Heat Transfer Enhancement in a Tube Heat Exchanger Using Discrete Triangular-Prism Roughness Elements †
Abstract
:1. Introduction
2. Computational Domain and Numerical Model
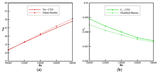
Grid Convergence and Validation
3. Results
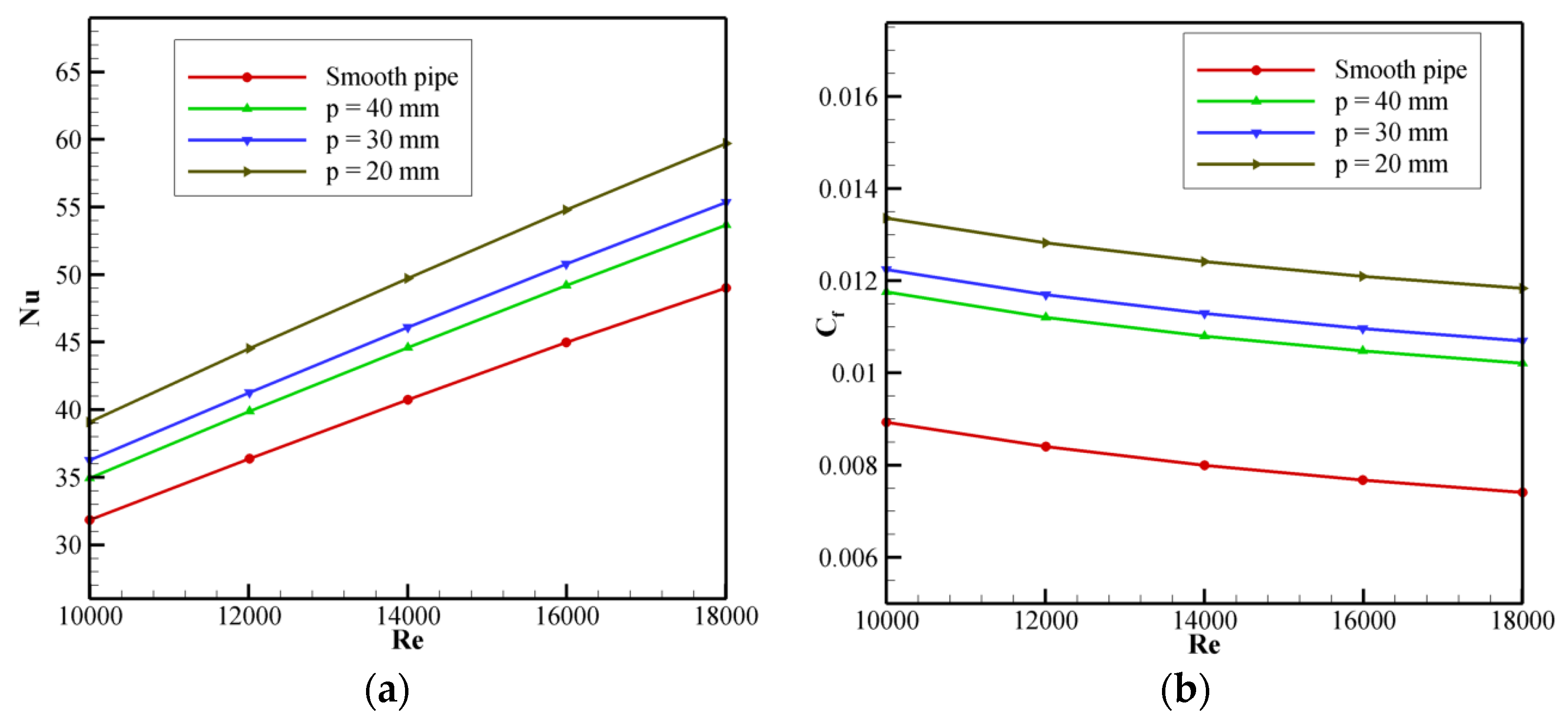
3.1. Effect of Longitudinal Pitch
3.2. Effect of Angular Pitch
3.3. Effect of Orientation of Roughness Element
4. Conclusions
- The installation of roughness elements on the inner peripheral surface increases the turbulence intensity of fluid flow in the pipe.
- The flow impingement on either side and recirculation and mixing of fluid on the downstream side of the roughness elements enhances the heat transfer. Up to a 23% increase in the Nusselt number is observed for the 20 mm pitch at Re 10,000.
