Long-Term (2012–2021) Variation in Carbonaceous Aerosols of PM2.5 at an Urban Site of Megacity Delhi Situated over Indo-Gangetic Plain of India †
Abstract
:1. Introduction
2. Materials and Methods
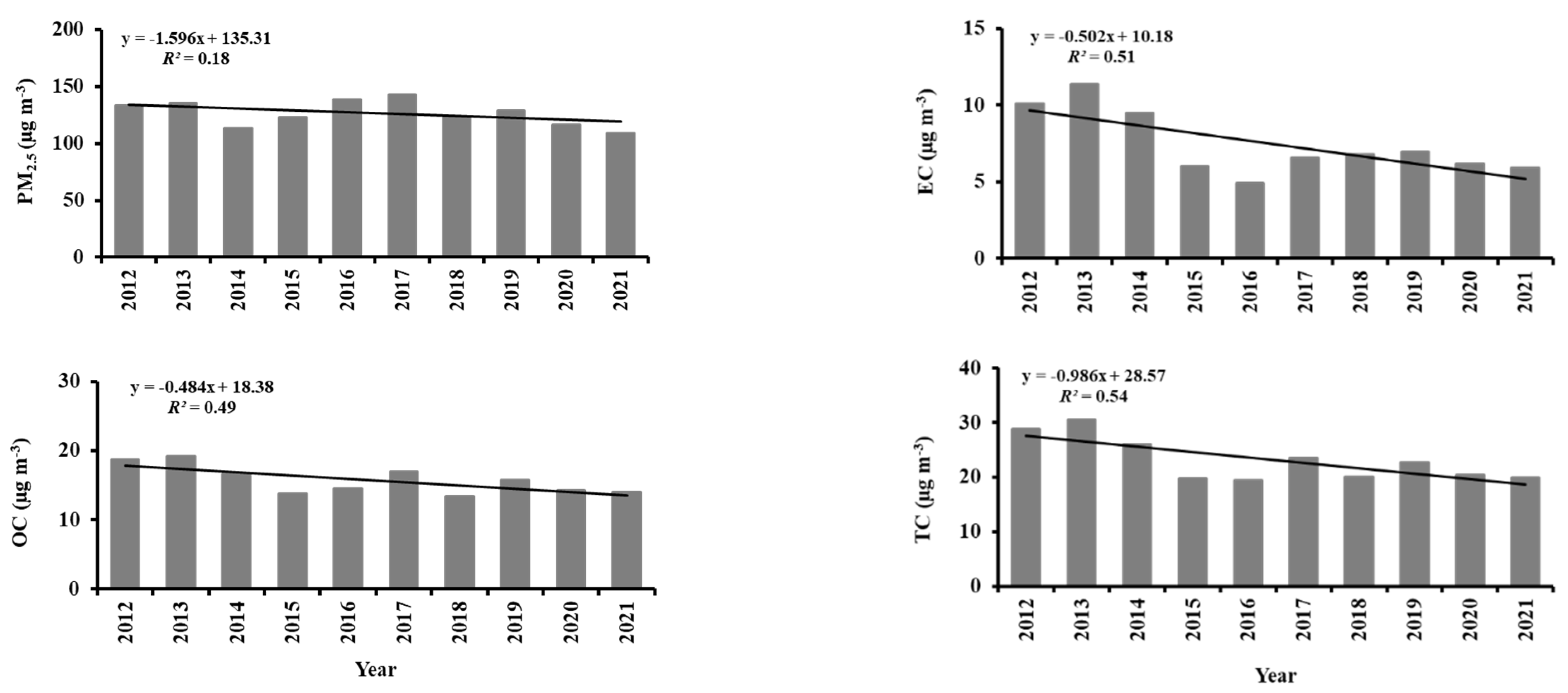
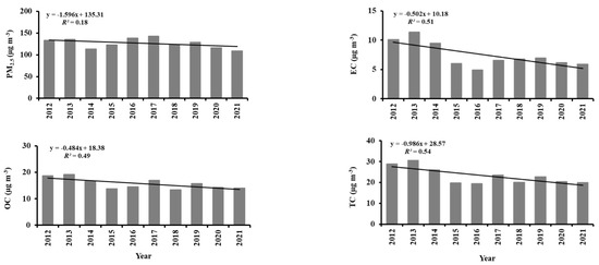
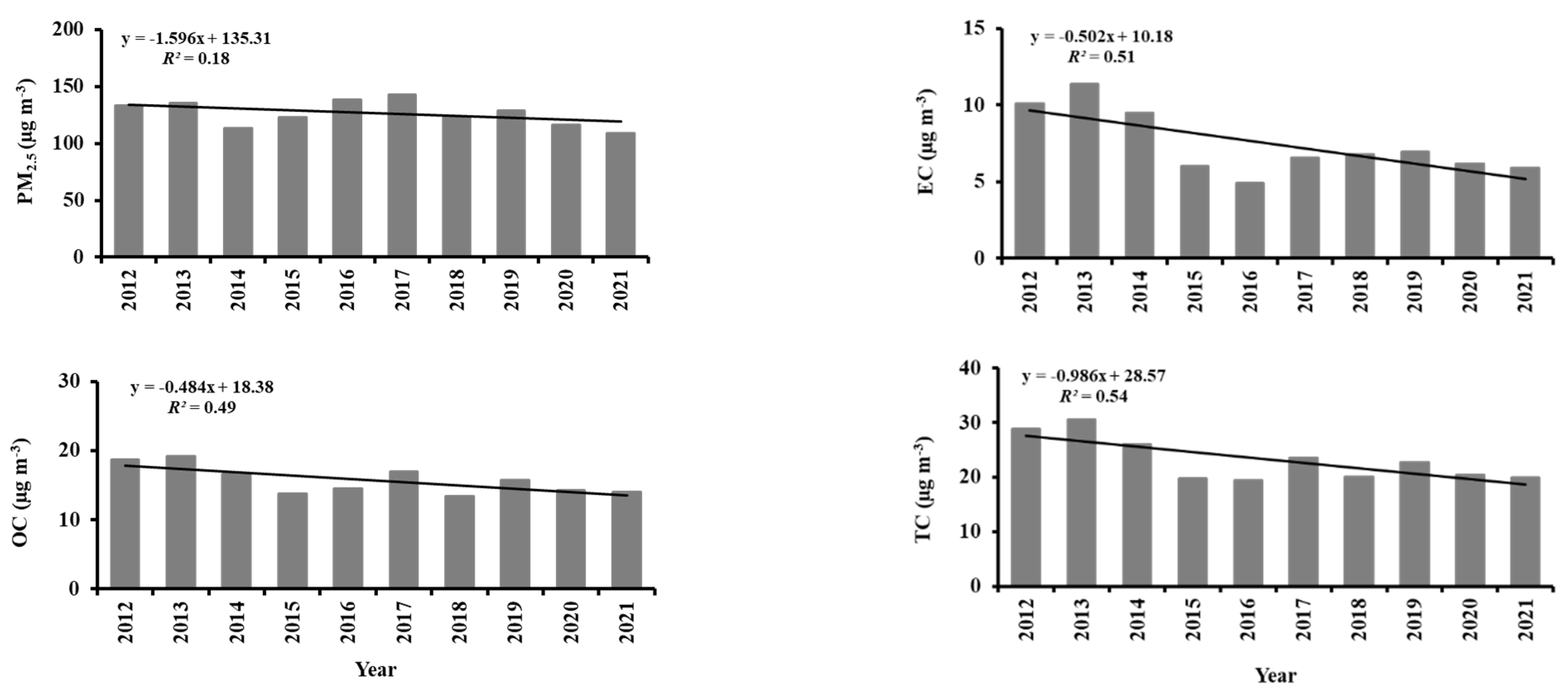
3. Results and Discussion
4. Conclusions
Author Contributions
Funding
Institutional Review Board Statement
Informed Consent Statement
Data Availability Statement
Acknowledgments
Conflicts of Interest
References
- Lelieveld, J.; Evans, J.S.; Fnais, M.; Giannadaki, D.; Pozzer, A. The contribution of outdoor air pollution sources to premature mortality on a global scale. Nature 2015, 525, 367–371. [Google Scholar] [CrossRef] [PubMed]
 - Dockery, D.W.; Stone, P.H. Cardiovascular risks from fine particulate air pollution. N. Engl. J. Med. 2007, 356, 511–513. [Google Scholar] [PubMed]
 - Venkataraman, C.; Habib, G.; Eiguren-Fernandez, A.; Miguel, A.H.; Friedlander, S.K. Residential biofuels in south Asia: Carbonaceous aerosol emissions and climate impacts. Science 2005, 307, 1454–1456. [Google Scholar] [CrossRef] [PubMed]
 - Sharma, S.K.; Mandal, T.K.; Jain, S.; Saraswati; Sharma, A.; Saxena, M. Source apportionment of PM2.5 in Delhi, India using PMF model. Bull. Environ. Contam. Toxicol. 2016, 97, 286–293. [Google Scholar] [CrossRef] [PubMed]
 - Jain, S.; Sharma, S.K.; Vijayan, N.; Mandal, T.K. Seasonal characteristics of aerosols (PM2.5 and PM10) and their source apportionment using PMF: A four year study over Delhi, India. Environ. Poll. 2020, 262, 114337. [Google Scholar] [CrossRef] [PubMed]
