Arthropod Foraging in a Temperate Mountain Hummingbird Ensemble
Simple Summary
Abstract
1. Introduction
2. Materials and Methods
2.1. Study Site
2.2. Field-Work
2.3. Stomach Content Analysis
2.4. Arthropod and Nectar Foraging Rates
2.5. Availability of Flowers and Floral Nectar
2.6. Arthropod Availability
2.7. Data Analysis
3. Results
3.1. Hummingbird Ensembles
3.2. Arthropod Ingestion by Hummingbirds
3.3. Hummingbird Feeding Behavior
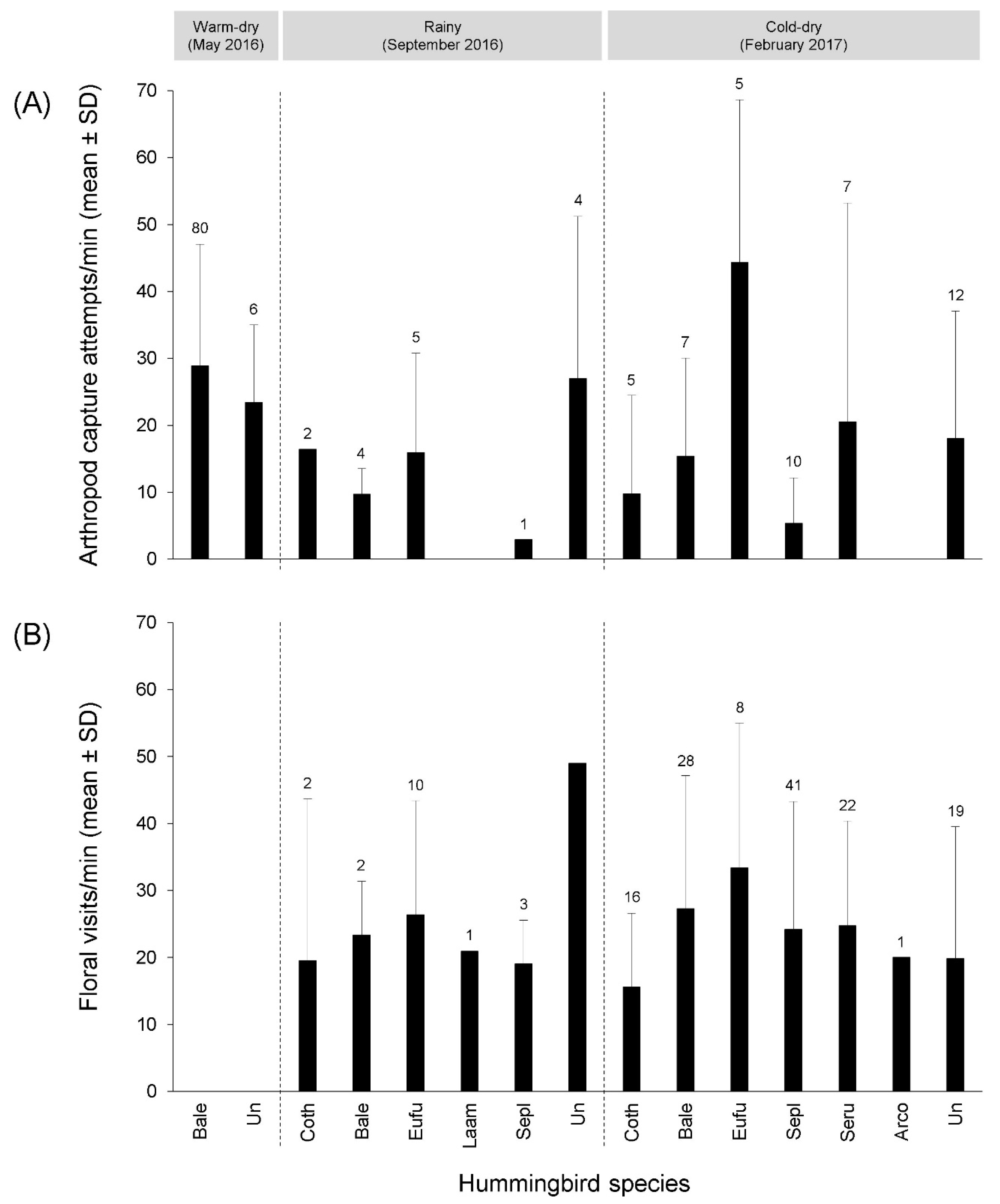
3.3.1. Foraging Rates
3.3.2. Arthropod Foraging Tactics
3.4. Food Availability
3.5. Factors Affecting Arthropod Foraging by Hummingbirds
4. Discussion
4.1. Seasonal Changes in Hummingbird Ensembles
4.2. Effect of Availability of Food Resources on Arthropod Ingestion
4.3. Arthropod Foraging Tactics
4.4. Differences in Arthropod Ingestion Among Hummingbird Species
4.5. Effects of the Population Declines of Arthropods on Hummingbirds in a Changing World
4.6. Study Limitations
5. Conclusions
Author Contributions
Funding
Institutional Review Board Statement
Data Availability Statement
Acknowledgments
Conflicts of Interest
References
- Brice, T.A.; Grau, C.R. Protein requirements of Costa’s hummingbirds Calypte costae. Physiol. Zool. 1991, 64, 611–626. [Google Scholar] [CrossRef]
- López-Calleja, M.V.; Fernández, M.J.; Bozinovic, F. The integration of energy and nitrogen balance in the hummingbird Sephanoides sephaniodes. J. Exp. Biol. 2003, 206, 3349–3359. [Google Scholar] [CrossRef]
- McWhorter, T.J.; Powers, D.R.; Martínez del Rio, C. Are hummingbirds facultatively ammonotelic? Nitrogen excretion and requirements as a function of body size. Physiol. Biochem. Zool. 2003, 76, 731–743. [Google Scholar] [CrossRef]
- Brice, T.A. The essentiality of nectar and arthropods in the diet of the Anna’s Hummingbird (Calypte anna). Comp. Biochem. Physiol. 1992, 101, 151–155. [Google Scholar] [CrossRef]
- Hainsworth, R.F. Foraging efficiency and parental care in Colibri coruscans. Condor 1977, 79, 69–75. [Google Scholar] [CrossRef]
- Kuban, J.F.; Neill, R.L. Feeding ecology of hummingbirds in the highlands of the Chisos Mountains, Texas. Condor 1980, 82, 180–185. [Google Scholar] [CrossRef]
- Montgomerie, R.D.; Redsell, C.A. A nesting hummingbird feeding solely on arthropods. Condor 1980, 82, 463–464. [Google Scholar] [CrossRef]
- Gass, C.L.; Montgomerie, R.D. Hummingbird foraging behavior: Decision making and energy regulation. In Foraging Behavior: Ecological, Ethological and Psychological Approaches; Kamil, A.C., Sargent, T.D., Eds.; Garland STDP Press: New York, NY, USA, 1981; pp. 159–194. [Google Scholar]
- Remsen, J.V.; Stiles, F.G.; Scott, P.E. Frequency of arthropods in stomachs of tropical hummingbirds. Auk 1986, 103, 436–441. [Google Scholar]
- Chavez-Ramirez, F.; Dowd, M. Arthropod feeding by two Dominican hummingbird species. Wilson Bull. 1992, 4, 743–747. [Google Scholar]