- The friction effect increases gradually with the reduction in longitudinal pitch. Up to a 60% increase in friction is observed for the 20 mm pitch at Re 18,000.
- The reduction in both longitudinal and angular pitch improves the heat transfer in the heat exchanger, but at the cost of frictional losses.
- The best heat transfer performance is observed for the 30° orientation of the roughness elements with respect to the streamwise direction.
Funding
Institutional Review Board Statement
Informed Consent Statement
Data Availability Statement
Conflicts of Interest
References
- Dagdevir, T.; Keklikcioglu, O.; Ozceyhan, V. Heat transfer performance and flow characteristic in enhanced tube with the trapezoidal dimples. Int. Commun. Heat Mass Transf. 2019, 108, 104299. [Google Scholar] [CrossRef]
- Xie, S.; Liang, Z.; Zhang, J.; Zhang, L.; Wang, Y.; Ding, H. Numerical investigation on flow and heat transfer in dimpled tube with teardrop dimples. Int. J. Heat Mass Transf. 2019, 131, 713–723. [Google Scholar] [CrossRef]
- Zheng, N.; Liu, W.; Liu, Z.; Liu, P.; Shan, F. A numerical study on heat transfer enhancement and the flow structure in a heat exchanger tube with discrete double inclined ribs. Appl. Therm. Eng. 2015, 90, 232–241. [Google Scholar] [CrossRef]
- Cheraghi, M.H.; Ameri, M.; Shahabadi, M. Numerical study on the heat transfer enhancement and pressure drop inside deep dimpled tubes. Int. J. Heat Mass Transf. 2020, 147, 118845. [Google Scholar] [CrossRef]
- Lee, J.; Lee, D.Y. Design, fabrication, and testing of a compact regenerative evaporative cooler with finned channels. Int. J. Energy A Clean Environ. 2011, 12, 221–237. [Google Scholar] [CrossRef]
- Tri Wijayanta, A.; Yaningsih, I.; Aziz, M.; Miyazaki, T. Double-sided delta-wing tape inserts to enhance convective heat transfer and fluid flow characteristics of a double-pipe heat exchanger. Appl. Therm. Eng. 2018, 145, 27–37. [Google Scholar] [CrossRef]
- Sharifi, K.; Sabeti, M.; Rafiei, M.; Mohammadi, A.H.; Shirazi, L. Computational fluid dynamics (CFD) technique to study the effects of helical wire inserts on heat transfer and pressure drop in a double pipe heat exchanger. Appl. Therm. Eng. 2018, 128, 898–910. [Google Scholar] [CrossRef]
- Shishkin, A.V.; Tarasevich, S.E.; Yakovlev, A.B. Heat transfer of R134a refrigerant boiling in tubular channels with twisted tape inserts. Int. J. Energy A Clean Environ. 2016, 17, 187–207. [Google Scholar] [CrossRef]
- Duan, L.; Ling, X.; Peng, H. Flow and heat transfer characteristics of a double-tube structure internal finned tube with blossom shape internal fins. Appl. Therm. Eng. 2018, 128, 1102–1115. [Google Scholar] [CrossRef]
- El Maakoul, A.; Feddi, K.; Saadeddine, S.; Ben, A. Performance enhancement of finned annulus using surface interruptions in double-pipe heat exchangers. Energy Convers. Manag. 2020, 210, 112710. [Google Scholar] [CrossRef]
- Syed, K.S.; Ishaq, M.; Bakhsh, M. Laminar convection in the annulus of a double-pipe with triangular fins. Comput. Fluids. 2011, 44, 43–55. [Google Scholar] [CrossRef]
- Omidi, M.; Farhadi, M.; Jafari, M. A comprehensive review on double pipe heat exchangers. Appl. Therm. Eng. 2017, 110, 1075–1090. [Google Scholar] [CrossRef]
- Mousa, M.H.; Miljkovic, N.; Nawaz, K. Review of heat transfer enhancement techniques for single phase flows. Renew Sustain Energy Rev. 2021, 137, 110566. [Google Scholar] [CrossRef]
- Ishaq, M.; Saifullah, K.; Iqbal, Z.; Hassan, A.; Ali, A. DG-FEM based simulation of laminar convection in an annulus with triangular fins of different heights. Int. J. Therm. Sci. 2013, 72, 125–146. [Google Scholar] [CrossRef]
- Syed, K.S.; Ishaq, M.; Iqbal, Z.; Hassan, A. Numerical study of an innovative design of a finned double-pipe heat exchanger with variable fin-tip thickness. Energy Convers. Manag. 2015, 98, 69–80. [Google Scholar] [CrossRef]
