Dynamics of Subordinate Fractional Diffusion Moments on Curved Surfaces at Short Times
Abstract
1. Introduction
2. Laplace–Beltrami Diffusion in Riemann Normal Coordinates
Short-Time Expansion of Moments
3. Time-Fractional Diffusion and Subordination
4. Curvature Effects on Short-Time Fractional Dynamics of Moments
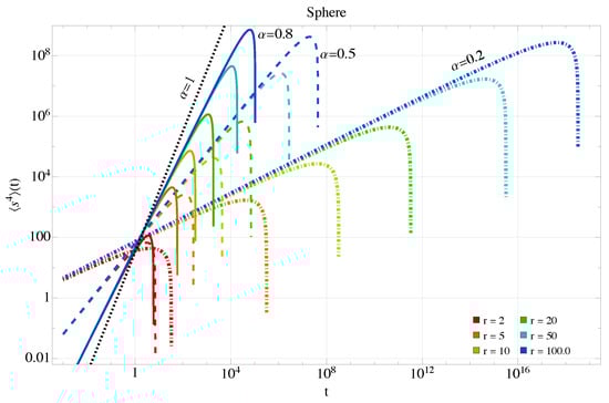
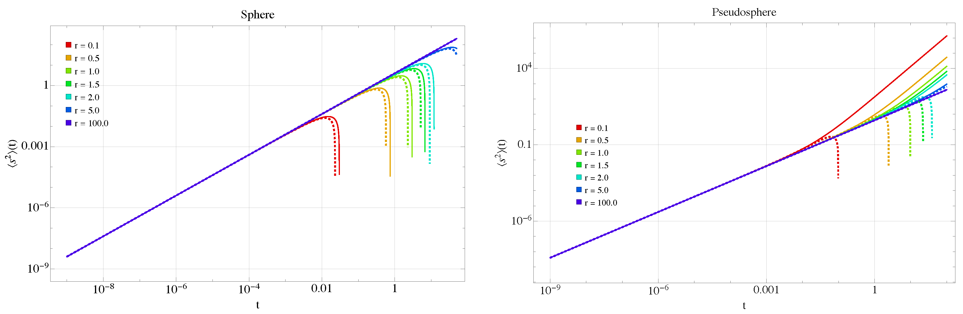
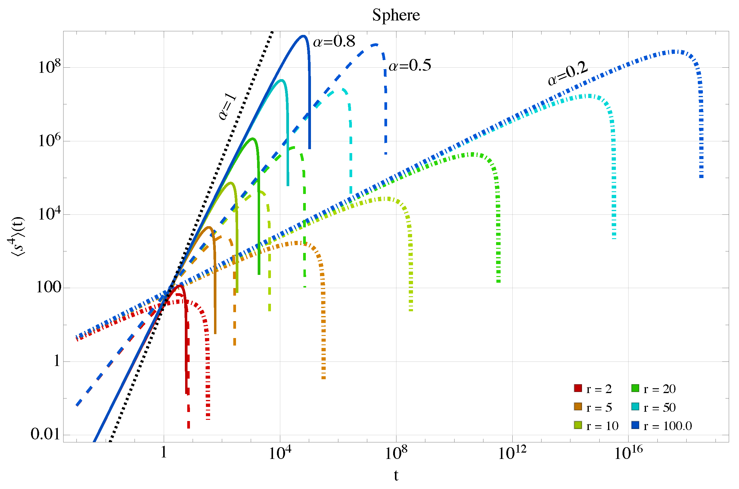
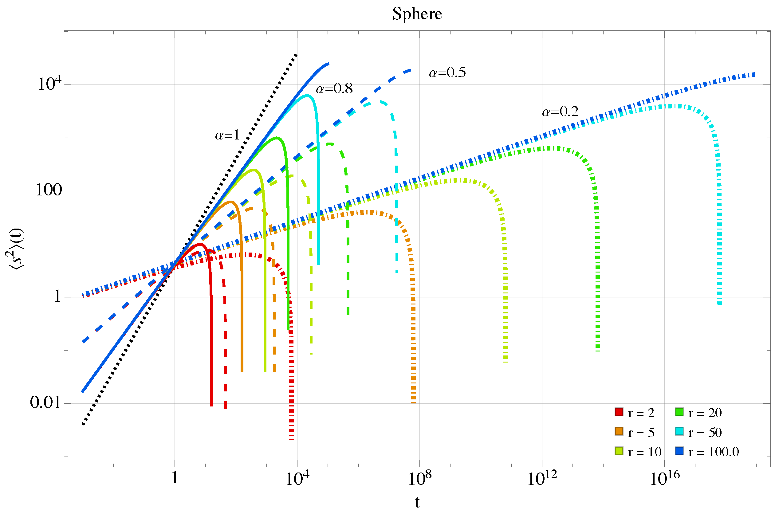
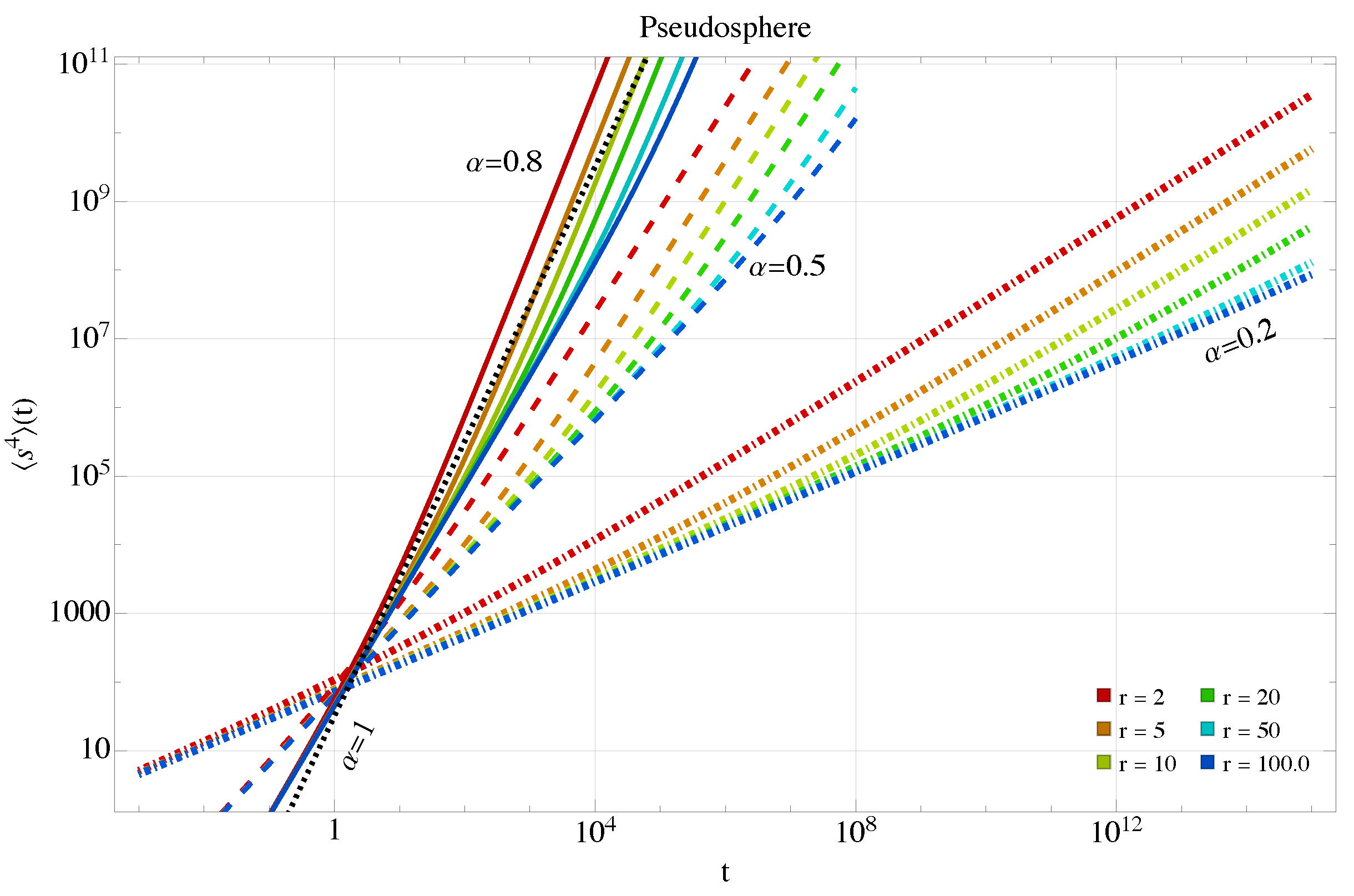
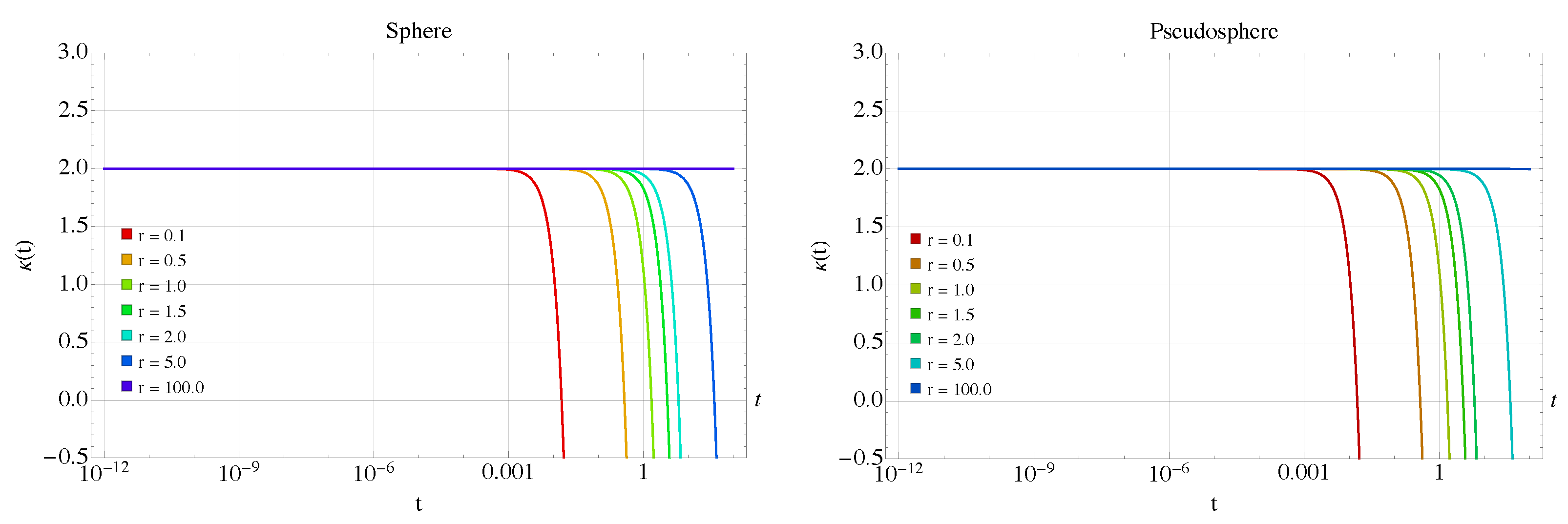
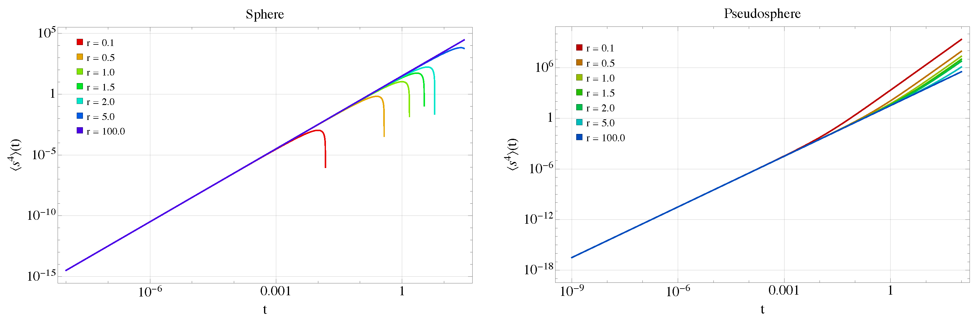
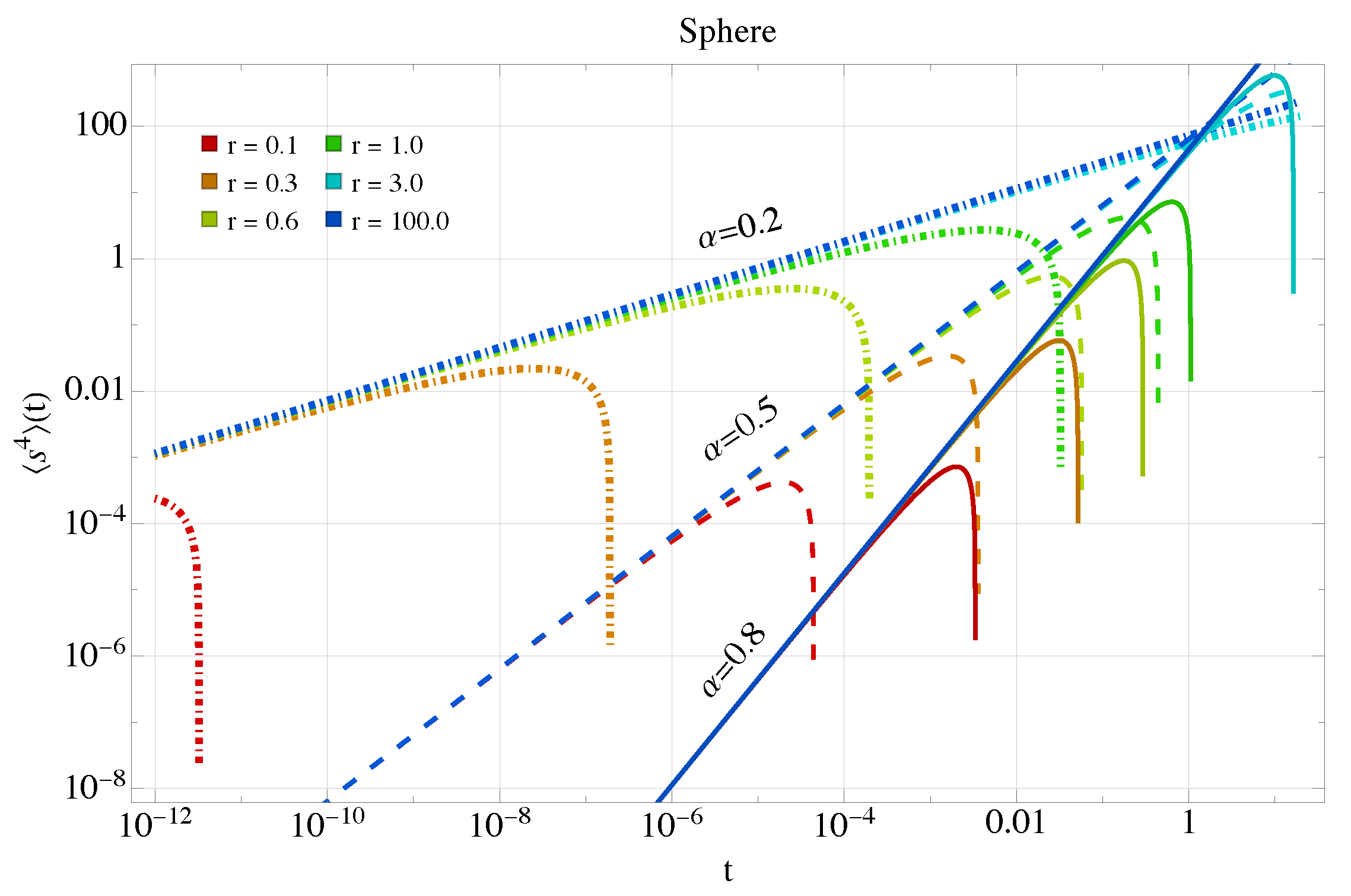
5. Illustrative Examples
5.1. Sphere and Pseudosphere
5.1.1. Normal Diffusion
5.1.2. Anomalous Case
5.2. Torus
6. Discussion and Conclusions
Author Contributions
Funding
Data Availability Statement
Conflicts of Interest
References
- Dhont, J.K.G. An Introduction to Dynamics of Colloids; Elsevier Science: Amsterdam, The Netherlands, 1996. [Google Scholar]
- Castañeda-Priego, R. Colloidal soft matter physics. Rev. Mex. Fís. 2021, 67, 050101. [Google Scholar] [CrossRef]
- Sackman, E.; Lipowsky, R. (Eds.) Structure and Dynamics of Membranes; North Holland: Amsterdam, The Netherlands, 1995. [Google Scholar]
- Alberts, B.; Johnson, A.; Lewis, J.; Morgan, D.; Raff, M. Molecular Biology of the Cell, 3rd ed.; Garland Publishing, Inc.: New York, NY, USA; London, UK, 1994. [Google Scholar]
- Duplantier, B. Harmonic Measure of Some Fractal Sets. Phys. Rev. Lett. 1998, 81, 5489. [Google Scholar] [CrossRef]
- Svetitsky, B. Diffusion of charmed quarks in the quark-gluon plasma. Phys. Rev. D 1988, 37, 2484. [Google Scholar] [CrossRef]
- Hu, B.L.; Verdaguer, E. Stochastic Gravity: Theory and Applications. Living Rev. Relativ. 2008, 11, 3. [Google Scholar] [CrossRef]