- Powers, D.R.; Van Hook, J.A.; Sandlin, E.A.; McWhorter, T.J. Arthropod foraging by a southeastern Arizona hummingbird guild. Wilson J. Ornithol. 2010, 122, 494–502. [Google Scholar] [CrossRef]
- Stiles, F.G. Behavioral, ecological and morphological correlates of foraging for arthropods by the hummingbirds of a tropical wet forest. Condor 1995, 97, 853–878. [Google Scholar] [CrossRef]
- Murphy, M.E. Nutrition and metabolism. In Avian Energetics and Nutritional Ecology; Cary, C., Ed.; Chapman and Hall: New York, NY, USA, 1996; pp. 31–60. [Google Scholar]
- Young, A.M. Foraging for insects by a tropical hummingbird. Condor 1971, 73, 36–45. [Google Scholar] [CrossRef]
- Yanega, G.M.; Rubega, M.A. Hummingbird jaw bends to aid insect capture. Nature 2004, 428, 615. [Google Scholar] [CrossRef]
- Moran, A.J.; Prosser, S.W.J.; Moran, J.A. DNA metabarcoding allows non-invasive identification of arthropod prey provisioned to nestling Rufous hummingbirds (Selasphorus rufus). PeerJ 2019, 7, e6596. [Google Scholar] [CrossRef] [PubMed]
- Collins, B.G.; Briffa, P. Seasonal variation of abundance and foraging of three species of Australian honeyeaters. Wildl. Res. 1982, 9, 557–569. [Google Scholar] [CrossRef]
- Recher, H.F.; Davis, W.E., Jr. Foraging ecology of a mulga bird community. Wildl. Res. 1997, 24, 27–43. [Google Scholar] [CrossRef]
- Daniels, C.L.; Downs, C.T.; MacLean, G.L. Arthropods in the diet of nectarivorous sunbirds (Passeriformes: Nectariniidae) and sugarbirds (Passeriformes: Promeropidae). Durban Mus. Nov. 2001, 26, 45–48. [Google Scholar]
- Timewell, C.A.; Mac Nally, R. Diurnal foraging-mode shifts and food availability in nectarivore assemblages during winter. Austral Ecol. 2004, 29, 264–277. [Google Scholar] [CrossRef]
- Capra, L.; Macías, J.L. The cohesive Naranjo debris-flow deposit (10 km3): A dam breakout flow derived from the Pleistocene debris-avalanche deposit of Nevado de Colima Volcano (México). J. Volcanol. Geotherm. Res. 2002, 117, 213–235. [Google Scholar] [CrossRef]
- Macías, J.L. Geología e historia eruptiva de algunos de los grandes volcanes activos de México. Bol. Soc. Geol. Mex. 2005, 57, 379–424. [Google Scholar] [CrossRef]
- Comisión Nacional de Áreas Naturales Protegidas (CONANP). Programa de Conservación y Manejo Parque Nacional Volcán Nevado de Colima. 2006. Available online: https://www.gob.mx/conanp/acciones-y-programas/programas-de-manejo (accessed on 16 March 2012).
- Schondube, J.E. Differences in nectar use potential in a guild of birds: A gut’s view. Ornitol. Neotrop. 2012, 23, 97–113. [Google Scholar]
- Comisión Nacional de Áreas Naturales Protegidas (CONANP). Plataforma de Información Climática. 2017. Available online: https://www.gob.mx/conanp/acciones-y-programas/plataforma-de informacion-climatica (accessed on 2 June 2019).