- Rout, S.K.; Thatoi, D.N.; Acharya, A.K.; Mishra, D.P. CFD supported performance estimation of an internally finned tube heat exchanger under mixed convection flow. Procedia Eng. 2012, 38, 585–597. [Google Scholar] [CrossRef]
- El Maakoul, A.; El Metoui, M.; Ben Abdellah, A.; Saadeddine, S.; Meziane, M. Numerical investigation of thermohydraulic performance of air to water double-pipe heat exchanger with helical fins. Appl. Therm. Eng. 2017, 127, 127–139. [Google Scholar] [CrossRef]
- Zhang, L.; Du, W.; Wu, J.; Li, Y.; Xing, Y. Fluid flow characteristics for shell side of double-pipe heat exchanger with helical fins and pin fins. Exp. Therm. Fluid Sci. 2012, 36, 30–43. [Google Scholar] [CrossRef]
- Jeng, T.M.; Tzeng, S.C. Pressure drop and heat transfer of square pin-fin arrays in in-line and staggered arrangements. Int. J. Heat Mass Transf. 2007, 50, 2364–2375. [Google Scholar] [CrossRef]
- Jin, W.; Wu, J.; Jia, N.; Lei, J.; Ji, W.; Xie, G. Effect of shape and distribution of pin-fins on the flow and heat transfer characteristics in the rectangular cooling channel. Int. J. Therm. Sci. 2021, 161, 106758. [Google Scholar] [CrossRef]
- Narato, P.; Wae-hayee, M.; Kaewchoothong, N.; Nuntadusit, C. Heat transfer enhancement and flow characteristics in a rectangular channel having inclined pin arrays mounted on the endwall surface. Int. Commun. Heat Mass Transf. 2021, 122, 105162. [Google Scholar] [CrossRef]
- Searle, M.; Black, J.; Straub, D.; Robey, E.; Yip, J.; Ramesh, S.; Roy, A.; Sabau, A.S.; Mollot, D. Heat transfer coefficients of additively manufactured tubes with internal pin fins for supercritical carbon dioxide cycle recuperators. Appl. Therm. Eng. 2020, 181, 116030. [Google Scholar] [CrossRef]
- Zhao, Z.; Bai, F.; Zhang, X.; Wang, Z. Experimental study of pin finned receiver tubes for a parabolic trough solar air collector. Sol. Energy. 2020, 207, 91–102. [Google Scholar] [CrossRef]








| Number of Elements | Nu | % Change in Nu | Cf | % Change in Cf |
|---|---|---|---|---|
| 4516639 | 55.16 | ------- | 0.01074 | ------- |
| 5713427 | 55.29 | 0.236 | 0.01071 | −0.279 |
| 6999530 | 55.36 | 0.126 | 0.01069 | −0.187 |
| 9355479 | 55.38 | 0.036 | 0.01069 | 0.000 |
Disclaimer/Publisher’s Note: The statements, opinions and data contained in all publications are solely those of the individual author(s) and contributor(s) and not of MDPI and/or the editor(s). MDPI and/or the editor(s) disclaim responsibility for any injury to people or property resulting from any ideas, methods, instructions or products referred to in the content. |
© 2023 by the author. Licensee MDPI, Basel, Switzerland. This article is an open access article distributed under the terms and conditions of the Creative Commons Attribution (CC BY) license (https://creativecommons.org/licenses/by/4.0/).
Share and Cite
Fernandes, D.V. Heat Transfer Enhancement in a Tube Heat Exchanger Using Discrete Triangular-Prism Roughness Elements. Eng. Proc. 2023, 59, 62. https://doi.org/10.3390/engproc2023059062
Fernandes DV. Heat Transfer Enhancement in a Tube Heat Exchanger Using Discrete Triangular-Prism Roughness Elements. Engineering Proceedings. 2023; 59(1):62. https://doi.org/10.3390/engproc2023059062
Chicago/Turabian StyleFernandes, Dolfred Vijay. 2023. "Heat Transfer Enhancement in a Tube Heat Exchanger Using Discrete Triangular-Prism Roughness Elements" Engineering Proceedings 59, no. 1: 62. https://doi.org/10.3390/engproc2023059062
APA StyleFernandes, D. V. (2023). Heat Transfer Enhancement in a Tube Heat Exchanger Using Discrete Triangular-Prism Roughness Elements. Engineering Proceedings, 59(1), 62. https://doi.org/10.3390/engproc2023059062