- Dunkel, J.; Hänggi, P. Relativistic Brownian motion. Phys. Rep. 2009, 471, 1–73. [Google Scholar] [CrossRef]
- Trzetrzelewski, M. The fractional porous medium equation on the sphere. Europhys. Lett. 2017, 117, 38004. [Google Scholar] [CrossRef][Green Version]
- Weiss, M.; Hashimoto, H.; Nilsson, T. Size-dependent diffusion of membrane proteins in lipid membranes. Biophys. J. 2003, 84, 4043–4047. [Google Scholar] [CrossRef]
- Gambin, Y.; Lopez-Esparza, R.; Reffay, M.; Sierecki, E.; Gov, N.S.; Genest, M.; Hodges, R.S.; Urbach, W. Lateral mobility of proteins in liquid membranes revisited. Proc. Natl. Acad. Sci. USA 2006, 103, 2098–2102. [Google Scholar] [CrossRef]
- Sbalzarini, I.F.; Hayer, A.; Helenius, A.; Koumoutsakos, P. Simulations of (An)Isotropic Diffusion on Curved Biological Surfaces. Biophys. J. 2006, 90, 878. [Google Scholar] [CrossRef]
- Heinrich, M.; Tian, A.; Esposito, C.; Baumgart, T. Dynamic sorting of lipids and proteins in membrane tubes with a moving phase boundary. Proc. Natl. Acad. Sci. USA 2010, 107, 7208. [Google Scholar] [CrossRef]
- Aizenbud, B.M.; Gershon, N.D. Diffusion of molecules on biological membranes of nonplanar form. A theoretical study. Biophys. J. 1982, 38, 287. [Google Scholar] [CrossRef]
- Balakrishnan, J. Diffusion on a curved surface: Physics of chemiexcitation. Phys. Rev. E 2000, 61, 4648. [Google Scholar] [CrossRef]
- Faraudo, J. Diffusion equation on curved surfaces. I. Theory and application to biological membranes. J. Chem. Phys. 2002, 116, 5831–5841. [Google Scholar] [CrossRef]
- Castro-Villarreal, P. Brownian motion meets Riemann curvature. J. Stat. Mech. Theory Exp. 2010, 2010, P08006. [Google Scholar] [CrossRef]