- Calder, W.A.; Contreras-Martínez, S. Migrant hummingbirds and warblers on Mexican wintering grounds. In Conservation of Neotropical Migratory Birds in Mexico; Wilson, M.H., Sader, S.A., Eds.; Maine Agricultural and Forest Experiment Station: Orono, ME, USA, 1993; pp. 123–138. [Google Scholar]
- Maya-García, O. Efecto de la Capacidad Digestiva Sobre una Comunidad de Colibríes. Master’s Thesis, Universidad Nacional Autónoma de México, Mexico City, Mexico, 2014. [Google Scholar]
- DesGranges, J.L. Organization of a tropical nectar feeding bird guild in a variable environment. Living Bird 1979, 17, 199–236. [Google Scholar]
- Suárez-García, O.; López-Osorio, E.; Rös, M. Breeding in the cold? A White-eared Hummingbird (Basilinna leucotis) winter nest record from the mountains of Southern Oaxaca, Mexico. Wilson J. Ornithol. 2020, 132, 755–761. [Google Scholar] [CrossRef] [PubMed]
- Cortez-Rodríguez, P.E.; López-Segoviano, G.; Sentíes-Aguilar, E.; Díaz-Infante, S.; Martén-Rodríguez, S. Anidación de dos especies de colibríes y fenología de sus recursos florales en el Nevado de Colima. Huitzil Rev. Mex. Ornitol. EEspecial 2022, 23, 64. [Google Scholar]
- Ralph, C.J.; Geupel, G.R.; Pyle, P.; Martin, T.E.; DeSante, D.F. Handbook of Field Methods for Monitoring Landbirds; General Technical Report PSW-GTR-144-www; Pacific Southwest Research Station, Forest Service, U.S. Department of Agriculture: Albany, CA, USA, 1993. [Google Scholar]
- Williamson, S. A Field Guide to Hummingbirds of North America; Houghton Mifflin Harcourt: New York, NY, USA, 2001. [Google Scholar]
- Howell, S.N.G. Hummingbirds of North America: The Photographic Guide; Princeton University Press: Princeton, NJ, USA, 2003. [Google Scholar]
- Russell, S.M.; Russell, R.O.; Pollock, J.; Hill, A. The North American Banders’ Manual for Banding Hummingbirds; North American Banding Council: Tucson, AZ, USA, 2019. [Google Scholar]
- Fair, J.; Paul, E.; Jones, J. Guía para la Utilización de Aves Silvestres en Investigación, 3rd ed.; El Consejo de Ornitología: Washington, DC, USA, 2010. [Google Scholar]
- Triplehorn, A.C.; Johnson, F.N. Borror and Delong’s Introduction to the Study of Insects, 7th ed.; Thomson Brooks/Cole: Belmont, CA, USA, 2005. [Google Scholar]
- Altmann, J. Observational study of behavior: Sampling methods. Behaviour 1974, 3, 227–267. [Google Scholar] [CrossRef]
- Martin, P.; Bateson, M. Measuring Behaviour: An Introduction Guide; Cambridge University Press: Cambridge, UK, 2007. [Google Scholar]
- Hirschler, I.M.; Gedert, J.L.; Majors, J.; Townsend, T.; Hoogland, J.L. What is the best way to estimate vigilance? A comparison of two methods for Gunnison’s prairie dogs, Cynomys gunnisoni. Anim. Behav. 2016, 121, 117–122. [Google Scholar] [CrossRef]
- Oliveira, G.F.D.; Caldara, F.R.; Garcia, R.G.; Seno, L.D.O.; Marcon, Á.V.; Foppa, L.; Martins, R.A.; Crone, C. Different intervals of behavioral observation in the scanning method and the real behavior of pigs. Rev. Bras. Zootecn. 2018, 47, e20180016. [Google Scholar] [CrossRef]
