Behavioral Patterns and Space Use in Winter of Captive Guizhou Snub-Nosed Monkeys: A Case Study
Abstract
1. Introduction
2. Materials and Methods
2.1. Subjects, Housing Conditions, and Husbandry Management
2.2. Data Collection and Analysis
3. Results
3.1. Daily Time Allocation of Behaviors and Spatial Use in Captive R. brelichi Under Snowy Conditions
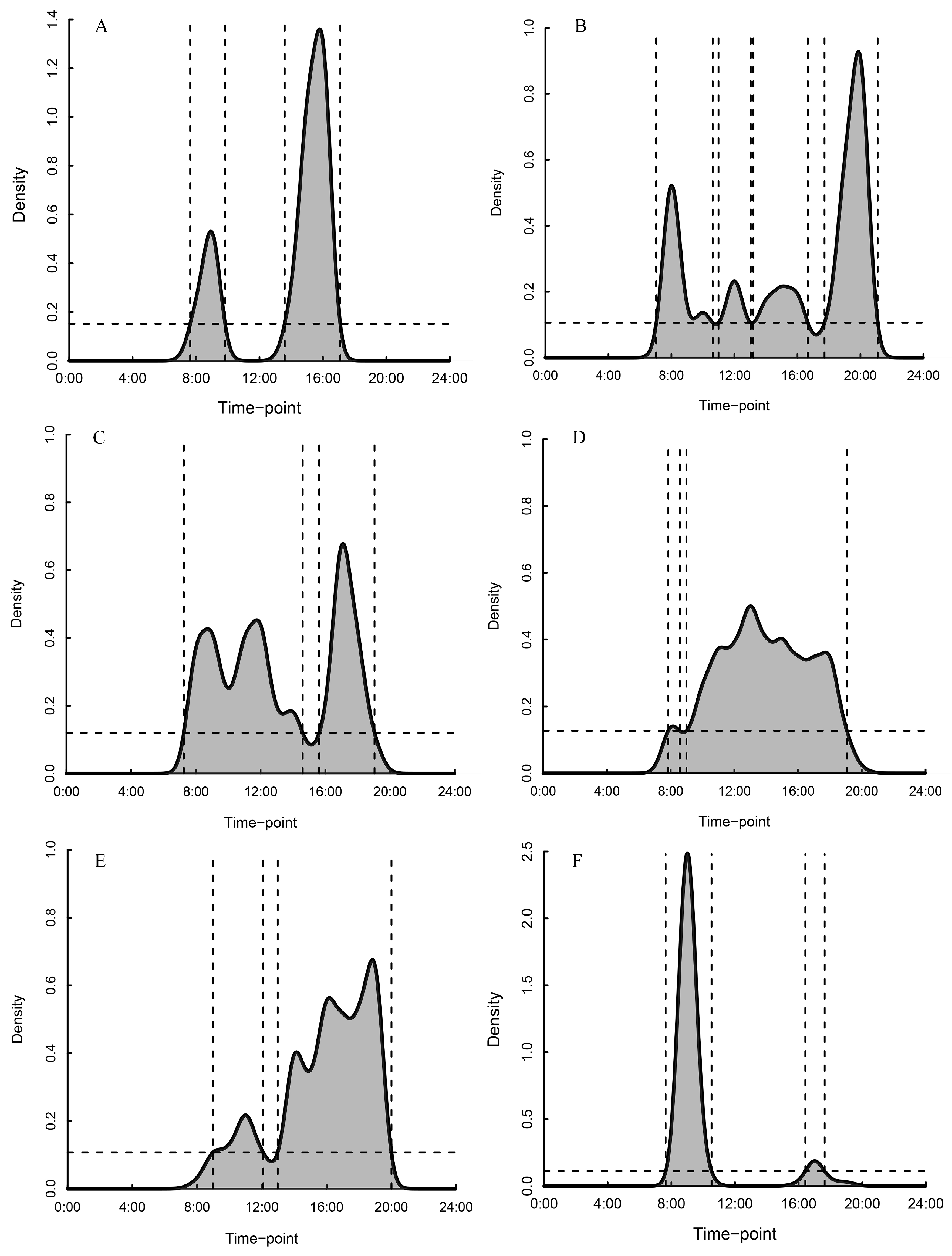
3.2. Daily Activity Rhythms of Captive R. brelichi Under Snowy Conditions
3.3. Spatial Utilization Rhythms of Captive R. brelichi
3.4. Behavior Frequencies Across Different Enclosure Zones
4. Discussion
4.1. Daytime Sleep Patterns in Captive R. brelichi
4.2. Thermoregulatory Behavior in Captive R. brelichi
4.3. Spatial Use and Preferences in Captive R. brelichi
4.4. Use of Enrichment Areas in Captive R. brelichi
5. Conclusions
Author Contributions
Funding
Institutional Review Board Statement
Informed Consent Statement
Data Availability Statement
Conflicts of Interest
References
- Huang, X.; Li, H.; Zhang, X.; Cheng, S.; Yan, Y.; Yan, W.; Meng, B.; Wang, C.; Yang, J.; Ran, J. Difference of gut microbial structure between Rhinopithecus brelichi and Macaca thibetana in Fanjingshan Nature Reserve. Acta Zool. Sin. 2024, 44, 183–194. [Google Scholar]
- Huang, X.; Li, H.; Zhang, X.; Cheng, S.; Yan, Y.; Yang, W.; Meng, B.; Wang, C.; Yang, J.; Ran, J. The comparative study on intestinal parasites of Rhinopithecus brelichi and Macaca thibetana in Fanjingshan. J. Wildl. Res. 2024, 45, 744–756. [Google Scholar]
- Li, C.; Lv, C.; Liu, X.; Jin, K. Protection of endangered wildlife in China and its prospect. World For. Res. 2014, 27, 51–56. [Google Scholar]
- Yu, Z. A comparative analysis of the reproductive fitness of a captive population of golden snub—Nosed monkey. Chin. J. Wildl. 2011, 32, 69–72. [Google Scholar]
- Sichuan Observation. The Sichuan Snub-Nosed Monkey: How Sichuan Protects a Species as Iconic as the Giant Panda. 2021. Available online: https://baijiahao.baidu.com/s?id=1700060256053107792&wfr=spider&for=pc (accessed on 11 November 2025).
- Xinhuanet. Population of the Rare and Endangered Yunnan Snub-Nosed Monkey Exceeds 3300 Individuals. 2023. Available online: https://www.xinhuanet.com/2021-05/01/c_1127401426.htm#:~:text=%E6%96%B0%E5%8D%8E%E7%A4%BE%E6%98%86%E6%98%8E5%E6%9C%88,%E5%8A%A8%E7%89%A9%E7%9B%91%E6%B5%8B%E8%B0%83%E6%9F%A5%E4%B8%AD%E6%8E%A8%E5%B9%BF%E3%80%82 (accessed on 11 November 2025).
- Zhu, A.; Jiang, Z.; Wang, B.; Huang, F.; Lou, Y.; Zheng, X. Rhythms and time allocation for diurnal activities of captive Sichuan Snub-nosed monkeys. J. Wildl. Res. 2024, 45, 26–34. [Google Scholar]
- Zhang, K.-C.; Zhou, Q.-H.; Xu, H.-L.; Huang, Z.-H. Diet, food availability, and climatic factors drive ranging behavior in white-headed langurs in the limestone forests of Guangxi, southwest China. Zool. Res. 2021, 42, 406–411. [Google Scholar] [CrossRef] [PubMed]