- Castro-Villarreal, P.; Solano-Cabrera, C.O.; Castañeda-Priego, R. Covariant description of the colloidal dynamics on curved manifolds. Front. Phys. 2023, 11, 1204751. [Google Scholar] [CrossRef]
- Holyst, R.; Plewczyński, D.; Aksimentiev, A. Diffusion of spheroidal macromolecules in narrow channels. Phys. Rev. E 1999, 60, 302. [Google Scholar]
- Christensen, M. A Brownian dynamics algorithm for colloids. J. Comput. Phys. 2004, 201, 421. [Google Scholar] [CrossRef]
- Castro-Villarreal, P.; Villada-Balbuena, A.; Méndez-Alcaraz, J.M.; Castañeda-Priego, R.; Estrada-Jiménez, S. A Brownian dynamics algorithm for colloids in curved manifolds. J. Chem. Phys. 2014, 140, 214115. [Google Scholar] [CrossRef]
- Yang, Y.; Li, B. A simulation algorithm for Brownian dynamics on complex curved surfaces. J. Chem. Phys. 2019, 151, 164901. [Google Scholar] [CrossRef]
- Valdés Gómez, A.; Sevilla, F.J. A geometrical method for the Smoluchowski equation on the sphere. J. Stat. Mech. Theory Exp. 2021, 2021, 083210. [Google Scholar] [CrossRef]
- Ramírez-Garza, O.A.; Méndez-Alcaraz, J.M.; González-Mozuelos, P. Effects of the curvature gradient on the distribution and diffusion of colloids confined to surfaces. Phys. Chem. Chem. Phys. 2021, 23, 8661–8672. [Google Scholar] [CrossRef]
- Reister, E.; Seifert, U. Lateral diffusion of a protein on a fluctuating membrane. Europhys. Lett. 2005, 71, 859. [Google Scholar] [CrossRef]
- Gov, N.S. Membrane undulations driven by chemically active proteins. Phys. Rev. E 2006, 73, 041918. [Google Scholar] [CrossRef]
- Naji, A.; Brown, F.L.H. Diffusion on ruffled membrane surfaces. J. Chem. Phys. 2007, 126, 235103. [Google Scholar] [CrossRef] [PubMed]