- Florkiewicz, B.N.; Campbell, M.W. A comparison of focal and opportunistic sampling methods when studying chimpanzee facial and gestural communication. Folia Primatol. 2021, 92, 164–174. [Google Scholar] [CrossRef]
- Brereton, J.E.; Tuke, J.; Fernandez, E.J. A simulated comparison of behavioural observation sampling methods. Sci. Rep. 2022, 12, 3096. [Google Scholar] [CrossRef]
- Kaburu, S.S.; Balasubramaniam, K.N.; Marty, P.R.; Beisner, B.; Fuji, K.; Bliss-Moreau, E.; McCowan, B. Effect of behavioural sampling methods on local and global social network metrics: A case-study of three macaque species. R. Soc. Open Sci. 2023, 10, 231001. [Google Scholar] [CrossRef]
- Recher, H.F.; Holmes, R.T.; Schulz, M.; Shields, J.; Kavanagh, R. Foraging patterns of breeding birds in eucalypt forest and woodland of southeastern Australia. Austral Ecol. 1985, 10, 399–419. [Google Scholar] [CrossRef]
- Recher, H.F., Jr.; Davis, W.E. The foraging profile of a wandoo woodland avifauna in early spring. Austral Ecol. 1998, 23, 514–527. [Google Scholar] [CrossRef]
- Kearns, C.A.; Inouye, D.W. Techniques for Pollination Biologist; University Press of Colorado: Denver, CO, USA, 1993. [Google Scholar]
- Possingham, H.P. The distribution and abundance of resources encountered by a forager. Am. Nat. 1989, 133, 42–60. [Google Scholar] [CrossRef]
- Cottam, G.; Curtis, J.T. The use of distance measures in phytosociological sampling. Ecology 1956, 37, 451–460. [Google Scholar] [CrossRef]
- Pollard, J.H. On distance estimators of density in randomly distributed forests. Biometrics 1971, 27, 991–1002. [Google Scholar] [CrossRef]
- Mitchell, K. Quantitative Analysis by the Point-Centered Quarter Method; Department of Mathematics and Computer Science, Hobart and William Smith Colleges: New York, NY, USA, 2007. [Google Scholar]
- Basset, Y.; Springate, N.D.; Aberlenc, H.P.; Delvare, G. A review of methods for collecting arthropods in tree canopies. In Canopy Arthropods; Stork, N.E., Adis, J.A., Didham, R.K., Eds.; Chapman & Hall: London, UK, 1997; pp. 27–52. [Google Scholar]
- Nageleisen, L.M.; Bouget, C. Forest Insect Studies: Methods and Techniques, Key Considerations for Standardization. An Overview of the Reflections of the Entomological Forest Inventories Working Group (Inv.Ent.For.); ONF: Paris, France, 2009. [Google Scholar]
- Wade, M.R.; Scholz, B.C.; Lloyd, R.J.; Cleary, A.J.; Franzmann, B.A.; Zalucki, M.P. Temporal variation in arthropod sampling effectiveness: The case for using the beat sheet method in cotton. Entomol. Exp. Appl. 2006, 120, 139–153. [Google Scholar] [CrossRef]
- Ausden, M.; Drake, M. Invertebrates. In Ecological Census Techniques; Sutherlan, J.W., Ed.; Cambridge University Press: Cambridge, UK, 1996; pp. 214–249. [Google Scholar]