 - Begam, G.R.; Vachaspati, C.V.; Ahammed, Y.N.; Kumar, K.R.; Reddy, R.R.; Sharma, S.K.; Saxena, M.; Mandal, T.K. Seasonal characteristics of water soluble inorganic ions and carbonaceous aerosols in total suspended particulate matter at a rural semi-arid site, Kadapa (India). Environ. Sci. Poll. Res. 2017, 24, 1719–1734. [Google Scholar] [CrossRef] [PubMed]
 - Sharma, S.K.; Mukherjee, S.; Choudhary, N.; Rai, A.; Ghosh, A.; Chatterjee, A.; Vijayan, N.; Mandal, T.K. Seasonal variation and sources of carbonaceous species and elements of PM2.5 and PM10 over the eastern Himalaya. Environ. Sci. Poll. Res. 2021, 28, 51642–51656. [Google Scholar] [CrossRef]
 - Sharma, S.K.; Banoo, R.; Mandal, T.K. Seasonal characteristics and sources of carbonaceous components and elements of PM10 (2010–2019) in Delhi, India. J. Atmos. Chem. 2021, 78, 251–270. [Google Scholar] [CrossRef]
 - Sharma, S.K.; Mandal, T.K.; Saxena, M.; Rashmi; Rohtash; Sharma, A.; Gautam, R. Variation of OC, EC, WSIC and trace metals of PM10 in Delhi. J. Atmos. Sol. Terr. Phy. 2014, 113, 10–22. [Google Scholar] [CrossRef]
 - Chow, J.C.; Watson, J.G.; Chen, L.W.A.; Arnott, W.P.; Moosmuller, H. Equivalence of elemental carbon by thermal/optical reflectance and transmittance with different temperature protocols. Environ. Sci. Technol. 2004, 38, 4414–4422. [Google Scholar]
 - Amato, F.; Pandolfi, M.; Escrig, A.; Querol, X.; Alastuery, A.; Pey, J.; Perez, N.; Hopke, P.K. Quantification of road dust resuspension in urban environment by multilinear engine: A comparison with PMF2. Atmos. Environ. 2009, 43, 2770–2780. [Google Scholar] [CrossRef]
 - Malm, W.C.; Schichtel, B.A.; Pitchford, M.L.; Ashbaugh, L.L.; Eldred, R.A. Spatial and monthly trends in speciated fine particle concentration in the United States. J. Geophy. Res. Atmos. 2004, 109. [Google Scholar] [CrossRef]