- Reister-Gottfried, E.; Leitenberger, S.M.; Seifert, U. Hybrid simulations of lateral diffusion on fluctuating membranes. Phys. Rev. E 2010, 81, 031903. [Google Scholar] [CrossRef] [PubMed]
- Ogawa, N. Diffusion of a particle on a fluctuating membrane. Phys. Rev. E 2010, 81, 061113. [Google Scholar] [CrossRef]
- DeWitt, B.S. Dynamical theory of groups and fields. In Relativity, Groups and Topology; DeWitt, C., DeWitt, B., Eds.; Gordon and Breach: New York, NY, USA, 1964; pp. 587–820. [Google Scholar]
- Gibbons, G.W. Quantum field theory in curved spacetime. In General Relativity: An Einstein Centenary Survey; Hawking, S.W., Israel, W., Eds.; Cambridge University Press: Cambridge, UK, 1979; pp. 639–679. [Google Scholar]
- Sakai, T. On eigenvalues of Laplacian and curvature of Riemannian manifold. Tohoku Math. J. 1971, 23, 589–603. [Google Scholar] [CrossRef]
- Gilkey, P.B. The spectral geometry of a Riemannian manifold. J. Differ. Geom. 1975, 10, 401–418. [Google Scholar] [CrossRef]
- Amsterdamski, P.; Berkin, A.L.; O’Connor, D.J. b8 coefficient of the heat kernel for a compact Riemannian manifold. Class. Quantum Grav. 1989, 6, 1981. [Google Scholar] [CrossRef]
- Höfling, F.; Franosch, T. Anomalous transport in the crowded world of biological cells. Rep. Prog. Phys. 2013, 76, 046602. [Google Scholar] [CrossRef]
- Metzler, R.; Klafter, J. The random walk’s guide to anomalous diffusion: A fractional dynamics approach. Phys. Rep. 2000, 339, 1–77. [Google Scholar] [CrossRef]
- Podlubny, I. Fractional Differential Equations; Academic Press: San Diego, CA, USA, 1999. [Google Scholar]
- Faustmann, M.; Rieder, A. Fractional diffusion in the full space: Decay and regularity. Fract. Calc. Appl. Anal. 2022, 25, 1106–1133. [Google Scholar] [CrossRef]