- Zar, J.H. Biostatistical Analysis, 4th ed.; Prentice-Hall: Upper Saddle River, NJ, USA, 1999. [Google Scholar]
- R Core Team. R: A Language and Environment for Statistical Computing [Computer Software]; R Foundation for Statistical Computing: Vienna, Austria, 2024; Available online: https://www.R-project.org/ (accessed on 22 October 2024).
- JMP, version 9.0; SAS Institute Inc.: Cary, NC, USA, 2002.
- Hadley, A.S.; Betts, M.G. Tropical deforestation alters hummingbird movement patterns. Biol. Lett. 2009, 5, 207–210. [Google Scholar] [CrossRef]
- Shankar, A.; Graham, C.H.; Canepa, J.R.; Wethington, S.M.; Powers, D.R. Hummingbirds budget energy flexibly in response to changing resources. Funct. Ecol. 2019, 33, 1904–1916. [Google Scholar] [CrossRef]
- López-Calleja, M.V.; Bozinovic, F. Dynamic energy and time budgets in hummingbirds: A study in Sephanoides sephaniodes. Comp. Biochem. Physiol. 2003, 134, 283–295. [Google Scholar] [CrossRef] [PubMed]
- Zanotto, F.P.; Bicudo, J.E.P.W. Dietary protein and carbohydrate affect feeding behavior and metabolic regulation in hummingbirds (Melanotrochilus fuscus). Rev. Chil. Hist. Nat. 2005, 78, 281–294. [Google Scholar] [CrossRef]
- Karasov, H.W. Digestion in birds: Chemical and physiological determinants and ecological implications. Stud. Avian Biol. 1990, 13, 391–415. [Google Scholar]
- Paton, D.C. The diet of the New Holland honeyeater, Phylidonyris novaehollandiae. Aust. J. Ecol. 1982, 7, 279–298. [Google Scholar] [CrossRef]
- Bergquist, C.A.L. Differences in the diet of the male and female tui (Prosthemadera novaeseelandiae: Meliphagidae). N. Z. J. Zool. 1985, 12, 573–576. [Google Scholar] [CrossRef]
- Bergquist, C.A.L. Foraging tactics of tui (Meliphagidae). N. Z. J. Zool. 1987, 14, 299–303. [Google Scholar] [CrossRef]
- Damon, L.O. Foraging behaviour and resource selection of the Regent Honeyeater Xanthomyza phrygia in Northern New South Wales. Emu 2000, 100, 12–30. [Google Scholar]
- Chavez-Ramirez, F.; Tan, S.S. Habitat separation and arthropod resource use in three lesser Antillean hummingbirds. Condor 1993, 95, 455–458. [Google Scholar] [CrossRef]
- Hallmann, C.A.; Sorg, M.; Jongejans, E.; Siepel, H.; Hofland, N.; Schwan, H.; Stenmans, B.W.; Muller, A.; Sumser, H.; Horren, T.; et al. More than 75 percent decline over 27 years in total flying insect biomass in protected areas. PLoS ONE 2017, 12, e0185809. [Google Scholar] [CrossRef]
- Tsutsui, M.H.; Kobayashi, K.; Miyashita, T. Temporal trends in arthropod abundances after the transition to organic farming in paddy fields. PLoS ONE 2018, 13, e0190946. [Google Scholar] [CrossRef]
- Sánchez-Bayo, F.; Wyckhuys, K.A. Worldwide decline of the entomofauna: A review of its drivers. Biol. Conserv. 2019, 232, 8–27. [Google Scholar] [CrossRef]
- Crick, H.Q.P. The impact of climate change on birds. Ibis 2004, 146, 48–56. [Google Scholar] [CrossRef]
