Abstract
This study introduces an analytical solution for the hydraulic analysis of looped water distribution networks (WDNs). Conventional approaches to solving ∆Q equations for looped water discharge correction entail iterative hydraulic analysis to compute the system pipe flows, velocities, and nodal pressures. In contrast, using the proposed analytical approach, the ∆Q equation is solved with the exact flow directions determined, consolidating known flow directions into a single unknown variable (∆Q) for each loop. Comparative analyses prove that this approach can precisely compute the hydraulic properties of WDNs. Finally, a Z-test hypothesis test is applied to assess the efficacy of the modified shortest-path algorithm. The results show that this algorithm attains an average accuracy of 90% in predicting exact flow directions, with a confidence level of 99%.
1. Introduction
Fast and accurate water distribution network (WDN) hydraulic analysis is essential for the system’s planning, management, and operation. Depending on the type of unknown parameters selected in a pair of energy and continuity equations, four WDN governing equations can be developed [1]. The governing equations are nonlinear and implicit, requiring numerical and iterative methods, as introduced by Hardy Cross, a pioneering researcher, in 1936 [2]. Since then, numerous scientists have contributed to developing further methods [3,4,5,6]. WDNs can be represented as undirected, unweighted graphs, allowing for graph-based algorithms [7]. One commonly used graph-based method in the analysis of WDNs is the shortest-path algorithm [8,9,10].
In contrast to previous studies, this paper presents an analytical method using the shortest-path concept. This study introduces a novel shortest-path algorithm for identifying critical flow paths in the first step. The discovered shortest paths are then utilized as prior knowledge to solve the governing equations of WDNs analytically.
2. Materials and Methods
2.1. Modified Shortest-Path Algorithm
The shortest-path algorithm is a graph-based algorithm with different applications in WDNs. This algorithm detects the path that has the least cost () from a source node (s) to a target node (t). The traditional approach considers the length of each link as its weight. In this work, we consider other geometric/hydraulic properties, like nodal demands and pipe friction coefficients, to increase the accuracy of the approach. To this end, the weight of each link is calculated as follows:
where and are the resistance coefficient of the pipe connected to nodes i and j and the nodal demand, respectively.
2.2. Analytical Method
The WDN governing equations consist of the continuity equation in each node and the energy equation in each closed loop. Equations (2) and (3) present the continuity and energy equations, respectively:
where and are the discharge and resistance of pipe connected to node , and is the withdrawal from node . and in Equation (3) are defined as follows:
where and are the length and diameter of pipe , respectively, and is the Darcy–Weisbach coefficient.
In the flow loop method (known as the method), the initial discharges are assumed to satisfy the continuity equation and then inputted into the energy equation. The energy equation for each loop can be rewritten as follows:
where is the corrective discharge of , and is the flow direction in pipe . As indicated in Equation (5), the number of unknowns equals the number of pipes (directions) in the loop plus one (corrective discharge). Employing the modified shortest-path algorithm reduces the number of unknowns to just one, which is the corrective discharge. Also, the output discharges of the modified shortest-path algorithm are taken as the initial assumptions for discharges. By solving Equation (5) for one loop at a time, two solutions are obtained, with only one being physically feasible since the other clashes against the initial flow directions, which are assumed to be exact.
