47 and 111 °C were attributed to the dehydration of the hemihydrates molecule and the production of an anhydrous molecule, with mass loss in the temperature range from 30 to 150 °C in the TG curve. The event observed at 173 °C in the DSC curve was attributed to the release of methanol and formation of diketopiperazine (DKP) from the intramolecular cyclization of anhydrous aspartame, followed by an event at 232 °C related to the fusion of DKP. This decomposition was observed in the TG curve from a mass loss from 150 to 200 °C. The observations of others confirmed the data from this study [20,21,22].
Regarding saccharin, the authors [23] observed a single decomposition stage between 203 and 329 °C in the TG curve. An endothermic event around 220 °C related to the fusion of this compound is shown in the DTA curve. The authors [24] observed a single endothermic event in the DSC curve of saccharin around 225 °C for its decomposition.
So, it is favorable to mention that xylitol and erythritol should be preferable in tabletop beverages or food, in comparison to aspartame and saccharin, since they will not degrade themselves or liberate any components at temperatures lower than 170 °C.
3.2. Kinetic Evaluation
The study of sweeteners’ decomposition kinetics is critical because it quantifies the effects of the physicochemical changes caused by temperature variations and the mechanisms by which the reactions occur. The current study could contribute to understanding sweeteners’ thermal stability and performance as food additives since it is possible to observe how sweeteners degrade and predict their shelf life.