- Both, C.; Visser, M.E. The effect of climate change on the correlation between avian life-history traits. Glob. Change Biol. 2005, 11, 1606–1613. [Google Scholar] [CrossRef]
- Soja, A.J.; Tchebakova, N.M.; French, N.H.F.; Flannigan, M.D.; Shugart, H.H.; Stocks, B.J.; Sukhinin, A.I.; Parfenova, E.I.; Chapin III, F.S.; Stackhouse, P.W., Jr. Climate-induced boreal forest. Glob. Planet. Change 2007, 56, 274–296. [Google Scholar] [CrossRef]
- Rehfeldt, G.E.; Crookston, N.L.; Sáenz-Romero, C.; Campbell, E.M. North American vegetation model for land-use planning in a changing climate: A solution to large classification problems. Ecol. Appl. 2012, 22, 119–141. [Google Scholar] [CrossRef] [PubMed]
- Remsen, J.V.; Robinson, S.K. A classification scheme for foraging behavior of birds in terrestrial habitats. Stud. Avian Biol. 1990, 13, 144–160. [Google Scholar]
- Jordan, M.J.R. Dietary analysis for mammals and birds: A review of field techniques and animal-management applications. Int. Zoo Yearb. 2005, 39, 108–116. [Google Scholar] [CrossRef]
- Baker, R.; Crawford, H.M.; Sheaves, M. Stomach content analysis. In Quantifying Diets of Wildlife and Fish: Practical and Applied Methods; Calver, M.C., Loneragan, N.R., Eds.; CSIRO Publishing: Clayton, VIC, Australia, 2024; pp. 31–50. [Google Scholar]
- Zenzal, T.J., Jr.; Diehl, R.H.; Moore, F.R. The impact of radio-tags on Ruby-throated Hummingbirds (Archilochus colubris). Condor 2014, 116, 518–526. [Google Scholar] [CrossRef]
- Rueda-Uribe, C.; Sargent, A.J.; Echeverry-Galvis, M.Á.; Camargo-Martínez, P.A.; Capellini, I.; Lancaster, L.T.; Travis, J.M. Tracking small animals in complex landscapes: A comparison of localisation workflows for automated radio telemetry systems. Ecol. Evol. 2024, 14, e70405. [Google Scholar] [CrossRef] [PubMed]






| Season | Individual | Species | Age | Sex | Biomass of Arthropods Ingested (g Dry Weight) | Mean Biomass of Arthropods Ingested ± sd |
|---|---|---|---|---|---|---|
| Warm-dry | 1 | Amethyst-throated Mountaingem (Lampornis amethystinus) | Adult | Female | 0.001 | |
| 2 | White-eared Hummingbird (Basilinna leucotis) | Adult | Male | 0.0011 | 0.0019 ± 0.0007 (n = 4) | |
| 3 | White-eared Hummingbird (Basilinna leucotis) | Adult | Male | 0.0027 | ||
| 4 | White-eared Hummingbird (Basilinna leucotis) | Adult | Male | 0.0024 | ||
| 5 | White-eared Hummingbird (Basilinna leucotis) | Adult | Male | 0.0014 | ||
| 6 | Rivoli’s Hummingbird (Eugenes fulgens) | Adult | Female | 0.0038 | ||
| Rainy | 7 | Mexican Violetear (Colibri thalassinus) | Adult | Female | Traces | 0.0009 ± 0.0005 (n = 3) |
| 8 | Mexican Violetear (Colibri thalassinus) | Adult | Unknow | 0.0012 | ||
| 9 | Mexican Violetear (Colibri thalassinus) | Adult | Unknow | 0.0012 | ||
| 10 | Mexican Violetear (Colibri thalassinus) | Juvenile | Unknow | 0.0003 | ||
| 11 | Amethyst-throated Mountaingem (Lampornis amethystinus) | Adult | Female | 0.0006 | ||