- Zhu, Y.; Wang, K.; Li, H.; Xu, X.; Duan, W.; Chen, H.; Qiu, G.; Chen, W.; Lu, J.; Ding, C. Ethogram and PAE coding system of Crested Ibis in non-breeding season. Biodivers. Sci. 2024, 32, 24075. [Google Scholar] [CrossRef]
- Lutz, C.K.; Novak, M.A. Environmental enrichment for nonhuman primates: Theory and application. ILAR J. 2005, 46, 178–191. [Google Scholar] [CrossRef]
- Wang, Y.; Yao, Z.; Meng, B.; Ran, J.; Huang, X.; Zhang, M. Daily activity rhythms of Paguma larvata in Fanjingshan National Nature Reserve. J. Mt. Agric. Biol. 2023, 42, 24–28. [Google Scholar]
- He, M.; Wang, L.; Yang, G.; Cao, H.; Diao, Y.; Su, H. Rapid assessment of macaque population size using multiple methods and analysis of human–macaque conflicts in county-level areas: A case study of Changshun, Guizhou. J. Mt. Agric. Biol. 2024, 43, 18–25. [Google Scholar]
- Hosey, G.; Melfi, V.; Pankhurst, S. Zoo Animals: Behaviour, Management, and Welfare; Oxford University Press: Oxford, UK, 2013; 643p. [Google Scholar]
- Guo, S.; Li, B.; Watanabe, K. Diet and activity budget of Rhinopithecus roxellana in the Qinling Mountains, China. Primates 2007, 48, 268–276. [Google Scholar] [CrossRef] [PubMed]
- Hanya, G. Seasonal variations in the activity budget of Japanese macaques in the coniferous forest of Yakushima: Effects of food and temperature. Am. J. Primatol. 2004, 63, 165–177. [Google Scholar] [CrossRef] [PubMed]
- McFarland, R.; Fuller, A.; Hetem, R.S.; Mitchell, D.; Maloney, S.K.; Henzi, S.P.; Barrett, L. Social integration confers thermal benefits in a gregarious primate. J. Anim. Ecol. 2015, 84, 871–878. [Google Scholar] [CrossRef]
- Zhang, X.; Zhong, H.; Ran, J.; Luo, J.; Chen, M.; Li, H.; Wang, Y.; Cheng, S.; Yan, Y.; Huang, X. Analysis of winter diet in Guizhou golden monkey (Rhinopithecus brelichi) using DNA metabarcoding data. Ecol. Evol. 2024, 14, e10893. [Google Scholar] [CrossRef]
- Huang, X.; Li, H.; Zhang, L.; Zhang, X.; Cheng, S.; Yan, Y.; Yang, W.; Meng, B.; Wang, Z.; Zhao, J.; et al. Comparative analysis of gut microbiota between wild and captive Guizhou Snub-Nosed Monkey (Rhinopithecus brelichi). Ecol. Evol. 2024, 14, e70690. [Google Scholar] [CrossRef]
- Niu, K.; Tan, C.L.; Yang, Y. Altitudinal movements of Guizhou snub-nosed monkeys (Rhinopithecus brelichi) in Fanjingshan National Nature Reserve, China: Implications for conservation management of a flagship species. Folia Primatol. 2010, 81, 233–244. [Google Scholar] [CrossRef]
- McDougall, P.T.; Réale, D.; Sol, D.; Reader, S.M. Wildlife conservation and animal temperament: Causes and consequences of evolutionary change for captive, reintroduced, and wild populations. Anim. Conserv. 2006, 9, 39–48. [Google Scholar] [CrossRef]
- Clark, F.E.; Greggor, A.L.; Montgomery, S.H.; Plotnik, J.M. The endangered brain: Actively preserving ex-situ animal behaviour and cognition will benefit in-situ conservation. R. Soc. Open Sci. 2023, 10, 230707. [Google Scholar] [CrossRef]