 - Castro, L.M.; Pio, C.A.; Harrison, R.M.; Smith, D.J.T. Carbonaceous aerosol in urban and rural European atmospheres: Estimation of secondary organic carbon concentrations. Atmos. Environ. 1999, 33, 2771–2781. [Google Scholar] [CrossRef]
 - Ram, K.; Sarin, M.M.; Tripathi, S.N. One-year record of carbonaceous aerosols from an urban location (Kanpur) in the Indo-Gangetic Plain: Characterization, sources and temporal variability. J. Geophys. Res. 2010, 115. [Google Scholar] [CrossRef]
 - Szidat, S.; Jenk, T.M.; Synal, H.A.; Kalberer, M.; Wacker, L.; Hajdas, I.; Kasper-Gieblt, A.; Baltensperger, U. Contribution of fossil fuel, biomass burning and biogenic emissions to carbonaceous aerosols in Zurich as traced by 14C. J. Geophys. Res. 2006, 111, D07206. [Google Scholar] [CrossRef]
 - Salameh, D.; Detournay, A.; Pey, J.; Pérez, N.; Liguori, F.; Saraga, D.; Bove, M.C.; Brotto, P.; Cassola, F.; Massabò, D.; et al. PM2.5 chemical composition in five European Mediterranean cities: A 1-year study. Atmos. Res. 2015, 155, 102–117. [Google Scholar] [CrossRef]
 - Sharma, S.K.; Karapurkar, S.G.; Shenoy, D.M.; Mandal, T.K. Stable carbon and nitrogen isotopic characteristics of PM2.5 and PM10 in Delhi, India. J. Atmos. Chem. 2022, 79, 67–79. [Google Scholar] [CrossRef]
 


| Species | Seasons | |||
|---|---|---|---|---|
| Winter | Summer | Monsoon | Post-Monsoon | |
| PM2.5 | 157 ± 64 | 94 ± 35 | 66 ± 28 | 189 ± 92 | 
| OC | 20.6 ± 10.9 | 9.4 ± 4.3 | 6.7 ± 2.8 | 25.8 ± 14.2 | 
| EC | 9.3 ± 5.2 | 4.9 ± 2.7 | 2.8 ± 1.5 | 10.8 ± 6.5 | 
| TC | 29.7 ± 15.5 | 14.4 ± 6.5 | 9.5 ± 4.3 | 36.5 ± 19.4 | 
| POC | 11.8 ± 5.9 | 6.2 ± 3.1 | 3.4 ± 1.7 | 13.2 ± 7.1 | 
| SOC | 8.3 ± 6.6 | 3.5 ± 1.8 | 3.0 ± 1.6 | 12.3 ± 8.6 | 