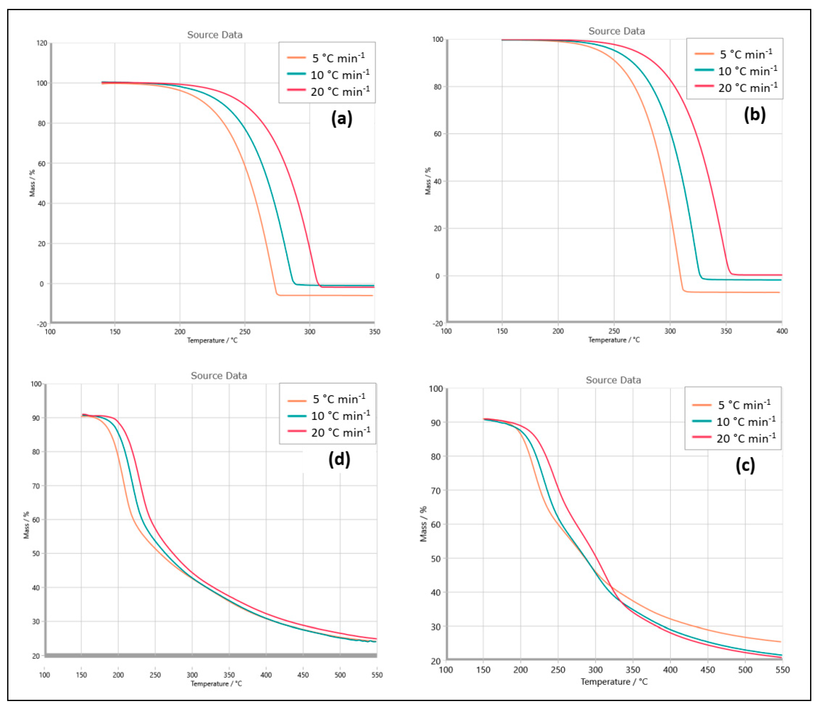
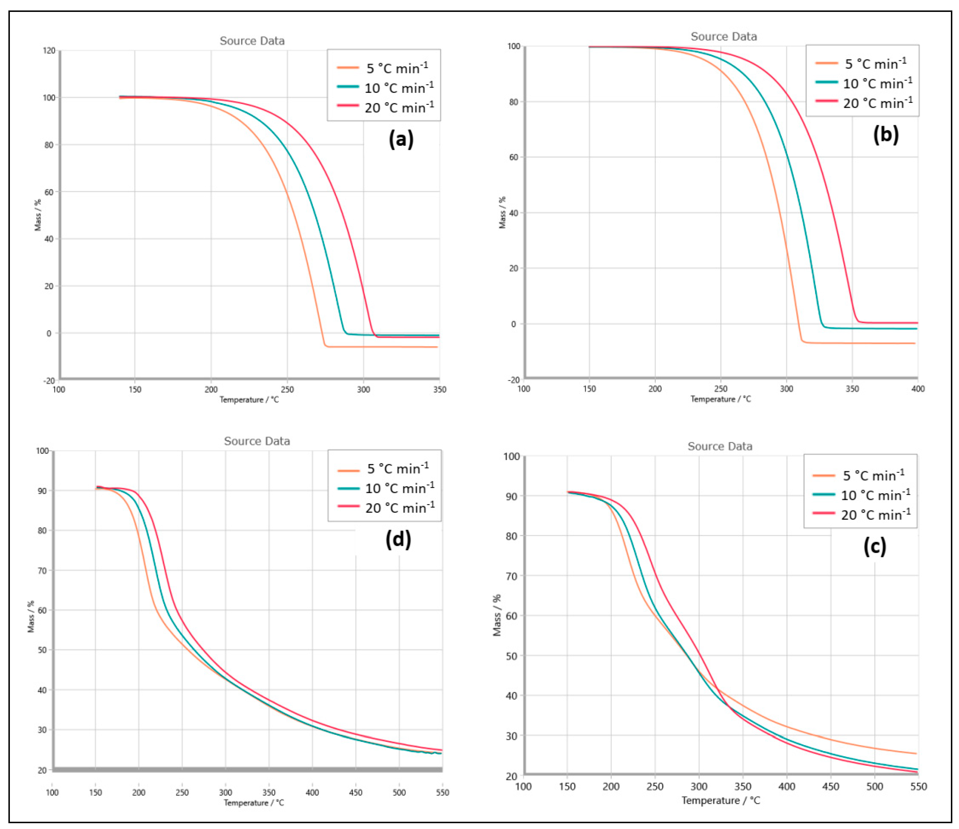
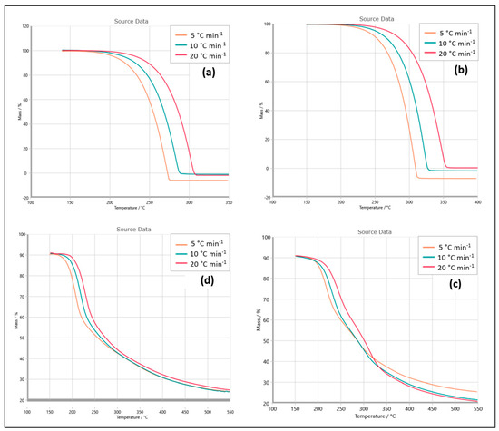
Figure 3 compares the thermogravimetry curves obtained at the three heating rates (5, 10, and 20 °C min−1). The samples of natural sweeteners presented a single stage of degradation in their TG curves. The temperature range was 140 to 350 °C for erythritol and 150 to 400 °C for xylitol. The samples of artificial sweeteners presented more than one mass loss stage, as the calculations were made for the main stage in the temperature range of 150 to 550 °C.
Figure 3.
Comparison of thermogravimetry curves for (a) erythritol, (b) xylitol, (c) A1 (aspartame, dextrose, and maltodextrin), and (d) C1 (saccharin, and dextrose) samples, in three heating rates (5, 10, and 20 °C min−1).
Figure 4 shows the kinetic parameters calculated using the ASTM E-698 method. As shown in Figure 4a,b, the xylitol (C5H12O5) sample requires less energy to initiate the process than erythritol (C4H10O4). Since the first compound presented the lowest ln A value, this suggests that, once triggered, the reaction occurs more slowly, which may be due to its molecular arrangement.
Figure 4.
Kinetic parameters for samples (a) erythritol, (b) xylitol, (c) A1 (aspartame, dextrose, and maltodextrin), and (d) C1 (saccharin and dextrose) by ASTM E-698 methods.