- Roidos, N.; Shao, Y. The fractional porous medium equation on manifolds with conical singularities I. J. Evol. Eq. 2022, 22, 8. [Google Scholar] [CrossRef]
- Roidos, N.; Shao, Y. The fractional porous medium equation on manifolds with conical singularities II. Math. Nachr. 2023, 296, 1616–1650. [Google Scholar] [CrossRef]
- Helin, T.; Lassas, M.; Ylinen, L.; Zhang, Z. Inverse problems for heat equation and space-time fractional diffusion equation with one measurement. J. Diff. Eq. 2020, 269, 7498–7528. [Google Scholar] [CrossRef]
- Monroy, A.; Raposo, E.P. Solution of the space-fractional diffusion equation on bounded domains of superdiffusive phenomena. Phys. Rev. E 2024, 110, 054119. [Google Scholar] [CrossRef]
- Berchio, E.; Bonforte, M.; Grillo, G. Smoothing Effects and Extinction in Finite Time for Fractional Fast Diffusions on Riemannian Manifolds. J. Geom. Anal. 2025, 35, 162. [Google Scholar] [CrossRef]
- Caspi, A.; Granek, R.; Elbaum, M. Enhanced Diffusion in Active Intracellular Transport. Phys. Rev. Lett. 2000, 85, 5655–5658. [Google Scholar] [CrossRef]
- Weiss, M.; Elsner, M.; Kartberg, F.; Nilsson, T. Anomalous Subdiffusion Is a Widespread Phenomenon in Live-Cell Plasma Membranes. Biophys. J. 2004, 87, 3518–3524. [Google Scholar] [CrossRef]
- Jeon, J.H.; Tejedor, V.; Burov, S.; Barkai, E.; Selhuber-Unkel, C.; Berg-Sørensen, K.; Oddershede, L.; Metzler, R. In Vivo-Measured Diffusivity of a Protein Needs Correction for Itinerant Binding. Phys. Rev. Lett. 2011, 106, 048103. [Google Scholar] [CrossRef]
- Tabei, S.M.A.; Burov, S.; Kim, H.Y.; Kuznetsov, A.; Huynh, T.; Jureller, J.; Philipson, L.H.; Dinner, A.R.; Scherer, N.F. Intracellular transport of insulin granules is a subordinated random walk. Proc. Natl. Acad. Sci. USA 2013, 110, 4911–4916. [Google Scholar] [CrossRef] [PubMed]