| OC/EC | 2.3 ± 0.7 | 2.1 ± 0.6 | 2.2 ± 0.8 | 2.5 ± 0.8 | 
Publisher’s Note: MDPI stays neutral with regard to jurisdictional claims in published maps and institutional affiliations.  | 
© 2022 by the authors. Licensee MDPI, Basel, Switzerland. This article is an open access article distributed under the terms and conditions of the Creative Commons Attribution (CC BY) license (https://creativecommons.org/licenses/by/4.0/).
Share and Cite
Sharma, S.K.; Mandal, T.K.; Banoo, R.; Rai, A.; Rani, M. Long-Term (2012–2021) Variation in Carbonaceous Aerosols of PM2.5 at an Urban Site of Megacity Delhi Situated over Indo-Gangetic Plain of India. Environ. Sci. Proc. 2022, 19, 10. https://doi.org/10.3390/ecas2022-12860
Sharma SK, Mandal TK, Banoo R, Rai A, Rani M. Long-Term (2012–2021) Variation in Carbonaceous Aerosols of PM2.5 at an Urban Site of Megacity Delhi Situated over Indo-Gangetic Plain of India. Environmental Sciences Proceedings. 2022; 19(1):10. https://doi.org/10.3390/ecas2022-12860
Chicago/Turabian StyleSharma, Sudhir Kumar, Tuhin Kumar Mandal, Rubiya Banoo, Akansha Rai, and Martina Rani. 2022. "Long-Term (2012–2021) Variation in Carbonaceous Aerosols of PM2.5 at an Urban Site of Megacity Delhi Situated over Indo-Gangetic Plain of India" Environmental Sciences Proceedings 19, no. 1: 10. https://doi.org/10.3390/ecas2022-12860
APA StyleSharma, S. K., Mandal, T. K., Banoo, R., Rai, A., & Rani, M. (2022). Long-Term (2012–2021) Variation in Carbonaceous Aerosols of PM2.5 at an Urban Site of Megacity Delhi Situated over Indo-Gangetic Plain of India. Environmental Sciences Proceedings, 19(1), 10. https://doi.org/10.3390/ecas2022-12860
        
                                                