- Latham, N.; Mason, G. Frustration and perseveration in stereotypic captive animals: Is a taste of enrichment worse than none at all? Behav. Brain Res. 2010, 211, 96–104. [Google Scholar] [CrossRef] [PubMed]
- Swaisgood, R.R.; Shepherdson, D.J. Scientific approaches to enrichment and stereotypies in zoo animals: What’s been done and where should we go next? Zoo Biol. 2005, 24, 499–518. [Google Scholar] [CrossRef]
- Duncan, L.M.; Pillay, N. A metric-based, meta-analytic appraisal of environmental enrichment efficacy in captive primates. Animals 2025, 15, 799. [Google Scholar] [CrossRef]
- Jaman, M.F.; Huffman, M.A. Enclosure environment affects the activity budgets of captive Japanese macaques (Macaca fuscata). Am. J. Primatol. 2008, 70, 1133–1144. [Google Scholar] [CrossRef] [PubMed]
- de Azevedo, C.S.; Cipreste, C.F.; Pizzutto, C.S.; Young, R.J. Review of the effects of enclosure complexity and design on the behaviour and physiology of zoo animals. Animals 2023, 13, 1277. [Google Scholar] [CrossRef]
- Ross, S.R.; Schapiro, S.J.; Hau, J.; Lukas, K.E. Space use as an indicator of enclosure appropriateness: A novel measure of captive animal welfare. Appl. Anim. Behav. Sci. 2009, 121, 42–50. [Google Scholar] [CrossRef]
- Huang, Z.; Chen, Y.; Yang, H.; Fang, Y.; Cheng, K.; Guan, H.; Grueter, C.C.; Xiao, W.; Guo, Q. Associations between forest vertical structure and habitat preferences of black-and-white snub-nosed monkeys (Rhinopithecus bieti) in high-elevation environments. Ecol. Inform. 2025, 90, 103269. [Google Scholar] [CrossRef]
- Zhao, H.; Li, J.; Wang, Y.; Li, N.; Pan, R.; Li, B. A unique case of adoption in Golden Snub-Nosed Monkeys. Animals 2024, 14, 3075. [Google Scholar] [CrossRef] [PubMed]
- Dai, Y.; Xia, W.; Zhu, Y.; Hacker, C.; Wang, X.; Li, D. Historical changes in the distribution of the Sichuan golden snub-nosed monkey (Rhinopithecus roxellana) in Sichuan Province, China. Ecol. Evol. 2024, 14, e11270. [Google Scholar] [CrossRef]
- Liang, B.; Qi, H.-J.; Zhang, S.-Y.; Ren, B.-P. Developmental traits of captive Sichuan Snub-nosed monkeys (Rhinopithecus roxellana) at different age stages. Acta Zool. Sin. 2001, 47, 381–387. [Google Scholar]
- Yang, M.; Sun, D.Y.; Zinner, D.; Roos, C. Reproductive parameters in Guizhou snub-nosed monkeys (Rhinopithecus brelichi). Am. J. Primatol. 2009, 71, 266–270. [Google Scholar] [CrossRef]
- Cui, D.; Niu, K.; Luen, T.C.; Yang, M.; Zhang, Y.; Zhang, J.; Yang, Y. Behavior Coding and Ethogram of Guizhou Snub-nosed Monkey (Rhinopithecus brelichi). Sichuan J. Zool. 2014, 33, 815–828. [Google Scholar]
- Yang, T.; Cui, D.; Niu, K. Current knowledge and conservation strategies of the Guizhou Snub-nosed monkey in Fanjingshan, China. Chin. J. Wildl. 2023, 44, 695–704. [Google Scholar]
- Altmann, J. Observational study of behavior: Sampling methods. Behaviour 1974, 49, 227–266. [Google Scholar] [CrossRef]