| 12 | White-eared Hummingbird (Basilinna leucotis) | Juvenile | Female | Traces | ||
| 13 | Rivoli’s Hummingbird (Eugenes fulgens) | Adult | Male | Traces | ||
| 14 | Rivoli’s Hummingbird (Eugenes fulgens) | Adult | Female | Traces | ||
| Cold-dry | 15 | Mexican Violetear (Colibri thalassinus) | Adult | Male | 0.0007 | 0.0004 ± 0.0001 (n = 4) |
| 16 | Mexican Violetear (Colibri thalassinus) | Adult | Unknow | 0.0003 | ||
| 17 | Mexican Violetear (Colibri thalassinus) | Juvenile | Male | 0.0003 | ||
| 18 | Mexican Violetear (Colibri thalassinus) | Juvenile | Unknow | 0.0004 | ||
| 19 | White-eared Hummingbird (Basilinna leucotis) | Adult | Male | Traces | 0.0006 ± 0.0004 (n = 2) | |
| 20 | White-eared Hummingbird (Basilinna leucotis) | Adult | Male | Traces | ||
| 21 | White-eared Hummingbird (Basilinna leucotis) | Juvenile | Male | 0.0009 | ||
| 22 | White-eared Hummingbird (Basilinna leucotis) | Juvenile | Male | 0.0003 | ||
| 23 | Rivoli’s Hummingbird (Eugenes fulgens) | Adult | Male | 0.0025 | 0.001 ± 0.0013 (n = 3) | |
| 24 | Rivoli’s Hummingbird (Eugenes fulgens) | Adult | Male | 0 | ||
| 25 | Rivoli’s Hummingbird (Eugenes fulgens) | Juvenile | Male | 0.0005 | ||
| 26 | Broad-tailed Hummingbird (Selasphorus platycercus) | Adult | Female | 0.0004 | 0.00075 ± 0.00037 (n = 4) | |
| 27 | Broad-tailed Hummingbird (Selasphorus platycercus) | Adult | Female | 0.0009 | ||
| 28 | Broad-tailed Hummingbird (Selasphorus platycercus) | Adult | Female | 0.0012 | ||
| 29 | Broad-tailed Hummingbird (Selasphorus platycercus) | Juvenile | Male | 0.0005 | ||
| 30 | Rufous Hummingbird (Selasphorus rufus) | Juvenile | Male | 0.0003 | 0.00036 ± 5.77 × 10−5 (n = 3) | |
| 31 | Rufous Hummingbird (Selasphorus rufus) | Juvenile | Female | 0.0004 | ||
| 32 | Rufous Hummingbird (Selasphorus rufus) | Juvenile | Female | 0.0004 |
| Season | Species | Arthropod Capture Attempts/min | Flower Visits/min |
|---|---|---|---|
| Warm-dry | White-eared Hummingbird (Basilinna leucotis) | 28.84 ± 18.18 (n = 80) | |
| Unknown | 23.41 ± 11.59 (n = 6) | ||
| Rainy | Mexican Violetear (Colibri thalassinus) | 16.43 ± 0.00 (n = 2) | 19.54 ± 24.19 (n = 2) |
| White-eared Hummingbird (Basilinna leucotis) | 9.72 ± 3.82 (n = 4) | 23.34 ± 8.00 (n = 2) | |
| Rivoli’s Hummingbird (Eugenes fulgens) | 15.94 ± 14.82 (n = 5) | 26.38 ± 16.99 (n = 10) | |
| Amethyst-throated Mountaingem (Lampornis amethystinus) | 20.93 (n = 1) | ||
| Broad-tailed Hummingbird (Selasphorus platycercus) | 2.90 (n = 1) | 19.03 ± 6.50 (n = 3) | |
| Unknown | 27.00 ± 24.24 (n = 4) | 48.97 (n = 1) | |
| Cold-dry | Mexican Violetear (Colibri thalassinus) | 9.76 ± 14.72 (n = 5) | 15.58 ± 11.01 (n = 16) |
| White-eared Hummingbird (Basilinna leucotis) | 15.38 ± 14.67 (n = 7) | 27.28 ± 19.87 (n = 28) | |
| Rivoli’s Hummingbird (Eugenes fulgens) | 44.34 ± 24.31 (n = 5) | 33.38 ± 21.61 (n = 8) | |