- Banks, D.S.; Fradin, C. Anomalous Diffusion of Proteins Due to Molecular Crowding. Biophys. J. 2005, 89, 2960–2971. [Google Scholar] [CrossRef] [PubMed]
- Szymanski, J.; Weiss, M. Elucidating the Origin of Anomalous Diffusion in Crowded Fluids. Phys. Rev. Lett. 2009, 103, 038102. [Google Scholar] [CrossRef] [PubMed]
- Fogedby, H.C. Langevin equations for continuous time Lévy flights. Phys. Rev. E 1994, 50, 1657–1660. [Google Scholar] [CrossRef]
- Meerschaert, M.M.; Benson, D.A.; Scheffler, H.P.; Baeumer, B. Stochastic solution of space-time fractional diffusion equations. Phys. Rev. E 2002, 65, 041103. [Google Scholar] [CrossRef]
- Hatzinikitas, A. A note on the random walk on a curved surface. arXiv 2000, arXiv:hep-th/0001078. [Google Scholar]
- Zhong, Y.; Zhao, L.; Tyrlik, P.M.; Wang, G. Investigating Diffusing on Highly Curved Water-Oil Interface Using Three-Dimensional Single Particle Tracking. J. Phys. Chem. C 2017, 121, 8023–8032. [Google Scholar] [CrossRef]
- Shi, Y.; Liu, F.; Li, Y.; Zhu, J.; Yang, M.; Zhao, K.; Zong, Y. The single-particle dynamics of square platelets on an inner spherical surface. J. Colloid Interface Sci. 2025, 700, 138513. [Google Scholar] [CrossRef]
- Ledesma-Durán, A.; Juárez-Valencia, L.H. Diffusion coefficients and MSD measurements on curved membranes and porous media. Eur. Phys. J. E 2023, 46, 70. [Google Scholar] [CrossRef]
- Metzler, R.; Barkai, E.; Klafter, J. Anomalous Diffusion and Relaxation Close to Thermal Equilibrium: A Fractional Fokker-Planck Equation. Phys. Rev. Lett. 1999, 82, 3563–3567. [Google Scholar] [CrossRef]
- Kenkre, V.M.; Montroll, E.W.; Shlesinger, M.F. Generalized master equations for continuous-time random walks. J. Stat. Phys. 1973, 9, 45. [Google Scholar] [CrossRef]