Regarding the results obtained for the samples of artificial sweeteners, higher values of kinetic parameters were observed in Figure 4c,d. The similarities in the TG curves of the two samples suggest the presence of a high dextrose content in their compositions. However, the values of the kinetic parameters obtained show the influence of aspartame and saccharin in the decomposition reaction of the samples.
Sample C1 presented the highest activation energy and pre-exponential factor values among all the samples analyzed. Saccharin-based sweeteners require more energy to initiate the decomposition process, which occurs quickly since the frequency of collisions between its molecules is high. Another study regarding kinetic analysis was carried out on a standard sample of saccharin, in which the activation energy value obtained was equal to 80 kJ mol−1 [22]. This difference between the values obtained suggests that the presence of dextrose in the composition of the tabletop sweetener sample C1 may have increased the energy barrier for its decomposition reaction.
The commercial sample based on aspartame (A1) presented an activation energy of approximately 100 kJ mol−1, a value lower than that obtained for the other artificial sweetener sample. In the literature, studies [25] have investigated the kinetics of dehydration (by the Ozawa–Flynn–Wall method) and decomposition (isothermal method) of aspartame. In the study by [19], the activation energy for the dehydration process of a standard sample of hemi-hydrated aspartame was 218 kJ mol−1.
However, the decomposition kinetics for a sample of aspartame hemihydrate using an isothermal method obtained activation energy values from 171 to 328 °C in temperatures ranging from 80 to 200 °C [25]. In addition to the distinct temperature ranges evaluated, other compounds in the commercial tabletop sweetener sample (A1) composition may have contributed to the differences between the activation energy values obtained in this study and those found in the literature.
4. Conclusions
The comparison of the TG curves indicates that the commercial samples based on natural sweeteners presented higher thermal stability when compared to the samples based on artificial sweeteners, based on the following order: xylitol > erythritol > C1 (based on saccharin) > A1 (based on aspartame). So, it is favorable to mention that xylitol and erythritol should be preferable in tabletop beverages or food since they will not degrade themselves or liberate any components at temperatures lower than 150 °C.
The ASTM E-698 method presented a good fit for the present study about the thermal decomposition kinetic profile of all commercial tabletop sweeteners. It is observed that even if the xylitol sample has the highest thermal stability, the kinetic parameters indicate that it requires lower energy to initiate its decomposition reaction. On the other hand, the saccharin-based sample requires the highest energy expenditure to initiate its degradation process, and the presence of dextrose in its composition may have contributed to the increase in activation energy.
Author Contributions
Writing—review and editing, Writing—original draft, Methodology, Formal analysis, Data curation, Conceptualization, N.d.S.S.; Writing—review and editing, Writing—original draft, Methodology, Validation, Supervision, Resources, Conceptualization, M.G.M.; Supervision, Resources. S.N.M.; Validation, Supervision, T.C.d.S. All authors have read and agreed to the published version of the manuscript.
Funding
The authors would like to thank the Brazilian Council for Scientific and Technological Development (CNPq-440631/2024-6), the Brazilian Federal Agency for Support and Evaluation of Graduate Education (CAPES, financing code (001)-, Carlos Chagas Filho Foundation for Research Support of the State of Rio de Janeiro (FAPERJ-E-26/201.257/2022; E-26/210.032/2024; E-26/210.132/2024) for their financial support funding.
Institutional Review Board Statement
Not applicable.
Informed Consent Statement
Not applicable.
Data Availability Statement
Data are available in this manuscript.
Acknowledgments
We extend our appreciation tothe Brazilian Council for Scientific and Technological Development (CNPq), the Brazilian Federal Agency for Support and Evaluation of Graduate Education (CAPES)—Carlos Chagas Filho Foundation for Research Support of the State of Rio de Janeiro (FAPERJ). The authors also thank Thermal Analysis RJ Ivo Giolito Laboratory and Leni Leite Rheology Laboratory/UFRJ.