| Broad-tailed Hummingbird (Selasphorus platycercus) | 5.31 ± 6.82 (n = 10) | 24.19 ± 19.09 (n = 41) | |
| Rufous Hummingbird (Selasphorus rufus) | 20.51 ± 32.69 (n = 7) | 24.76 ± 15.59 (n = 22) | |
| Ruby-throated Hummingbird (Archilochus colubris) | 20.00 (n = 1) | ||
| Unknown | 18.03 ± 19.05 (n = 12) | 19.85 ± 19.70 (n = 19) |
| Variable | Levels | Ratio | SE | df | t-Value | p-Value |
|---|---|---|---|---|---|---|
| Season | cold-dry vs.rainy | 1.583 | 0.6468 | 1 | 1.126 | 0.5010 |
| cold-dry vs.warm-dry | 0.533 | 0.1378 | 1 | −2.449 | 0.0427 | |
| rainy vs.warm-dry | 0.337 | 0.1128 | 1 | −3.261 | 0.0045 |
| Season | Nectar Availability | Arthropod Availability | ||
|---|---|---|---|---|
| Abundance (mL/ha) | Energy (kJ/ha) | g dry weight/beating | g dry weight/Malaise | |
| warm-dry | no nectar | no nectar | 0.2464 | 0.0263 |
| rainy | 4.71 | 0.09 | 0.0517 | 0.0015 |
| cold-dry | 1609.92 | 53.38 | 0.0495 | 0.0124 |
| Model | Explanatory Variable | Estimate | Standard Error | χ21 | p-Value |
|---|---|---|---|---|---|
| GLM 1 | intercept | 2.1464 | 0.2342 | 83.9755 | <0.0001 |
| nectar energy (kJ/ha) | 0.0327 | 0.0279 | 1.9433 | 0.1633 | |
| GLM 2 | intercept | 5.1018 | 1.7001 | 30.7795 | <0.0001 |
| g dry weight of arthropods/beating | −12.2675 | 6.9967 | 4.7114 | 0.0295 | |
| GLM 3 | intercept | 5.911 | 2.107 | 31.5378 | <0.0001 |
| g dry weight of arthropods/Malaise | −145.7884 | 81.068 | 5.1908 | 0.0227 |
Disclaimer/Publisher’s Note: The statements, opinions and data contained in all publications are solely those of the individual author(s) and contributor(s) and not of MDPI and/or the editor(s). MDPI and/or the editor(s) disclaim responsibility for any injury to people or property resulting from any ideas, methods, instructions or products referred to in the content. |
© 2024 by the authors. Licensee MDPI, Basel, Switzerland. This article is an open access article distributed under the terms and conditions of the Creative Commons Attribution (CC BY) license (https://creativecommons.org/licenses/by/4.0/).
Share and Cite
Maya-García, O.; Maya-Elizarrarás, E.; Lara, C.; Schondube, J.E. Arthropod Foraging in a Temperate Mountain Hummingbird Ensemble. Birds 2024, 5, 774-797. https://doi.org/10.3390/birds5040052
Maya-García O, Maya-Elizarrarás E, Lara C, Schondube JE. Arthropod Foraging in a Temperate Mountain Hummingbird Ensemble. Birds. 2024; 5(4):774-797. https://doi.org/10.3390/birds5040052
Chicago/Turabian StyleMaya-García, Omar, Elisa Maya-Elizarrarás, Carlos Lara, and Jorge E. Schondube. 2024. "Arthropod Foraging in a Temperate Mountain Hummingbird Ensemble" Birds 5, no. 4: 774-797. https://doi.org/10.3390/birds5040052
APA StyleMaya-García, O., Maya-Elizarrarás, E., Lara, C., & Schondube, J. E. (2024). Arthropod Foraging in a Temperate Mountain Hummingbird Ensemble. Birds, 5(4), 774-797. https://doi.org/10.3390/birds5040052