- Shlesinger, M.F. Origins and applications of the Montroll-Weiss continuous time random walk. Eur. Phys. J. B 2017, 90, 93. [Google Scholar] [CrossRef]
- Iomin, A.; Méndez, V.; Horsthemke, W. Fractional Dynamics in Comb-Like Structures; World Scientific: Singapore, 2018. [Google Scholar]
- Sandev, T.; Iomin, A. Special Functions of Fractional Calculus: Applications to Diffusion and Random Search Processes; World Scientific: Singapore, 2022. [Google Scholar]
- Lutz, E. Fractional Langevin equation. Phys. Rev. E 2001, 64, 051106. [Google Scholar] [CrossRef]
- Thiel, F.; Sokolov, I.M. Weak ergodicity breaking in an anomalous diffusion process of mixed origins. Phys. Rev. E 2014, 89, 012136. [Google Scholar] [CrossRef] [PubMed]
- Jeon, J.H.; Chechkin, A.V.; Metzler, R. Scaled Brownian motion: A paradoxical process with a time dependent diffusivity for the description of anomalous diffusion. Phys. Chem. Chem. Phys. 2014, 16, 15811–15817. [Google Scholar] [CrossRef]
- Valdés Gómez, A.; Sevilla, F.J. Fractional and scaled Brownian motion on the sphere: The effects of long-time correlations on navigation strategies. Phys. Rev. E 2023, 108, 054117. [Google Scholar] [CrossRef]
- D’Ovidio, M.; Nane, E. Fractional Cauchy problems on compact manifolds. Stoch. Anal. Appl. 2016, 34, 232–257. [Google Scholar] [CrossRef]
- Odibat, Z.M.; Shawagfeh, N.T. Generalized Taylor’s formula. Appl. Math. Comput. 2007, 186, 286–293. [Google Scholar] [CrossRef]
- Daoudi, A.; Benhamou, M.; El Kinani, E.H. The study of fractional anomalous diffusion laws on the hypersphere. Gulf J. Math. 2025, 19, 121–141. [Google Scholar] [CrossRef]