3. Results and Discussion
3.1. Single-Looped WDNs
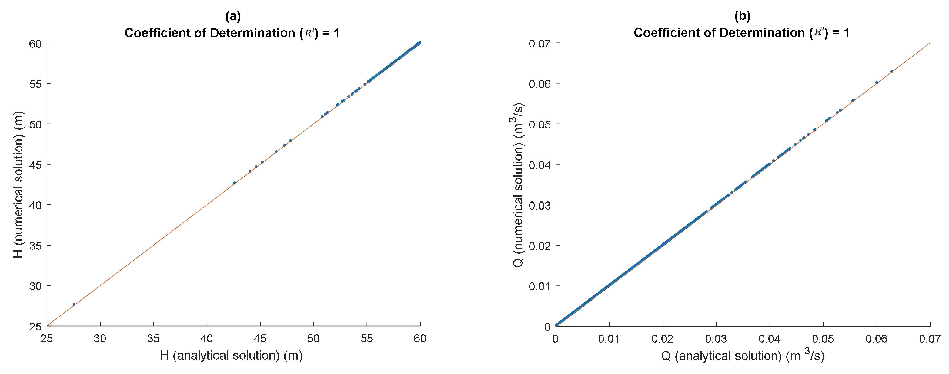
The pre-processing step involves detecting the flow directions in pipes before solving the WDN analytically. To this end, the modified shortest-path algorithm is employed to discover the flow directions in 500 single-looped WDNs with different geometric/hydraulic properties. The modified shortest-path algorithm correctly detected all flow directions. Subsequently, the obtained flow directions are incorporated as prior knowledge into the governing equation for the analytical solution. The discharge and head in all pipes and nodes are obtained by solving the equation analytically. Figure 1 compares the results of the analytical and numerical methods. The discharge in secondary pipes and the average head on both sides of secondary pipes in both methods are compared. As seen in Figure 1, the coefficient of determination is 1, indicating that the analytical method accurately determines the discharge and head.
Figure 1.
Comparison between analytical and numerical outputs: (a) head and (b) discharge.
3.2. Benchmark WDNs
The number of secondary pipes in a WDN reflects its complexity. The following complexity criterion () represents the complexity of a WDN by counting the number of secondary pipes:
where and are the number of pipes and nodes in a WDN, respectively. Using the above criterion, which ranges from 0 to 1, the complexity of a WDN can be determined. Table 1 presents the properties of three benchmark WDNs. From this table, it can be noticed that the complexity criterion () of the Alperovits WDN is 0.5, which is less complexity in comparison to the other WDNs, while the Fossolo WDN has the highest complexity ( = 0.95).
Table 1.
Properties and flow direction accuracy of benchmark WDNs.
The modified shortest-path algorithm was applied to the three above WDNs. The last column of Table 1 presents the accuracy percentage of flow direction detection. The flow directions of the first two WDNs, Alperovits and Hanoi, were detected correctly. However, for the Fossolo WDN, due to its complexity, only 88% of the flow directions were obtained correctly. This finding indicates that as the number of secondary pipes increases, the algorithm efficiency decreases. It is worth mentioning that the analytical method can only be executed if all directions are discovered correctly. Therefore, the analytical method was utilized for the first two WDNs. By incorporating the exact flow direction into the governing equation, the precise analytical solutions (discharge and head) were obtained, , for Alprovits and Hanoi.
3.3. Randomly Generated WDNs
For further evaluation of the modified shortest path algorithm, 1000 WDNs were randomly generated with different geometric/hydraulic properties. The proposed algorithm was applied to all WDNs, and the outputs are compiled in Table 2, in which the WDNs are categorized according to their complexity criterion (). The third column of this table () represents the number of WDNs in each category.
Table 2.
Flow direction detection results for randomly generated WDNs.
It is found that increasing the complexity of the WDN reduces the algorithm’s accuracy. Furthermore, flow directions are identified only in the first two categories with 100% accuracy for some WDNs. The z-test is employed for each category to verify the results and expand the outcome to a population. The confidence level is set at 99%. The z-test indicates that the algorithm can determine the flow direction in each group based on the average accuracy presented in the fourth column of Table 2 with a 99% confidence level.
4. Conclusions
This research proposed an analytical method to solve WDN hydraulics. The initial step involves determining the exact flow directions using a modified shortest-path algorithm. The next step involves solving the governing equation analytically. The efficiency of the analytical method and the modified shortest path algorithm were validated using three WDN categories: single-looped, literature benchmark, and randomly generated WDNs. The results indicate that if the first step is taken successfully, the analytical method can predict the head and discharge exactly like the numerical method. The effects of the growing WDN complexity will be further investigated in future works.
Author Contributions
Conceptualization, M.M.R. and A.H.; methodology, M.M.R. and A.H.; validation, M.M.R.; investigation, M.M.R., A.E.B. and A.H.; resources, M.M.R., C.G. and E.C.; writing—original draft preparation, M.M.R., A.E.B. and C.G.; writing—review and editing, C.G., U.D., A.H. and E.C.; visualization, M.M.R.; supervision, U.D., A.H. and E.C.; project administration, A.H. All authors have read and agreed to the published version of the manuscript.
