Neuron and Glial Cells Exposed to Cerium Dioxide Nanoparticles: Results from MTT and γH2AX Assays †
Abstract
:1. Introduction
2. Materials and Methods
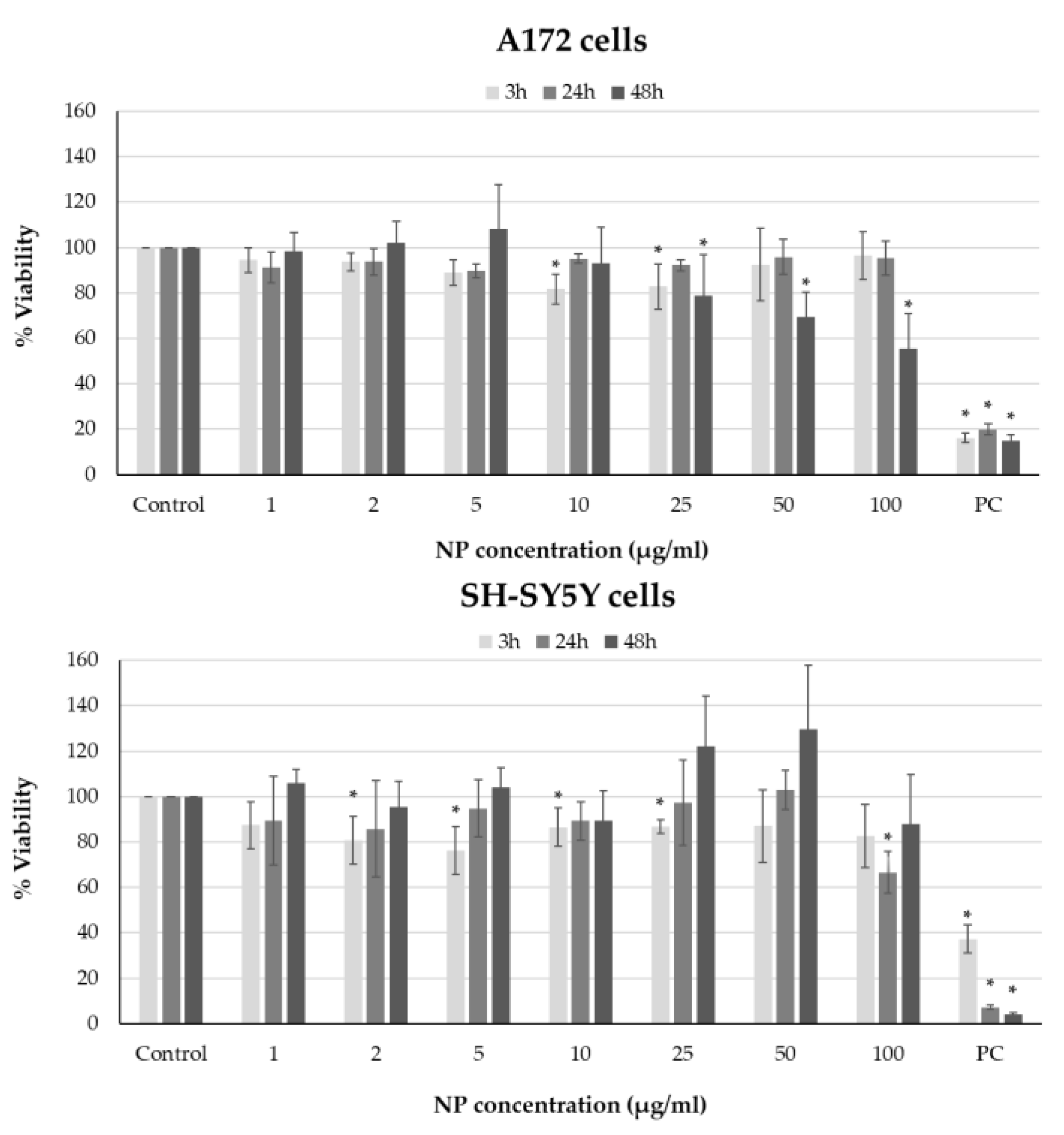
3. Results and Discussion
4. Conclusions
Author Contributions
Funding
Institutional Review Board Statement
Informed Consent Statement
Data Availability Statement
Acknowledgments
Conflicts of Interest
References
- Thakur, N.; Manna, P.; Das, J. Synthesis and Biomedical Applications of Nanoceria, a Redox Active Nanoparticle. J. Nanobiotechnol. 2019, 17, 84. [Google Scholar] [CrossRef] [PubMed]
- Rzigalinski, B.A.; Carfagna, C.S.; Ehrich, M. Cerium Oxide Nanoparticles in Neuroprotection and Considerations for Efficacy and Safety. WIREs Nanomed. Nanobiotechnol. 2017, 9, e1444. [Google Scholar] [CrossRef] [PubMed]
- Pandit, R.; Chen, L.; Götz, J. The Blood-Brain Barrier: Physiology and Strategies for Drug Delivery. Adv. Drug Deliv. Rev. 2020, 165–166, 1–14. [Google Scholar] [CrossRef] [PubMed]
- Fernández-Bertólez, N.; Costa, C.; Brandão, F.; Kiliç, G.; Teixeira, J.P.; Pásaro, E.; Laffon, B.; Valdiglesias, V. Neurotoxicity Assessment of Oleic Acid-Coated Iron Oxide Nanoparticles in SH-SY5Y Cells. Toxicology 2018, 406–407, 81–91. [Google Scholar] [CrossRef] [PubMed]
- Mosmann, T. Rapid Colorimetric Assay for Cellular Growth and Survival: Application to Proliferation and Cytotoxicity Assays. J. Immunol. Methods 1983, 65, 55–63. [Google Scholar] [CrossRef] [PubMed]
- Costa, C.; Brandão, F.; Bessa, M.J.; Costa, S.; Valdiglesias, V.; Kiliç, G.; Fernández-Bertólez, N.; Quaresma, P.; Pereira, E.; Pásaro, E.; et al. In Vitro Cytotoxicity of Superparamagnetic Iron Oxide Nanoparticles on Neuronal and Glial Cells. Evaluation of Nanoparticle Interference with Viability Tests. J. Appl. Toxicol. 2016, 36, 361–372. [Google Scholar] [CrossRef] [PubMed]
- Bessa, M.J.; Costa, C.; Reinosa, J.; Pereira, C.; Fraga, S.; Fernández, J.; Bañares, M.A.; Teixeira, J.P. Moving into Advanced Nanomaterials. Toxicity of Rutile TiO2 Nanoparticles Immobilized in Nanokaolin Nanocomposites on HepG2 Cell Line. Toxicol. Appl. Pharmacol. 2017, 316, 114–122. [Google Scholar] [CrossRef] [PubMed]