Conflicts of Interest
The authors declare no conflicts of interest.
References
- Carocho, M.; Morales, P.; Ferreira, I.C.F.R. Sweeteners as food additives in the XXI century: A review of what is known, and what is to come. Food Chem. Toxicol. 2017, 107, 302–317. [Google Scholar] [CrossRef]
- IMARC. Low-Calorie Sweetener Market Report by Source (Natural, Artificial), Product (Sucralose, Saccharin, Aspartame, 11 Neotame, Advantam, Acesulfame Potassium, Stevia, and Others), Form (Solid, Liquid), Application (Food, Beverages, 12 Pharmaceuticals, and Others), and Region 2024–2032. Available online: https://www.imarcgroup.com/low-calorie-sweetener-market (accessed on 29 January 2025).
- International Diabetes Federation. Diabetes. Facts & Figures, IDF. Available online: https://idf.org/about-diabetes/diabetes-facts-figures/ (accessed on 29 January 2025).
- Market Research Future. Sweeteners Market Research Report Information By Type (Natural, and Artificial), By Application (Bakery and Confectionery, Dairy and Frozen Desserts, Beverages, and Others), And By Region (North America, Europe, Asia-Pacific, And Rest Of The World)—Market Forecast Till 2032. Available online: https://www.marketresearchfuture.com/reports/sweeteners-market-5000 (accessed on 29 January 2025).
- World Health Organization. Aspartame Hazard and Risk Assessment Results Released. Available online: https://www.who.int/news/item/14-07-2023-aspartame-hazard-and-risk-assessment-results-released (accessed on 29 January 2025).
- Santana, N.S.; Mothé, M.G.; Mothé, C.G. Thermal and rheological behavior of non-nutritive sweeteners. J. Therm. Anal. Calorim. 2019, 138, 3577–3586. [Google Scholar] [CrossRef]
- Santana, N.S.; Mothé, C.G.; de Souza, M.N.; Mothé, M.G. An investigation by thermal analysis of glycosidic natural sweeteners. J. Therm. Anal. Calorim. 2022, 147, 13275–13287. [Google Scholar] [CrossRef]
- Santana, N.S.; Mothé, C.G.; de Souza, M.N.; Mothé, M.G. Thermal and rheological study of artificial and natural powder tabletop sweeteners. Food Res. Int. 2022, 162, 112039. [Google Scholar] [CrossRef] [PubMed]
- Cui, H.-W.; Jiu, J.-T.; Sugahara, T.; Nagao, S.; Suganuma, K.; Uchida, H.; Schroder, K.A. Using the Friedman method to study the thermal degradation kinetics of photonically cured electrically conductive adhesives. J. Therm. Anal. Calorim. 2015, 119, 425–433. [Google Scholar] [CrossRef]
- Roos, Y.H. Thermal analysis, state transitions and food quality. J. Therm. Anal. Calorim. 2003, 71, 197–203. [Google Scholar] [CrossRef]
- Wesolowski, M.; Rojek, B. Thermogravimetric detection of incompatibilities between atenolol and excipients using multivariate techniques. J. Therm. Anal. Calorim. 2013, 113, 169–177. [Google Scholar] [CrossRef]
- Magnuson, B.A.; Roberts, A.; Nestmann, E.R. Critical review of the current literature on the safety of sucralose. Food Chem. Toxicol. 2017, 106, 324–355. [Google Scholar] [CrossRef] [PubMed]
- Soejarto, D.D.; Addo, E.M.; Kinghorn, A.D. Highly sweet compounds of plant origin: From ethnobotanical observations to wide utilization. J. Ethnopharmacol. 2019, 243, 112056. [Google Scholar] [CrossRef] [PubMed]