Funding
This research received no external funding.
Institutional Review Board Statement
Not applicable.
Informed Consent Statement
Not applicable.
Data Availability Statement
The data supporting this study’s findings are available from the corresponding author upon reasonable request.
Conflicts of Interest
Amin E. Bakhshipour, Ulrich Dittmer, and Ali Haghighi were employed by the company Sustainable Water Infrastructure Solutions (SWIS) GmbH. The remaining authors declare that the research was conducted in the absence of any commercial or financial relationships that could be construed as a potential conflict of interest.
References
- Todini, E.; Rossman, L.A. Unified framework for deriving simultaneous equation algorithms for water distribution networks. J. Hydraul. Eng. 2013, 139, 511–526. [Google Scholar] [CrossRef]
- Cross, H. Analysis of Flow in Networks of Conduits or Conductors; Engineering Experiment Station. Bulletin No. 286; University of Illinois: Champaign, IL, USA, 1936. [Google Scholar]
- Zhang, H.; Cheng, X.; Huang, T.; Cong, H.; Xu, J. Hydraulic analysis of water distribution systems based on fixed point iteration method. Water Resour. Manag. 2017, 31, 1605–1618. [Google Scholar] [CrossRef]
- Bazrafshan, M.; Gatsis, N.; Giacomoni, M.; Taha, A. A fixed-point iteration for steady-state analysis of water distribution networks. In Proceedings of the 2018 IEEE Global Conference on Signal and Information Processing (GlobalSIP), Anaheim, CA, USA, 26–29 November 2018. [Google Scholar]
- Wang, S.; Taha, A.F.; Sela, L.; Giacomoni, M.H.; Gatsis, N. A New Derivative-Free Linear Approximation for Solving the Network Water Flow Problem With Convergence Guarantees. Water Resour. Res. 2020, 56, e2019WR025694. [Google Scholar] [CrossRef]
- Vasilic, Z.; Stanic, M.; Kapelan, Z.; Ivetic, D.; Prodanovic, D. Improved loop-flow method for hydraulic analysis of water distribution systems. J. Water Resour. Plan. Manag. 2018, 144, 04018012. [Google Scholar] [CrossRef]
- Giudicianni, C.; Herrera, M.; Di Nardo, A.; Greco, R.; Creaco, E.; Scala, A. Topological placement of quality sensors in water-distribution networks without the recourse to hydraulic modeling. J. Water Resour. Plan. Manag. 2020, 146, 04020030. [Google Scholar] [CrossRef]
- Kadu, M.S.; Gupta, R.; Bhave, P.R. Optimal design of water networks using a modified genetic algorithm with reduction in search space. J. Water Resour. Plan. Manag. 2008, 134, 147–160. [Google Scholar] [CrossRef]
- Riyahi, M.M.; Bakhshipour, A.E.; Haghighi, A. Probabilistic warm solutions-based multi-objective optimization algorithm, application in optimal design of water distribution networks. Sustain. Cities Soc. 2023, 91, 104424. [Google Scholar] [CrossRef]
- Giudicianni, C.; Herrera, M.; Di Nardo, A.; Oliva, G.; Scala, A. The faster the better: On the shortest paths role for near real-time decision making of water utilities. Reliab. Eng. Syst. Saf. 2021, 212, 107589. [Google Scholar] [CrossRef]
Disclaimer/Publisher’s Note: The statements, opinions and data contained in all publications are solely those of the individual author(s) and contributor(s) and not of MDPI and/or the editor(s). MDPI and/or the editor(s) disclaim responsibility for any injury to people or property resulting from any ideas, methods, instructions or products referred to in the content. |
© 2024 by the authors. Licensee MDPI, Basel, Switzerland. This article is an open access article distributed under the terms and conditions of the Creative Commons Attribution (CC BY) license (https://creativecommons.org/licenses/by/4.0/).