- Wei, Q.; Wang, W.; Zhou, H.; Metzler, R.; Chechkin, A. Time-fractional Caputo derivative versus other integrodifferential operators in generalized Fokker-Planck and generalized Langevin equations. Phys. Rev. E 2023, 108, 024125. [Google Scholar] [CrossRef]
- Abdeljawad, T. On conformable fractional calculus. J. Comput. Appl. Math. 2015, 279, 57–66. [Google Scholar] [CrossRef]





















Disclaimer/Publisher’s Note: The statements, opinions and data contained in all publications are solely those of the individual author(s) and contributor(s) and not of MDPI and/or the editor(s). MDPI and/or the editor(s) disclaim responsibility for any injury to people or property resulting from any ideas, methods, instructions or products referred to in the content. |
© 2025 by the authors. Licensee MDPI, Basel, Switzerland. This article is an open access article distributed under the terms and conditions of the Creative Commons Attribution (CC BY) license (https://creativecommons.org/licenses/by/4.0/).
Share and Cite
Chacón-Acosta, G.; Perez-Rodriguez, A. Dynamics of Subordinate Fractional Diffusion Moments on Curved Surfaces at Short Times. Dynamics 2025, 5, 53. https://doi.org/10.3390/dynamics5040053
Chacón-Acosta G, Perez-Rodriguez A. Dynamics of Subordinate Fractional Diffusion Moments on Curved Surfaces at Short Times. Dynamics. 2025; 5(4):53. https://doi.org/10.3390/dynamics5040053
Chicago/Turabian StyleChacón-Acosta, Guillermo, and Adrian Perez-Rodriguez. 2025. "Dynamics of Subordinate Fractional Diffusion Moments on Curved Surfaces at Short Times" Dynamics 5, no. 4: 53. https://doi.org/10.3390/dynamics5040053
APA StyleChacón-Acosta, G., & Perez-Rodriguez, A. (2025). Dynamics of Subordinate Fractional Diffusion Moments on Curved Surfaces at Short Times. Dynamics, 5(4), 53. https://doi.org/10.3390/dynamics5040053