- Fernández-Bertólez, N.; Costa, C.; Brandão, F.; Kiliç, G.; Duarte, J.A.J.A.; Teixeira, J.P.J.P.; Pásaro, E.; Valdiglesias, V.; Laffon, B. Toxicological Assessment of Silica-Coated Iron Oxide Nanoparticles in Human Astrocytes. Food Chem. Toxicol. 2018, 118, 13–23. [Google Scholar] [CrossRef] [PubMed]
- Rubio, L.; Annangi, B.; Vila, L.; Hernández, A.; Marcos, R. Antioxidant and Anti-Genotoxic Properties of Cerium Oxide Nanoparticles in a Pulmonary-like Cell System. Arch. Toxicol. 2016, 90, 269–278. [Google Scholar] [CrossRef] [PubMed]
- Vila, L.; García-Rodríguez, A.; Cortés, C.; Velázquez, A.; Xamena, N.; Sampayo-Reyes, A.; Marcos, R.; Hernández, A. Effects of Cerium Oxide Nanoparticles on Differentiated/Undifferentiated Human Intestinal Caco-2 cells. Chem. Biol. Interact. 2018, 283, 38–46. [Google Scholar] [CrossRef] [PubMed]
- Kumari, M.; Singh, S.P.; Chinde, S.; Rahman, M.F.; Mahboob, M.; Grover, P. Toxicity Study of Cerium Oxide Nanoparticles in Human Neuroblastoma Cells. Int. J. Toxicol. 2014, 33, 86–97. [Google Scholar] [CrossRef] [PubMed]
- Franchi, L.P.; Manshian, B.B.; de Souza, T.A.J.; Soenen, S.J.; Matsubara, E.Y.; Rosolen, J.M.; Takahashi, C.S. Cyto- and Genotoxic Effects of Metallic Nanoparticles in Untransformed Human Fibroblast. Toxicol. In Vitro 2015, 29, 1319–1331. [Google Scholar] [CrossRef] [PubMed]
- Könen-Adıgüzel, S.; Ergene, S. In Vitro Evaluation of the Genotoxicity of CeO2 Nanoparticles in Human Peripheral Blood Lymphocytes Using Cytokinesis-Block Micronucleus Test, Comet Assay, and Gamma H2AX. Toxicol. Ind. Health 2018, 34, 293–300. [Google Scholar] [CrossRef] [PubMed]
- Préaubert, L.; Tassistro, V.; Auffan, M.; Sari-Minodier, I.; Rose, J.; Courbiere, B.; Perrin, J. Very Low Concentration of Cerium Dioxide Nanoparticles Induce DNA Damage, but No Loss of Vitality, in Human Spermatozoa. Toxicol. In Vitro 2018, 50, 236–241. [Google Scholar] [CrossRef] [PubMed]



| CeO2 NP | Time Point | Dispersed in A172 Cell Culture Medium | Dispersed in SH-SY5Y Cell Culture Medium |
|---|---|---|---|
| Hydrodynamic diameter (nm) DLS | 0 h | 140.1 ± 3.0 | 148.1 ± 19.8 |
| 3 h | 142.0 ± 3.6 | 134.4 ± 4.9 | |
| 24 h | 156.2 ± 7.7 | 139.5 ± 3.7 | |