- Reinhardt, K.D. Wild primate sleep: Understanding sleep in an ecological context. Curr. Opin. Physiol. 2020, 15, 238–244. [Google Scholar] [CrossRef]
- Anderson, J.R. Sleep, sleeping sites, and sleep-related activities: Awakening to their significance. Am. J. Primatol. 1998, 46, 63–75. [Google Scholar] [CrossRef]
- Rattenborg, N.C.; de la Iglesia, H.O.; Kempenaers, B.; Lesku, J.A.; Meerlo, P.; Scriba, M.F. Sleep research goes wild: New methods and approaches to investigate the ecology, evolution and functions of sleep. Philos. Trans. R. Soc. Lond. B Biol. Sci. 2017, 372, 20160251. [Google Scholar] [CrossRef]
- Rattenborg, N.C. Functional implications of sleeping little in the wild. Sleep 2025, zsaf309. [Google Scholar] [CrossRef]
- Maple, T.; Perdue, B.M. Zoo Animal Welfare; Springer: Berlin/Heidelberg, Germany, 2013; Volume 14. [Google Scholar]
- Newman, R. The Behaviour of Lion-Tailed Macaques (Macaca silenus) in Captivity. Ph.D. Thesis, National University of Ireland, Cork, Ireland, 2019. [Google Scholar]
- Ross, S.R.; Calcutt, S.; Schapiro, S.J.; Hau, J. Space use selectivity by chimpanzees and gorillas in an indoor–outdoor enclosure. Am. J. Primatol. 2011, 73, 197–208. [Google Scholar] [CrossRef] [PubMed]
- Hale, V.L.; Tan, C.L.; Niu, K.; Yang, Y.; Zhang, Q.; Knight, R.; Amato, K.R. Gut microbiota in wild and captive Guizhou snub-nosed monkeys, Rhinopithecus brelichi. Am. J. Primatol. 2019, 81, e22989. [Google Scholar] [CrossRef]





| Pedigree Number | Gender | Age | Father | Mother | Birth Place |
|---|---|---|---|---|---|
| G043 | ♂ | 18 years * | \ | \ | Wild rescue |
| G047 | ♀ | 16 years * | \ | \ | Wild rescue |
| G055 | ♀ | 1 year | G043 | G047 | Breeding at Fanjingshan Rhinopithecus Research Center |
| G052 | ♂ | 6 years | G043 | G047 | Breeding at Fanjingshan Rhinopithecus Research Center |
| G054 | ♂ | 4 years | G043 | G047 | Breeding at Fanjingshan Rhinopithecus Research Center |
| Behavior Category | Definition |
|---|---|
| Locomotion | Active body movement such as walking, climbing, jumping, or transferring between substrates or enclosure areas. |
| Sleep | An inactive state with eyes closed, the body relaxed, and minimal responsiveness to external stimuli; typically performed in a seated or lying posture. In R. brelichi, sleep frequently occurs while huddling or embracing group members, especially under cold conditions. |
| Thermoregulation | Behavioral actions aimed at maintaining body temperature under cold conditions, including observable posture or location adjustments while awake, such as non-sleep huddling, curling or compressing the body, seeking warmer substrates, or reducing exposed surface area. |
| Resting | A motionless, inactive state with eyes open, during which the individual remains alert but does not engage in other behaviors; typically sitting or reclining. |
| Foraging | Searching for, collecting, manipulating, or chewing food items such as leaves, fruits, or other accessible materials. |