- Mitchell, H. Sweeteners and Sugar Alternatives in Food Technology, 1st ed.; Wiley-Blackwell: Hoboken, NJ, USA, 2006. [Google Scholar]
- ASTM E698-23; Standard Test Method for Kinetic Parameters for Thermally Unstable Materials Using Differential Scanning Calorimetry and the Flynn/Wall/Ozawa Method. ASTM: West Conshohocken, PA, USA, 2023. [CrossRef]
- Ghaderi, F.; Nemati, M.; Siahi-Shadbad, M.R.; Valizadeh, H.; Monajjemzadeh, F. DSC kinetic study of the incompatibility of doxepin with dextrose. J. Therm. Anal. Calorim. 2016, 123, 2081–2090. [Google Scholar] [CrossRef]
- Siahi, M.R.; Rahimi, S.; Monajjemzadeh, F. Analytical Investigation of the Possible Chemical Interaction of Methyldopa with Some Reducing Carbohydrates Used as Pharmaceutical Excipients. Adv. Pharm. Bull. 2018, 8, 657–666. [Google Scholar] [CrossRef]
- Castro-Cabado, M.; Parra-Ruiz, F.J.; Casado, A.L.; Román, J.S. Thermal Crosslinking of Maltodextrin and Citric Acid. Methodology to Control the Polycondensation Reaction under Processing Conditions. Polym. Polym. Compos. 2016, 24, 643–654. [Google Scholar] [CrossRef]
- Hsieh, W.; Cheng, W.; Chen, L.; Lin, S. Non-isothermal dehydration kinetic study of aspartame hemihydrate using DSC, TGA and DSC-FTIR microspectroscopy. Asian J. Pharm. Sci. 2018, 13, 212–219. [Google Scholar] [CrossRef] [PubMed]
- Leung, S.S.; Padden, B.E.; Munson, E.J.; Grant, D.J.W. Solid-State Characterization of Two Polymorphs of Aspartame Hemihydrate. J. Pharm. Sci. 1998, 87, 501–507. [Google Scholar] [CrossRef] [PubMed]
- Guguta, C.; Meekes, H.; de Gelder, R. The hydration/dehydration behavior of aspartame revisited. J. Pharm. Biomed. Anal. 2008, 46, 617–624. [Google Scholar] [CrossRef] [PubMed]
- de Carvalho, L.C.; Segato, M.P.; Nunes, R.S.; Novak, C.; Cavalheiro, É.T.G. Thermoanalytical studies of some sweeteners. J. Therm. Anal. Calorim. 2009, 97, 359–365. [Google Scholar] [CrossRef]
- Ferreira, P.O.; de Moura, A.; de Almeida, A.C.; dos Santos, É.C.; Kogawa, A.C.; Caires, F.J. Mechanochemical synthesis, thermoanalytical study and characterization of new multicomponent solid forms of norfloxacin with saccharin. J. Therm. Anal. Calorim. 2022, 147, 1985–1997. [Google Scholar] [CrossRef]
- Lech, A.; Garbacz, P.; Sikorski, A.; Gazda, M.; Wesolowski, M. New Saccharin Salt of Chlordiazepoxide: Structural and Physicochemical Examination. Int. J. Mol. Sci. 2022, 23, 12050. [Google Scholar] [CrossRef] [PubMed]
- Conceição, M.M.; Fernandes, V.J., Jr.; Sinfrônio, F.S.M.; Santos, J.C.O.; Silva, M.C.D.; Fonseca, V.M.; Souza, A.G. Evaluation of isothermal kinetic of sweetener. J. Therm. Anal. Calorim. 2005, 79, 263–266. [Google Scholar] [CrossRef]
Disclaimer/Publisher’s Note: The statements, opinions and data contained in all publications are solely those of the individual author(s) and contributor(s) and not of MDPI and/or the editor(s). MDPI and/or the editor(s) disclaim responsibility for any injury to people or property resulting from any ideas, methods, instructions or products referred to in the content. |
© 2025 by the authors. Licensee MDPI, Basel, Switzerland. This article is an open access article distributed under the terms and conditions of the Creative Commons Attribution (CC BY) license (https://creativecommons.org/licenses/by/4.0/).