| 48 h | 166.7 ± 6.5 | 139.3 ± 3.5 | |
| Zeta potential (mV) M3-PALS | 0 h | −11.8 ± 0.7 | −11.3 ± 0.9 |
| 3 h | −12.1 ± 0.7 | −11.5 ± 0.5 | |
| 24 h | −12.6 ± 0.7 | −11.3 ± 1.1 | |
| 48 h | −12.4 ± 0.7 | −11.7 ± 0.7 |
Disclaimer/Publisher’s Note: The statements, opinions and data contained in all publications are solely those of the individual author(s) and contributor(s) and not of MDPI and/or the editor(s). MDPI and/or the editor(s) disclaim responsibility for any injury to people or property resulting from any ideas, methods, instructions or products referred to in the content. |
© 2023 by the authors. Licensee MDPI, Basel, Switzerland. This article is an open access article distributed under the terms and conditions of the Creative Commons Attribution (CC BY) license (https://creativecommons.org/licenses/by/4.0/).
Share and Cite
Fernández-Bertólez, N.; Touzani, A.; Martínez, L.; Méndez, J.; Reis, A.T.; Costa, C.; Fraga, S.; Teixeira, J.P.; Pásaro, E.; Laffon, B.; et al. Neuron and Glial Cells Exposed to Cerium Dioxide Nanoparticles: Results from MTT and γH2AX Assays. Mater. Proc. 2023, 14, 4. https://doi.org/10.3390/IOCN2023-14517
Fernández-Bertólez N, Touzani A, Martínez L, Méndez J, Reis AT, Costa C, Fraga S, Teixeira JP, Pásaro E, Laffon B, et al. Neuron and Glial Cells Exposed to Cerium Dioxide Nanoparticles: Results from MTT and γH2AX Assays. Materials Proceedings. 2023; 14(1):4. https://doi.org/10.3390/IOCN2023-14517
Chicago/Turabian StyleFernández-Bertólez, Natalia, Assia Touzani, Luisa Martínez, Josefina Méndez, Ana Teresa Reis, Carla Costa, Sonia Fraga, João Paulo Teixeira, Eduardo Pásaro, Blanca Laffon, and et al. 2023. "Neuron and Glial Cells Exposed to Cerium Dioxide Nanoparticles: Results from MTT and γH2AX Assays" Materials Proceedings 14, no. 1: 4. https://doi.org/10.3390/IOCN2023-14517
APA StyleFernández-Bertólez, N., Touzani, A., Martínez, L., Méndez, J., Reis, A. T., Costa, C., Fraga, S., Teixeira, J. P., Pásaro, E., Laffon, B., & Valdiglesias, V. (2023). Neuron and Glial Cells Exposed to Cerium Dioxide Nanoparticles: Results from MTT and γH2AX Assays. Materials Proceedings, 14(1), 4. https://doi.org/10.3390/IOCN2023-14517