| Grooming | Cleaning or manipulating the fur or body of oneself or another individual using the hands or mouth. |
| Play | Non-aggressive exploratory or social movements such as chasing, rolling, wrestling, or mock fighting. |
| Begging | Extending the arms, leaning toward others, or displaying anticipatory postures directed at conspecifics or caregivers in a food-soliciting context. |
| Behavior Types | Indoor Ground Area | Indoor Platform | Outdoor Ground Area | Outdoor Platform | Enrichment Area | Enclosure Foraging Area |
|---|---|---|---|---|---|---|
| Locomotion | 13 ± 6.03 | 164.67 ± 31.89 | 5 ± 0.58 | 103 ± 25.58 | 5 ± 1.53 | — |
| Sleep | — | 612.67 ± 95.84 | — | 730.33 ± 103.70 | — | — |
| Thermoregulation | — | 140.67 ± 33.1 | — | 359 ± 94.05 | — | — |
| Resting | — | 25.67 ± 6.89 | — | 42.67 ± 13.13 | — | — |
| Foraging | 2.33 ± 0.33 | 11.33 ± 5.7 | 241.67 ± 32.17 | 436 ± 42.92 | 70.67 ± 10.74 | — |
| Grooming | — | 7.33 ± 4.67 | — | 313.33 ± 12.72 | — | — |
| Play | — | 4.33 ± 2.6 | 0.67 ± 0.33 | 13 ± 4.93 | 252.67 ± 37.03 | 30.33 ± 15.07 |
| Begging | 1.67 ± 0.88 | — | 3.33 ± 2.03 | 5.33 ± 2.96 | 19.67 ± 3.84 | 189 ± 19 |
| Mating | — | — | — | 6.67 ± 1.86 | — | — |
Disclaimer/Publisher’s Note: The statements, opinions and data contained in all publications are solely those of the individual author(s) and contributor(s) and not of MDPI and/or the editor(s). MDPI and/or the editor(s) disclaim responsibility for any injury to people or property resulting from any ideas, methods, instructions or products referred to in the content. |
© 2026 by the authors. Licensee MDPI, Basel, Switzerland. This article is an open access article distributed under the terms and conditions of the Creative Commons Attribution (CC BY) license.
Share and Cite
Tian, T.-A.; Tian, Y.; Yang, W.; Li, H.-B.; Smagghe, G.; Liu, J.-F.; Yang, N.; Huang, X.-L. Behavioral Patterns and Space Use in Winter of Captive Guizhou Snub-Nosed Monkeys: A Case Study. J. Zool. Bot. Gard. 2026, 7, 6. https://doi.org/10.3390/jzbg7010006
Tian T-A, Tian Y, Yang W, Li H-B, Smagghe G, Liu J-F, Yang N, Huang X-L. Behavioral Patterns and Space Use in Winter of Captive Guizhou Snub-Nosed Monkeys: A Case Study. Journal of Zoological and Botanical Gardens. 2026; 7(1):6. https://doi.org/10.3390/jzbg7010006
Chicago/Turabian StyleTian, Tai-An, Yu Tian, Wei Yang, Hai-Bo Li, Guy Smagghe, Jian-Feng Liu, Ni Yang, and Xiao-Long Huang. 2026. "Behavioral Patterns and Space Use in Winter of Captive Guizhou Snub-Nosed Monkeys: A Case Study" Journal of Zoological and Botanical Gardens 7, no. 1: 6. https://doi.org/10.3390/jzbg7010006
APA StyleTian, T.-A., Tian, Y., Yang, W., Li, H.-B., Smagghe, G., Liu, J.-F., Yang, N., & Huang, X.-L. (2026). Behavioral Patterns and Space Use in Winter of Captive Guizhou Snub-Nosed Monkeys: A Case Study. Journal of Zoological and Botanical Gardens, 7(1), 6. https://doi.org/10.3390/jzbg7010006

